Spectral Methods in Nonlinear Optics Equations for Non-Uniform Grids Using an Accelerated NFFT Scheme
Abstract
1. Introduction
2. Spectral Methods for the NFFT
2.1. The Algebraic Problem: Conjugate Gradient Approach
2.2. The Preconditioning Matrix
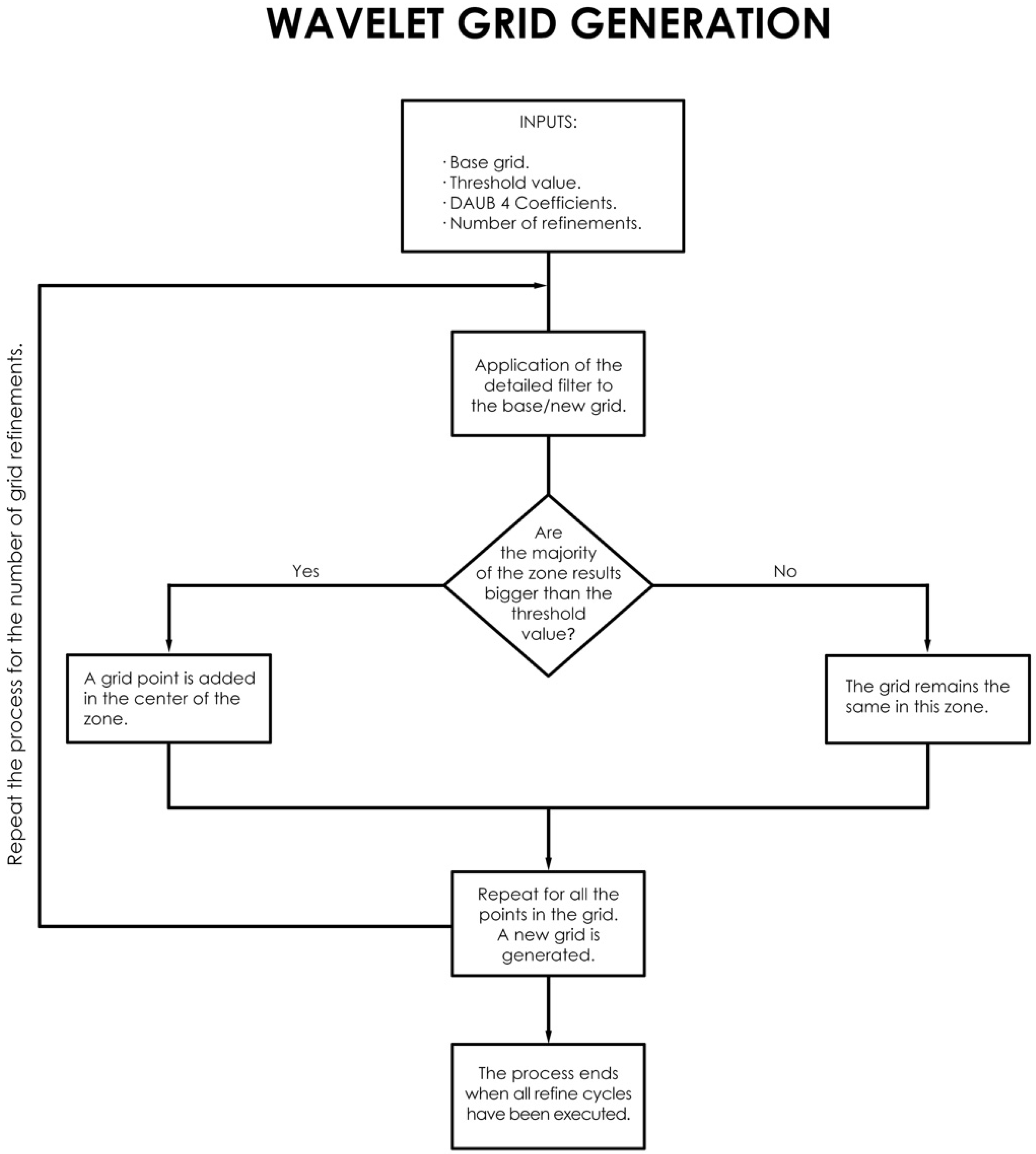
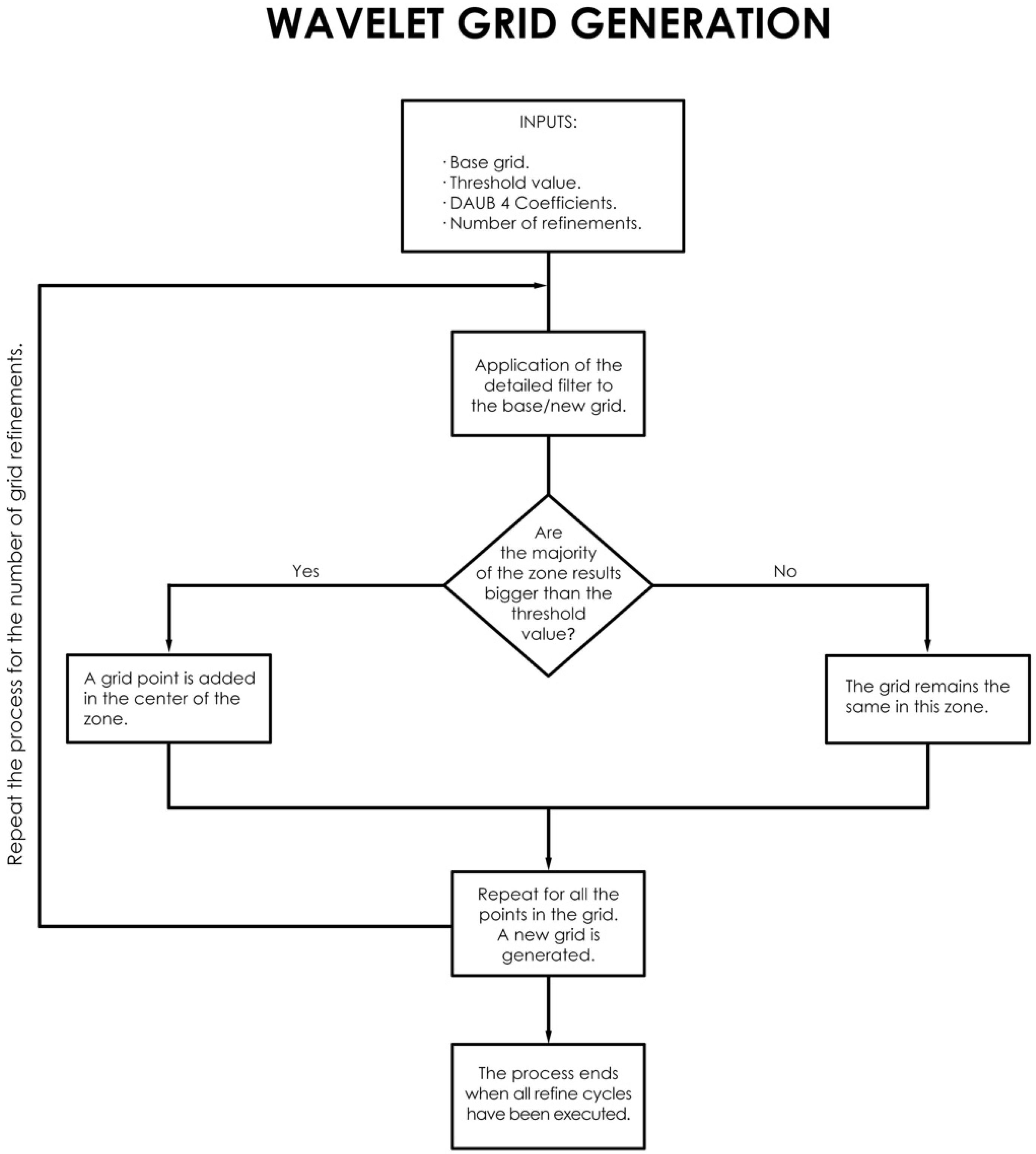
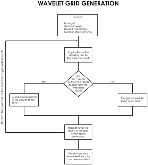
2.3. Wavelet Grid Generation and Evolution
3. Results
3.1. NLSE. 1D Raman Scattering
3.2. GPE. 2D Anisotropic Trap
4. Conclusions
Author Contributions
Funding
Data Availability Statement
Acknowledgments
Conflicts of Interest
Abbreviations
| FFT | Fast Fourier Transform |
| NFFT | Non-uniform Fast Fourier Transform |
| CG | Conjugate Gradient |
| GPE | Gross–Pitaevskii Equation |
| NLSE | Nonlinear Schrodinger Equation |
| GVD | Group Velocity Dispersion |
| SPM | Self-Phase Modulation |
| BEC | Bose Einstein Condensate |
| GPU | Graphic Processor Units |
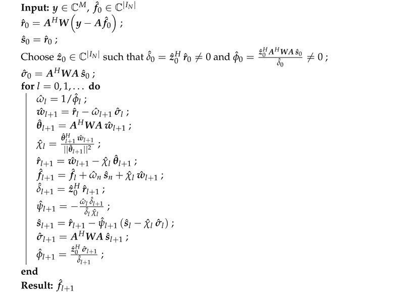
Appendix A. Conjugate Gradient Algorithms
| Algorithm A1: Preconditioned conjugate gradients for the normal equations, Residual minimisation (CGNR) |
![]() |
| Algorithm A2: Preconditioned biconjugate gradient stabilized method (BiCGSTAB) |
![]() |
Appendix B. Wavelet Grid Generation

References
- Boyd, W. Nonlinear Optics, 3rd ed.; Elsevier: Amsterdam, The Netherlands, 2008. [Google Scholar]
- Pethick, A.; Smith, H. Bose-Einstein Condensation in Dilute Gases; Cambridge University Press: Cambridge, UK, 2008. [Google Scholar]
- Taha, T.R.; Ablowitz, M.I. Analytical and numerical aspects of certain nonlinear equations: II Nonlinear Schrodinger Equation. J. Comput. Phys. 1984, 55, 203–230. [Google Scholar] [CrossRef]
- Yoshida, H. Construction of higher order symplectic integrators. Phys. Lett. A 1990, 150, 262–268. [Google Scholar] [CrossRef]
- Cooley, J.; Tukey, J. An algorithm for the machine calculation of complex Fourier series. Math. Comput. 1965, 19, 297–301. [Google Scholar] [CrossRef]
- Frigo, M.; Johnson, S.G. The design and implementation of FFTW3. Proc. IEEE 2005, 93, 216–231. [Google Scholar] [CrossRef]
- Fourmont, K. Non-Equispaced Fast Fourier Transforms with Applications to Tomography. J. Fourier Anal. Appl. 2003, 9, 431–450. [Google Scholar] [CrossRef]
- Chan, K.; Tang, S. High-speed spectral domain optical coherence tomography using non-uniform fast Fourier transform. Biomed. Opt. Express 2010, 5, 1309–1319. [Google Scholar] [CrossRef]
- Pelt, J. Fast Computation of Trigonometric Sums with Applications to the Frequency Analysis of Astronomical Data. In Astronomical Time Series; Maoz, D., Sternberg, A., Leibowitz, E.M., Eds.; Astrophysics and Space Science Library; Springer: Dordrecht, Germany, 1997; Volume 218. [Google Scholar]
- Leroy, B. Fast Calculation of the Lomb-Scargle Periodogram using Nonequispaced Fast Fourier Transforms. Astron. Astrophys. 2012, 545, A50. [Google Scholar] [CrossRef]
- Dutt, A.; Rokhlin, V. Fast Fourier Transforms for Nonequiespaced Data II. Appl. Comput. Harmon. Anal. 1995, 2, 85–100. [Google Scholar] [CrossRef]
- Beylkin, G. On the Fast Fourier Transform of Functions with Singularities. Appl. Comput. Harmon. Anal. 1995, 2, 363–381. [Google Scholar] [CrossRef]
- Steidl, G. A Note on Fast Fourier Transforms for Nonequispaced Grids. Adv. Comput. Mech. 1998, 9, 337–352. [Google Scholar]
- Potts, D.; Steidl, G.; Tasche, M. Fast Fourier transforms for nonequispaced data: A tutorial. In Modern Sampling Theory: Mathematics and Applications; Benedetto, J.J., Ferreira, P., Eds.; Springe: Berlin/Heidelberg, Germany, 2001; Chapter 12; pp. 249–274. [Google Scholar]
- Bao, W.; Jiang, S.; Tang, Q.; Zhang, Y. Computing the ground state and dynamics of the nonlinear Schrödinger equation with nonlocal interactions via the nonuniform FFT. J. Comp. Phys. 2015, 296, 72–89. [Google Scholar] [CrossRef]
- Shewchuck, J.R. An Introduction to the Conjugate Gradient Method Without the Agonizing Pain; Carnegie Mellon University: Pittsburgh, PA, USA, 1994. [Google Scholar]
- Gutnechk, M. Variants of BICGSTAB for Matrices with Complex Spectrum. SIAM J. Sci. Comput. 1993, 14, 5. [Google Scholar]
- Barnett, A.H.; Magland, J.F.; Klinteberg, L. A parallel non-uniform fast Fourier transform library based on an “exponential of semicircle’’ kernel. SIAM J. Sci. Comput. 2019, 41, C479–C504. [Google Scholar] [CrossRef]
- Barnett, A.H. Aliasing error of the exp(β1-z2) kernel in the nonuniform fast Fourier transform. Appl. Comput. Harmon. Anal. 2020, 51, 1–16. [Google Scholar] [CrossRef]
- Shih, Y.; Wright, G.; Anden, J.; Blaschke, J.; Barnett, A.H. cuFINUFFT: A load-balanced GPU library for general purpose nonuniform FFTs. In Proceedings of the IEEE International Parallel and Distributed Procesing Symposium Workshops, Portland, OR, USA, 17–21 June 2021. [Google Scholar]
- Daubechies, I. Ten Lectures on Wavelets; SIAM: Philadelphia, PA, USA, 1992. [Google Scholar]
- Jameson, L. Wavelet-Based Grid Generation ICASE Report No. 96-59; Institute for Computer Applications in Science and Engineering: Hampton, VA, USA, 1996. [Google Scholar]
- Greengard, L.; Lee, J.-Y. Accelerating the Nonuniform Fast Fourier Transform. SIAM Rev. 2004, 46, 443. [Google Scholar] [CrossRef]
- Keiner, J.; Kunis, S.; Potts, D. Using NFFT 3—A software library for various nonequispaced fast Fourier transforms. ACM Trans. Math. Softw. 2009, 36, 19. [Google Scholar] [CrossRef]
- Press, W.H.; Teukolsky, S.A.; Vetterling, W.T.; Flannery, B.P. Numerical Recipes: The Art of Scientific Computing, 3rd ed.; Cambridge University Press: Cambridge, UK, 2007. [Google Scholar]
- Vaidyanathan, P.P. Multirate digital filters, filter banks, polyphase networks, and applications: A tutorial. Proc. IEEE 1990, 78, 56–93. [Google Scholar] [CrossRef]
- Harten, A. Adaptative Multiresolution Schemes for Shock Computations. J. Comput. Phys. 1994, 115, 319–328. [Google Scholar] [CrossRef]
- Paolucci, S.; Zikorski, Z.I.; Wirasaet, D. WAMR: An adaptative wavelet method for the simulation of comprensible reacting flow. Part I: Accuraccy and eficciency of algorithm. J. Comput. Phys. 2014, 272, 814–841. [Google Scholar] [CrossRef]
- Akhmediev, N.N.; Ankiewicz, A. Solitons Around Us: Integrable, Hamiltonian and Dissipative Systems. In Optical Solitons; Porsezian, K., Kuriakose, V.C., Eds.; Lecture Notes in Physics; Springer: Berlin/Heidelberg, Germany, 2002; Volume 613. [Google Scholar]
- Agrawall, G. (Ed.) Nonlinear Fiber Optics, 5th ed.; Academic Press: Cambridge, MA, USA, 2013. [Google Scholar]
- Hasegawa, A.; Matsumoto, M. (Eds.) Optical Solitons in Fibers, 3rd ed.; Springer: Berlin/Heidelberg, Germany, 2003. [Google Scholar]
- Gordon, J.P. Theory of the soliton self-frequency shift. Opt. Lett. 1986, 11, 662–664. [Google Scholar] [CrossRef]
- Mitschke, F.; Mollenauer, L.F. Discovery of the soliton self-frequency shift. Opt. Lett. 1986, 11, 659–661. [Google Scholar] [CrossRef] [PubMed]
- Mamyshev, P.V.; Chernikov, S.V. Ultrashort pulse propagation in optical fibers. Opt. Lett. 1990, 15, 1076–1078. [Google Scholar] [CrossRef] [PubMed]
- Stolen, R.H.; Tomlinson, W.J. Effect of the Raman part of the nonlinear refractive index on propagation of ultrashort optical pulses in fibers. J. Opt. Soc. Am. B 1992, 9, 565–573. [Google Scholar] [CrossRef]
- Tai, K.; Hasegawa, A.; Bekki, N. Fission of optical solitons induced by stimulated Raman effect. Opt. Lett. 1988, 13, 392–394. [Google Scholar] [CrossRef] [PubMed]
- Dalfovo, F.; Giorgini, S.; Pitaevskii, L.P.; Stringari, S. Theory of Bose-Einstein condensation in trapped gases. Rev. Mod. Phys. 1999, 71, 463–512. [Google Scholar] [CrossRef]
- Bao, W.; Jaksch, D.; Marcowich, P. Numerical Solution of the Gross-Pitaevskii Equation for Bose-Einstein Condensation. J. Comput. Phys. 2003, 187, 318–342. [Google Scholar] [CrossRef]
- Mewes, M.O.; Andrews, M.R.; van Druten, N.J.; Kurn, D.M.; Durfee, D.S.; Townsend, C.G.; Ketterle, W. Collective Excitations of a Bose-Einstein Condensate in a Magnetic Trap. Phys. Rev. Lett. 1996, 77, 6. [Google Scholar] [CrossRef]
- Stamper-Kurn, D.M.; Andrews, M.R.; Chikkatur, A.P.; Inouye, S.; Miesner, H.-J.; Stenger, J.; Ketterle, W. Optical Confinement of a Bose-Einstein Condensate. Phys. Rev. Lett. 1998, 80, 2027. [Google Scholar] [CrossRef]






Disclaimer/Publisher’s Note: The statements, opinions and data contained in all publications are solely those of the individual author(s) and contributor(s) and not of MDPI and/or the editor(s). MDPI and/or the editor(s) disclaim responsibility for any injury to people or property resulting from any ideas, methods, instructions or products referred to in the content. |
© 2022 by the authors. Licensee MDPI, Basel, Switzerland. This article is an open access article distributed under the terms and conditions of the Creative Commons Attribution (CC BY) license (https://creativecommons.org/licenses/by/4.0/).
Share and Cite
Rodríguez, P.; Romero, M.; Ortiz-Mora, A.; Díaz-Soriano, A.M. Spectral Methods in Nonlinear Optics Equations for Non-Uniform Grids Using an Accelerated NFFT Scheme. Symmetry 2023, 15, 47. https://doi.org/10.3390/sym15010047
Rodríguez P, Romero M, Ortiz-Mora A, Díaz-Soriano AM. Spectral Methods in Nonlinear Optics Equations for Non-Uniform Grids Using an Accelerated NFFT Scheme. Symmetry. 2023; 15(1):47. https://doi.org/10.3390/sym15010047
Chicago/Turabian StyleRodríguez, Pedro, Manuel Romero, Antonio Ortiz-Mora, and Antonio M. Díaz-Soriano. 2023. "Spectral Methods in Nonlinear Optics Equations for Non-Uniform Grids Using an Accelerated NFFT Scheme" Symmetry 15, no. 1: 47. https://doi.org/10.3390/sym15010047
APA StyleRodríguez, P., Romero, M., Ortiz-Mora, A., & Díaz-Soriano, A. M. (2023). Spectral Methods in Nonlinear Optics Equations for Non-Uniform Grids Using an Accelerated NFFT Scheme. Symmetry, 15(1), 47. https://doi.org/10.3390/sym15010047



