Application of Manifold Corrections in Tidal Evolution of Exoplanetary Systems
Abstract
1. Introduction
2. Physical Model
3. Manifold Correction Methods
3.1. Velocity Scaling Method
3.2. Fukushima’s Manifold Correction Methods
4. Numerical Simulation
4.1. Setting Initial Configurations
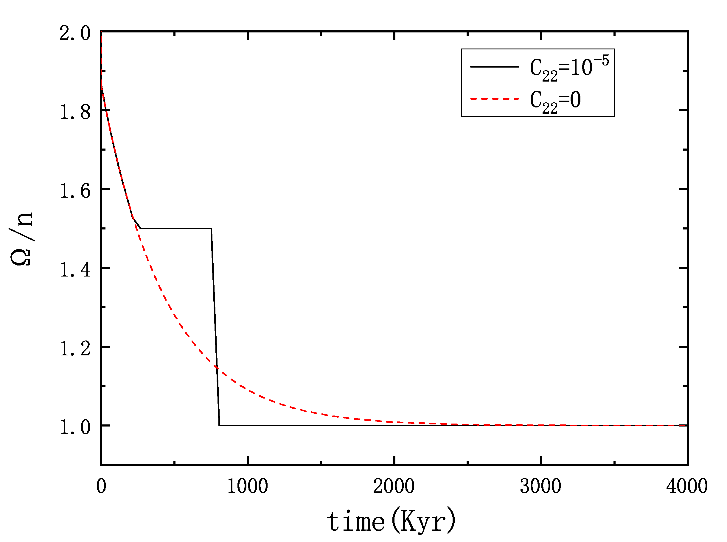
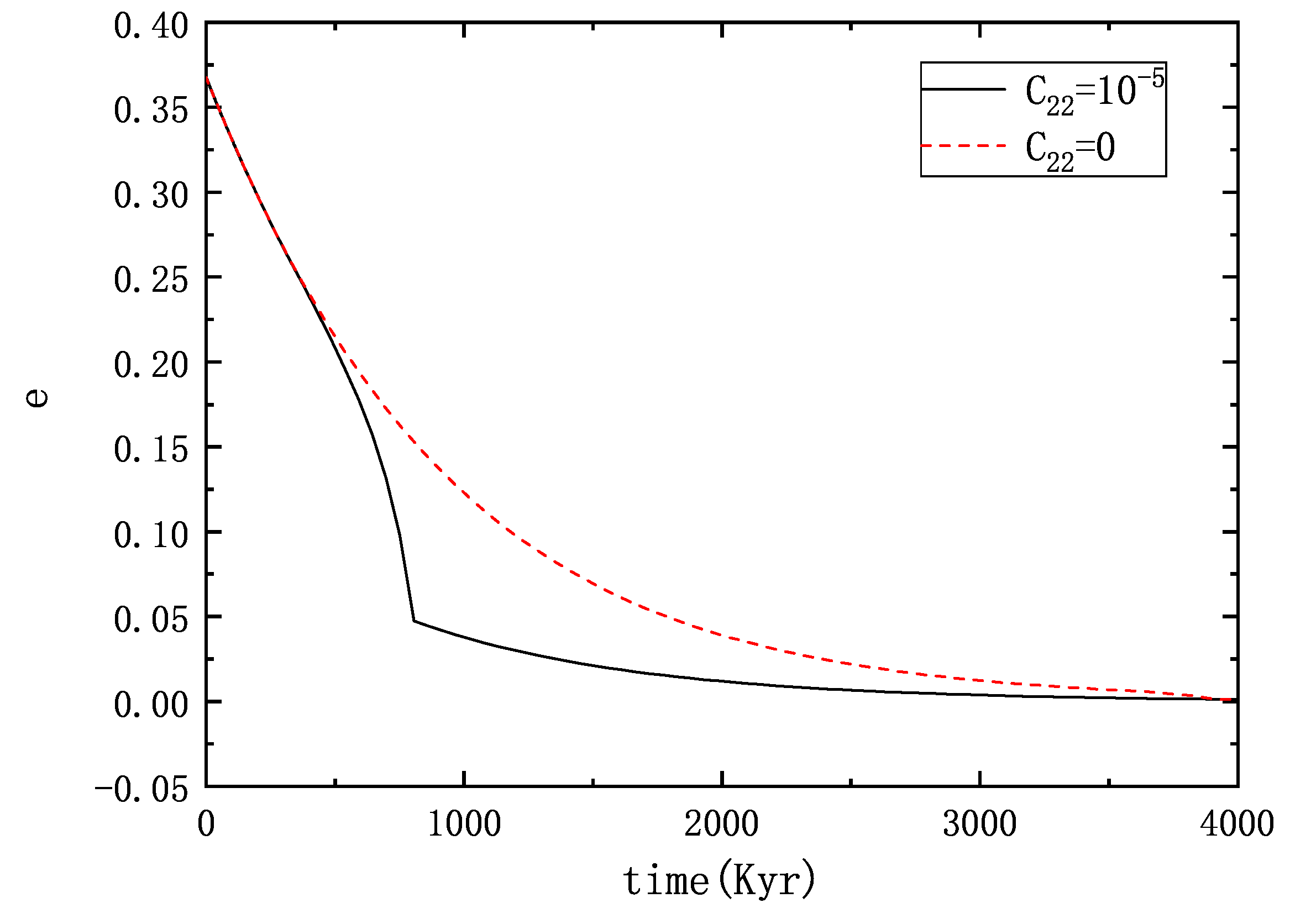
4.2. Numerical Test
4.3. Tidal Evolution Timescale
5. Summary and Outlook
Author Contributions
Funding
Institutional Review Board Statement
Informed Consent Statement
Data Availability Statement
Conflicts of Interest
References
- Mayor, M.; Queloz, D. A Jupiter-mass companion to a solar-type star. Nature 1995, 378, 355–359. [Google Scholar] [CrossRef]
- Rasio, F.A.; Tout, C.A.; Lubow, S.H.; Livio, M. Tidal decay close planetary orbits. Astrophys. J. 1996, 470, 1187. [Google Scholar] [CrossRef]
- Jackson, B.; Greenberg, R.; Barnes, R. Tidal Evolution of Close-in Extrasolar Planets. Astrophys. J. 2008, 678, 1396–1406. [Google Scholar] [CrossRef]
- Penev, K.; Sasselov, D. Tidal Evolution of Close-in Extrasolar Planets: High Stellar Q from New Theoretical Models. Astrophys. J. 2011, 731, 67. [Google Scholar] [CrossRef]
- Goldreich, P. On the Eccentricity of Satellite Orbits in the Solar System. Mon. Not. R. Astron. Soc. 1963, 126, 257. [Google Scholar] [CrossRef]
- Goldreich, P.; Soter, S. Q in the solar system. Icarus 1966, 5, 375–389. [Google Scholar] [CrossRef]
- Mardling, R.A.; Lin, D.N.C. Calculating the Tidal, Spin, and Dynamical Evolution of Extrasolar Planetary Systems. Astrophys. J. 2002, 573, 829–844. [Google Scholar] [CrossRef]
- Ferraz-Mello, S.; Rodríguez, A.; Hussmann, H. Tidal friction in close-in satellites and exoplanets: The Darwin theory re-visited. Celest. Mech. Dyn. Astron. 2008, 101, 171–201. [Google Scholar] [CrossRef]
- Agnor, C.B.; Canup, R.M.; Levison, H.F. On the Character and Consequences of Large Impacts in the Late Stage of Terrestrial Planet Formation. Icarus 1999, 142, 219–237. [Google Scholar] [CrossRef]
- Kokubo, E.; Ida, S. Formation of Terrestrial Planets from Protoplanets. II. Statistics of Planetary Spin. Astrophys. J. 2007, 671, 2082–2090. [Google Scholar] [CrossRef]
- Jackson, B.; Barnes, R.; Greenberg, R. Observational Evidence for Tidal Destruction of Exoplanets. Astrophys. J. 2009, 698, 1357–1366. [Google Scholar] [CrossRef]
- Jackson, B.; Greenberg, R.; Barnes, R. Tidal Heating of Extrasolar Planets. Astrophys. J. 2008, 681, 1631–1638. [Google Scholar] [CrossRef]
- Mardling, R.A. Long-term Tidal Evolution of Short-period Planets with Companions. Mon. Not. R. Astron. Soc. 2007, 382, 1768–1790. [Google Scholar] [CrossRef]
- Pätzold, M.; Carone, L.; Rauer, H. Tidal interactions of close-in extrasolar planets: The OGLE cases. Astron. Astrophys. 2004, 427, 1075–1080. [Google Scholar] [CrossRef]
- Mardling, R.A. The determination of planetary structure in tidally relaxed inclined systems. Mon. Not. R. Astron. Soc. 2010, 407, 1048–1069. [Google Scholar] [CrossRef]
- Rodríguez, A.; Ferraz-Mello, S.; Michtchenko, T.A. Tidal Decay Orbital Circ. Close-Two-Planet Systems. Mon. Not. R. Astron. Soc. 2011, 415, 2349–2358. [Google Scholar] [CrossRef]
- Darwin, G.H. The Scientific Papers of Sir George Darwin: Tidal Friction and Cosmogony; Cambridge University Press: Cambridge, UK, 1908; Volume 2. [Google Scholar]
- MacDonald, G.J.F. Tidal Friction. Rev. Geophys. 1964, 2, 467–541. [Google Scholar] [CrossRef]
- Kaula, W.M. Tidal Dissipation by Solid Friction and the Resulting Orbital Evolution. Rev. Geophys. 1964, 2, 661–685. [Google Scholar] [CrossRef]
- Goldreich, P. Final spin states of planets and satellites. Astrophys. J. 1966, 71, 1. [Google Scholar] [CrossRef]
- Wu, Y.; Goldreich, P. Tidal Evolution of the Planetary System around HD 83443. Astrophys. J. 2002, 564, 1024–1027. [Google Scholar] [CrossRef]
- Zhou, J.-L.; Lin, D.N.C. Migration and Final Location of Hot Super Earths in the Presence of Gas Giants. Proc. Int. Astron. Union 2008, 249, 285–291. [Google Scholar]
- Laskar, J.; Boué, G.; Correia, A.C.M. Tidal dissipation in multi-planet systems and constraints on orbit fitting. Astron. Astrophys. 2012, 538, A105. [Google Scholar] [CrossRef]
- Darwin, G.H. The Determination of the Secular Effects of Tidal Friction by a Graphical Method. Proc. R. Soc. Lond. 1879, 29, 168–181. [Google Scholar]
- Deng, C.; Wu, X.; Liang, E. The use of Kepler solver in numerical integrations of quasi-Keplerian orbits. Mon. Not. R. Astron. Soc. 2020, 496, 2946–2961. [Google Scholar] [CrossRef]
- Feng, K. On Differential Geometry and Differential Equations; Science Press: Beijing, China, 1985; Volume 42. [Google Scholar]
- Ruth, R.D. A Canonical Integration Technique. ITNS 1983, 30, 2669. [Google Scholar]
- Wang, Y.; Sun, W.; Liu, F.; Wu, X. Construction of Explicit Symplectic Integrators in General Relativity. I. Schwarz. Black Holes. Astrophys. J. 2021, 907, 66. [Google Scholar] [CrossRef]
- Wang, Y.; Sun, W.; Liu, F.; Wu, X. Construction of Explicit Symplectic Integrators in General Relativity. II. Reissner-Nordström Black Holes. Astrophys. J. 2021, 909, 22. [Google Scholar] [CrossRef]
- Wang, Y.; Sun, W.; Liu, F.; Wu, X. Construction of Explicit Symplectic Integrators in General Relativity. III. Reissner-Nordström-(anti)-de Sitter Black Holes. Astrophys. J. 2021, 254, 8. [Google Scholar] [CrossRef]
- Wu, X.; Wang, Y.; Sun, W.; Liu, F. Construction of Explicit Symplectic Integrators in General Relativity. IV. Kerr Black Holes. Astrophys. J. 2021, 914, 63. [Google Scholar] [CrossRef]
- Wu, X.; Wang, Y.; Sun, W.; Liu, F.-Y.; Han, W.-B. Explicit Symplectic Methods in Black Hole Spacetimes. Astrophys. J. 2022, 940, 166. [Google Scholar] [CrossRef]
- Pihajoki, P. Explicit methods in extended phase space for inseparable Hamiltonian problems. Celest. Mech. Dyn. Astron. 2015, 121, 211–231. [Google Scholar] [CrossRef]
- Luo, J.; Wu, X.; Huang, G.; Liu, F. Explicit Symplectic-like Integrators with Midpoint Permutations for Spinning Compact Binaries. Astrophys. J. 2017, 834, 64. [Google Scholar] [CrossRef]
- Li, D.; Wu, X. Chaotic motion of neutral and charged particles in a magnetized Ernst-Schwarzschild spacetime. Eur. Phys. J. Plus 2019, 134, 96. [Google Scholar] [CrossRef]
- Hu, S.; Wu, X.; Huang, G. A Novel Energy-conserving Scheme for Eight-dimensional Hamiltonian Problems. Astrophys. J. 2019, 887, 191. [Google Scholar] [CrossRef]
- Hu, S.; Wu, X.; Liang, E. An Energy-conserving Integrator for Conservative Hamiltonian Systems with Ten-dimensional Phase Space. Astrophys. J. Suppl. Ser. 2021, 253, 55. [Google Scholar] [CrossRef]
- Hu, S.; Wu, X.; Liang, E. Construction of a Second-order Six-dimensional Hamiltonian-conserving Scheme. Astrophys. J. Suppl. Ser. 2021, 257, 40. [Google Scholar] [CrossRef]
- Zhong, S.-Y.; Wu, X.; Liu, S.-Q.; Deng, X.-F. Global symplectic structure-preserving integrators for spinning compact binaries. Phys. Rev. D 2010, 82, 124040. [Google Scholar] [CrossRef]
- Mei, L.; Wu, X.; Liu, F. On preference of Yoshida construction over Forest-Ruth fourth-order symplectic algorithm. Eur. Phys. J. C 2013, 73, 2413. [Google Scholar] [CrossRef]
- Mei, L.; Ju, M.; Wu, X.; Liu, S. Dynamics of spin effects of compact binaries. Mon. Not. R. Astron. Soc. 2013, 435, 2246–2255. [Google Scholar] [CrossRef]
- Huang, G.; Ni, X.; Wu, X. Chaos in two black holes with next-to-leading order spin-spin interactions. Eur. Phys. J. C 2014, 74, 3012. [Google Scholar] [CrossRef]
- Huang, L.; Wu, X.; Ma, D. Second post-Newtonian Lagrangian dynamics of spinning compact binaries. Eur. Phys. J. C 2016, 76, 4339. [Google Scholar] [CrossRef]
- Ma, D.-Z.; Wu, X.; Zhong, S.-Y. Extending Nacozy’s Approach to Correct All Orbital Elements for Each of Multiple Bodies. Astrophys. J. 2008, 687, 1294–1302. [Google Scholar] [CrossRef]
- Zhong, S.-Y.; Wu, X. A velocity scaling method with least-squares correction of several constraints. Astrophys. Space Sci. 2009, 324, 31–40. [Google Scholar] [CrossRef]
- Zhong, S.-Y.; Wu, X. Manifold corrections on spinning compact binaries. Phys. Rev. D 2010, 81, 104037. [Google Scholar] [CrossRef]
- Mei, L.-J.; Wu, X.; Liu, F.-Y. A New Class of Scaling Correction Methods. Chin. Phys. Lett. 2012, 29, 050201. [Google Scholar] [CrossRef]
- Wang, S.-C.; Wu, X.; Liu, F.-Y. Implementation of the velocity scaling method for elliptic restricted three-body problems. Mon. Not. R. Astron. Soc. 2016, 463, 1352–1362. [Google Scholar] [CrossRef]
- Wang, S.; Huang, G.; Wu, X. Simulations of Dissipative Circular Restricted Three-body Problems Using the Velocity-scaling Correction Method. Astrophys. J. 2018, 155, 67. [Google Scholar] [CrossRef]
- Nacozy, P.E. The Use of Integrals in Numerical Integrations of the N-Body Problem. Astrophys. Space Sci. 1971, 14, 40–51. [Google Scholar] [CrossRef]
- Baumgarte, J. Numerical Stabilization of the Differential Equations of Keplerian Motion. Celest. Mech. 1972, 5, 490–501. [Google Scholar] [CrossRef]
- Liu, L.; Liao, X. Numerical Calculations in the Orbital Determination of an Artificial Satellite for a Long Arc. Celest. Mech. Dyn. Astron. 1994, 59, 221–235. [Google Scholar] [CrossRef]
- Liu, L.; Liao, X. On several problems in the numerical integration of celestial orbits. Chin. Astron. Astrophys. 1988, 12, 26–33. [Google Scholar] [CrossRef]
- Fukushima, T. Efficient Orbit Integration by Scaling for Kepler Energy Consistency. Astrophys. J. 2003, 126, 1097–1111. [Google Scholar] [CrossRef]
- Ma, D.-Z.; Wu, X.; Zhu, J.-F. Velocity scaling method to correct individual Kepler energies. New Astron. 2008, 13, 216–223. [Google Scholar] [CrossRef]
- Fukushima, T. Efficient Orbit Integration by Dual Scaling for Consistency of Kepler Energy and Laplace Integral. Astrophys. J. 2003, 126, 2567–2573. [Google Scholar] [CrossRef]
- Wu, X.; Huang, T.-Y.; Wan, X.-S.; Zhang, H. Comparison among Correction Methods Individ. Kepler Energies N-Body Simulations. Astrophys. J. 2007, 133, 2643–2653. [Google Scholar]
- Fukushima, T. Efficient Orbit Integration by Scaling and Rotation for Consistency of Kepler Energy, Laplace Integral, and Angular Momentum Direction. Astrophys. J. 2003, 126, 3138–3142. [Google Scholar] [CrossRef]
- Fukushima, T. Efficient Orbit Integration by Linear Transformation for Consistency of Kepler Energy, Full Laplace Integral, and Angular Momentum Vector. Astrophys. J. 2004, 127, 3638–3641. [Google Scholar] [CrossRef]
- Rodríguez, A.; Callegari, N.; Michtchenko, T.A.; Hussmann, H. Spin-Orbit Coupling Tidally Evol. Super-Earths. Mon. Not. R. Astron. Soc. 2012, 427, 2239–2250. [Google Scholar] [CrossRef]
- Mignard, F. The Evolution of the Lunar Orbit Revisited. I. Moon Planets 1979, 20, 301–315. [Google Scholar] [CrossRef]
- Darwin, G.H. On the Secular Changes in the Elements of the Orbit of a Satellite Revolving about a Tidally Distorted Planet. Philos. Trans. 1880, 171, 713–891. [Google Scholar]
- Beutler, G. Methods of Celestial Mechanics; Springer: Berlin, Germany, 2005; Volume 102. [Google Scholar]
- Danby, J. Fundamentals of celestial mechanics. In Astrophysics and Space Science; Macmillan: New York, NY, USA, 1962. [Google Scholar]
- Millholland, S.; Laughlin, G. Obliquity Tides May Drive WASP-12b’s Rapid Orbital Decay. Astrophys. J. 2018, 869, 1. [Google Scholar] [CrossRef]
- Li, Q.; Wang, N.; Yi, D. Numerical Analysis; Tsinghua University Press: Beijing, China, 2001. [Google Scholar]
- Deng, J.; Liu, Z. Calculation Method; Xi’an Jiaotong University Press: Xi’an, China, 2001. [Google Scholar]
- Fukushima, T. Efficient Integration of Highly Eccentric Orbits by Scaling Methods Applied to Kustaanheimo-Stiefel Regularization. Astrophys. J. 2004, 128, 3114. [Google Scholar] [CrossRef]
- Goldreich, P.; Peale, S. Spin-orbit coupling in the solar system. Astrophys. J. 1966, 71, 425. [Google Scholar] [CrossRef]
- Correia, A.C.M.; Laskar, J. Mercury’s capture into the 3/2 spin-orbit resonance as a result of its chaotic dynamics. Nature 2004, 429, 848–850. [Google Scholar] [CrossRef]
- Correia, A.C.M.; Laskar, J. Mercury’s capture into the 3/2 spin-orbit resonance including the effect of core-mantle friction. Icarus 2009, 201, 1–11. [Google Scholar] [CrossRef]






| (au) | |||||
|---|---|---|---|---|---|
| 0.32 | 2.82 | 1.305 | 0.01734 | 0.05 |
| T (Day) | a (au) | e | ||||
|---|---|---|---|---|---|---|
| GJ3090 b | 0.52 | 3.34 | 2.13 | 2.85 | 0.032 | 0.32 |
| HD110113 b | 1 | 4.55 | 2.05 | 2.54 | 0.035 | 0.093 |
| TOI-2136 b | 0.33 | 4.7 | 2.2 | 7.85 | 0.053 | 0.07 |
| K2-146 b | 0.36 | 5.6 | 2.25 | 2.67 | 0.025 | 0.14 |
| TOI-125 c | 0.86 | 6.63 | 2.76 | 9.15 | 0.081 | 0.066 |
| K2-146 c | 0.36 | 7.1 | 2.59 | 3.97 | 0.033 | 0.16 |
| HD 86226 c | 1.02 | 7.25 | 2.16 | 3.98 | 0.049 | 0.075 |
| HD 97658 b | 0.75 | 7.86 | 2.34 | 9.49 | 0.0796 | 0.063 |
| TOI-269 b | 0.39 | 8.8 | 2.77 | 3.70 | 0.0345 | 0.425 |
| TOI-125 b | 0.86 | 9.5 | 2.73 | 4.65 | 0.052 | 0.194 |
| Planet | τ0 (yr) | |Δτ0| (yr) | τ1 (yr) | |Δτ1| (yr) | τ (yr) |
|---|---|---|---|---|---|
| GJ3090 b | |||||
| HD 110113 b | |||||
| TOI-2136 b | |||||
| K2-146 b | |||||
| TOI-125 c | |||||
| K2-146 c | |||||
| HD 86226 c | |||||
| HD 97658 b | |||||
| TOI-269 b | |||||
| TOI-125 b |
Disclaimer/Publisher’s Note: The statements, opinions and data contained in all publications are solely those of the individual author(s) and contributor(s) and not of MDPI and/or the editor(s). MDPI and/or the editor(s) disclaim responsibility for any injury to people or property resulting from any ideas, methods, instructions or products referred to in the content. |
© 2023 by the authors. Licensee MDPI, Basel, Switzerland. This article is an open access article distributed under the terms and conditions of the Creative Commons Attribution (CC BY) license (https://creativecommons.org/licenses/by/4.0/).
Share and Cite
Xiao, Q.-Q.; Wang, Y.; Liu, F.-Y.; Deng, C.; Sun, W. Application of Manifold Corrections in Tidal Evolution of Exoplanetary Systems. Symmetry 2023, 15, 253. https://doi.org/10.3390/sym15010253
Xiao Q-Q, Wang Y, Liu F-Y, Deng C, Sun W. Application of Manifold Corrections in Tidal Evolution of Exoplanetary Systems. Symmetry. 2023; 15(1):253. https://doi.org/10.3390/sym15010253
Chicago/Turabian StyleXiao, Qian-Qian, Ying Wang, Fu-Yao Liu, Chen Deng, and Wei Sun. 2023. "Application of Manifold Corrections in Tidal Evolution of Exoplanetary Systems" Symmetry 15, no. 1: 253. https://doi.org/10.3390/sym15010253
APA StyleXiao, Q.-Q., Wang, Y., Liu, F.-Y., Deng, C., & Sun, W. (2023). Application of Manifold Corrections in Tidal Evolution of Exoplanetary Systems. Symmetry, 15(1), 253. https://doi.org/10.3390/sym15010253
