Realization of Quantum Swap Gate and Generation of Entangled Coherent States
Abstract
1. Introduction
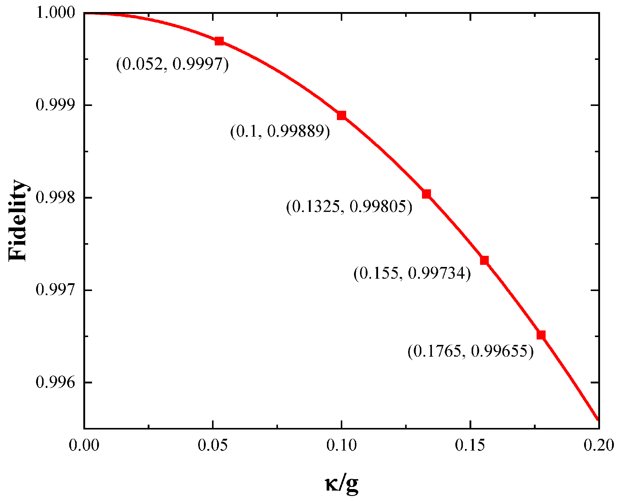
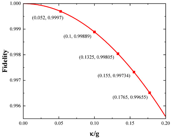
2. Swap Gate for Photonic Qubits
3. Preparation of Entangled Coherent State
4. Criteria of Nonclassicality
4.1. Antibunching
4.2. Squeezing
5. Conclusions
Author Contributions
Funding
Data Availability Statement
Conflicts of Interest
References
- Su, S.L.; Shen, H.Z.; Liang, E.; Zhang, S. One-step construction of the multiple-qubit Rydberg controlled-phase gate. Phys. Rev. A 2018, 98, 032306. [Google Scholar] [CrossRef]
- Su, S.L.; Gao, Y.; Liang, E.; Zhang, S. Fast Rydberg antiblockade regime and its applications in quantum logic gates. Phys. Rev. A 2017, 95, 022319. [Google Scholar] [CrossRef]
- Kang, Y.H.; Shi, Z.-C.; Song, J.; Xia, Y. Heralded atomic nonadiabatic holonomic quantum computation with Rydberg blockade. Phys. Rev. A 2020, 102, 022617. [Google Scholar] [CrossRef]
- Kang, Y.H.; Shi, Z.-C.; Huang, B.H.; Song, J.; Xia, Y. Flexible scheme for the implementation of nonadiabatic geometric quantum computation. Phys. Rev. A 2020, 101, 032322. [Google Scholar] [CrossRef]
- Su, S.L.; Guo, F.Q.; Tian, L.; Zhu, X.Y.; Yan, L.L.; Liang, E.J.; Feng, M. Nondestructive Rydberg parity meter and its applications. Phys. Rev. A 2020, 101, 012347. [Google Scholar] [CrossRef]
- Zheng, R.H.; Kang, Y.H.; Su, S.L.; Song, J.; Xia, Y. Robust and high-fidelity nondestructive Rydberg parity meter. Phys. Rev. A 2020, 102, 012609. [Google Scholar] [CrossRef]
- Zheng, R.H.; Xiao, Y.; Su, S.L.; Chen, Y.H.; Shi, Z.-C.; Song, J.; Xia, Y.; Zheng, S.B. Fast and dephasing-tolerant preparation of steady Knill-Laflamme-Milburn states via dissipative Rydberg pumping. Phys. Rev. A 2021, 103, 052402. [Google Scholar] [CrossRef]
- Zou, X.B.; Pahlke, K.; Mathis, W. Generation of two-mode nonclassical states and a quantum-phase-gate operation in trapped-ion cavity QED. Phys. Rev. A 2002, 65, 064303. [Google Scholar] [CrossRef]
- Xiong, W.; Tian, M.; Zhang, G.Q. Strong long-range spin-spin coupling via a Kerr magnon interface. Phys. Rev. B 2022, 105, 245310. [Google Scholar] [CrossRef]
- Shao, X.Q.; Zhu, A.D.; Zhang, S.; Chung, J.S.; Yeon, K.H. Efficient scheme for implementing an N-qubit Toffoli gate by a single resonant interaction with cavity quantum electrodynamics. Phys. Rev. A 2007, 75, 034307. [Google Scholar] [CrossRef]
- Su, S.L.; Liang, E.; Zhang, S.; Wen, J.J.; Sun, L.L.; Jin, Z.; Zhu, A.D. One-step implementation of the Rydberg-Rydberg-interaction gate. Phys. Rev. A 2016, 93, 012306. [Google Scholar] [CrossRef]
- Li, D.X.; Shao, X.Q. Directional quantum state transfer in a dissipative Rydberg-atom-cavity system. Phys. Rev. A 2019, 99, 032348. [Google Scholar] [CrossRef]
- Li, D.X.; Shao, X.Q.; Wu, J.H.; Yi, X.X. Dissipation-induced W state in a Rydberg-atom-cavity system. Opt. Lett. 2018, 43, 1639–1642. [Google Scholar] [CrossRef] [PubMed]
- Li, D.X.; Shao, X.Q.; Wu, J.H.; Yi, X.X. Engineering steady-state entanglement via dissipation and quantum Zeno dynamics in an optical cavity. Opt. Lett. 2017, 42, 3904–3907. [Google Scholar] [CrossRef] [PubMed]
- Kang, Y.H.; Shi, Z.-C.; Song, J.; Xia, Y. Effective discrimination of chiral molecules in optical cavity. Opt. Lett. 2020, 45, 4952–4955. [Google Scholar] [CrossRef] [PubMed]
- Guo, Y.; Shu, C.C.; Dong, D.; Nori, F. Vanishing and Revival of Resonance Raman Scattering. Phys. Rev. Lett. 2019, 123, 223202. [Google Scholar] [CrossRef]
- Guo, Y.; Luo, X.; Ma, S.; Shu, C.C. All-optical generation of quantum entangled states with strictly constrained ultrafast laser pulses. Phys. Rev. A 2019, 100, 023409. [Google Scholar] [CrossRef]
- Ma, S.; Xue, S.B.; Guo, Y.; Shu, C.C. Numerical detection of Gaussian entanglement and its application to the identification of bound entangled Gaussian states. Quantum Inf. Process. 2020, 19, 225. [Google Scholar] [CrossRef]
- Liu, T.; Guo, B.Q.; Yu, C.S. One-step implementation of a hybrid Fredkin gate with quantum memories and single superconducting qubit in circuit QED and its applications. Opt. Express 2018, 26, 4498–4511. [Google Scholar] [CrossRef]
- Liu, T.; Su, Q.P.; Xiong, S.J. Generation of a macroscopic entangled coherent state using quantum memories in circuit QED. Sci. Rep. 2016, 6, 1–15. [Google Scholar] [CrossRef]
- Liu, T.; Zhang, Y.; Guo, B.Q. Circuit QED: Cross-Kerr effect induced by a superconducting qutrit without classical pulses. Quantum Inf. Process. 2017, 16, 1–16. [Google Scholar] [CrossRef]
- Liu, T.; Xiong, S.J.; Cao, X.Z. Efficient transfer of an arbitrary qutrit state in circuit quantum electrodynamics. Optics. Lett. 2015, 40, 5602–5605. [Google Scholar] [CrossRef] [PubMed]
- Liu, T.; Su, Q.P.; Yang, J.H. Transferring arbitrary d-dimensional quantum states of a superconducting transmon qudit in circuit QED. Sci. Rep. 2017, 7, 1–10. [Google Scholar] [CrossRef] [PubMed]
- Liao, J.Q.; Huang, J.F.; Liu, Y.X.; Kuang, L.M.; Sun, C.P. Quantum switch for single-photon transport in a coupled superconducting transmission-line-resonator array. Phys. Rev. A 2009, 80, 014301. [Google Scholar] [CrossRef]
- Zhou, L.; Gao, Y.B.; Song, Z.; Sun, C.P. Coherent output of photons from coupled superconducting transmission line resonators controlled by charge qubits. Phys. Rev. A 2008, 77, 013831. [Google Scholar] [CrossRef]
- Xiong, W.; Jin, D.Y.; Jing, J.; Lam, C.H.; You, J.Q. Controllable coupling between a nanomechanical resonator and a coplanar-waveguide resonator via a superconducting flux qubit. Phys. Rev. A 2015, 92, 032318. [Google Scholar] [CrossRef]
- Xiong, W.; Chen, J.J.; Fang, B.L.; Wang, M.F.; Ye, L.; You, J.Q. Strong tunable spin-spin interaction in a weakly coupled nitrogen vacancy spin-cavity electromechanical system. Phys. Rev. B 2021, 103, 174106. [Google Scholar] [CrossRef]
- Xiong, W.; Qiu, Y.Y.; Wu, L.A.; You, J.Q. Amplification of the coupling strength in a hybrid quantum system. New, J. Phys. 2018, 20, 043037. [Google Scholar] [CrossRef]
- Zhang, F.Y.; Yang, C.P. Generation of generalized hybrid entanglement in cavity electro–optic systems. Quantum. Sci. Technol. 2021, 6, 025003. [Google Scholar]
- Zhang, F.Y.; Wu, Q.C.; Yang, C.P. Non-Hermitian shortcut to adiabaticity in Floquet cavity electromagnonics. Phys. Rev. A 2022, 106, 012609. [Google Scholar] [CrossRef]
- Zhang, F.; Chen, Z.; Li, C. Controllable preparation of entangled coherent states with superconducting system. Phys. Lett. A 2012, 376, 2418–2421. [Google Scholar] [CrossRef]
- Zhang, F.; Liu, B.; Chen, Z. Controllable quantum information network with a superconducting system. Ann. Phys. 2014, 346, 103–112. [Google Scholar] [CrossRef]
- Zhang, F.Y.; Chen, X.Y.; Li, C. Long-distance quantum information transfer with strong coupling hybrid solid system. Sci. Rep. 2015, 5, 1–6. [Google Scholar] [CrossRef] [PubMed]
- Xu, P.; Yang, X.C.; Mei, F. Controllable high-fidelity quantum state transfer and entanglement generation in circuit QED. Sci. Rep. 2016, 6, 1–9. [Google Scholar] [CrossRef] [PubMed]
- Xu, P.; Zhao, P.; Zhong, W. Violation of Bell’s inequalities by continuous probing of a two-qubit system. Quantum Inf. Processing 2021, 20, 1–14. [Google Scholar] [CrossRef]
- Xu, P.; Zhao, S.M. Fast population transfer and entanglement preparation among four superconducting flux qubits. Laser Phys. Lett. 2020, 17, 105203. [Google Scholar] [CrossRef]
- Ji, Y.H.; Liu, Y.M. Controllable preparation of two-mode entangled coherent states in circuit QED. Chin. Phys. B 2014, 23, 110303. [Google Scholar] [CrossRef]
- Ji, Y.H.; Liu, Y.M. Preparation and non-classical characteristics of two-mode entangled coherent state. Optik 2016, 127, 3211–3217. [Google Scholar] [CrossRef]
- Zhou, L.; Xiong, H. A macroscopical entangled coherent state generator in a V configuration atom system. J. Phys. B-AT. Mol. Opt. 2008, 41, 025501. [Google Scholar] [CrossRef]
- Zheng, S.B. Efficient scheme for realizing beam-splitter-type coupling for two cavity modes. Opt. Commun 2007, 277, 349–352. [Google Scholar] [CrossRef]
- Villas-Boas, C.J.; de Almeida, N.G.; Serra, R.M. Squeezing arbitrary cavity-field states through their interaction with a single driven atom. Phys. Rev. A 2003, 68, 061801. [Google Scholar] [CrossRef]
- Serra, R.M.; Villas-Boas, C.J.; de Almeida, N.G. Frequency up-and down-conversions in two-mode cavity quantum electrodynamics. Phys. Rev. A 2005, 71, 045802. [Google Scholar] [CrossRef]
- Zou, X.; Dong, Y.; Guo, G. Schemes for realizing frequency up-and down-conversions in two-mode cavity QED. Phys. Rev. A 2006, 73, 025802. [Google Scholar] [CrossRef]
- Solano, E.; Agarwal, G.S.; Walther, H. Strong-driving-assisted multipartite entanglement in cavity QED. Phys. Rev. Lett. 2003, 90, 027903. [Google Scholar] [CrossRef]
- Wang, X.G.; Sanders, B.C. Multipartite entangled coherent states. Phys. Rev. A 2001, 65, 012303. [Google Scholar] [CrossRef]
- Mu, Q.X.; Ma, Y.H. Generation of two-mode entangled coherent states via a cavity QED system. J. Phys. A-Math. Theor. 2009, 42, 225304. [Google Scholar] [CrossRef]
- Mu, Q.X.; Ma, Y.H.; Zhou, L. Generating an entangled coherent state of two cavity modes in a three-level Λ-type atomic system. J. Phys. B At. Mol. Opt. Phys. 2007, 40, 3241. [Google Scholar] [CrossRef]
- Dodonov, V.V.; Man’Ko, V.I.; Nikonov, D.E. Even and odd coherent states for multimode parametric systems. Phys. Rev. A 1995, 51, 3328. [Google Scholar] [CrossRef]
- Ansari, N.A.; Man’ko, V.I. Photon statistics of multimode even and odd coherent light. Phys. Rev. A 1994, 50, 1942. [Google Scholar] [CrossRef]
- López-Saldívar, J.A.; Man’ko, M.A.; Man’ko, V.I. Differential parametric formalism for the evolution of Gaussian states: Nonunitary evolution and invariant states. Entropy 2020, 22, 586. [Google Scholar] [CrossRef]
- Buzek, V.; Vidiella-Barranco, A.; Knight, P.L. Superpositios of coherent states: Squeezing and dissipation. Phys. Rev. A 1992, 45, 6570–6585. [Google Scholar] [CrossRef] [PubMed]
- Xia, Y.; Guo, G. Nonclassical properties of even and odd coherent states. Phys. Lett. A 1989, 136, 281–283. [Google Scholar] [CrossRef]
- Hillery, M. Amplitude-squared squeezing of the electromagnetic field. Phys. Rev. A 1987, 36, 3796. [Google Scholar] [CrossRef] [PubMed]
- Gerry, C.C. Proposal for generating even and odd coherent states. Opt. Commun. 1992, 91, 247–251. [Google Scholar] [CrossRef]
- Walls, D.F. Squeezed states of light. Nature 1983, 306, 141–146. [Google Scholar] [CrossRef]
- Schleich, W.; Wheeler, J.A. Oscillations in photon distribution of squeezed states. JOSA B 1987, 4, 1715–1722. [Google Scholar] [CrossRef]
- Schrade, G.; Akulin, V.M.; Man’ko, V.I. Photon statistics of a two-mode squeezed vacuum. Phys. Rev. A 1993, 48, 2398. [Google Scholar] [CrossRef]
- Lynch, R. Phase fluctuations in a squeezed state using measured phase operators. JOSA B 1987, 4, 1723–1726. [Google Scholar] [CrossRef]
- Grønbech-Jensen, N.; Christiansen, P.L.; Ramanujam, P.S. Phase properties of squeezed states. JOSA B 1989, 6, 2423–2429. [Google Scholar] [CrossRef]
- Scully, M.O.; Zubairy, M.S. Quantum Optics; Cambridge University Press: Cambridge, UK, 1997. [Google Scholar]
- Walls, D.F.; Milburn, G.J. Quantum Optics; Springer Press: Berlin, Germany, 2008. [Google Scholar]











Publisher’s Note: MDPI stays neutral with regard to jurisdictional claims in published maps and institutional affiliations. |
© 2022 by the authors. Licensee MDPI, Basel, Switzerland. This article is an open access article distributed under the terms and conditions of the Creative Commons Attribution (CC BY) license (https://creativecommons.org/licenses/by/4.0/).
Share and Cite
Zhang, Z.; Jiang, X.; Tang, S. Realization of Quantum Swap Gate and Generation of Entangled Coherent States. Symmetry 2022, 14, 1951. https://doi.org/10.3390/sym14091951
Zhang Z, Jiang X, Tang S. Realization of Quantum Swap Gate and Generation of Entangled Coherent States. Symmetry. 2022; 14(9):1951. https://doi.org/10.3390/sym14091951
Chicago/Turabian StyleZhang, Ziqiu, Xi Jiang, and Shiqing Tang. 2022. "Realization of Quantum Swap Gate and Generation of Entangled Coherent States" Symmetry 14, no. 9: 1951. https://doi.org/10.3390/sym14091951
APA StyleZhang, Z., Jiang, X., & Tang, S. (2022). Realization of Quantum Swap Gate and Generation of Entangled Coherent States. Symmetry, 14(9), 1951. https://doi.org/10.3390/sym14091951
