Magneto-Hydrodynamic Flow above Exponentially Stretchable Surface with Chemical Reaction
Abstract
:1. Introduction
2. Problem Formulation
- (1)
- The negligible effect of gravitation is considered.
- (2)
- Thermal conductivity and specific heat are not depending on temperature.
- (3)
- A uniform magnetic field is applied normally on the stretching sheet.
- (4)
- The flow is laminar and has constant density.
- (5)
- The adjustable chemical reaction is considered, and the sheet is permeable.
- (6)
- The induced electric and magnetic fields are neglected.
3. Numerical Scheme
4. Results and Discussion
4.1. Velocity Profiles
4.2. Temperature Profile
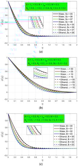
4.3. Concentration Profile
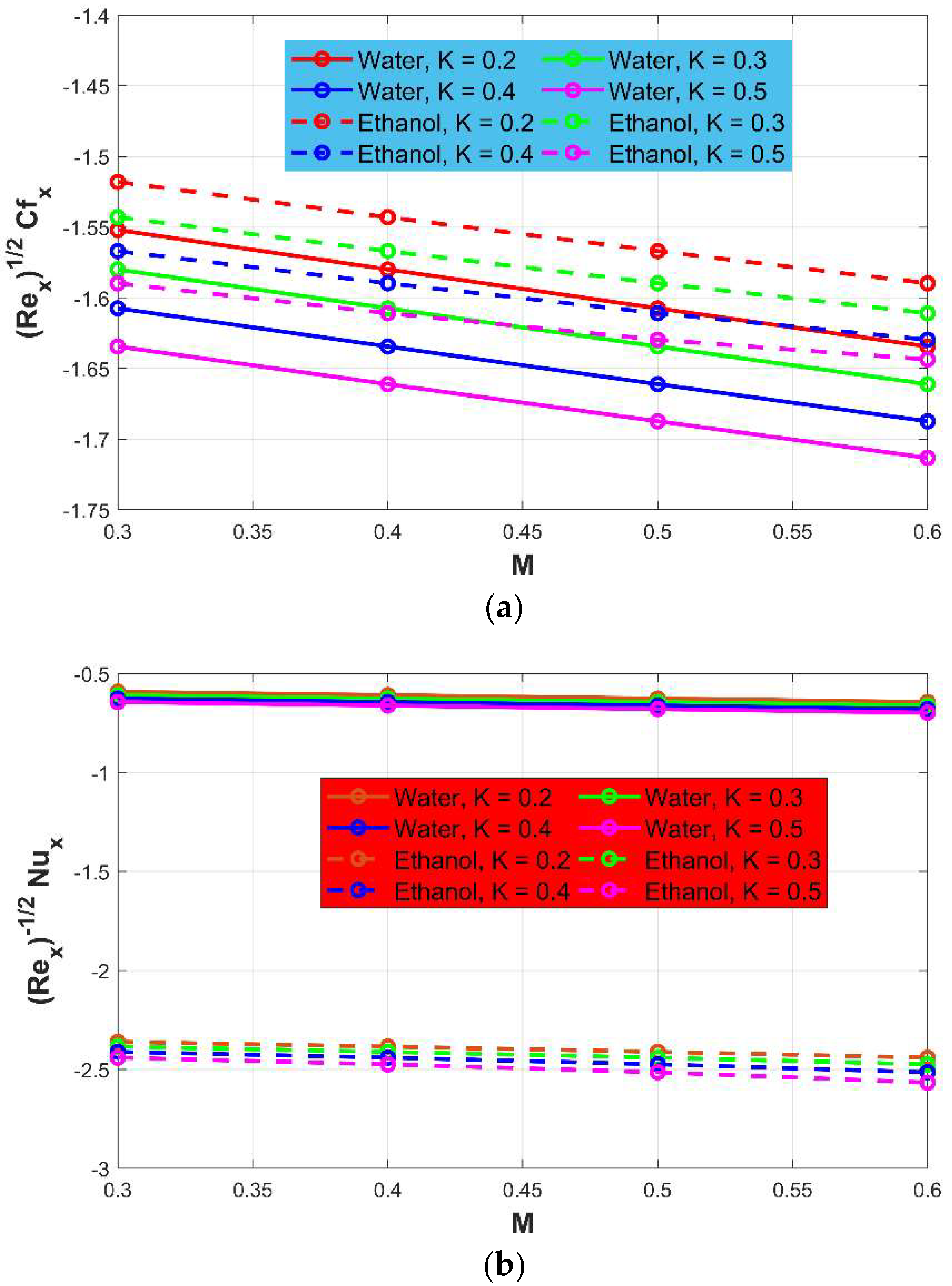
4.4. Skin Frictions, Nusselt and Sherwood Numbers
5. Conclusions
- The velocity profile increases by a rise in mass and temperature convective parameter while it decays with a rise in porosity and magnetic parameter.
- The temperature profile decays by a rise in temperature exponent and Prandtl number while it increases by a rise in porosity, thermophoresis, and magnetic parameter.
- The concentration profile increases by rising in porosity while it decays by rising in concentration exponent, chemical reaction, and Schmidt number.
- Skin frictions, Nusselt number, and Sherwood number decay by an increase in porosity and magnetic parameter.
- Chemical reaction and thermophoresis parameters increase the Sherwood number.
- Nusselt number increases by rising in mass and temperature convective parameter, temperature exponent, thermophoresis parameter, and concentration exponent.
- Low skin friction and Nusselt and Sherwood number are observed for water as compared to ethanol.
Author Contributions
Funding
Institutional Review Board Statement
Informed Consent Statement
Data Availability Statement
Acknowledgments
Conflicts of Interest
Nomenclature
| Brownian and Thermophoresis diffusion | |
| Constants | |
| Magnetic parameter | |
| Temperature and concentration | |
| Nusselt and Sherwood number | |
| Chemical reaction, porous medium parameter | |
| Prandtl and Schmidt number | |
| Stretching ratio parameter | |
| Heat and mass flux | |
| Temperature diffusivity | |
| MHD | Magneto-hydrodynamic |
| Temperature and mass Grashof number | |
| Skin friction coefficients | |
| Thermal conductivity | |
| Wall shear stress | |
| Dimensionless velocity | |
| Temperature, and concentration | |
| Temperature and mass convective parameter | |
| Temperature exponent | |
| Brownian diffusion and Thermophoresis parameter | |
| Kinematic viscosity | |
| Reference length | |
| 3D | Three dimensional |
| Concentration exponent |
References
- Crane, L.J. Flow past a stretching plate. Z. Für Angew. Math. Phys. ZAMP 1970, 21, 645–647. [Google Scholar] [CrossRef]
- Takhar, H.S.; Chamkha, A.J.; Nath, G. Unsteady three-dimensional MHD-boundary-layer flow due to the impulsive motion of a stretching surface. Acta Mech. 2001, 146, 59–71. [Google Scholar] [CrossRef]
- Sajid, M.; Hayat, T. Influence of thermal radiation on the boundary layer flow due to an exponentially stretching sheet. Int. Commun. Heat Mass Transf. 2008, 35, 347–356. [Google Scholar] [CrossRef]
- Fang, T.; Zhang, J.; Zhong, Y. Boundary layer flow over a stretching sheet with variable thickness. Appl. Math. Comput. 2012, 218, 7241–7252. [Google Scholar] [CrossRef]
- Hussain, A.; Arshad, M.; Hassan, A.; Rehman, A.; Ahmad, H.; Baili, J.; Gia, T.N. Heat transport investigation of engine oil based rotating nanomaterial liquid flow in the existence of partial slip effect. Case Stud. Therm. Eng. 2021, 28, 101500. [Google Scholar] [CrossRef]
- Hussain, A.; Arshad, M.; Rehman, A.; Hassan, A.; Elagan, S.K.; Alshehri, N.A. Heat transmission of engine-oil-based rotating nanofluids flow with influence of partial slip condition: A Computational model. Energies 2021, 14, 3859. [Google Scholar] [CrossRef]
- Makinde, O.D.; Khan, Z.H.; Ahmad, R.; Khan, W.A. Numerical study of unsteady hydromagnetic radiating fluid flow past a slippery stretching sheet embedded in a porous medium. Phys. Fluids 2018, 30, 083601. [Google Scholar] [CrossRef]
- Arshad, M.; Hussain, A.; Hassan, A.; Khan, I.; Badran, M.; Mehrez, S.; Elfasakhany, A.; Abdeljawad, T.; Galal, A.M. Heat Transfer Analysis of Nanostructured Material Flow over an Exponentially Stretching Surface: A Comparative Study. Nanomaterials 2022, 12, 1204. [Google Scholar] [CrossRef]
- Hamid, M.; Usman, M.; Zubair, T.; Haq, R.U.; Wang, W. Shape effects of MoS2 nanoparticles on rotating flow of nanofluid along a stretching surface with variable thermal conductivity: A Galerkin approach. Int. J. Heat Mass Transf. 2018, 124, 706–714. [Google Scholar] [CrossRef]
- Shyam, S.; Yadav, A.; Gawade, Y.; Mehta, B.; Mondal, P.K.; Asfer, M. Dynamics of a single isolated ferrofluid plug inside a micro-capillary in the presence of externally applied magnetic field. Exp. Fluids 2020, 61, 210. [Google Scholar] [CrossRef]
- Kumar, M.; Mondal, P.K. Irreversibility analysis of hybrid nanofluid flow over a rotating disk: Effect of thermal radiation and magnetic field. Colloids Surf. A Physicochem. Eng. Asp. 2022, 635, 128077. [Google Scholar] [CrossRef]
- Arshad, M.; Hussain, A.; Shah, S.A.G.A.; Wróblewski, P.; Elkotb, M.A.; Abdelmohimen, M.A.; Hassan, A. Thermal energy investigation of magneto-hydrodynamic nano-material liquid flow over a stretching sheet: Comparison of single and composite particles. Alex. Eng. J. 2022, 61, 10453–10462. [Google Scholar] [CrossRef]
- Farooq, U.; Lu, D.; Munir, S.; Ramzan, M.; Suleman, M.; Hussain, S. MHD flow of Maxwell fluid with nanomaterials due to an exponentially stretching surface. Sci. Rep. 2019, 9, 7312. [Google Scholar] [CrossRef] [PubMed]
- Hussain, A.; Hassan, A.; Al Mdallal, Q.; Ahmad, H.; Rehman, A.; Altanji, M.; Arshad, M. Heat transportation enrichment and elliptic cylindrical solution of time-dependent flow. Case Stud. Therm. Eng. 2021, 27, 101248. [Google Scholar] [CrossRef]
- Hassan, A.; Hussain, A.; Arshad, M.; Alanazi, M.M.; Zahran, H.Y. Numerical and Thermal Investigation of Magneto-Hydrodynamic Hybrid Nanoparticles (SWCNT-Ag) under Rosseland Radiation: A Prescribed Wall Temperature Case. Nanomaterials 2022, 12, 891. [Google Scholar] [CrossRef]
- Hussain, A.; Hassan, A.; Arshad, M.; Rehman, A.; Matoog, R.T.; Abdeljawad, T. Numerical simulation and thermal enhancement of multi-based nanofluid over an embrittled cone. Case Stud. Therm. Eng. 2021, 28, 101614. [Google Scholar] [CrossRef]
- Ahmad, F.; Tang, X.W.; Qiu, J.N.; Wróblewski, P.; Ahmad, M.; Jamil, I. Prediction of slope stability using Tree Augmented Naive-Bayes classifier: Modeling and performance evaluation. Math. Biosci. Eng. 2022, 19, 4526–4546. [Google Scholar] [CrossRef]
- Hussain, A.; Hassan, A.; Al Mdallal, Q.; Ahmad, H.; Rehman, A.; Altanji, M.; Arshad, M. Heat transport investigation of magneto-hydrodynamics (SWCNT-MWCNT) hybrid nanofluid under the thermal radiation regime. Case Stud. Therm. Eng. 2021, 27, 101244. [Google Scholar] [CrossRef]
- Hayat, T.; Shafiq, A.; Alsaedi, A.; Shahzad, S.A. Unsteady MHD flow over exponentially stretching sheet with slip conditions. Appl. Math. Mech. 2016, 37, 193–208. [Google Scholar] [CrossRef]
- Hassan, A.; Hussain, A.; Arshad, M.; Haider, Q.; Althobaiti, A.; Elagan, S.K.; Alqurashi, M.S.; Abdelmohimen, M.A. Heat transport investigation of hybrid nanofluid (Ag-CuO) porous medium flow: Under magnetic field and Rosseland radiation. Ain Shams Eng. J. 2022, 13, 101667. [Google Scholar] [CrossRef]
- Chakhma, A.J.; Khaled, A.R.A. Similarity solutions for hydromagnetic mixed convection heat and mass transfer for Hiemenz flow through porous media. Int. J. Numer. Methods Heat Fluid Flow 2000, 10, 94–115. [Google Scholar]
- Bahiraei, M.; Hangi, M. Flow and heat transfer characteristics of magnetic nanofluids: A review. J. Magn. Magn. Mater. 2015, 374, 125–138. [Google Scholar] [CrossRef]
- Arshad, M.; Hussain, A.; Hassan, A.; Shah, S.A.G.A.; Elkotb, M.A.; Gouadria, S.; Alsehli, M.; Galal, A.M. Heat and mass transfer analysis above an unsteady infinite porous surface with chemical reaction. Case Stud. Therm. Eng. 2022, 36, 102140. [Google Scholar] [CrossRef]
- Hussain, A.; Elkotb, M.A.; Arshad, M.; Rehman, A.; Sooppy Nisar, K.; Hassan, A.; Saleel, C.A. Computational investigation of the combined impact of nonlinear radiation and magnetic field on three-dimensional rotational nanofluid flow across a stretchy surface. Processes 2021, 9, 1453. [Google Scholar] [CrossRef]
- Pramanik, S. Casson fluid flow and heat transfer past an exponentially porous stretching surface in presence of thermal radiation. Ain Shams Eng. J. 2014, 5, 205–212. [Google Scholar] [CrossRef]
- Mukhopadhyay, S.; Gorla, R.S.R. Effects of partial slip on boundary layer flow past a permeable exponential stretching sheet in presence of thermal radiation. Heat Mass Transf. 2012, 48, 1773–1781. [Google Scholar] [CrossRef]
- Ullah, I.; Hussain, I.; Rehman, K.; Wróblewski, P.; Lewicki, W.; Kavin, B.P. Exploiting the Moth–Flame Optimization Algorithm for Optimal Load Management of the University Campus: A Viable Approach in the Academia Sector. Energies 2022, 15, 3741. [Google Scholar] [CrossRef]
- Hussain, A.; Hassan, A.; Mdallal, Q.A.; Ahmad, H.; Sherif, E.S.M.; Rehman, A.; Arshad, M. Comsolic solution of an elliptic cylindrical compressible fluid flow. Sci. Rep. 2021, 11, 20030. [Google Scholar] [CrossRef]
- Wróblewski, P.; Niekurzak, M. Assessment of the Possibility of Using Various Types of Renewable Energy Sources Installations in Single-Family Buildings as Part of Saving Final Energy Consumption in Polish Conditions. Energies 2022, 15, 1329. [Google Scholar] [CrossRef]
- Hussain, A.; Arshad, M.; Rehman, A.; Hassan, A.; Elagan, S.K.; Ahmad, H.; Ishan, A. Three-dimensional water-based magneto-hydrodynamic rotating nanofluid flow over a linear extending sheet and heat transport analysis: A numerical approach. Energies 2021, 14, 5133. [Google Scholar] [CrossRef]
- Misra, J.C.; Sinha, A. Effect of thermal radiation on MHD flow of blood and heat transfer in a permeable capillary in stretching motion. Heat Mass Transf. 2013, 49, 617–628. [Google Scholar] [CrossRef]
- Mukhopadhyay, S. Slip effects on MHD boundary layer flow over an exponentially stretching sheet with suction/blowing and thermal radiation. Ain Shams Eng. J. 2013, 4, 485–491. [Google Scholar] [CrossRef]
- Gorthi, S.R.; Mondal, P.K.; Biswas, G.; Sahu, K.C. Electro-capillary filling in a microchannel under the influence of magnetic and electric fields. Can. J. Chem. Eng. 2021, 99, 725–741. [Google Scholar] [CrossRef]
- Irfan, M.; Farooq, M.A. Thermophoretic MHD free stream flow with variable internal heat generation/absorption and variable liquid characteristics in a permeable medium over a radiative exponentially stretching sheet. J. Mater. Res. Technol. 2020, 9, 4855–4866. [Google Scholar] [CrossRef]
- Etwire, C.J.; Seini, I.Y.; RABIU, M.; Makinde, O.D. Impact of thermophoretic transport of Al2O3 nanoparticles on viscoelastic flow of oil-based nanofluid over a porous exponentially stretching surface with activation energy. Eng. Trans. 2019, 67, 387–410. [Google Scholar]
- Arshad, M.; Hussain, A.; Hassan, A.; Haider, Q.; Ibrahim, A.H.; Alqurashi, M.S.; Almaliki, A.H.; Abdussattar, A. Thermophoresis and brownian effect for chemically reacting magneto-hydrodynamic nanofluid flow across an exponentially stretching sheet. Energies 2021, 15, 143. [Google Scholar] [CrossRef]
- Bhatti, M.M.; Rashidi, M.M. Effects of thermo-diffusion and thermal radiation on Williamson nanofluid over a porous shrinking/stretching sheet. J. Mol. Liq. 2016, 221, 567–573. [Google Scholar] [CrossRef]
- Makinde, O.D.; Animasaun, I.L. Bioconvection in MHD nanofluid flow with nonlinear thermal radiation and quartic autocatalysis chemical reaction past an upper surface of a paraboloid of revolution. Int. J. Therm. Sci. 2016, 109, 159–171. [Google Scholar] [CrossRef]
- Chamkha, A.J.; Aly, A.M.; Mansour, M.A. Similarity solution for unsteady heat and mass transfer from a stretching surface embedded in a porous medium with suction/injection and chemical reaction effects. Chem. Eng. Commun. 2010, 197, 846–858. [Google Scholar] [CrossRef]
- Chaudhary, R.C.; Jain, A. Combined heat and mass transfer effects on MHD free convection flow past an oscillating plate embedded in porous medium. Rom. J. Phys. 2007, 52, 505–524. [Google Scholar]
- Abouelregal, A.E.; Marin, M. The size-dependent thermoelastic vibrations of nanobeams subjected to harmonic excitation and rectified sine wave heating. Mathematics 2020, 8, 1128. [Google Scholar] [CrossRef]
- Bhatti, M.M.; Marin, M.; Zeeshan, A.; Abdelsalam, S.I. Recent trends in computational fluid dynamics. Front. Phys. 2020, 8, 593111. [Google Scholar] [CrossRef]
- Hernández, V.R.; Zueco, J. Network numerical analysis of radiation absorption and chemical effects on unsteady MHD free convection through a porous medium. Int. J. Heat Mass Transf. 2013, 64, 375–383. [Google Scholar] [CrossRef]
- Pal, D.; Mondal, H. MHD non-Darcian mixed convection heat and mass transfer over a non-linear stretching sheet with Soret–Dufour effects and chemical reaction. Int. Commun. Heat Mass Transf. 2011, 38, 463–467. [Google Scholar] [CrossRef]
- Nayak, M.K.; Akbar, N.S.; Tripathi, D.; Khan, Z.H.; Pandey, V.S. MHD 3D free convective flow of nanofluid over an exponentially stretching sheet with chemical reaction. Adv. Powder Technol. 2017, 28, 2159–2166. [Google Scholar] [CrossRef]
- Suleman, M.; Ramzan, M.; Zulfiqar, M.; Bilal, M.; Shafee, A.; Chung, J.D.; Lu, D.; Farooq, U. Entropy analysis of 3D non-Newtonian MHD nanofluid flow with nonlinear thermal radiation past over exponential stretched surface. Entropy 2018, 20, 930. [Google Scholar] [CrossRef] [PubMed]
- Nadeem, S.; Haq, R.U.; Khan, Z.H. Heat transfer analysis of water-based nanofluid over an exponentially stretching sheet. Alex. Eng. J. 2014, 53, 219–224. [Google Scholar] [CrossRef]








| M | Present Results | Nadeem et al. [47] |
|---|---|---|
| 0.3 | 0.2 | 0.6 | 0.3 | 0.3 | 0.4 | 0.5 | 0.2 | 0.6 | 0.5 | 0.6 | −1.55198 | −0.820002 | −0.592402 | 1.50502 |
| 0.4 | −1.57992 | −0.837306 | −0.609415 | 1.50177 | ||||||||||
| 0.5 | −1.60741 | −0.854284 | −0.626682 | 1.49859 | ||||||||||
| 0.6 | −1.66111 | −0.887344 | −0.661989 | 1.49239 | ||||||||||
| 0.7 | −1.68736 | −0.903459 | −0.680045 | 1.48935 | ||||||||||
| 0.8 | −1.71324 | −0.919317 | −0.698379 | 1.48636 | ||||||||||
| 0.7 | −1.55084 | −0.818602 | −0.590103 | 1.50532 | ||||||||||
| 0.8 | −1.54971 | −0.817207 | −0.587867 | 1.50562 | ||||||||||
| 0.9 | −1.54858 | −0.815818 | −0.585689 | 1.50591 | ||||||||||
| 0.4 | −1.48712 | −0.749259 | −0.551301 | 1.51391 | ||||||||||
| 0.5 | −1.42378 | −0.680671 | −0.515572 | 1.52201 | ||||||||||
| 0.6 | −1.36203 | −0.613886 | −0.483922 | 1.52952 | ||||||||||
| 0.4 | −1.55997 | −0.829141 | −0.309853 | 1.51559 | ||||||||||
| 0.5 | −1.56703 | −0.837203 | −0.047556 | 1.52482 | ||||||||||
| 0.6 | −1.57333 | −0.844397 | −0.197963 | 1.53293 | ||||||||||
| 0.5 | −1.55172 | −0.819698 | −0.619867 | 1.52397 | ||||||||||
| 0.6 | −1.55144 | −0.819417 | −0.646619 | 1.54269 | ||||||||||
| 0.7 | −1.55119 | −0.819155 | −0.672707 | 1.56119 | ||||||||||
| 0.6 | −1.54912 | −0.816769 | −0.726352 | 1.55146 | ||||||||||
| 0.7 | −1.54682 | −0.814234 | −0.844766 | 1.59605 | ||||||||||
| 0.8 | −1.54501 | −0.812233 | −0.951074 | 1.63912 | ||||||||||
| 0.3 | −1.55162 | −0.819588 | −0.601766 | 1.50639 | ||||||||||
| 0.4 | −1.55126 | −0.819171 | −0.611139 | 1.50775 | ||||||||||
| 0.5 | −1.55092 | −0.818752 | −0.620522 | 1.50911 | ||||||||||
| 0.7 | −1.60272 | −1.04137 | −0.504336 | 1.52496 | ||||||||||
| 0.8 | −1.65203 | −1.26967 | −0.420175 | 1.54422 | ||||||||||
| 0.9 | −1.70002 | −1.50483 | −0.339612 | 1.56228 | ||||||||||
| 0.6 | −1.55854 | −0.827222 | −0.197169 | 1.35921 | ||||||||||
| 0.7 | −1.55997 | −0.828592 | −0.004692 | 1.25034 | ||||||||||
| 0.8 | −1.55932 | −0.827594 | 0.096163 | 1.16727 | ||||||||||
| 0.3 | −1.59827 | −0.872405 | 1.426472 | 1.07106 | ||||||||||
| 0.4 | −1.58894 | −0.861872 | 0.948635 | 1.22842 | ||||||||||
| 0.5 | −1.57538 | −0.846562 | 0.313981 | 1.37673 |
| 0.3 | −1.51799 | −0.785003 | −2.36096 | 1.46091 | ||||||||||
| 0.4 | −1.54297 | −0.798889 | −2.38491 | 1.45422 | ||||||||||
| 0.5 | −1.56693 | −0.811822 | −2.41134 | 1.44686 | ||||||||||
| 0.6 | −1.61086 | −0.833746 | −2.47464 | 1.42883 | ||||||||||
| 0.7 | −1.62967 | −0.841405 | −2.51481 | 1.41643 | ||||||||||
| 0.8 | −1.64362 | −0.843741 | −2.56741 | 1.39779 | ||||||||||
| 0.7 | −1.51710 | −0.783881 | −2.358312 | 1.46152 | ||||||||||
| 0.8 | −1.51621 | −0.782751 | −2.35577 | 1.46213 | ||||||||||
| 0.9 | −1.51531 | −0.781613 | −2.353323 | 1.46272 | ||||||||||
| 0.4 | −1.45107 | −0.713161 | −2.300743 | 1.47852 | ||||||||||
| 0.5 | −1.38618 | −0.643651 | −2.254673 | 1.49178 | ||||||||||
| 0.6 | −1.32305 | −0.576174 | −2.216883 | 1.50272 | ||||||||||
| 0.4 | −1.54659 | −0.817391 | −1.822983 | 1.49851 | ||||||||||
| 0.5 | −1.56493 | −0.837983 | −1.352733 | 1.52192 | ||||||||||
| 0.6 | −1.57848 | −0.853128 | −0.925557 | 1.53891 | ||||||||||
| 0.5 | −1.51773 | −0.784734 | −2.387893 | 1.47742 | ||||||||||
| 0.6 | −1.51753 | −0.784527 | −2.414123 | 1.49382 | ||||||||||
| 0.7 | −1.51738 | −0.784371 | −2.439782 | 1.51012 | ||||||||||
| 0.6 | −1.51176 | −0.777979 | −2.491912 | 1.49683 | ||||||||||
| 0.7 | −1.50813 | −0.773919 | −2.597682 | 1.53383 | ||||||||||
| 0.8 | −1.50597 | −0.771544 | −2.689922 | 1.57121 | ||||||||||
| 0.3 | −1.51664 | −0.783461 | −2.373752 | 1.46095 | ||||||||||
| 0.4 | −1.51527 | −0.781891 | −2.386522 | 1.46096 | ||||||||||
| 0.5 | −1.51387 | −0.780293 | −2.399192 | 1.46093 | ||||||||||
| 0.7 | −1.58203 | −1.021231 | −2.229782 | 1.49738 | ||||||||||
| 0.8 | −1.64036 | −1.258831 | −2.106492 | 1.52717 | ||||||||||
| 0.9 | −1.69486 | −1.500221 | −1.990282 | 1.55305 | ||||||||||
| 0.6 | −1.55436 | −0.825628 | −1.338712 | 1.35338 | ||||||||||
| 0.7 | −1.56124 | −0.832921 | −0.866811 | 1.24892 | ||||||||||
| 0.8 | −1.56217 | −0.833555 | −0.592008 | 1.16614 | ||||||||||
| 0.7 | −1.62695 | −0.906515 | 1.388572 | 1.08242 | ||||||||||
| 0.8 | −1.61242 | −0.890505 | 0.465142 | 1.24341 | ||||||||||
| 0.9 | −1.58869 | −0.864355 | −0.698724 | 1.38837 |
Publisher’s Note: MDPI stays neutral with regard to jurisdictional claims in published maps and institutional affiliations. |
© 2022 by the authors. Licensee MDPI, Basel, Switzerland. This article is an open access article distributed under the terms and conditions of the Creative Commons Attribution (CC BY) license (https://creativecommons.org/licenses/by/4.0/).
Share and Cite
Arshad, M.; Hussain, A.; Elfasakhany, A.; Gouadria, S.; Awrejcewicz, J.; Pawłowski, W.; Elkotb, M.A.; M. Alharbi, F. Magneto-Hydrodynamic Flow above Exponentially Stretchable Surface with Chemical Reaction. Symmetry 2022, 14, 1688. https://doi.org/10.3390/sym14081688
Arshad M, Hussain A, Elfasakhany A, Gouadria S, Awrejcewicz J, Pawłowski W, Elkotb MA, M. Alharbi F. Magneto-Hydrodynamic Flow above Exponentially Stretchable Surface with Chemical Reaction. Symmetry. 2022; 14(8):1688. https://doi.org/10.3390/sym14081688
Chicago/Turabian StyleArshad, Mubashar, Azad Hussain, Ashraf Elfasakhany, Soumaya Gouadria, Jan Awrejcewicz, Witold Pawłowski, Mohamed Abdelghany Elkotb, and Fahad M. Alharbi. 2022. "Magneto-Hydrodynamic Flow above Exponentially Stretchable Surface with Chemical Reaction" Symmetry 14, no. 8: 1688. https://doi.org/10.3390/sym14081688
APA StyleArshad, M., Hussain, A., Elfasakhany, A., Gouadria, S., Awrejcewicz, J., Pawłowski, W., Elkotb, M. A., & M. Alharbi, F. (2022). Magneto-Hydrodynamic Flow above Exponentially Stretchable Surface with Chemical Reaction. Symmetry, 14(8), 1688. https://doi.org/10.3390/sym14081688

