Next Article in Journal
Introducing Structural Symmetry and Asymmetry Implications in Development of Recent Pharmacy and Medicine
Next Article in Special Issue
Thermodynamical Aspects of the LGGR Approach for Hadron Energy Spectra
Previous Article in Journal
Risk-Based Maintenance Optimization for a Subsea Production System with Epistemic Uncertainty
Previous Article in Special Issue
The Partonic Origin of Multiplicity Scaling in Heavy and Light Flavor Jets
 
 
Font Type:
Arial Georgia Verdana
Font Size:
Aa Aa Aa
Line Spacing:
Column Width:
Background:
Article

Using a Strongly Intense Observable to Study the Formation of Quark-Gluon String Clusters in pp Collisions at LHC Energies

by
Svetlana Belokurova
and
Vladimir Vechernin
*
Department of High Energy Physics and Elementary Particles, Saint-Petersburg State University, 7-9 Universitetskaya Emb., 199034 St. Petersburg, Russia
*
Author to whom correspondence should be addressed.
Symmetry 2022, 14(8), 1673; https://doi.org/10.3390/sym14081673
Submission received: 29 June 2022 / Revised: 27 July 2022 / Accepted: 6 August 2022 / Published: 12 August 2022

Abstract

:
Within the framework of the model with quark-gluon strings (color flux tubes) as sources, the properties of the strongly intense variable Σ , which characterizes the correlations between the number of particles in two observation windows separated in rapidity, are studied. It is shown that, in pp collisions at LHC energies, string fusion effects leading to the formation of string clusters have a significant effect on the behavior of this observable. The experimentally observed changes in this variable with the initial energy and centrality of the pp collision can only be explained by taking into account the formation of string clusters consisting of an increasing number of merged strings. It is demonstrated that the study of the behavior of the Σ observable as a function of the rapidity distance between the centers of the observation windows and the width of these windows with variable experimental conditions using different energies and centralities of pp-collisions makes it possible to extract the parameters of string clusters from the experimental data.

1. Introduction

At present, the semiphenomenological model of quark-gluon strings understood as color flux tubes [1,2] is the standard approach for describing the soft part of hadronic interactions at high energies. Various versions of the string model are used in such Monte Carlo (MC) event generators as PYTHIA, VENUS, HIJNG, AMPT, EPOS, DIPSY etc., to describe soft processes in strong interactions when QCD perturbation theory does not work.
However, now the model is gaining more and more recognition in which at high string density, for example, at high energies in nucleus-nucleus collisions, the strings begin to overlap in the impact parameter plane due to their finite area in the transverse plane. This leads to the need to take into account the interaction between strings, which leads, in particular, to the processes of their merging and the formation of string clusters (“colored ropes”) [3,4,5,6]. In this paper, we show that, at LHC energies, string fusion processes also play an important role in pp interactions.
In [7], as one of the tools for studying the effects of string fusion, it was proposed to study the so-called forward-backward (FB) correlations between the numbers of particles detected in two separated rapidity intervals. Usually these two intervals (the observation windows) are chosen symmetrically, one in the forward and the other in the backward hemisphere of the reaction. Indeed, it is known that studies of long-range rapidity correlations provide information about the very initial stages of hadronic collisions [8] and, in particular, about the string configuration formed in a given collision.
Unfortunately, it was already shown in [9] that the traditional coefficient FB of correlations between multiplicities of charged particles, n F and n B , in rapidity observation windows strongly depends on the fluctuations of the number of cut pomerons (the number of strings) from event to event in pp-collisions, i.e., from the so-called “volume fluctuations”—trivial fluctuations in the number of sources. From this point of view, it is necessary to use other observables that are insensitive to fluctuations in the number of sources (strings) but sensitive to fluctuations in the properties of these sources, in particular, to the formation of string clusters as a result of string fusion processes.
There are two ways to suppress the influence of these trivial “volume” fluctuations compared to the contribution of string fusion processes. You can either study correlations including intensive variables, such as, for example, the event-average transverse momenta p F and p B of all charged particles detected in a given event, respectively, in the observation rapidity windows δ y F and δ y B (instead of their multiplicities n F and n B ), as in [10,11,12,13,14,15]. Alternatively, you can introduce a more complex correlation observable between n F and n B . This article is devoted to the development of this second approach.

2. Strongly Intense Observable Σ

General methods for constructing so-called strongly intense observables—variables that are not affected by “volume” fluctuations are developed in [16]. Later it was proposed [17] to investigate the strongly intense quantity Σ ( n F , n B ) , defined for the multiplicities of charged particles, n F and n B , in two observation windows δ y F and δ y B :
Σ ( n F , n B ) n F ω n B + n B ω n F 2 cov ( n F n B ) n F + n B ,
where ω n D n / n is the normalized (scaled) variance, D n n 2 n 2 is the variance, and cov ( n F n B ) n F n B n F n B . For the case of a symmetrical collision and symmetrically located identical observation windows, δ y F = δ y B = δ y (the corresponding azimuthal extent of these windows is assumed to be 2 π ), we have
n F = n B n , D n F = D n B D n , ω n F = ω n B ω n ,
and the expression (1) can be reduced to
Σ ( n F , n B ) = ω n cov ( n F , n B ) n = n 2 n F n B n .
Earlier in [18] it was shown that in the model with independent identical strings, the observable Σ ( n F , n B ) depends only on the parameters of a single string-one- and two-particle rapidity distributions of particles produced from string decay:
λ ( y ) d N d y = μ δ y = μ 0 , λ 2 ( y 1 , y 2 ) d 2 N d y 1 d y 2 = λ 2 ( y 1 y 2 ) .
Instead of λ 2 ( y 1 , y 2 ) , it is sometimes more convenient to use the two-particle string correlation function defined as follows:
Λ ( y 1 , y 2 ) λ 2 ( y 1 , y 2 ) λ ( y 1 ) λ ( y 2 ) 1 = λ 2 ( y 1 y 2 ) μ 0 2 1 = Λ ( y 1 y 2 ) ,
The last transitions in these formulas correspond to an approximation that also assumes the presence of translational invariance in rapidity, which is well satisfied in the region of central rapidities at LHC energies.
In [18] it was shown that in the model with independent identical strings
Σ ( n F , n B ) = Σ ( μ F , μ B ) ,
where Σ ( μ F , μ B ) is the strongly intensive variable Σ , defined similarly to (1), but for a single string. Here μ F and μ B are the number of particles from the decay of a single string falling into the forward δ y F and backward δ y B observation windows, respectively. Σ ( μ F , μ B ) is expressed in terms of string parameters (4) and (5) using formulas
Σ ( μ F , μ B ) = 1 + μ 0 δ y [ J F F J F B ] ,
where
J F F = 1 δ y F 2 δ y F d y 1 δ y F d y 2 Λ ( y 1 y 2 ) , J F B = 1 δ y F δ y B δ y F d y 1 δ y B d y 2 Λ ( y 1 y 2 ) .
For symmetrically located rapidity windows it depends on the acceptance of the observation windows, δ y = δ y F = δ y B , and the rapidity distance, Δ y , between the centers of these windows, so Δ y δ y . In the particular case of symmetric windows of small width, δ y F = δ y B = δ y 1 , the formula (7) is simplified to
Σ ( μ F , μ B ) = 1 + μ 0 δ y [ Λ ( 0 ) Λ ( Δ y ) ] .
The formulas (6) and (7) show that, in the framework of the model with independent identical strings, the variable Σ ( n F , n B ) is indeed a strongly intensive quantity. Its value coincides with the value for a single string Σ ( μ F , μ B ) , which depends only on the parameters of this string and does not depend on the number of strings formed in a given event, nor on the fluctuation of their number from event to event.
Later, in a version of the model [19] that takes into account the processes of string fusion and the formation of string clusters of various types, it was found that the observable Σ ( n F , n B ) turns out to be equal to the weighted average of its values for different string clusters, Σ k ( μ F , μ B ) , consisting of k strings, with weight coefficients, α k , depending on the details of the collision, namely its energy and centrality:
Σ ( n F , n B ) = k = 1 α k Σ k ( μ F , μ B ) .
The value of a strongly intense variable, Σ k ( μ F , μ B ) , for a given string cluster of k strings is expressed in terms of its characteristics: the average density of charged particles produced per unit of rapidity from its decay, μ 0 ( k ) , and the pair correlation function, Λ k ( Δ y ) , characterizing the correlations between two particles produced at a rapidity distance Δ y . This dependence is analogous to (7)
Σ k ( μ F , μ B ) = 1 + μ 0 ( k ) δ y [ J F F ( k ) J F B ( k ) ] ,
where
J F F ( k ) = 1 δ y F 2 δ y F d y 1 δ y F d y 2 Λ k ( y 1 y 2 ) , J F B ( k ) = 1 δ y F δ y B δ y F d y 1 δ y B d y 2 Λ k ( y 1 y 2 ) .
For sufficiently narrow observation windows δ y 1 , this dependence is analogous to (9) and has the following simple form:
Σ k ( μ F , μ B ) = 1 + μ 0 ( k ) δ y [ Λ k ( 0 ) Λ k ( Δ y ) ] .
Recall that Δ y is the rapidity distance between the centers of these windows.
For the pair correlation function of the cluster, Λ k ( Δ y ) , formed from k strings, we used the simplest, exponential parametrization:
Λ k ( Δ y ) = Λ 0 ( k ) exp ( | Δ y | / y c o r r ( k ) ) ,
where Δ y = y 1 y 2 , and y c o r r ( k ) is the characteristic correlation length in rapidity between particles born from this cluster.
As shown in [19], the weight coefficients α k in formula (10),
α k = n k n ,
are the average fraction of particles formed as a result of the decays of all clusters formed by the fusion of k strings, with the first term at k = 1 corresponding to the contribution of single strings. Obviously, with a change in the initial energy and centrality of pp-collisions, the fraction of clusters corresponding to a different number of merged strings will change, which will lead to a change in the weights α k and, consequently, according to (10), to a change in the observable Σ ( n F , n B ) .
Therefore, in a model that takes into account the possibility of the formation of sources of different types, the observable Σ ( n F , n B ) , strictly speaking, ceases to be strongly intense, starting to depend through the weights of α k on the collision conditions, in particular, on the degree of its centrality and initial energy. Nevertheless, as we will see below, the study of the dependence of the variable Σ ( n F , n B ) on the rapidity distance Δ y between the centers of observation windows of a given width δ y under various collision conditions allows us to determine the characteristics of string clusters.

3. String Distribution in the Transverse Plane and the Formation of String Clusters

To find the dependence of the weight coefficients α k on the collision conditions, we used the MC simulation of pp-collisions at LHC energies within the framework of the string model. The generation of string configurations arising in pp-collisions by the MC method was carried out on the basis of the approach proposed earlier in the article [20]. It is important that this approach makes it possible to fix the location of primary strings in the transverse plane in each event, which is necessary for calculating the processes of their merging leading to the formation of string clusters.
To take into account string fusion processes, we used the method proposed in [21,22], which is based on the use of a finite lattice (grid) in the impact parameter plane, similarly to how it is described in [19,23]. Within the framework of this approach, it is assumed that all k strings whose centers occur in the same cell of this grid merge into a single string cluster. In accordance with the prescriptions of the string fusion model [6], the following dependence of the average number of particles μ k formed upon the decay of a cluster on the number of merged strings k is assumed:
μ k = μ 0 ( k ) δ y = μ 0 k δ y ,
where μ 0 ( k ) and μ 0 ( 1 ) μ 0 are average rapidity densities of particles produced, respectively, from the hadronization of a k-string cluster and one single string, and δ y is the rapidity width of the observation window.
Since, according to (16), the rapidity density of charged particles from the decay of a string cluster is assumed to be proportional to k and correlations take place only between adjacent segments of a string cluster, it is reasonable to assume that the characteristic correlation length y c o r r ( k ) decreases with k as 1 / k . Some additional arguments in favor of this assumption were presented in [18]. Therefore, we will assume the following dependence of the parameters of the correlation function of the string cluster on k:
y c o r r ( k ) = y c o r r ( 1 ) / k , Λ 0 ( k ) = c o n s t .
Formulas (16) and (17) allow us to calculate the parameters of a string cluster formed by merging of k strings from three parameters: μ 0 ( 1 ) μ 0 , Λ 0 ( 1 ) , y c o r r ( 1 ) , characterizing a single string (14).
In present work, using MC-simulation of pp-collisions, as described in [20,23,24], we sequentially generate string distributions in the transverse plane, take into account the formation of string clusters, and calculate the weight coefficients α k as the average fraction of particles formed from the decays of clusters consisting of k strings:
α k = n k n = n k k = 1 n k = m k μ 0 ( k ) δ y k = 1 m k μ 0 ( k ) δ y = m k k ( k ) = 1 m k k .
Here m k is the average number of clusters consisting of k strings, which we find by generating string configurations for given pp-collision conditions. Then we computed Σ ( n F , n B ) using the formula (10).

4. Fixing Parameters of String Clusters

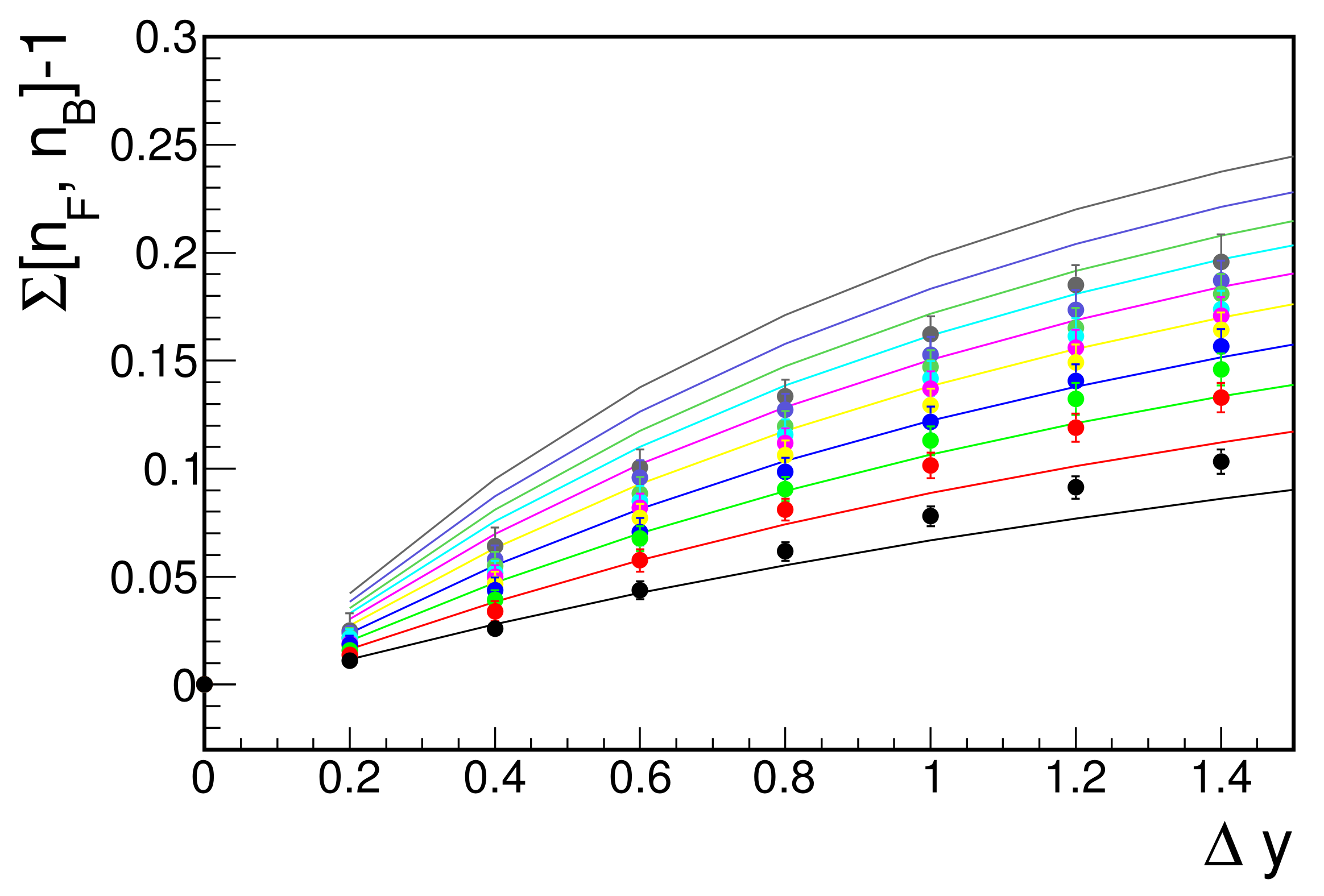
To fix the remaining free parameters of the model we calculated the dependence of the variable Σ ( n F , n B ) , on the size of the gap Δ y between rapidity observation windows of small width ( δ y = 0.2 ) for minbias pp collisions at two initial energies, 0.9 and 7 TeV, and compared the calculation results with the preliminary experimental data of the ALICE collaboration for Σ ( n F , n B ) [25], obtained by the analysis of the production of charged particles in the soft region of the spectrum with transverse momenta in the range 0.3–1.5 GeV/c (see Figure 1).
This comparison made it possible to extract the values of the remaining free parameters; the three parameters for a single string in the dependences (16) and (17), characterizing clusters with different numbers of merged strings:
μ 0 = 0.7 , y c o r r ( 1 ) = 2.7 , Λ 0 ( 1 ) = 0.8 .
With the parameters of string clusters fixed in this way, we calculated the variable Σ ( n F , n B ) for the case of min-bias pp collisions at the initial energy 13 TeV and compared the model results with the ALICE experimental data [25]. Note that, since the analysis of these data at 13 TeV in the ALICE experiment was carried out for a wider range of transverse momenta 0.2–2 GeV/c, which is currently used in the ALICE collaboration when analyzing the production of charged particles in the soft region of the spectra, then to take into account increase in the total multiplicity of particles, the coefficient μ 0 was increased according to [26] by a factor of 1.28 to the value μ 0 = 0.9 . At the same time, the values of all other parameters of the model were saved.
In Figure 2 we see that this set of parameters also successfully describes the dependence of the observable Σ ( n F , n B ) on the rapidity distance between the centers of observation windows, Δ y , at initial energy 13 TeV.
The slight overestimation of Σ ( n F , n B ) in Figure 1 and Figure 2 at small values of Δ y , as also in the bottom plot of Figure 4 below in Section 5, can be explained by using a simplified (exponential) approximation for the two-particle correlation function of a string cluster (see formula (14)). It was shown in [27] that the exponential form of approximation for the rapidity dependence of the two-particle correlation function of the string leads to a slight overestimation of the FB correlation coefficient in the region of the forward correlation peak at small values of Δ y (see plots for azimuth angle 45 in [27]).
Comparing the dependences at initial energies of 0.9, 7 and 13 TeV presented in Figure 1 and Figure 2, we see that in pp collisions at LHC energies, string fusion effects have a significant effect on the behavior of the strongly intense observable Σ ( n F , n B ) , and the growth of this variable with initial energy is explained by the increasing contribution from the formation of string clusters with new properties, consisting of an increasing number of merged strings.

5. Dependence of the Observable Σ on the Centrality of the pp Collision

In this section, we analyze the dependence of the observable Σ ( n F , n B ) on the centrality of the pp-collision. Since in the case of real pp collisions the impact parameter b is not known, the experimental determination of the degree of centrality of a given pp collision can be carried out only by indirect indications. Therefore, the division of the array of all min-bias pp events into the so-called centrality classes depends on the applied experimental procedure.
In the ALICE experiment at LHC, with the results of which we compare our theoretical calculations, a signal from a special detector V0 (in arbitrary units) is used to determine the degree of centrality of a given pp collision [28,29]. This detector consists of a pair of plastic scintillation counters V0A and V0C located on either side of the interaction point.
The events are classified using the total energy deposition in the V0 detector, so-called “V0M amplitude”, which is proportional to the total number of charged particles passing through the V0A and V0C detectors. Thus, in ALICE, the centrality classes in pp-collisions are determined by the multiplicity in the acceptance of the V0A and V0C detectors and are often called multiplicity classes. The multiplicity classes are defined as percentile intervals of the experimental distribution of the V0M amplitude (see details in [28,29]).
To imitate this procedure in our MC model calculations we first carried out a preliminary MC simulation of 1,000,000 min-bias pp events, determining the multiplicity N in a fixed rapidity interval, corresponding to the total acceptance of V0A and V0C detectors. Then to generate the continuous signal, V0M amplitude, corresponding to this multiplicity N (note that the N is always an integer number), we use a detector response function:
P N ( V ) = C θ ( V ) exp ( V γ N ) 2 2 β γ N ,
which is typical for detectors of this kind (see e.g., [30]. Here P N ( V ) gives the probability density of registering a signal V from the detector V0 when N charged particles hit it. The θ -function indicates that the signal V is always positive V > 0 . C is the normalization constant.
Note that in the limit N > > 1 we have
V γ N , ω V D V V = V 2 V 2 V β ,
and
σ V D V β V = β γ N , δ V σ V V β V = β γ N .
It can be seen from formulas (21) and (22) that the average value of the signal, V , is proportional to the number of particles N that hit the detector, and the parameter β characterizes the magnitude of the signal smear around this average value. We also see that the relative error, δ V , in determining the V decreases with N as 1 / N .
Using the distribution (20), we generate the V0M = V0A + V0C detector response, V, for the number of charged particles, N, hitting it, for each event. Then using this value of the signal, V, attributed to each event, we can split all events into centrality classes. Note that in this procedure the absolute value of the signal does not play a role, but only the relative value of V for different events is important. Experimentally, in ALICE, the signal from the V0 detector is presented in arbitrary units. Thus, in our MC simulation, without loss of generality, we can set the parameter γ to be equal to 1.
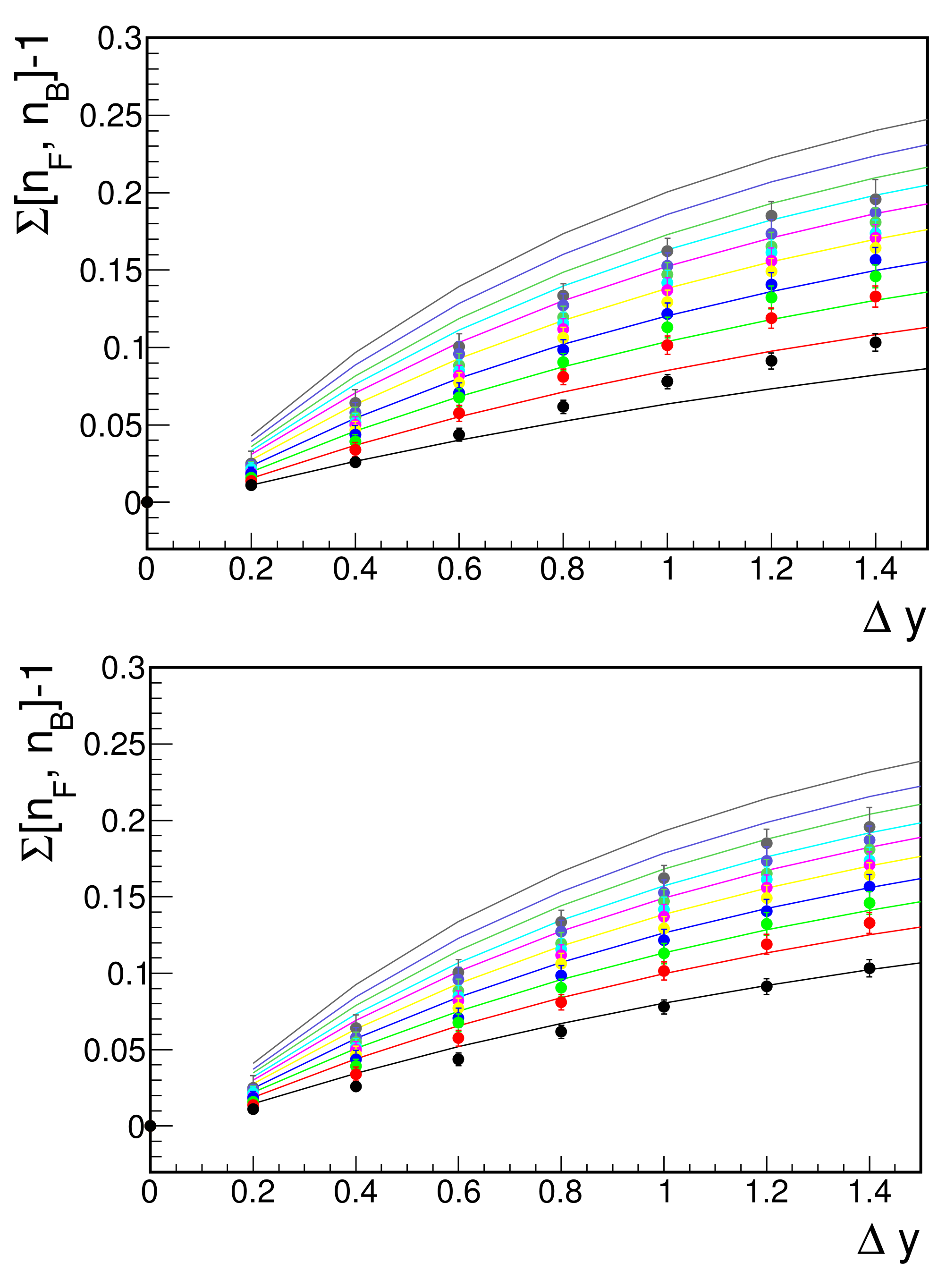
In order to be able to compare the results of our theoretical calculations with the experimental data of the ALICE collaboration, we chose rather narrow centrality classes, as this was done in the work [25] and in other ALICE papers [28,29]. This comparison for the observable Σ ( n F , n B ) as a function of the distance in rapidity between the centers of the observation windows Δ y for different centrality classes of pp collisions at initial energy 13 TeV is presented in Figure 3 and Figure 4, for three values of the parameter β characterizing the accuracy of the detector V0 (see formulas (20)–(22)).
It can be seen in Figure 3 and Figure 4 that our model with the formation of string clusters also makes it possible to reasonably describe experimental behavior of a strongly intense variable Σ ( n F , n B ) for different centrality classes of pp-collisions at the same values of the parameters, characterizing string clusters.
At the same time, a comparison of the plot in Figure 3 with the upper plot in Figure 4 shows that the division of events into centrality classes, using the value of the parameter β = 1 and β = 0.5 , stays practically unchanged. The calculated curves for Σ ( n F , n B ) in Figure 3 practically coincides with the curves in upper plot of Figure 4. Whereas using the value of the parameter β = 3 to characterize the detector V0 when splitting the array of events into centrality classes leads to better agreement with the experimental data, taking into account the rather large error bars of experimental points for the most central multiplicity classes (see the lower plot in Figure 4) than using the values β = 1 and β = 0.5 .
Thus we see that the agreement between theory and experiment can be improved if we take into account the imperfection of the detector V0 used to split the array of events into centrality classes.

6. Conclusions

Within the framework of the model with quark-gluon strings (color flux tubes) as sources, the properties of the strongly intense variable Σ ( n F , n B ) , which characterizes the correlations between the number of particles, n F and n B , detected in pp interactions at LHC energies in two observation windows separated in rapidity were studied.
On the basis of analytical calculations supplemented by MC modeling, which makes it possible to take into account string fusion processes by introducing a grid in the impact parameter plane, the dependence of the variable Σ ( n F , n B ) on the rapidity distance Δ y between the centers of observation windows with a given width δ y is calculated for initial energies: 0.9, 7 and 13 TeV and different centrality classes of collisions. The results of theoretical calculations are compared with the preliminary experimental ALICE data for Σ ( n F , n B ) [25], obtained by analyzing the production of charged particles in pp collisions at the LHC.
It is shown that the proposed model with the formation of string clusters makes it possible to adequately describe the experimental behavior of the strongly intense variable Σ ( n F , n B ) both for different initial energies and for different centrality classes of pp-collisions with the same values of the parameters, characterizing string clusters.
It is important to note that, due to the strongly intense nature of the observable Σ ( n F , n B ) , if there were no merging of strings and the formation of string clusters in pp collisions, but simply a fluctuation in the number of single strings from event to event, then we would not observe any modification in the dependence of Σ ( n F , n B ) on Δ y with initial energy and centrality of pp collision. In Figure 1, Figure 2, Figure 3 and Figure 4 we would have the same curve defined only by the parameters of a single string, as it follows from the formulas (6)–(9). (The same can be seen from the formula (10) with α k = 0 for k 2 ). The splitting of the curves in these figures is explained exclusively by the increasing contribution from the formation of string clusters with new properties, consisting of an increasing number of merged strings with an increase in the initial energy and centrality of pp collisions, as follows from the formula (10).

7. Summary

It is shown that, in pp collisions at LHC energies, string fusion effects have a significant effect on the behavior of the strongly intense observable Σ ( n F , n B ) . The change in this variable with initial energy and centrality of the pp collision is caused by an increase in the contribution of string clusters with new properties, consisting of an increasing number of merged strings. The study of the behavior of this Σ ( n F , n B ) observable as a function of the rapidity distance between the centers of the observation windows and the width of these windows with variable experimental conditions using different energies and centralities of pp-collisions makes it possible to determine the parameters of string clusters. In particular, we can extract from the experimental data the rapidity density and the pair correlation function for charged particles produced in the process of string cluster decay.

Author Contributions

Data curation, S.B.; Formal analysis, S.B. and V.V.; Investigation, S.B. and V.V.; Methodology, V.V.; Software, S.B.; Supervision, V.V.; Writing—original draft, S.B. and V.V. Both authors contributed equally to this work. All authors have read and agreed to the published version of the manuscript.

Funding

The research was supported by the SPbSU project, No 93025435.

Institutional Review Board Statement

Not applicable.

Informed Consent Statement

Not applicable.

Data Availability Statement

Not applicable.

Acknowledgments

The authors are grateful to Grigory Feofilov for stimulating discussions.

Conflicts of Interest

The authors declare no conflict of interest.

Abbreviations

The following abbreviations are used in this manuscript:
FBForward-Backward
MCMonte-Carlo
ALICEA Large Ion Collider Experiment
LHCLarge Hadron Collider

References

  1. Kaidalov, A.B. The quark-gluon structure of the pomeron and the rise of inclusive spectra at high energies. Phys. Lett. B 1982, 116, 459–463. [Google Scholar] [CrossRef]
  2. Capella, A.; Sukhatme, U.; Tan, C.-I.; Tran Thanh, V.J. Long Range Azimuthal Correlations in Multiple Production Processes at High Energies. Phys. Rept. 1994, 236, 225–329. [Google Scholar] [CrossRef]
  3. Biro, T.S.; Nielsen, H.B.; Knoll, J. Colour rope model for extreme relativistic heavy ion collisions. Nucl. Phys. B 1984, 245, 449–468. [Google Scholar] [CrossRef]
  4. Bialas, A.; Czyz, W. Conversion of color field into qq¯ matter in the central region of high-energy heavy ion collisions. Nucl. Phys. B 1986, 267, 242–252. [Google Scholar] [CrossRef]
  5. Braun, M.A.; Pajares, C. Particle production in nuclear collisions and string interactions. Phys. Lett. B 1992, 287, 154–158. [Google Scholar] [CrossRef]
  6. Braun, M.A.; Pajares, C. Inplication of percolation of colour strings on multiplicities, correlations and the transverse momentum. Eur. Phys. J. C 2000, 16, 349–359. [Google Scholar] [CrossRef]
  7. Amelin, N.S.; Armesto, N.; Braun, M.A.; Ferreiro, E.G.; Pajares, C. Long and short range correlations and the search of the quark gluon plasma. Phys. Rev. Lett. 1994, 73, 2813. [Google Scholar] [CrossRef]
  8. Dumitru, A.; Gelis, F.; McLerran, L.; Venugopalan, R. Glasma flux tubes and the near side ridge phenomenon at RHIC. Nucl. Phys. A 2008, 810, 91–108. [Google Scholar] [CrossRef]
  9. Capella, A.; Krzywicki, A. Unitarity corrections to short range order: Long range rapidity correlations. Phys. Rev. D 1978, 18, 4120. [Google Scholar] [CrossRef]
  10. Alice Collaboration. ALICE: Physics Performance Report, Volume II. Phys J. G 2006, 32, 1295–2040. [Google Scholar] [CrossRef]
  11. Vechernin, V.V.; Kolevatov, R.S. Long-range correlations between transverse momenta of charged particles produced in relativistic nucleus-nucleus collisions. Phys. Atom. Nucl. 2007, 70, 1809–1818. [Google Scholar] [CrossRef]
  12. Armesto, N.; Derkach, D.A.; Feofilov, G.A. p(t)-multiplicity correlations in a multi-Pomeron-exchange model with string collective effects. Phys. Atom. Nucl. 2008, 71, 2087–2095. [Google Scholar] [CrossRef]
  13. Kovalenko, V.; Feofilov, G.; Puchkov, A.; Valiev, F. Multipomeron model with collective effects for high-energy hadron collisions. Universe 2022, 8, 246. [Google Scholar] [CrossRef]
  14. Vechernin, V. Long-range rapidity correlations between mean transverse momenta in the model with string fusion. EPJ Web Conf. 2016, 125, 04022. [Google Scholar] [CrossRef]
  15. Vechernin, V.V. Asymptotic behavior of the correlation coefficients of transverse momenta in the model with string fusion. Theor. Math. Phys. 2017, 190, 251–267. [Google Scholar] [CrossRef]
  16. Gorenstein, M.I.; Gazdzicki, M. Strongly intensive quantities. Phys. Rev. C 2011, 84, 014904. [Google Scholar] [CrossRef]
  17. Andronov, E.V. Influence of the quark-gluon string fusion mechanism on long-range rapidity correlations and fluctuations. Theor. Math. Phys. 2015, 185, 1383–1390. [Google Scholar] [CrossRef]
  18. Vechernin, V. Short- and long-range rapidity correlations in the model with a lattice in transverse plane. Eur. Phys. J. Web Conf. 2018, 191, 04011. [Google Scholar] [CrossRef]
  19. Belokurova, S.N.; Vechernin, V.V. Strongly intensive variables and the long-range correlations in the model with a lattice in transverse plane. Theor. Math. Phys. 2019, 200, 1094–1109. [Google Scholar] [CrossRef]
  20. Vechernin, V.; Lakomov, I. The dependence of the number of pomerons on the impact parameter and the long-range rapidity correlations in pp collisions. arXiv 2013, arXiv:1212.2667. [Google Scholar]
  21. Vechernin, V.V.; Kolevatov, R.S. Cellular Approach to Long-Range pt and Multiplicity Correlations in the String Fusion Model. arXiv 2004, arXiv:hep-ph/0305136. [Google Scholar]
  22. Braun, M.A.; Kolevatov, R.S.; Pajares, C.; Vechernin, V.V. Correlations between multiplicities and average transverse momentum in the percolating color strings approach. Eur. Phys. J. C 2004, 32, 535–546. [Google Scholar] [CrossRef]
  23. Vechernin, V.V.; Belokurova, S.N. The strongly intensive observable in pp collisions at LHC energies in the string fusion model. J. Phys. Conf. Ser. 2020, 1690, 012088. [Google Scholar] [CrossRef]
  24. Belokurova, S. Study of Strongly Intense Quantities and Robust Variances in Multi-Particle Production at LHC Energies. Phys. Part. Nucl. 2022, 53, 154–158. [Google Scholar] [CrossRef]
  25. Erokhin, A. Forward-Backward Multiplicity Correlations with Strongly Intensive Observables in pp Collisions. In Proceedings of the VI-th International Conference on the Initial Stages of High-Energy Nuclear Collisions (IS2021), 10–15 January 2021; Available online: https://indico.cern.ch/event/854124/contributions/4134683/ (accessed on 12 January 2021).
  26. Andronov, E.; Vechernin, V. Strongly intensive observable between multiplicities in two acceptance windows in a string model. Eur. Phys. J. A 2019, 55, 14. [Google Scholar] [CrossRef]
  27. Vechernin, V. Forward-backward correlations between multiplicities in windows separated in azimuth and rapidity. Nucl. Phys. A 2015, 939, 21–45. [Google Scholar] [CrossRef]
  28. Acharya, S.; Adamová, D.; Adler, A.; Adolfsson, J.; Aggarwal, M.M.; Agha, S.; Aglieri Rinella, G.; Agnello, M.; Agrawal, N.; Ahammed, Z.; et al. Pseudorapidity distributions of charged particles as a function of mid- and forward rapidity multiplicities in pp collisions at s = 5.02, 7 and 13 TeV. Eur. Phys. J. C 2021, 81, 630. [Google Scholar]
  29. Acharya, S.; Adamová, D.; Adler, A.; Adolfsson, J.; Aglieri Rinella, G.; Agnello, M.; Agrawal, N.; Ahammed, Z.; Ahmad, S.; Ahn, S.U.; et al. Multiplicity dependence of charged-particle jet production in pp collisions at s = 13 TeV. Eur. Phys. J. C 2022, 82, 514. [Google Scholar] [CrossRef]
  30. Kurepin, A.B.; Litvinenko, A.G.; Litvinenko, E.I. Determining the Centrality of a Nuclear Collision Using a Hadron Calorimeter. Phys. Atom. Nucl. 2020, 83, 1359–1362. [Google Scholar] [CrossRef]
Figure 1. The strongly intense variable Σ ( n F , n B ) as a function of the distance in rapidity between the centers of observation windows Δ y , for windows of width δ y = 0.2, for minimum bias pp collisions for two values of the initial energy 0.9 TeV (lower curve) and 7 TeV ( top curve). Points—experimental values obtained by the ALICE collaboration [25] by the analysis of data on the yields of charged particles with transverse momenta belonging to the interval 0.3–1.5 GeV/c in pp collisions at the same energies—0.9 TeV (■) and 7 TeV (▲).
Figure 1. The strongly intense variable Σ ( n F , n B ) as a function of the distance in rapidity between the centers of observation windows Δ y , for windows of width δ y = 0.2, for minimum bias pp collisions for two values of the initial energy 0.9 TeV (lower curve) and 7 TeV ( top curve). Points—experimental values obtained by the ALICE collaboration [25] by the analysis of data on the yields of charged particles with transverse momenta belonging to the interval 0.3–1.5 GeV/c in pp collisions at the same energies—0.9 TeV (■) and 7 TeV (▲).
Symmetry 14 01673 g001
Figure 2. The strongly intense variable Σ ( n F , n B ) 1 as a function of the distance in rapidity between the centers of observation windows Δ y , for windows of width δ y = 0.2, for minimum bias pp collisions at initial energy 13 TeV (the curve). Points—experimental values obtained by the ALICE collaboration [25] by the analysis of data on the yields of charged particles with transverse momenta belonging to the interval 0.2–2 GeV/c in pp collisions at the same energy—13 TeV (•).
Figure 2. The strongly intense variable Σ ( n F , n B ) 1 as a function of the distance in rapidity between the centers of observation windows Δ y , for windows of width δ y = 0.2, for minimum bias pp collisions at initial energy 13 TeV (the curve). Points—experimental values obtained by the ALICE collaboration [25] by the analysis of data on the yields of charged particles with transverse momenta belonging to the interval 0.2–2 GeV/c in pp collisions at the same energy—13 TeV (•).
Symmetry 14 01673 g002
Figure 3. The strongly intense variable Σ ( n F , n B ) 1 for different pp-collision centrality classes at initial energy 13 TeV, as a function of the distance in rapidity between the centers of the observation windows Δ y , calculated with the observation windows of δ y = 0.2 width. Points—experimental values obtained by the ALICE collaboration [25] by the analysis of data on the yields of charged particles with transverse momenta in the range 0.2–2 GeV/c. Curves—the results of our calculations in the model with the formation of string clusters, with the value of the parameter β , characterizing the accuracy of the detector V0, equal to 1 (see formulas (20)–(22)). The centrality classes defined as follows (top down): 0–1%, 1–5%, 5–10%, 10–15%, 15–20%, 20–30%, 30–40%, 40–50%, 50–70%, 70–100%.
Figure 3. The strongly intense variable Σ ( n F , n B ) 1 for different pp-collision centrality classes at initial energy 13 TeV, as a function of the distance in rapidity between the centers of the observation windows Δ y , calculated with the observation windows of δ y = 0.2 width. Points—experimental values obtained by the ALICE collaboration [25] by the analysis of data on the yields of charged particles with transverse momenta in the range 0.2–2 GeV/c. Curves—the results of our calculations in the model with the formation of string clusters, with the value of the parameter β , characterizing the accuracy of the detector V0, equal to 1 (see formulas (20)–(22)). The centrality classes defined as follows (top down): 0–1%, 1–5%, 5–10%, 10–15%, 15–20%, 20–30%, 30–40%, 40–50%, 50–70%, 70–100%.
Symmetry 14 01673 g003
Figure 4. The same as in Figure 3, but for another values of the parameter β , characterizing the accuracy of the detector V0, β = 0.5 (upper plot) and β = 3 (lower plot). See formulas (20)–(22) in the text for details.
Figure 4. The same as in Figure 3, but for another values of the parameter β , characterizing the accuracy of the detector V0, β = 0.5 (upper plot) and β = 3 (lower plot). See formulas (20)–(22) in the text for details.
Symmetry 14 01673 g004
Publisher’s Note: MDPI stays neutral with regard to jurisdictional claims in published maps and institutional affiliations.

Share and Cite

MDPI and ACS Style

Belokurova, S.; Vechernin, V. Using a Strongly Intense Observable to Study the Formation of Quark-Gluon String Clusters in pp Collisions at LHC Energies. Symmetry 2022, 14, 1673. https://doi.org/10.3390/sym14081673

AMA Style

Belokurova S, Vechernin V. Using a Strongly Intense Observable to Study the Formation of Quark-Gluon String Clusters in pp Collisions at LHC Energies. Symmetry. 2022; 14(8):1673. https://doi.org/10.3390/sym14081673

Chicago/Turabian Style

Belokurova, Svetlana, and Vladimir Vechernin. 2022. "Using a Strongly Intense Observable to Study the Formation of Quark-Gluon String Clusters in pp Collisions at LHC Energies" Symmetry 14, no. 8: 1673. https://doi.org/10.3390/sym14081673

APA Style

Belokurova, S., & Vechernin, V. (2022). Using a Strongly Intense Observable to Study the Formation of Quark-Gluon String Clusters in pp Collisions at LHC Energies. Symmetry, 14(8), 1673. https://doi.org/10.3390/sym14081673

Note that from the first issue of 2016, this journal uses article numbers instead of page numbers. See further details here.

Article Metrics

Back to TopTop