Abstract
The activity of the left hemisphere is often associated with linguistic functioning, including in a foreign language. At the same time, research results demonstrate that different structures in both hemispheres can be jointly activated in the performance of particular linguistic tasks. The current study aimed to identify functional hemispheric activity and asymmetry markers for effective foreign language performance. The study sample consisted of 27 3rd-grade, 26 10th-grade, and 21 university students, all native Russian. To measure functional hemispheric asymmetry and activity before and after an English class and before an English test, we used computer laterometry in the ‘two-source’ lead–lag dichotic paradigm. The study results reveal that left hemispheric functional dominance can be considered as a marker for effective activity during an English class and an English test in 3rd-grade and 10th-grade students. In university students, right hemispheric functional dominance predicted better efficacy during the English class. Therefore, the results obtained provide evidence about different hemispheric activity and asymmetry modes for different ages of foreign language mastering, and the results may support the hypothesis about the possibility of a ‘sensitive period’ for foreign language acquisition occurring at any age. These findings can be applied to the creation of biofeedback trainings for hemispheric profile optimization when learning a foreign language and may help in creating personalized learning schedules.
Keywords:
laterality; brain; hemisphere; asymmetry; activity; foreign language; acquisition; sensitive period 1. Introduction
The issue of the physiological ‘substrate’ of the linguistic system has been raised in science since the second half of the 19th century. Many works postulate the fact of the greater participation of the left hemisphere in the organization of linguistic functions. In 1861, Paul Broca showed that damage in the left frontal lobe caused difficulties in speaking but not in perceiving auditory information [1], and in 1874, Carl Wernike discovered that when the left posterior temporal area was damaged, there occurred difficulties in speech perception [2]. Later studies on patients with split hemispheres expanded the knowledge about the distribution of speech functions in the brain: right-handed patients had difficulties performing verbal tasks with their left hands [3]. All this would seem to confirm a greater role of the left hemisphere in the performance of speech functions. Yet, the interhemispheric organization of speech functions has been the subject of much research in recent years.
The doctrine of the distributed functional activity of different brain areas for providing certain mental functions is being increasingly used, replacing the idea of strict localizationism. For example, Imaezue in the integrated systems hypothesis, using Broca’s region as an example, pointed to the multimodal role of specific localized integrated systems of the brain [4]. Burnston, using perceptual brain areas as an example, showed that their functional activation is context-dependent [5]. In a meta-analysis of publications on the topic of intentional decision, Si et al. concluded that different anatomical brain areas are involved in this process, which perform distinct cognitive and computational roles [6].
Regarding speech functions, the facts of the activation of different brain areas during the solving of linguistic tasks with different target functions have been shown. It is demonstrated that syllable processing occurs predominantly in the auditory cortex in the right hemisphere [7,8,9], while phoneme processing mainly takes place in the left hemisphere [10]. This tendency for the functional asymmetry of speech acoustic processing is observed already in children: in newborns, responses to slow (syllable-rate) acoustic modulations are lateralized to the right hemisphere [11], and in 3- and 6-month-old babies fast acoustic modulations (e.g., phoneme perception) cause bilateral neuronal activations and slow modulations cause right-lateralized responses [12]. There is evidence that complex auditory stimuli (like speech) are dominantly processed by the auditory cortex of the left hemisphere [13]. However, of course, that is not the complete system that provides the processing: Rodrigues de Almeida et al. claimed that the target network subserving phonological processing is more complex and is composed of both the left and right inferior frontal gyri and left superior temporal gyri [14].
1.1. Brain (a)Symmetry and Its Role in Bilingual Maintenance
Numerous publications have been devoted to the study of the relationship between hemispheric asymmetry and speech development, also in a foreign language. Along with the acquisition of new data with the usage of noninvasive research methods, there was a change in opinions on the brain maintenance of speech functions in native and foreign languages. Pitres (1895) suggested that there are areas that process two or more languages through different cycles of information processing [15]. Later, Potzl (1925) hypothesized the existence of a switching mechanism between languages. In his opinion, the supracranial gyrus and the adjacent parieto-temporal area were responsible for this mechanism [16]. Paradis et al. proposed the activation threshold thesis [17]. The assumption here was that the same neural substrate is responsible for understanding and generating speech but that more ‘energy’ (or neural impulses) is required for arbitrary self-activation than for activation by external stimulation. The more often this ‘pathway’ is activated, the less ‘energy’ is needed to reactivate it. Speech in a particular language is part of a particular subsystem, and speech in another language is part of a different subsystem with different neural networks involved [17].
Relatively recent studies provide an opportunity to compare the patterns found for early and late language acquisition. We can make assumptions about the work of the switching between languages. The works of Abutabeli et al. claim the existence of the switching for the transition from one language to another (which confirms the assumptions of Potzl [16]). The internal control system ensures an accurate selection of the right language [18]. The following areas of the brain are involved in this process: the subcortical structures of the anterior cingulate cortex, which are involved in the processes of attention and the control of mental actions, and the caudate nucleus, a subcortical structure which participates in the process of movement inhibition. The authors point out that due to their special functions, these areas are the main ones in the mechanism of language control. An argument in favor of the involvement of the left caudate nucleus in the internal control functions is that bilingual patients with injuries in this zone observe two pathologically mixed languages. There is evidence that the left inferior frontal gyrus and the left caudate nucleus take part in the resolution of semantic competition [19].
The ability to switch from one language to another is acquired from childhood, and the control mechanism is intensively perfected by the age of three. This is the age when monolinguals stop mixing the components of words within one language and bilinguals stop mixing words and their components within different languages. Neurophysiological data show that functional fronto-temporoparietal connectivity actively develops exactly by the age of three years [20]. At 24–32 months of age, lexical and morphological connectivity, which largely maintain inhibitory control [21], actively develop, while the free resolving of conflicting representations occurs at the age of 4 (cited in [22]). Consequently, there is a reason to believe that the mentioned brain structures and the asymmetry in them may be directly related to language acquisition.
Subsequently, asymmetry in this area (the left caudate nucleus) might be a factor of readiness for successful foreign language acquisition. It has been shown that the levels of activity of the left caudate nucleus and the fusiform gyrus serve as important neurobiological markers for predicting good foreign language reading skills [23].
Thus, the functional dominance of the left hemisphere may be an important marker for the effective bilingual use of two languages.
1.2. Age-Related Differences in Brain Symmetry in Foreign Language Acquisition
There is a substantial difference in maternal (early bilinguals) and school (late bilinguals) language acquisition. Recent research confirms that the parallel early acquisition of several languages causes changes in the functional organization of the brain. Neural connectivity in bilingual infants is different from that in monolingual infants, and much connectivity in prefrontal areas is observed [24]. Early bilingualism results in enhanced cortical development at the microstructural level: the activity of structures providing lexical competition resolution (the left inferior frontal region and the left fusiform gyrus) depends on the age of second language acquisition [25]. Early interaction with several languages leads to qualitative (the need to sort and parse the information corresponding to each type of speech) and quantitative (the parallel acquisition of different language codes with reduced exposure to each of them) brain development conditions in such children [26]. Therefore, it is important to consider the role of asymmetry in the case of early and late bilinguals.
It is acknowledged that age significantly affects the success of learning a foreign language, but there is no consensus on the specific role of the age factor in the success of acquisition. Studies of auditory response show that the rudiments of interhemispheric asymmetry are observed from birth: when verbal stimuli are presented to children at the age of 2 weeks, the left hemisphere is activated more, and the right hemisphere is more activated by musical stimuli [27]. Similar are the results of EEG studies: the same differences are observed in children at 5 weeks of age [28]. Studies have shown that anatomical differences in the hemispheres are present in the adult brain [29] and in children, even in the prenatal period [30,31]. Thus, the lateralization of functions partially occurs before birth.
The influence of age on the success of foreign language acquisition has often been considered through the framework of the ‘critical period’ theory. Penfield and Roberts’ theory assumes that there is a biologically determined period in ontogenesis when one can easily acquire a foreign language [32]. After this period, it is impossible to master a foreign language at the same level as the native one. There are many opinions about this period: Hyltenstam and Abrahamson believe that the ‘critical period’ occurs from birth [33], and Lennenberg points out that it occurs at the end of puberty (based on the knowledge that the lateralization of linguistic functions occurs at this age) [34]. It is argued that after the lateralization of linguistic functions the acquisition of a foreign language occurs consciously, through explicit learning [34]. Before the ‘critical period’, language acquisition occurs through implicit learning mechanisms, i.e., we unintentionally acquire new knowledge [35]. Later, however, learning a foreign language engages explicit mechanisms.
This change in the mechanisms of foreign language acquisition after puberty is also noted in the fundamental difference hypothesis [36] and in the paper by DeKeyser [37]. The fundamental difference hypothesis explores how children acquire a foreign language through implicit mechanisms and how adults use explicit mechanisms and conscious strategies. This hypothesis notes that children learn a foreign language in a natural environment, while adults do so under artificial conditions.
There are several linguistic skills that children learn better than adults. Children have been shown to perform better on oral comprehension and pronunciation tasks [38]. The effect of better pronunciation in children mastering a foreign language is due to the specific localization of speech functions: different aspects of language develop independently of each other, which suggests several ‘critical periods’. Since pronunciation is based on a neuromuscular basis, it is considered a ‘low-level function’ that is lateralized during the first year of life [27]. In addition, in favor of the existence of several ‘critical periods’ are the findings of Seliger, who notes that localization does not occur at a single moment, that this process depends on the individual’s characteristics; there are many ‘critical periods’ during life, each of which is an optimal time for the acquisition of certain linguistic functions [39].
The theory of the ‘critical period’ was doubted when many precedents of successful foreign language acquisition in adulthood were discovered. Therefore, a ‘softer’ alternative to the ‘critical period’ was proposed called the ‘sensitive period’ [40]. It has been suggested that during the ‘sensitive period’ the brain goes into a mode of high sensitivity to certain kinds of stimuli. At the same time, resources for neuroplasticity, which ensures the acquisition of a foreign language, are worse qualitatively and quantitatively in adulthood [41].
In addition to the already mentioned cognitive explanations of the influence of age on the success of foreign language acquisition, there are other factors. An important factor is self-confidence, as it is less common for children to be ‘lost’ in a situation of communication with the representatives of another nationality in a foreign language. In addition, the factor of motivation significantly influences the success of communication of children in a foreign language environment, as they are more eager to interact than adults [42].
Most studies of the age-related dynamics of hemispheric asymmetry using dichotic listening have shown that the lateralization of linguistic functions occurs earlier than pubertal age. However, some studies argue for an increasing role of the right hemisphere until puberty, which is consistent with Lennenberg’s findings [34]. The difference in research results is due to different experimental designs, investigating different linguistic functions.
Those who master two languages before the age of six years show equal hemispheric involvement in speech activities [43]. The early acquisition of a foreign language leads to an increase in the size of the right parietal cortex [44]. Later language learners show a dominant role of the left hemisphere in both native and foreign language activities. Paradoxically, the role of the left hemisphere in linguistic functions in a foreign language is higher in late learners [43]. It has also been shown that the late learners of a foreign language have a more diverse activation of structures in second language activities compared to those in their native languages. Such an effect has not been found in early bilinguals [45].
Thus, neurocognitive studies show that asymmetry and age significantly affect the process of foreign language acquisition. In early bilinguals and in people who speak a foreign language professionally, the language systems of different languages are not represented ‘separately’ in the brain. In general, the age of foreign language acquisition and the level of language competence are in an inverse relationship.
1.3. Brain Symmetry Dynamics during Successful Foreign Language Acquisition
Speech perception requires plastic changes in the neural organization of the brain that ensure the correct recognition of verbal information [46,47]. Acquiring a foreign language leads to increased variability in the activation of neural structures during speech activity, especially with respect to the lateralization of brain activity [48,49]. In addition, the acquisition of a new language leads to the emergence of neural populations specific to only one language [50].
Relatively recent studies (within the framework of the switching theory) claim that the brain structures involved in maintaining a foreign language replicate the structures involved in the native language. The speech activity of bilinguals is a dynamic process of interaction between cortical and subcortical structures, in which inhibitory processes are used to select the language needed for the current activity [51].
According to fMRI data, during the translation task and the language switching task, there is an increase in oxyhemoglobin levels and a decrease in deoxyhemoglobin in the left inferior frontal lobe, including Broca’s area [52]. In the switching task, the N2 component of the ERP in the left frontal-central area is more negative compared to that of the task without switching [53]. Furthermore, various studies assign a key role in language switching in bilinguals to either the left caudate nucleus [53] or the right caudate nucleus [54]. Abler and Albert et al. suggest a weakening of the right hemisphere’s role during gradual language learning in people who learn a foreign language by the maternal method [55,56]. It has also been shown that the more a subject is exposed to a language, the greater the activation of neural structures in their brain, such as those involved when they use their native language, occurs [18].
Individuals with high foreign language proficiency showed greater postsynaptic integration in the left posterior superior temporal gyrus during the oral speech comprehension task. In the speech construction task, the dorsal part of the left inferior frontal gyrus was less activated with higher foreign language proficiency. Consequently, foreign language acquisition affects the brain’s ability to allocate neural resources for linguistic tasks [57].
Both the right and left hemispheres increase their roles in the task of lexical choice in native and foreign languages (especially in the foreign language) during foreign language acquisition [58]. However, left hemispheric lateralization weakens when learning a foreign language later in life. When performing verbal tasks in the native language, the right hemispheric structures are more activated in bilinguals than in monolinguals. Bilateral activation in the superior temporal gyrus, as well as in other areas (the right inferior frontal and occipital gyri and the right cerebellum), is observed while performing tasks in a foreign language [58].
Therefore, the majority of the research conducted was focused on the study of brain features in people who do well and poorly at foreign language tasks. However, there are not enough studies aimed at assessing the initial state of the brain and its connection with the future success of foreign language acquisition. The search for a method allowing us to register the initial functional state of a person studying a foreign language is actual, and the comparison of the initial state with the future success in mastering a foreign language is important. Most studies show the leading role of the functional activity of the left hemisphere in the successful performance of tasks in a foreign language [19,23,25,52]. However, at the same time, it is noted that while solving various language tasks different brain areas are activated [52,53,58]. In addition, some studies mention a weakening of the role of the left hemisphere in mastering a foreign language at a later age [58]. It is also important to consider the structures responsible for language control and switching, which ensure optimal performance in different languages [18,19,59].
Consequently, functional hemispheric activity and asymmetry can be important factors of readiness for successful foreign language acquisition. We believe that at the stage of schooling left hemispheric activity will provide an advantage in foreign language acquisition. We also assume that at the stage of professional foreign language acquisition the functional activity of the right hemisphere will be more involved.
We verify these assumptions using computer laterometry technology [60], which is based on dichotic listening with the lead–lag paradigm. This will allow us to study the connection of the success of foreign language acquisition with both functional hemispheric asymmetry and its activity.
2. Materials and Methods
2.1. Participants
A total of 74 Russian-speaking students acquiring English as a foreign language participated in three experimental series. Twenty-seven 3rd-grade students (10 boys and 17 girls) aged 9.6 ± 0.4 participated in Experimental Series 1. One boy’s data were excluded from the analysis because he was unable to perform the laterometry test correctly. Twenty-six 10th-grade students (9 boys and 17 girls) aged 16.5 ± 0.3 participated in Experimental Series 2. Experimental Series 3 involved 21 university students (7 males and 14 females) aged 19.7 ± 0.9 pursuing a major requiring professional English language acquisition. All the participants had good academic performance. A detailed description of the procedures that were conducted within the different series is given in the Study Design section.
2.2. Computer Laterometry
The fundamental basis of computer laterometry is described in [60]. Within the current research, the virtual acoustic space was constituted by a series of dichotic impulses at a frequency of 3 Hz with the increasing lead–lag delay duration at the rate of 23 µs.
The procedure started with the training phase when the participants were familiarized with the stimuli. Within the experimental phase, the participants were asked to give a joystick response when (1) the sound started shifting from the vertex to one of the ears; (2) the sound reached extreme lateralization, i.e., it was clearly heard around one of the ears; and (3) there appeared an image with two independent sounds in two ears (one of them dominant and loud and the other an echo sound which was distinct, but quiet). Stimuli were presented firstly with the left-side and then with the right-side lead.
Functional hemispheric activity was evaluated according to the following basic laterometry parameters:
- Δt min L (µs)—lead–lag delay with the left-side lead when the sound started shifting from the vertex to the left ear.
- Δt min R (µs)—lead–lag delay with the right-side lead when the sound started shifting from the vertex to the right ear.
- Δt max L (µs)—lead–lag delay with the left-side lead when the sound reached extreme left lateralization.
- Δt max R (µs)—lead–lag delay with the right-side lead when the sound reached extreme right lateralization.
- Δt rash L (µs)—lead–lag delay with the left-side lead when there appeared an image with two independent sounds in two ears: dominant and loud in the left ear and distinct, but quiet, in the right ear.
- Δt rash R (µs)—lead–lag delay with the right-side lead when there appeared an image with two independent sounds in two ears: dominant and loud in the right ear and distinct, but quiet, in the left ear.
The basic laterometry parameters (Δt min, Δt max, and Δt rash) are related to hemisphere lability, excitability, and stability. The lower the Δt min, the higher the lability of the hemisphere that is opposite to the sound lead direction, which reflects a lower activation threshold for neuronal corollaries in the brain stem. The lower the Δt max, the greater the excitability of the hemisphere that is opposite to the sound lead direction, which reflects a lower activation threshold for neural corollaries in the primary auditory cortex. The lower the Δt rash, the lower the stability of the hemisphere that is opposite to the sound lead direction, which reflects a shorter time span of neuronal activity in the frontal, parietal, and occipital cortexes [60,61].
Based on what we have mentioned previously, we can assume that by comparing Δt min (which stands for hemisphere lability), Δt max (which stands for hemisphere excitability), and Δt rash (which stands for hemisphere stability) with sound replay leading to the right and to the left we can evaluate functional hemispheric asymmetry in terms of lability, excitability, and stability.
Functional hemispheric asymmetry for lability, excitability, and stability was evaluated according to the following coefficients:
Therefore, we analyzed the following two phenomena based on computer laterometry measurements:
- Functional hemispheric activity, as reflected in Δt min, Δt max, and Δt rash and interpreted as hemisphere lability, excitability, and stability.
- Functional hemispheric asymmetry for lability, excitability, and stability, as reflected in K min, K max, and K rash.
2.3. Methods for Classifying the Sample According to the Success of English Language Acquisition
- (1)
- Within Experimental Series 1 and 3, a special protocol was used to assess the success of student interaction as well as the use of old and new language material during the English class. Classroom activities were assessed according to the following criteria: 1— interaction with students; 2—interaction with a teacher; 3—interaction with a group; 4 – statements appropriateness; 5—new lexical material usage accuracy; 6—new lexical material usage fluency; 7—new grammar structures usage; 8—new vocabulary usage; 9—previous lexical material usage accuracy; 10—previous lexical material usage fluency; 11—previous grammar structures usage; 12—previous vocabulary usage. Criteria 1–3 were evaluated on a 3-point scale, and criteria 4–12 were evaluated on a 5-point scale.
- (2)
- In Experimental Series 2, 10th graders were tested using the Pre-Intermediate or Intermediate Level Test (http://engblog.ru/test-pre-intermediate-intermediate, accessed date 5 August 2022). The number of points per student was calculated.
2.4. Study Design
Experimental Series 1. At the beginning, the subjects were examined by the method of computer laterometry. Then, they attended a 45-min English class. During the class, the teacher noted the students’ activity scores in the protocol on 12 parameters. After the class was over, the children were re-examined by the method of computer laterometry.
Experimental Series 2. Before the test, the subjects were examined by the method of computer laterometry. Afterwards, they passed the Pre-Intermediate or Intermediate Level Test. The sample of students was divided into three groups, depending on their scores on the test: low level—2–6 points (6 students: 3 males and 3 females); medium level—7–10 points (11 students: 3 males and 8 females); and high level—13–19 points (9 students: 3 males and 6 females).
Experimental Series 3. At the beginning, the subjects were examined by the method of computer laterometry. Then, they attended a 90-min English class. During the class, the teacher noted the students’ activity scores in the protocol on 12 parameters. After the end of the class, the students were re-examined by the method of computer laterometry.
Figure 1 illustrates the study design.
Figure 1.
Study design scheme.
The study design and procedure were approved by the Ethics Committee of Lobachevsky State University, and all participants or their legal representatives provided written informed consent in accordance with the Declaration of Helsinki.
2.5. Data Analysis
The Mann–Whitney U test was used to assess the differences in the laterometry parameters, classroom and test scores between the groups of independent subjects. K-means clustering was used to divide the sample into groups with different activity performances during the English class. The statistical analysis was carried out using RStudio software.
3. Results
3.1. Experimental Series 1
3.1.1. Dividing the Sample into Groups Based on the Effectiveness of the Activity during the English Class
To identify groups of students with different levels of activity success during the English class, a cluster analysis was conducted. As a result, three clusters were identified: the first cluster included 6 students (two boys and four girls), the second cluster included 7 students (two boys and five girls), and the third cluster included 13 students (five boys and eight girls). Figure 2 shows the average values of the criteria of activity during the English class for the three clusters.
Figure 2.
Boxplot illustrating the distribution of the values of the criteria of activity during English class in Clusters 1–3. **** 1—interaction with students; 2—interaction with a teacher; 3—interaction with a group; 4—statements appropriateness; 5—new lexical material usage accuracy; 6—new lexical material usage fluency; 7—new grammar structures usage; 8—new vocabulary usage; 9—previous lexical material usage accuracy; 10—previous lexical material usage fluency; 11—previous grammar structures usage; 12—previous vocabulary usage.
Figure 2 shows that the students in Clusters 1 and 3 were the most different in their scores for the English lesson. The representatives of Cluster 3 had the highest scores for all criteria, and students from Cluster 1 had the lowest scores for all criteria except ‘interaction with students’ and ‘interaction with a group’ (Cluster 2 had the lowest average scores for these indicators).
To prove that Clusters 1 and 3 were really different in terms of activity effectiveness during English class, a U test was conducted for all the criteria of activity. Figure 3 shows the average values for the criteria of activity within the classroom in Clusters 1 and 3 with a statistical evaluation of the differences (U test). Thus, we can call the students in Cluster 3 the most effective during English class and those in Cluster 1 as the least effective ones.
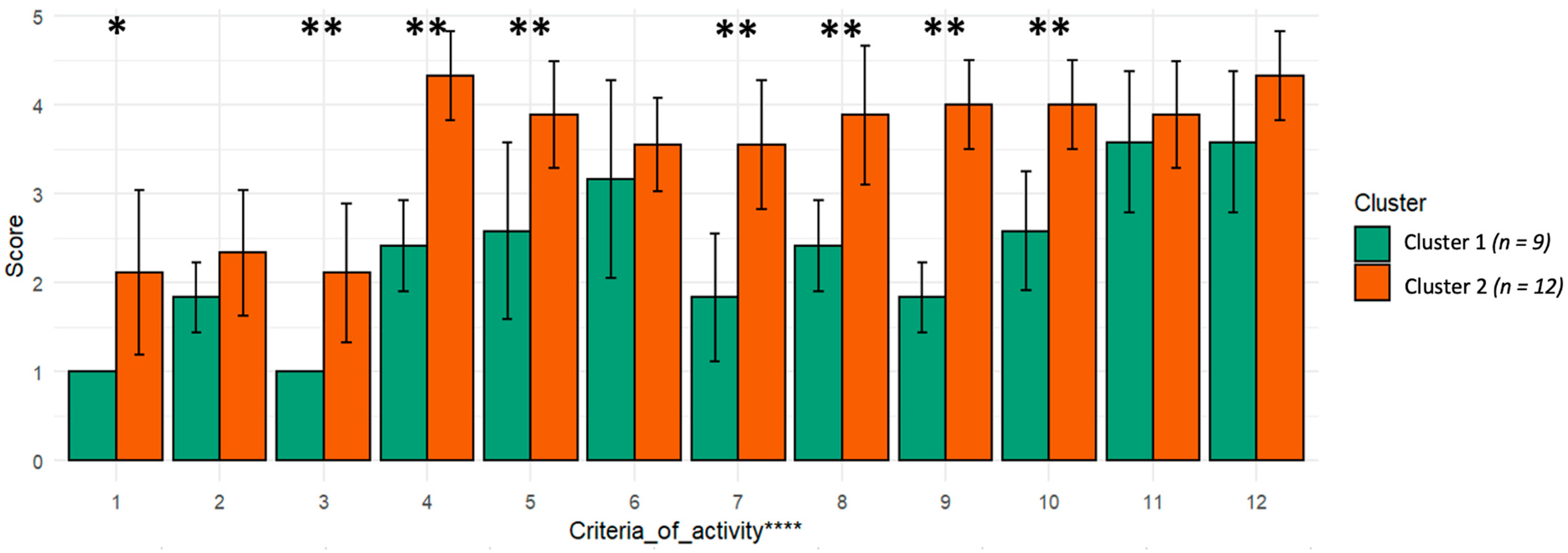
Figure 3.
Mean values with standard deviations of the criteria of activity during English class in Clusters 1 and 3. *—p ≤ 0.05, **—p ≤ 0.01, ***—p ≤ 0.001, Mann–Whitney U test, **** 1—interaction with students; 2—interaction with a teacher; 3—interaction with a group; 4—statements appropriateness; 5—new lexical material usage accuracy; 6—new lexical material usage fluency; 7—new grammar structures usage; 8—new vocabulary usage; 9—previous lexical material usage accuracy; 10—previous lexical material usage fluency; 11—previous grammar structures usage; 12—previous vocabulary usage.
3.1.2. Functional Hemispheric Activity and Asymmetry before English Class vs. Effectiveness of the Activity during the Class
An analysis of the differences in laterometry between the groups of boys and girls was conducted to check for the possible influence of unequal numbers of children of different genders on the results of the study. Statistical processing revealed that there were no significant differences between the groups of boys and girls (p > 0.32 for all the criteria of activity during the English class and laterometry parameters). Thus, within the framework of this study, the gender factor had no influence on language performance or on hemispheric activity and asymmetry.
A comparison of laterometry parameters in Clusters 1 and 3 revealed that students in Cluster 3 (the most effective ones) had significantly higher values of Δt min L (U = 10, p < 0.05), indicating less lability in the right hemisphere. The more effective students also had lower values of the K min index (U = 16.5, p < 0.05), which confirms that they had a more pronounced left hemispheric functional asymmetry than the less effective students. Figure 4 shows the data on the lability (Δt min) asymmetry distribution before the English class in students in Clusters 1 and 3.
Figure 4.
The lability (Δt min) asymmetry distribution of students in Clusters 1 and 3 before English class.
It was obtained that the proportion of students with left hemispheric lability dominance in Cluster 1 was only 17%, while in Cluster 3 their proportion was 62%. Thus, among the students who were the most effective during the English class, the left hemisphere was dominant by lability in most of the students. At the same time, the less effective students had a mostly right hemisphere dominance.
3.1.3. Functional Hemispheric Asymmetry after English Class vs. Effectiveness of the Activity during the Class
Figure 5 shows the data on the lability (Δt min) asymmetry distribution after the English class of students in Clusters 1 and 3.
Figure 5.
The lability (Δt min) asymmetry distribution of students in Clusters 1 and 3 after English class.
It was revealed that the proportion of students with left hemispheric lability asymmetry after the lesson in Cluster 1 was 33% and in Cluster 3 their proportion was 46%. Thus, among the students who were the most effective during the English class, the left hemisphere dominated by lability in most of them after the class. At the same time, the less effective students mostly (67%) had right hemisphere lability dominance (like before the class).
3.1.4. Functional Hemispheric Activity Dynamics vs. Effectiveness of the Activity during the English Class
To assess the dynamics of functional hemispheric activity before and after the English class, a coefficient was used which was calculated as the difference between the AFTER-class and BEFORE-class laterometry parameters divided by their sum. Table 1 shows the significant differences found in these coefficients between Clusters 1 and 3.
Table 1.
Mean coefficient values for Clusters 1 and 3 on laterometry parameters, U criterion values, and p-values when comparing the two Clusters.
Based on the data in Table 1, we can conclude that the most effective students were characterized by a decrease in Δt min L and Δt rash L by the end of the class, and the least effective students were characterized by an increase in Δt min L and Δt rash L. Thus, students who received maximum scores for the English class demonstrated increased lability and decreased right hemispheric stability after performing tasks in the English language, and students who received low scores demonstrated decreased lability and increased right hemisphere stability. It was also noted that there were no overall decreases in the thresholds Δt min L, Δt max L, or Δt rash L for the entire sample.
3.2. Experimental Series 2
An analysis of the differences in laterometry between the group of boys and girls revealed that the gender factor had no influence on language performance or on hemispheric activity and asymmetry.
A cluster analysis was conducted using the K-means method to identify clusters that:
- Differed as much as possible in the English test score.
- Differed in terms of the maximum number of laterometry parameters.
The cluster analysis resulted in three Clusters. Cluster 1 included nine students (four boys and five girls), Cluster 2 included nine students (two boys and seven girls), and Cluster 3 included eight students (three boys and five girls). Based on the above criteria, Clusters 1 and 3 were identified, which differed significantly in the final score in English as well as in the three laterometry parameters (Figure 6). The average test score in Cluster 1 was 8.57 and in Cluster 3 was 12.55 (U = 9; p < 0.01). Thus, students in Cluster 3 were labeled as ‘successful’, while those in Cluster 1 comprised the ‘unsuccessful’ group.
Figure 6.
Mean values with standard deviations of the laterometry parameters before English test, which differ significantly in Clusters 1 and 3. *—p ≤ 0.05, **—p ≤ 0.01, Mann–Whitney U test.
It can be concluded that the representatives of Cluster 3 were in the optimal functional state for completing an English test, as their scores were higher. Successful students had higher Δt min L (U = 10; p < 0.01) and Δt max L (U = 17; p < 0.05) and lower Δt rash R (U = 10; p < 0.01).
Figure 7 shows the data on the lability (Δt min) asymmetry distribution before the English tests of students with low (test scores of 2–6 points) and high (test scores of 13–19 points) scores.
Figure 7.
The lability (Δt min) asymmetry distribution of students with low and high test scores before English test.
It was found that in the group with low scores, the proportions of left and right hemispheric students were the same, while in the group with high scores the proportion of left hemispheric students was 78%. Thus, among the students who most successfully completed the English test, the left hemisphere dominated in terms of lability in the absolute majority.
3.3. Experimental Series 3
3.3.1. Dividing the Sample into Groups Based on the Effectiveness of the Activity during the English Class
An analysis of the differences in laterometry between the groups of males and females revealed that the gender factor had no influence on language performance or on hemispheric activity and asymmetry.
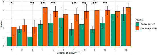
To identify groups of students with different levels of effectiveness during the English class, a cluster analysis was conducted. As a result, two clusters were identified: Cluster 1 included 9 students (three males and six females), and Cluster 2 included 12 students (four males and eight females).
Figure 8 shows the average values for the criteria of activity during the English class in Clusters 1 and 2.
Figure 8.
Mean values with standard deviations of the criteria of activity during English class in Clusters 1 and 2. *—p ≤ 0.05, **—p ≤ 0.01, Mann–Whitney U test, **** 1—interaction with students; 2—interaction with a teacher; 3—interaction with a group; 4—statements appropriateness; 5—new lexical material usage accuracy; 6—new lexical material usage fluency; 7—new grammar structures usage; 8—new vocabulary usage; 9—previous lexical material usage accuracy; 10—previous lexical material usage fluency; 11—previous grammar structures usage; 12—previous vocabulary usage.
Therefore, we can consider the students in Cluster 1 as less successful during the English class and the students in Cluster 2 as more successful.
3.3.2. Functional Hemispheric Activity and Asymmetry before English Class vs. Effectiveness of the Activity during the Class
A comparison of laterometry parameters in Clusters 1 and 2 revealed that students in Cluster 2 (the more effective ones) had significantly lower values of Δt min L (U = 20.5, p < 0.05), indicating less lability in the right hemisphere—Figure 9.
Figure 9.
Mean values with standard deviations of Δt min L before English class in Clusters 1 and 2. *—p ≤ 0.05, Mann–Whitney U test.
Figure 10 shows the data on the lability (Δt min) asymmetry distribution before the English class in the students of Clusters 1 and 2.
Figure 10.
The lability (Δt min) asymmetry distribution of students in Clusters 1 and 2 before English class.
It was found that in Clusters 1 and 2, the proportion of right hemispheric students was bigger. Within Cluster 2, only 8% had left hemispheric lability dominance, while in Cluster 1 such asymmetry was observed in 33%. Right hemispheric lability asymmetry was 67% in Cluster 1 and 75% for Cluster 2.
3.3.3. Functional Hemispheric Asymmetry after English Class vs. Effectiveness of the Activity during the Class
Figure 11 shows the distribution of functional hemispheric asymmetry by lability (Δt min) in Clusters 1 and 2 after the English class.
Figure 11.
The lability (Δt min) asymmetry distribution of students in Clusters 1 and 2 after English class (the total sum of percentages does not equal 100 for Cluster 1 because of the infinity of the resulting decimals).
Thus, the proportion of left hemispheric students in both clusters increased after the English class. In general, the distributions of students after the class were roughly the same in the two clusters.
3.3.4. Functional Hemispheric Activity Dynamics vs. Effectiveness of the Activity during the English Class
To assess the dynamics of functional hemispheric activity before and after the English class, a coefficient was used, which was calculated as the difference between the AFTER-class and BEFORE-class laterometry parameters divided by their sum. No differences were observed between Clusters 1 and 2. To analyze data in more depth, we compared the values of the basic laterometry parameters before and after the English class in Clusters 1 and 2. For this purpose, we analyzed what percentage of students in each Cluster had a decrease in the basic laterometry parameters (Table 2).
Table 2.
Percentage of students in Clusters 1 and 2 who had a decrease in the values of the basic laterometry parameters.
Therefore, a decrease in parameters was detected for both clusters and for all indicators (in contrast to the sample of students of the third grade). It was found that successful students (Cluster 2) were more characterized by more pronounced decreases in thresholds for the indicators Δt max L, Δt rash L, Δt min R, and Δt rash R.
4. Discussion
In Experimental Series 1, it was revealed that differences in the effectiveness of activity during the English class were found only for parameters 4–12 (where the scale is five-point). The absence of differences in criteria 1–3 may be due to less variance since the scale there is three-point.
In the most effective students during the English class, less lability in the right hemisphere and a more pronounced left hemispheric functional lability asymmetry were detected. This was confirmed by the results of the asymmetry coefficient analysis on lability (K min) and the results of comparing the asymmetry proportion distribution in different clusters of effectiveness. Thus, left hemispheric functional dominance can be considered as a marker for effective activity during an English class.
It was also revealed that after the English class the most effective students did not change their general functional lability asymmetry profiles, i.e., before the class the majority of them had right hemispheric lability asymmetry. However, some of the students still changed their lability asymmetry direction, which can be considered as the effect of linguistic workload, as different linguistic tasks involve the activity of different brain structures [52,53,54,58]. In the most effective students, the share of left hemispheric ones by lability decreased after the class.
In Experimental Series 1, it was also found that the most effective students were characterized by a decrease in Δt min L and Δt rash L by the end of the class and the least effective students were characterized by an increase in Δt min L and Δt rash L. This suggests that the physiological state of the representatives of Cluster 1 and 3 was differently affected by the load during the English class. Perhaps the functional hemispheric activity and asymmetry measures of less successful students approach those of more successful students only by the end of the class. Assuming that the workload was optimal for the representatives of Cluster 3 and that the initial functional hemispheric activity and asymmetry were also optimal for the acquisition and practice of foreign language speech skills, this raises the problem of finding the optimal physiological state for activity during the English class and for the students, such as those who fell into Cluster 1. Probably, attending the second English class (right after the first one) would have been most effective for the representatives of Cluster 1 because only after the language activity during the first class did their physiological functional state become optimal for the acquisition of foreign language skills.
In Experimental Series 2, it was found that students who performed well on the English test (Cluster 3) differed by higher values of Δt min L and Δt max L and lower values of Δt rash R before testing, indicating lower lability and excitability in the right hemisphere and lower stability in the left hemisphere. An analysis of hemispheric functional asymmetry revealed that students with good English test scores had left hemispheric functional lability asymmetry. Based on these results, we can identify the physiological factors of readiness for successful high school English test solving: low lability and excitability in the right hemisphere and low stability in the left hemisphere. Perhaps the optimal state for solving test tasks is related to the special state of the brain, including those due to the optimal functioning of the areas responsible for executive functions and responsible for language control [18].
In Experimental Series 3, it was revealed that the more efficient students during the English class (Cluster 2) were characterized by greater lability in the right hemisphere. These students were also characterized by a greater right hemispheric functional lability asymmetry. Thus, the results for the sample of students show that functional hemispheric activity and asymmetry are related to success in English language acquisition. Efficient students were characterized by right hemispheric functional hemispheric lability asymmetry, and this may be related to the specific context, i.e., mastering English at the professional level. Consequently, the presence of left hemispheric functional hemispheric lability asymmetry prior to class is not a factor of success in this context (unlike in the context of third-grade students). On the contrary, right hemispheric functional lability dominance is a predictor of more successful performance during English class. The presence of a more pronounced lowering of the laterometry indices after the English class in effective students may testify to the fact that the variety of tasks solved during class and their efficient performance in general leads to the mobilization of all brain resources, i.e., to an overall increase in the functional activity of the brain. In addition, these results are consistent with the fact that a bilateral activation of brain structures was observed when late bilinguals performed tasks in a foreign language [58].
Based on the results of Experimental Series 3, we can identify the physiological factors of readiness for successful activity during the English class: high lability in the right hemisphere and right hemispheric functional hemispheric lability asymmetry.
In general, the results of Experimental Series 1–3 reveal that functional hemispheric asymmetry is related to success during both an English class and an English test. The sensitivity of lability asymmetry to the effectiveness of activity during the English class and to success in solving the English test can be explained by the following. The lability score is related to predominantly brain stem activity [60,61], and in speech processing the brain stem plays an important role for selective attention [62] and its responses are related to the level of language training [63,64]. It is likely that it is selective attention that can provide optimal functioning for linguistic tasks.
In comparison to 3rd-grade and 10th-grade students, effective university students were characterized by right hemispheric functional lability asymmetry. This result is consistent with the previous findings that the right hemispheric structures are more activated in bilinguals than in monolinguals [58]. This shift in lateralization during the acquisition of a foreign language and the increased role of the right hemisphere may indicate a reaction to new professional information in a foreign language. At the same time, some structures of the right hemisphere, which are activated when performing tasks in a foreign language, were not previously considered to be involved in the linguistic system of the brain. Perhaps they can play a role in the perception of unknown information in a foreign language, and the role of these structures could become less important as the degree of foreign language level increases [23]. These results can also be explained based on a neuro-ontogenetic model [65]: the performance of functions lateralizing before age 5 and after age 11 is directly proportional to the degree of asymmetry, while functions lateralizing from ages 5 to 11 are inversely related to it. In addition, young men and women may involve more explicit mechanisms for foreign language acquisition [36,37].
The results of the current study may also contribute to the ‘sensitive period’ hypothesis [40]. In adulthood, brain resources are more limited [41], but the factor of self-motivation [42] and optimal functional hemispheric activity and asymmetry may activate such ‘sensitive period’ during language acquisition by adults.
The findings obtained can be applied to the creation of biofeedback trainings, which would optimize the hemispheric profile of a person when learning a foreign language. In addition, an assessment of the hemispheric profiles of students who have difficulties learning a foreign language can help in creating a personalized learning schedule.
5. Conclusions
- Functional hemispheric activity and asymmetry parameters appeared to be related to success during an English class and an English test in 3rd-grade, 10th-grade, and university Russian-speaking students.
- The markers of hemispheric profile before language activity that cause effective foreign language performance include:
- In 3rd-grade students: less lability in the right hemisphere and left hemispheric functional lability asymmetry;
- In 10th-grade students: lower lability and excitability in the right hemisphere, lower stability in the left hemisphere, and left hemispheric functional lability asymmetry;
- In university students: greater lability in the right hemisphere and right hemispheric functional lability asymmetry.
6. Limitations of the Study
- The study was conducted on a relatively small sample, and the clusters were made with a small number of students. This study was a pilot, and the sample could be expanded in the future. In addition, the obtained cluster sizes were suitable for analysis using methods of nonparametric statistics.
- For objective and beyond-our-control reasons, the author could not conduct the study on 10th-grade students by the same design as the 3rd-grade and university students. Nevertheless, the author tried to explain the results with this limitation in mind.
Funding
This research received no external funding.
Institutional Review Board Statement
The study was conducted according to the guidelines of the Declaration of Helsinki and approved by the Institutional Review Board of Faculty of Social Sciences of Lobachevsky State University (protocol No. 10 from 17 May 2022).
Informed Consent Statement
Informed consent was obtained from all subjects involved in the study or from their legal representatives.
Data Availability Statement
The data presented in this study are available on request from the corresponding author. The data are not publicly available due to their containing information that could compromise the privacy of research participants.
Acknowledgments
The author would like to thank Psychophysiology Department of Lobachevsky State University.
Conflicts of Interest
The author declares no conflict of interest.
References
- Broca, P. Remarque sur le siege de la faculte du langage articule, suivies d’une observation d’aphemie. Bull. De La Soc. D’anthropologie 1861, 6, 330–357. [Google Scholar]
- Wernicke, C. Der Aphasische Symptomencomplex: Eine Psychologische Studie auf Anaomischer Basis; Cohn und Welgert: Breslau, Poland, 1874. [Google Scholar]
- Gazzaniga, M.S. The Bisected Brain; Appleton-Century-Crofts: New York, NY, USA, 1970. [Google Scholar]
- Imaezue, G. Brain Localization and the Integrated Systems Hypothesis: Evidence from Broca’s Region. J. Behav. Brain Sci. 2017, 7, 511–519. [Google Scholar] [CrossRef]
- Burnston, D.C. A contextualist approach to functional localization in the brain. Biol. Philos. 2016, 31, 527–550. [Google Scholar] [CrossRef]
- Si, R.; Rowe, J.B.; Zhang, J. Functional localization and categorization of intentional decisions in humans: A meta-analysis of brain imaging studies. NeuroImage 2021, 242, 118468. [Google Scholar] [CrossRef] [PubMed]
- Poeppel, D. The analysis of speech in different temporal integration windows: Cerebral lateralization as “asymmetric sampling in time. Speech Commun. 2003, 41, 245–255. [Google Scholar] [CrossRef]
- Boemio, A.; Fromm, S.; Braun, A.; Poeppel, D. Hierarchical and asymmetric temporal sensitivity in human auditory cortices. Nat. Neurosci. 2005, 8, 389–395. [Google Scholar] [CrossRef]
- Morillon, B.; Liégeois-Chauvel, C.; Arnal, L.H.; Bénar, C.-G.; Giraud, A.-L. Asymmetric function of theta and gamma activity in syllable processing: An intra-cortical study. Front. Psychol. 2012, 3, 248. [Google Scholar] [CrossRef]
- Bernal, B.; Ardila, A. From Hearing Sounds to Recognizing Phonemes: Primary Auditory Cortex is A Truly Perceptual Language Area. AIMS Neurosci. 2016, 3, 454–473. [Google Scholar] [CrossRef]
- Telkemeyer, S.; Rossi, S.; Koch, S.P.; Nierhaus, T.; Steinbrink, J.; Poeppel, D.; Obrig, H.; Wartenburger, I. Sensitivity of newborn auditory cortex to the temporal structure of sounds. J. Neurosci. 2009, 29, 14726–14733. [Google Scholar] [CrossRef]
- Telkemeyer, S.; Rossi, S.; Nierhaus, T.; Steinbrink, J.; Obrig, H.; Wartenburger, I. Acoustic processing of temporally modulated sounds in infants: Evidence from a combined near-infrared spectroscopy and EEG study. Front. Psychol. 2011, 1, 62. [Google Scholar] [CrossRef]
- Okamoto, H.; Stracke, H.; Ross, B.; Kakigi, R.; Pantev, C. Left hemispheric dominance during auditory processing in a noisy environment. BMC Biol. 2007, 5, 52. [Google Scholar] [CrossRef] [PubMed]
- Rodrigues de Almeida, L.; Pope, P.A.; Hansen, P.C. Task load modulates tDCS effects on brain network for phonological processing. Cogn. Process. 2020, 21, 341–363. [Google Scholar] [CrossRef] [PubMed]
- Pitres, A. Etude sur l’aphasie. Rev. De Med. 1895, 15, 873–899. [Google Scholar]
- Potzl, O. Uber die parietal bedingte Aphasie und ih-ren EinfluB auf das Sprechen mehrerer Sprachen. Z. Fur Gesamte Neurol. Und Psychietrie 1925, 96, 100–124. [Google Scholar] [CrossRef]
- Paradis, M. Multilingualism and Aphasia. In Linguistic Disorders and Pathologies: An International Handbook; Blanken, G., Dittmann, J., Grimm, H., Marshall, J.C., Wallesch, C.-W., Eds.; Walter de Gruyter: Berlin, Germany, 1993; pp. 278–288. [Google Scholar]
- Abutalebi, J.; Brambati, S.; Annoni, J.; Moro, A.; Cappa, S.; Perani, D. The neural cost of the auditory perception of language switches: An eventrelated functional magnetic resonance imaging study in bilinguals. J. Neurosci. 2007, 27, 62–69. [Google Scholar] [CrossRef]
- Canini, M.; Della Rosa, P.A.; Catricala, E.; Strijkers, K.; Branzi, F.; Costa, A.; Abutalebi, J. Semantic Interference and Its Control: A Functional Neuroimaging and Connectivity Study. Hum. Brain Mapp. 2016, 37, 4179–4196. [Google Scholar] [CrossRef]
- Bulgarelli, C.; de Klerk, C.; Richards, J.E.; Southgate, V.; Hamilton, A.; Blasi, A. The developmental trajectory of fronto-temporoparietal connectivity as a proxy of the default mode network: A longitudinal fNIRS investigation. Hum. Brain Mapp. 2020, 41, 2717–2740. [Google Scholar] [CrossRef]
- Gandolfi, E.; Viterbori, P. Inhibitory Control Skills and Language Acquisition in Toddlers and Preschool Children. Lang. Learn. 2020, 70, 604–642. [Google Scholar] [CrossRef]
- Cragg, L.; Nation, K. Language and the Development of Cognitive Control. Top. Cogn. Sci. 2010, 2, 631–642. [Google Scholar] [CrossRef]
- Tan, L.H.; Chen, L.; Yip, V.; Chan, A.H.D.; Yang, J.; Gao, J.-H.; Sioka, W.T. Activity levels in the left hemisphere caudate-fusiform circuit predict how well a second language will be learned. Proc. Natl. Acad. Sci. USA 2011, 108, 2540–2544. [Google Scholar] [CrossRef]
- Garcia-Sierra, A.; Rivera-Gaxiola, M.; Peraccio, C.R.; Conboy, B.T.; Romo, H.; Klarman, S.O.; Ortizc, S.; Kuhl, P.K. Bilingual language learning: An ERP study relating early brain responses to speech, language input, and later word production. J. Phon. 2011, 39, 546–557. [Google Scholar] [CrossRef]
- Luo, D.; Kwok, V.; Liu, Q.; Li, W.; Yang, Y.; Zhou, K.; Xu, M.; Gao, J.H.; Tan, L.H. Microstructural plasticity in the bilingual brain. Brain Lang. 2019, 196, 104654. [Google Scholar] [CrossRef] [PubMed]
- Costa, A.; Sebastián-Gallés, N. How does the bilingual experience sculpt the brain? Nat. Rev. Neurosci. 2014, 15, 336–345. [Google Scholar] [CrossRef]
- Molfese, D. The ontogeny of cerebral asymmetry in man: Auditory evoked potentials to linguistic and non-linguistic stimuli. In Progress in Clinical Neurophysiology; Desmedt, J., Ed.; Basel: Karger, Switzerland, 1977; Volume 3, pp. 188–204. [Google Scholar]
- Gardine, M.; Walter, D. Evidence of hemispheric specialization from infant EEG. In Lateralization in the Nervous System; Harnad, S., Doty, R.W., Goldstein, L., Jaynes, J., Krauthamer, G., Eds.; Academic Press: New York, NY, USA, 1976; pp. 481–502. [Google Scholar]
- Geschwind, N.; Levitsky, W. Human brain: Left-right asymmetries in temporal speech region. Science 1968, 161, 136–189. [Google Scholar] [CrossRef]
- Witelson, S.F.; PaUie, W. Left hemisphere specialization for language in the newborn: Neuroanatomiral evidence of asymmetry. Brain 1973, 96, 641–646. [Google Scholar] [CrossRef] [PubMed]
- Wada, J.A.; Clarke, R.; Hamm, A. Cerebral hemispheric asymmetry in humans. Arch. Neurol. 1975, 32, 239–246. [Google Scholar] [CrossRef]
- Penfield, M.; Roberts, L. Speech and Brain Mechanisms; Princeton University Press: Princeton, NJ, USA, 1959. [Google Scholar]
- Hyltenstam, K.; Abrahamsson, N. Maturational constraints of SLA. Handb. Second Lang. Acquis. 2003, 12, 539–588. [Google Scholar]
- Lennenberg, E.H. The Biological Foundations of Language; Wiley: New York, NY, USA, 1967. [Google Scholar]
- Cleeremans, A.; Destrebecqz, A.; Boyer, B. Implicit learning: News from the front. Trends Cogn. Sci. 1998, 2, 406–533. [Google Scholar] [CrossRef]
- Bley-Vroman, R. The fundamental character of foreign language learning. In Grammar and Second Language Teaching: A Book of Reading; Rutherford, W., Sharwood Smidth, M., Eds.; Newbury House: Rowley, MA, USA, 1998. [Google Scholar]
- DeKeyser, R. The robustness of critical period effects in second language acquisition. Stud. Second. Lang. Acquis. 2000, 22, 499–533. [Google Scholar] [CrossRef]
- Munoz, C. Age and the Rate of Foreign Language Learning; Multilingual Matters Ltd.: Toronto, AB, Canada, 2006. [Google Scholar]
- Seliger, H.W. Implications of a multiple critical periods hypothesis for second language learning. In Second Language Acquisition Research; Ritchie, W., Ed.; Academic Press: New York, NY, USA, 1978; pp. 11–19. [Google Scholar]
- Knudsen, E.I. Sensitive periods in the development of the brain and behavior. J. Cogn. Neurisci. 2004, 16, 1412–1425. [Google Scholar] [CrossRef]
- Berken, J.A.; Graccob, V.L.; Klein, D. Early bilingualism, language attainment, and brain development. Neuropsychologia 2017, 98, 220–227. [Google Scholar] [CrossRef] [PubMed]
- Jaspal, A. Second language acquisition. In Leading Undergraduate Work in English Studies; The University of Nottingham: Nottingham, UK, 2009–2010; Volume 2, pp. 235–246. [Google Scholar]
- Hull, R.; Vaid, J. Bilingual language lateralization: A meta-analytic tale of two hemispheres. Bilingual language lateralization: A meta-analytic tale of two hemispheres. Neuropsychologia 2007, 45, 1987–2008. [Google Scholar] [CrossRef] [PubMed]
- Wei, M.; Joshi, A.; Zhang, M.; Mei, L.; Manisa, F.; Hea, Q.; Beattie, R.; Xuec, G.; Shattuc, D.; Leahyb, R.; et al. How age of acquisition influences brain architecture in bilinguals. J. Neurolinguist. 2015, 36, 35–55. [Google Scholar] [CrossRef]
- Liu, H.; Cao, F. L1 and L2 processing in the bilingual brain: A meta-analysis of neuroimaging studies. Brain Lang. 2016, 159, 60–73. [Google Scholar] [CrossRef] [PubMed]
- Kuhl, P.K. Early linguistic experience and phonetic perception: Implications for theories of developmental speech perception. J. Phon. 1993, 21, 125–139. [Google Scholar] [CrossRef]
- Näätänen, R.; Tiitinen, H. Auditory information processing as MMN to learned vowel contrasts indexed by the mismatch negativity. In Advances in Psychological Science: Biological and Cognitive Aspects; Sabourin, M., Craik, F.I.M., Robert, M., Eds.; Psychology Press: Hove, UK, 1997; pp. 145–170. [Google Scholar]
- Dehaene-Lambertz, G. Electrophysiological correlates of categorical phoneme perception in adults. NeuroReport 1997, 8, 919–924. [Google Scholar] [CrossRef] [PubMed]
- Kim, K.H.; Relkin, N.R.; Lee, K.M.; Hirsch, J. Distinct cortical areas associated with native and second languages. Nature 1997, 388, 171–174. [Google Scholar] [CrossRef] [PubMed]
- Klein, D.; Zatorre, R.J.; Chen, J.K.; Milner, B.; Crane, J.; Belin, P.; Bouffard, M. Bilingual brain organization: A functional magnetic resonance adaptation study. NeuroImage 2006, 31, 366–375. [Google Scholar] [CrossRef]
- Abutalebi, J.; Green, D. Bilingual language production, The neurocognition of language representation and control. J. Neurolinguist. 2007, 20, 242–275. [Google Scholar] [CrossRef]
- Quaresima, V.; Ferrari, M.; van der Sluijs, M.C.P.; Menssen, J.; Colier, W.N.J.M. Lateral frontal cortex oxygenation changes during translation and language switching revealed by non-invasive near-infrared multi-point measurements. Brain Res. Bull. 2002, 59, 235–243. [Google Scholar] [CrossRef]
- Crinion, J.; Turner, R.; Grogan, A.; Hanakawa, T.; Noppeney, U.; Devlin, J.T.; Aso, T.; Urayama, S.; Fukuyama, H.; Stockton, K.; et al. Language control in the bilingual brain. Science 2006, 312, 1537–1540. [Google Scholar] [CrossRef] [PubMed]
- Wang, Y.; Xue, G.; Chen, C.; Xue, F.; Dong, Q. Neural bases of asymmetric language switching in second-language learners: An ER-fMRI study. NeuroImage 2007, 35, 862–870. [Google Scholar] [CrossRef] [PubMed]
- Abler, W.L. Asymmetry in the skulls of fossil man: Evidence of lateralized brain function? Brain Behav. Evol. 1976, 13, 111–115. [Google Scholar] [CrossRef] [PubMed]
- Albert, M.L.; Obler, L.K.; Bentin, S.; Gazicl, T.; Silverberg, R. Shiit of visual field preference to English words in native Hebrew speakers. Brain Lang. 1979, 8, 184. [Google Scholar]
- Shimada, K.; Hirotani, M.; Yokokawa, H.; Yoshida, H.; Makita, K.; Yamazaki-Murase, M.; Tanabe, H.C.; Sadato, N. Fluency-dependent cortical activation associated with speech production and comprehension in second language learners. Neuroscience 2015, 300, 474–492. [Google Scholar] [CrossRef]
- Park, H.; Badzakova-Trajkov, G.; Waldie, K. Language lateralisation in late proficient bilinguals: A lexical decision fMRI study. Neuropsychologia 2012, 50, 688–695. [Google Scholar] [CrossRef]
- Abutalebi, J.; Miozzo, A.; Cappa, S.F. Do subcortical structures control ‘language selection’ in polyglots? Evidence from pathological language mixing. Neurocase 2000, 6, 51–56. [Google Scholar]
- Demareva, V.; Mukhina, E.; Bobro, T.; Abitov, I. Does Double Biofeedback Affect Functional Hemispheric Asymmetry and Activity? A Pilot Study. Symmetry 2021, 13, 937. [Google Scholar] [CrossRef]
- Polevaya, S.A. Integraciya Endogennyh Faktorov v Sistemu Obrabotki Eksteroceptivnyh Signalov. Ph.D. Thesis, Lobachevsky State University of Nizhny Novgorod, Nizhny Novgorod, Russia, 2009. (In Russian). [Google Scholar]
- Forte, A.E.; Etard, O.; Reichenbach, T. The human auditory brainstem response to running speech reveals a subcortical mechanism for selective attention. Elife 2017, 6, e27203. [Google Scholar] [CrossRef]
- Zhao, T.C.; Kuhl, P.K. Linguistic effect on speech perception observed at the brainstem. Proc. Natl. Acad. Sci. USA 2018, 115, 8716–8721. [Google Scholar] [CrossRef]
- Krishnan, A.; Gandour, J.T. The role of the auditory brainstem in processing linguistically-relevant pitch patterns. Brain Lang. 2009, 110, 135–148. [Google Scholar] [CrossRef] [PubMed]
- Boles, D.B.; Barth, J.M.; Merrill, E.C. Asymmetry and performance: Toward a neurodevelopmental theory. Brain Cogn. 2008, 66, 124–139. [Google Scholar] [CrossRef] [PubMed]
Publisher’s Note: MDPI stays neutral with regard to jurisdictional claims in published maps and institutional affiliations. |
© 2022 by the author. Licensee MDPI, Basel, Switzerland. This article is an open access article distributed under the terms and conditions of the Creative Commons Attribution (CC BY) license (https://creativecommons.org/licenses/by/4.0/).










