An Artificial Bee Colony with Adaptive Competition for the Unrelated Parallel Machine Scheduling Problem with Additional Resources and Maintenance
Abstract
:1. Introduction
2. Problem Description
3. Introduction to ABC
4. ABC-AC for UPMSPR with PM
4.1. Solution Representation
- (1)
- All assigned jobs on each machine are decided in terms of machine assignment string;
- (2)
- For each machine , (1) a permutation of all jobs on is gotten by sorting these jobs in the ascending order of , (2) for the permutation, start with first job, for each job , first decide each idle period of , if can be inserted into some idle periods when processing time and resource constraint are met, then choose an idle period with the smallest beginning time and insert into the chosen period in terms of processing time and resource constraint; otherwise, is processed after the current last processed job of ; if the completion time of exceeds , then PM is first done, and then is processed.
4.2. Employed Bee Phase with Adaptive Competition
- (1)
- Compute and .
- (2)
- If , then , execute sequentially one search for each solution in and .
- (3)
- If , then , , sort all solutions of and , respectively, in the ascending order of makespan, let W be the set of R solutions with smallest makespan from , execute one search for each solution in and one search for each , sequentially, perform one search for each of the first solutions of .
- (4)
- If , then , , obtains extra R searches and just has searches as done in (3).
4.3. Adaptive Onlooker Bee Phase and New Scout Phase
- (1)
- Compute and
- (2)
- If random number , then is chosen; otherwise, is selected
- (3)
- For each onlooker bee , select a x from the chosen empoyed bee swarm by roulette selection in Section 3, execute one search for the solution x.
- (1)
- Sort all solutions of P in the ascending order of
- (2)
- For each solution with ,
4.4. Algorithm Description
- (1)
- Randomly produce initial population P with N solutions and divide the whole population into and , .
- (2)
- Execute employed bee phase with adaptive competition.
- (3)
- Perform onlooker bee phase.
- (4)
- Execute scout phase.
- (5)
- . If the stopping condition is not met, go to step (2); otherwise, stop the search.
5. Computational Experiments
5.1. Test Instances and Comparative Algorithms
5.2. Parameter Settings
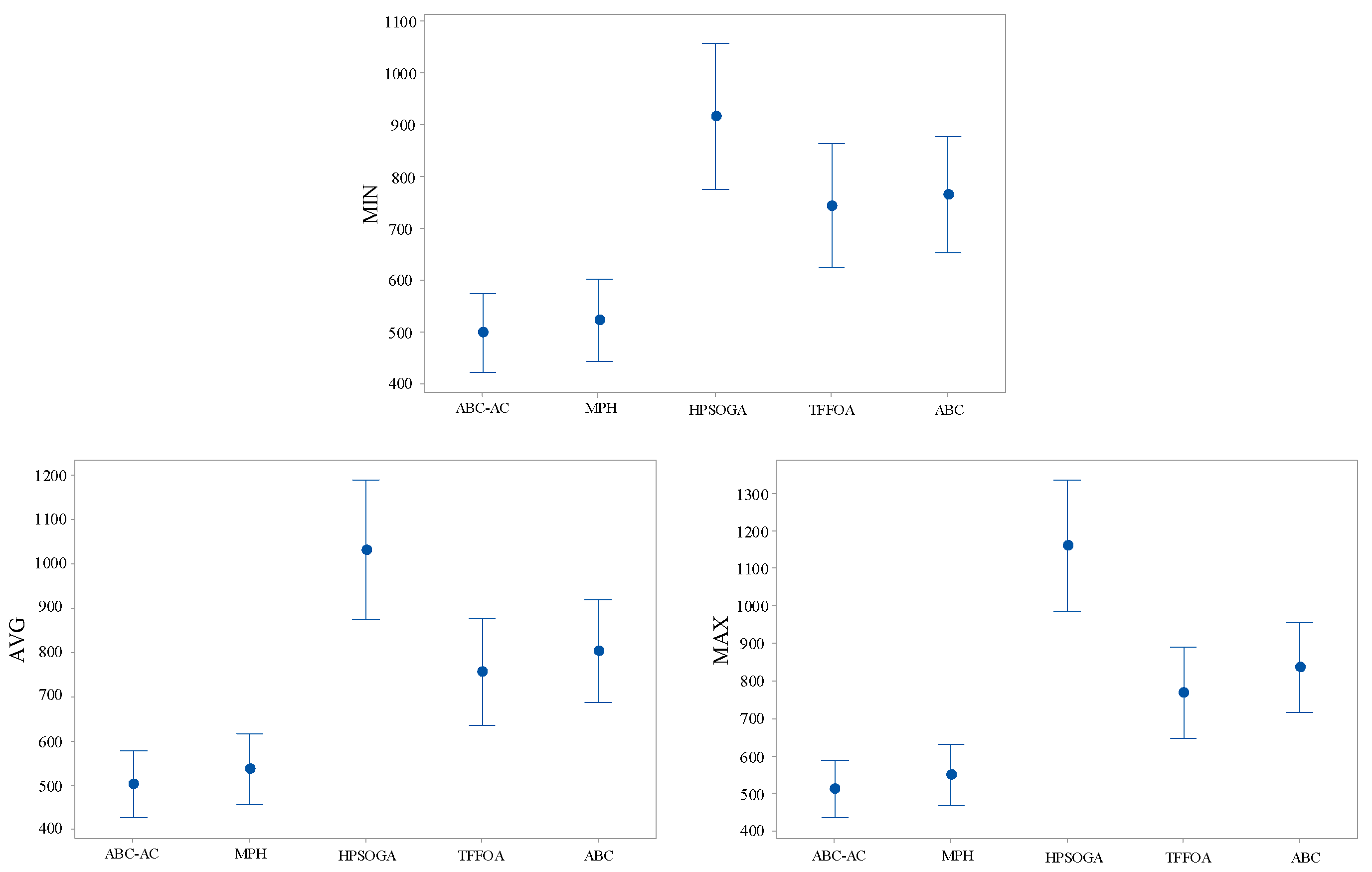
5.3. Results and Discussion
6. Conclusions and Future Research
Author Contributions
Funding
Institutional Review Board Statement
Informed Consent Statement
Data Availability Statement
Conflicts of Interest
Appendix A
| Instance | ABC-AC | MPH | HPSOGA | TAFOA | ABC | Instance | ABC-AC | MPH | HPSOGA | TAFOA | ABC |
|---|---|---|---|---|---|---|---|---|---|---|---|
| 8 × 2 × 1 | 326 | 326 | 357 | 326 | 326 | 12 × 6 × 1 | 145 | 161 | 240 | 174 | 161 |
| 8 × 2 × 2 | 269 | 269 | 277 | 326 | 269 | 12 × 6 × 2 | 151 | 156 | 188 | 162 | 160 |
| 8 × 2 × 3 | 197 | 216 | 209 | 197 | 198 | 12 × 6 × 3 | 62 | 62 | 80 | 70 | 72 |
| 8 × 2 × 4 | 241 | 252 | 413 | 283 | 251 | 12 × 6 × 4 | 63 | 65 | 115 | 87 | 72 |
| 8 × 2 × 5 | 194 | 194 | 244 | 194 | 194 | 12 × 6 × 5 | 49 | 50 | 92 | 82 | 76 |
| 8 × 2 × 6 | 139 | 139 | 164 | 139 | 139 | 12 × 6 × 6 | 57 | 60 | 105 | 64 | 71 |
| 8 × 2 × 7 | 204 | 205 | 259 | 224 | 204 | 12 × 6 × 7 | 57 | 67 | 116 | 111 | 87 |
| 8 × 2 × 8 | 171 | 171 | 212 | 171 | 171 | 12 × 6 × 8 | 64 | 82 | 102 | 77 | 85 |
| 8 × 2 × 9 | 544 | 544 | 607 | 544 | 544 | 12 × 6 × 9 | 250 | 308 | 403 | 480 | 284 |
| 8 × 2 × 10 | 577 | 577 | 708 | 634 | 634 | 12 × 6 × 10 | 263 | 323 | 439 | 322 | 305 |
| 8 × 4 × 1 | 124 | 131 | 176 | 137 | 131 | 16 × 2 × 1 | 573 | 645 | 719 | 664 | 623 |
| 8 × 4 × 2 | 119 | 125 | 164 | 126 | 126 | 16 × 2 × 2 | 600 | 655 | 763 | 690 | 654 |
| 8 × 4 × 3 | 174 | 192 | 183 | 190 | 177 | 16 × 2 × 3 | 522 | 534 | 613 | 544 | 557 |
| 8 × 4 × 4 | 123 | 124 | 152 | 171 | 131 | 16 × 2 × 4 | 642 | 813 | 1107 | 803 | 804 |
| 8 × 4 × 5 | 80 | 96 | 97 | 122 | 80 | 16 × 2 × 5 | 332 | 348 | 608 | 341 | 361 |
| 8 × 4 × 6 | 66 | 78 | 103 | 78 | 78 | 16 × 2 × 6 | 264 | 284 | 424 | 307 | 300 |
| 8 × 4 × 7 | 91 | 100 | 116 | 100 | 96 | 16 × 2 × 7 | 363 | 394 | 548 | 384 | 406 |
| 8 × 4 × 8 | 78 | 89 | 112 | 89 | 90 | 16 × 2 × 8 | 358 | 386 | 505 | 388 | 418 |
| 8 × 4 × 9 | 279 | 326 | 364 | 357 | 292 | 16 × 2 × 9 | 1165 | 1392 | 1631 | 1337 | 1416 |
| 8 × 4 × 10 | 275 | 317 | 382 | 342 | 317 | 16 × 2 × 10 | 1219 | 1416 | 1785 | 1718 | 1449 |
| 8 × 6 × 1 | 103 | 109 | 118 | 115 | 103 | 16 × 4 × 1 | 283 | 325 | 545 | 340 | 355 |
| 8 × 6 × 2 | 106 | 106 | 134 | 114 | 106 | 16 × 4 × 2 | 213 | 229 | 329 | 255 | 240 |
| 8 × 6 × 3 | 46 | 46 | 57 | 53 | 77 | 16 × 4 × 3 | 181 | 194 | 263 | 383 | 208 |
| 8 × 6 × 4 | 71 | 75 | 90 | 87 | 78 | 16 × 4 × 4 | 140 | 159 | 170 | 163 | 165 |
| 8 × 6 × 5 | 36 | 36 | 68 | 56 | 44 | 16 × 4 × 5 | 80 | 90 | 171 | 114 | 117 |
| 8 × 6 × 6 | 58 | 58 | 67 | 58 | 58 | 16 × 4 × 6 | 90 | 102 | 175 | 102 | 154 |
| 8 × 6 × 7 | 42 | 42 | 68 | 68 | 49 | 16 × 4 × 7 | 112 | 117 | 157 | 158 | 160 |
| 8 × 6 × 8 | 62 | 62 | 77 | 62 | 62 | 16 × 4 × 8 | 121 | 128 | 238 | 121 | 175 |
| 8 × 6 × 9 | 214 | 227 | 255 | 254 | 217 | 16 × 4 × 9 | 488 | 532 | 626 | 711 | 560 |
| 8 × 6 × 10 | 218 | 226 | 301 | 230 | 225 | 16 × 4 × 10 | 508 | 558 | 705 | 566 | 603 |
| 12 × 2 × 1 | 326 | 326 | 453 | 326 | 328 | 16 × 6 × 1 | 146 | 159 | 209 | 167 | 172 |
| 12 × 2 × 2 | 593 | 684 | 775 | 663 | 605 | 16 × 6 × 2 | 153 | 159 | 221 | 238 | 171 |
| 12 × 2 × 3 | 380 | 415 | 527 | 399 | 396 | 16 × 6 × 3 | 123 | 126 | 202 | 162 | 146 |
| 12 × 2 × 4 | 292 | 332 | 421 | 329 | 324 | 16 × 6 × 4 | 115 | 126 | 154 | 296 | 124 |
| 12 × 2 × 5 | 171 | 175 | 195 | 176 | 175 | 16 × 6 × 5 | 67 | 75 | 145 | 82 | 106 |
| 12 × 2 × 6 | 261 | 280 | 335 | 261 | 280 | 16 × 6 × 6 | 62 | 75 | 146 | 75 | 108 |
| 12 × 2 × 7 | 205 | 205 | 208 | 205 | 206 | 16 × 6 × 7 | 95 | 95 | 181 | 110 | 127 |
| 12 × 2 × 8 | 296 | 318 | 436 | 300 | 320 | 16 × 6 × 8 | 85 | 100 | 151 | 95 | 122 |
| 12 × 2 × 9 | 774 | 774 | 1164 | 774 | 811 | 16 × 6 × 9 | 356 | 389 | 492 | 389 | 402 |
| 12 × 2 × 10 | 1035 | 1094 | 1195 | 1129 | 1091 | 16 × 6 × 10 | 360 | 389 | 535 | 413 | 413 |
| 12 × 4 × 1 | 235 | 253 | 353 | 285 | 272 | 20 × 2 × 1 | 563 | 699 | 725 | 621 | 654 |
| 12 × 4 × 2 | 204 | 218 | 242 | 242 | 221 | 20 × 2 × 2 | 622 | 674 | 799 | 701 | 669 |
| 12 × 4 × 3 | 214 | 253 | 416 | 305 | 269 | 20 × 2 × 3 | 728 | 860 | 1291 | 1001 | 1004 |
| 12 × 4 × 4 | 229 | 244 | 301 | 269 | 240 | 20 × 2 × 4 | 596 | 710 | 946 | 753 | 753 |
| 12 × 4 × 5 | 93 | 96 | 164 | 94 | 117 | 20 × 2 × 5 | 448 | 482 | 568 | 448 | 515 |
| 12 × 4 × 6 | 70 | 84 | 128 | 91 | 113 | 20 × 2 × 6 | 338 | 422 | 559 | 424 | 422 |
| 12 × 4 × 7 | 112 | 115 | 160 | 125 | 138 | 20 × 2 × 7 | 504 | 568 | 644 | 528 | 579 |
| 12 × 4 × 8 | 98 | 107 | 151 | 134 | 131 | 20 × 2 × 8 | 397 | 549 | 659 | 533 | 568 |
| 12 × 4 × 9 | 403 | 438 | 546 | 439 | 451 | 20 × 2 × 9 | 1468 | 1735 | 2174 | 1701 | 1880 |
| 12 × 4 × 10 | 388 | 444 | 562 | 444 | 446 | 20 × 2 × 10 | 1507 | 1610 | 2126 | 1926 | 1956 |
| Instance | ABC-AC | MPH | HPSOGA | TAFOA | ABC | Instance | ABC-AC | MPH | HPSOGA | TAFOA | ABC |
|---|---|---|---|---|---|---|---|---|---|---|---|
| 20 × 4 × 1 | 355 | 383 | 671 | 470 | 463 | 30 × 2 × 1 | 1303 | 1624 | 1733 | 1660 | 1650 |
| 20 × 4 × 2 | 304 | 312 | 391 | 371 | 338 | 30 × 2 × 2 | 915 | 965 | 1146 | 932 | 1017 |
| 20 × 4 × 3 | 164 | 175 | 189 | 183 | 179 | 30 × 2 × 3 | 371 | 374 | 429 | 410 | 416 |
| 20 × 4 × 4 | 170 | 178 | 189 | 233 | 184 | 30 × 2 × 4 | 992 | 1164 | 1380 | 1375 | 1199 |
| 20 × 4 × 5 | 126 | 130 | 234 | 152 | 181 | 30 × 2 × 5 | 670 | 789 | 1050 | 814 | 894 |
| 20 × 4 × 6 | 111 | 130 | 215 | 143 | 176 | 30 × 2 × 6 | 697 | 820 | 1076 | 924 | 945 |
| 20 × 4 × 7 | 153 | 165 | 258 | 183 | 218 | 30 × 2 × 7 | 759 | 884 | 1095 | 914 | 1012 |
| 20 × 4 × 8 | 149 | 179 | 235 | 184 | 213 | 30 × 2 × 8 | 784 | 939 | 1142 | 889 | 959 |
| 20 × 4 × 9 | 631 | 677 | 1116 | 691 | 732 | 30 × 2 × 9 | 2303 | 2869 | 3206 | 2901 | 3090 |
| 20 × 4 × 10 | 629 | 729 | 1096 | 681 | 728 | 30 × 2 × 10 | 2544 | 2937 | 3450 | 2932 | 2994 |
| 20 × 6 × 1 | 210 | 223 | 314 | 264 | 260 | 30 × 4 × 1 | 405 | 459 | 702 | 543 | 581 |
| 20 × 6 × 2 | 203 | 225 | 267 | 298 | 229 | 30 × 4 × 2 | 389 | 408 | 651 | 443 | 461 |
| 20 × 6 × 3 | 180 | 188 | 286 | 316 | 198 | 30 × 4 × 3 | 357 | 376 | 449 | 419 | 423 |
| 20 × 6 × 4 | 59 | 71 | 133 | 71 | 84 | 30 × 4 × 4 | 382 | 413 | 604 | 547 | 426 |
| 20 × 6 × 5 | 79 | 94 | 190 | 102 | 144 | 30 × 4 × 5 | 156 | 176 | 539 | 190 | 314 |
| 20 × 6 × 6 | 59 | 62 | 155 | 65 | 121 | 30 × 4 × 6 | 130 | 150 | 305 | 156 | 286 |
| 20 × 6 × 7 | 107 | 114 | 231 | 140 | 163 | 30 × 4 × 7 | 219 | 221 | 556 | 254 | 346 |
| 20 × 6 × 8 | 84 | 92 | 183 | 106 | 148 | 30 × 4 × 8 | 179 | 209 | 399 | 204 | 344 |
| 20 × 6 × 9 | 445 | 479 | 696 | 534 | 521 | 30 × 4 × 9 | 1140 | 1219 | 1599 | 1233 | 1360 |
| 20 × 6 × 10 | 435 | 473 | 634 | 497 | 522 | 30 × 4 × 10 | 1080 | 1138 | 1436 | 1119 | 1306 |
| 25 × 2 × 1 | 770 | 934 | 1120 | 919 | 914 | 30 × 6 × 1 | 314 | 331 | 560 | 455 | 406 |
| 25 × 2 × 2 | 772 | 798 | 895 | 802 | 825 | 30 × 6 × 2 | 268 | 290 | 460 | 316 | 318 |
| 25 × 2 × 3 | 1520 | 1752 | 2222 | 2215 | 1953 | 30 × 6 × 3 | 226 | 243 | 374 | 568 | 271 |
| 25 × 2 × 4 | 281 | 312 | 369 | 299 | 332 | 30 × 6 × 4 | 277 | 302 | 455 | 857 | 336 |
| 25 × 2 × 5 | 632 | 748 | 1069 | 728 | 851 | 30 × 6 × 5 | 75 | 81 | 245 | 105 | 173 |
| 25 × 2 × 6 | 474 | 530 | 689 | 524 | 596 | 30 × 6 × 6 | 82 | 101 | 282 | 129 | 219 |
| 25 × 2 × 7 | 713 | 919 | 1100 | 765 | 970 | 30 × 6 × 7 | 114 | 123 | 313 | 142 | 201 |
| 25 × 2 × 8 | 559 | 611 | 698 | 594 | 664 | 30 × 6 × 8 | 127 | 136 | 309 | 172 | 253 |
| 25 × 2 × 9 | 2150 | 2395 | 3010 | 2269 | 2721 | 30 × 6 × 9 | 581 | 632 | 1041 | 642 | 700 |
| 25 × 2 × 10 | 2018 | 2222 | 2739 | 2191 | 2234 | 30 × 6 × 10 | 608 | 642 | 1279 | 723 | 812 |
| 25 × 4 × 1 | 339 | 356 | 608 | 517 | 497 | 50 × 10 × 1 | 299 | 306 | 502 | 371 | 381 |
| 25 × 4 × 2 | 422 | 447 | 709 | 648 | 483 | 50 × 10 × 2 | 277 | 303 | 434 | 394 | 337 |
| 25 × 4 × 3 | 309 | 350 | 478 | 403 | 392 | 50 × 10 × 3 | 326 | 335 | 613 | 932 | 395 |
| 25 × 4 × 4 | 171 | 174 | 215 | 189 | 193 | 50 × 10 × 4 | 262 | 263 | 608 | 432 | 364 |
| 25 × 4 × 5 | 133 | 145 | 297 | 141 | 257 | 50 × 10 × 5 | 70 | 72 | 433 | 120 | 275 |
| 25 × 4 × 6 | 160 | 190 | 367 | 182 | 278 | 50 × 10 × 6 | 81 | 103 | 339 | 131 | 257 |
| 25 × 4 × 7 | 175 | 182 | 359 | 190 | 288 | 50 × 10 × 7 | 110 | 110 | 461 | 173 | 295 |
| 25 × 4 × 8 | 199 | 245 | 471 | 224 | 324 | 50 × 10 × 8 | 133 | 164 | 360 | 174 | 281 |
| 25 × 4 × 9 | 759 | 776 | 1219 | 791 | 1102 | 50 × 10 × 9 | 581 | 634 | 1375 | 1008 | 1057 |
| 25 × 4 × 10 | 826 | 995 | 1322 | 995 | 1220 | 50 × 10 × 10 | 645 | 704 | 1395 | 775 | 837 |
| 25 × 6 × 1 | 231 | 248 | 346 | 310 | 279 | 50 × 20 × 1 | 185 | 195 | 379 | 399 | 256 |
| 25 × 6 × 2 | 212 | 233 | 323 | 256 | 245 | 50 × 20 × 2 | 148 | 190 | 290 | 278 | 198 |
| 25 × 6 × 3 | 159 | 171 | 269 | 368 | 177 | 50 × 20 × 3 | 119 | 119 | 365 | 809 | 163 |
| 25 × 6 × 4 | 91 | 106 | 183 | 142 | 133 | 50 × 20 × 4 | 102 | 102 | 284 | 376 | 161 |
| 25 × 6 × 5 | 76 | 79 | 230 | 109 | 163 | 50 × 20 × 5 | 29 | 34 | 212 | 38 | 158 |
| 25 × 6 × 6 | 76 | 76 | 216 | 85 | 176 | 50 × 20 × 6 | 24 | 35 | 213 | 38 | 140 |
| 25 × 6 × 7 | 104 | 113 | 264 | 145 | 201 | 50 × 20 × 7 | 50 | 57 | 236 | 93 | 180 |
| 25 × 6 × 8 | 107 | 124 | 220 | 117 | 203 | 50 × 20 × 8 | 48 | 59 | 223 | 71 | 157 |
| 25 × 6 × 9 | 541 | 557 | 750 | 605 | 635 | 50 × 20 × 9 | 323 | 332 | 717 | 519 | 477 |
| 25 × 6 × 10 | 551 | 567 | 791 | 575 | 638 | 50 × 20 × 10 | 310 | 326 | 741 | 434 | 445 |
| Instance | ABC-AC | MPH | HPSOGA | TAFOA | ABC | Instance | ABC-AC | MPH | HPSOGA | TAFOA | ABC |
|---|---|---|---|---|---|---|---|---|---|---|---|
| 50 × 30 × 1 | 116 | 136 | 226 | 196 | 159 | 250 × 20 × 1 | 944 | 767 | 1649 | 1317 | 1153 |
| 50 × 30 × 2 | 109 | 125 | 244 | 199 | 150 | 250 × 20 × 2 | 836 | 833 | 1713 | 1315 | 1124 |
| 50 × 30 × 3 | 88 | 91 | 231 | 232 | 122 | 250 × 20 × 3 | 884 | 851 | 2229 | 6939 | 1570 |
| 50 × 30 × 4 | 92 | 100 | 260 | 378 | 114 | 250 × 20 × 4 | 842 | 1047 | 2608 | 2765 | 1622 |
| 50 × 30 × 5 | 16 | 16 | 173 | 16 | 112 | 250 × 20 × 5 | 76 | 90 | 1359 | 109 | 962 |
| 50 × 30 × 6 | 16 | 17 | 166 | 27 | 113 | 250 × 20 × 6 | 86 | 107 | 1316 | 109 | 903 |
| 50 × 30 × 7 | 38 | 38 | 198 | 50 | 129 | 250 × 20 × 7 | 201 | 212 | 1611 | 272 | 1083 |
| 50 × 30 × 8 | 39 | 43 | 187 | 55 | 127 | 250 × 20 × 8 | 209 | 218 | 1534 | 239 | 988 |
| 50 × 30 × 9 | 214 | 249 | 588 | 412 | 341 | 250 × 20 × 9 | 1658 | 1585 | 4817 | 2387 | 2975 |
| 50 × 30 × 10 | 211 | 238 | 568 | 412 | 334 | 250 × 20 × 10 | 1668 | 1658 | 4816 | 2119 | 2965 |
| 150 × 10 × 1 | 1051 | 990 | 1685 | 1107 | 1291 | 250 × 30 × 1 | 677 | 512 | 1286 | 1055 | 821 |
| 150 × 10 × 2 | 874 | 917 | 1704 | 1287 | 1180 | 250 × 30 × 2 | 590 | 567 | 1251 | 905 | 820 |
| 150 × 10 × 3 | 1133 | 1134 | 1969 | 3785 | 1487 | 250 × 30 × 3 | 391 | 617 | 1572 | 935 | 1018 |
| 150 × 10 × 4 | 803 | 823 | 1836 | 1636 | 1633 | 250 × 30 × 4 | 656 | 601 | 1833 | 3219 | 1201 |
| 150 × 10 × 5 | 151 | 172 | 1277 | 247 | 1023 | 250 × 30 × 5 | 52 | 54 | 1090 | 67 | 703 |
| 150 × 10 × 6 | 175 | 193 | 1133 | 226 | 897 | 250 × 30 × 6 | 51 | 59 | 1057 | 78 | 661 |
| 150 × 10 × 7 | 281 | 302 | 1470 | 405 | 1094 | 250 × 30 × 7 | 128 | 140 | 1229 | 171 | 724 |
| 150 × 10 × 8 | 307 | 339 | 1350 | 442 | 1006 | 250 × 30 × 8 | 134 | 151 | 1218 | 198 | 710 |
| 150 × 10 × 9 | 2063 | 2142 | 4258 | 2972 | 3159 | 250 × 30 × 9 | 1176 | 1174 | 3794 | 1390 | 2218 |
| 150 × 10 × 10 | 2099 | 2234 | 4193 | 2996 | 3029 | 250 × 30 × 10 | 1172 | 1218 | 3688 | 1600 | 2137 |
| 150 × 20 × 1 | 523 | 449 | 1010 | 670 | 716 | 350 × 10 × 1 | 2362 | 2370 | 4096 | 2762 | 2998 |
| 150 × 20 × 2 | 432 | 441 | 1118 | 759 | 691 | 350 × 10 × 2 | 2404 | 2302 | 3882 | 2830 | 2808 |
| 150 × 20 × 3 | 497 | 466 | 1385 | 2595 | 926 | 350 × 10 × 3 | 2238 | 2506 | 4255 | 4872 | 4437 |
| 150 × 20 × 4 | 536 | 537 | 1191 | 2718 | 793 | 350 × 10 × 4 | 1786 | 1776 | 3913 | 5611 | 3539 |
| 150 × 20 × 5 | 62 | 81 | 789 | 95 | 634 | 350 × 10 × 5 | 382 | 397 | 3341 | 513 | 2457 |
| 150 × 20 × 6 | 54 | 60 | 780 | 71 | 570 | 350 × 10 × 6 | 365 | 392 | 3290 | 389 | 2345 |
| 150 × 20 × 7 | 133 | 146 | 869 | 183 | 647 | 350 × 10 × 7 | 723 | 769 | 3518 | 874 | 2603 |
| 150 × 20 × 8 | 125 | 139 | 827 | 147 | 602 | 350 × 10 × 8 | 725 | 794 | 3343 | 803 | 2407 |
| 150 × 20 × 9 | 1010 | 1014 | 3040 | 1278 | 1756 | 350 × 10 × 9 | 4852 | 4887 | 10646 | 6081 | 7602 |
| 150 × 20 × 10 | 1040 | 1101 | 2838 | 1202 | 1639 | 350 × 10 × 10 | 5105 | 5266 | 11632 | 5786 | 7454 |
| 150 × 30 × 1 | 294 | 318 | 752 | 598 | 471 | 350 × 20 × 1 | 1226 | 1127 | 2474 | 1834 | 1608 |
| 150 × 30 × 2 | 287 | 285 | 657 | 555 | 395 | 350 × 20 × 2 | 1074 | 1083 | 2361 | 1746 | 1505 |
| 150 × 30 × 3 | 251 | 300 | 844 | 1363 | 561 | 350 × 20 × 3 | 736 | 1255 | 2260 | 1702 | 1703 |
| 150 × 30 × 4 | 239 | 289 | 993 | 1101 | 656 | 350 × 20 × 4 | 1182 | 1416 | 3686 | 4108 | 2351 |
| 150 × 30 × 5 | 32 | 32 | 608 | 47 | 403 | 350 × 20 × 5 | 113 | 128 | 1937 | 133 | 1260 |
| 150 × 30 × 6 | 32 | 38 | 595 | 43 | 342 | 350 × 20 × 6 | 106 | 131 | 1861 | 136 | 1228 |
| 150 × 30 × 7 | 80 | 95 | 645 | 123 | 481 | 350 × 20 × 7 | 273 | 283 | 2247 | 302 | 1438 |
| 150 × 30 × 8 | 81 | 97 | 658 | 110 | 411 | 350 × 20 × 8 | 272 | 298 | 2187 | 340 | 1396 |
| 150 × 30 × 9 | 609 | 625 | 2204 | 1128 | 1334 | 350 × 20 × 9 | 2324 | 2340 | 7364 | 3088 | 4097 |
| 150 × 30 × 10 | 612 | 627 | 2117 | 1194 | 1263 | 350 × 20 × 10 | 2368 | 2427 | 6953 | 3269 | 4040 |
| 250 × 10 × 1 | 1563 | 1568 | 2621 | 1720 | 2040 | 350 × 30 × 1 | 847 | 774 | 1830 | 1421 | 1185 |
| 250 × 10 × 2 | 1536 | 1610 | 2792 | 1904 | 1944 | 350 × 30 × 2 | 806 | 754 | 1808 | 1692 | 1112 |
| 250 × 10 × 3 | 1635 | 1750 | 3381 | 3991 | 2794 | 350 × 30 × 3 | 709 | 951 | 2218 | 2304 | 1599 |
| 250 × 10 × 4 | 1542 | 1547 | 2665 | 4133 | 2073 | 350 × 30 × 4 | 531 | 700 | 2357 | 1046 | 1552 |
| 250 × 10 × 5 | 268 | 287 | 2186 | 305 | 1711 | 350 × 30 × 5 | 66 | 68 | 1530 | 73 | 973 |
| 250 × 10 × 6 | 301 | 338 | 2142 | 359 | 1579 | 350 × 30 × 6 | 55 | 63 | 1475 | 76 | 955 |
| 250 × 10 × 7 | 530 | 546 | 2501 | 589 | 1861 | 350 × 30 × 7 | 182 | 189 | 1746 | 218 | 1058 |
| 250 × 10 × 8 | 577 | 607 | 2289 | 637 | 1792 | 350 × 30 × 8 | 172 | 193 | 1642 | 220 | 1040 |
| 250 × 10 × 9 | 3401 | 3502 | 7838 | 3951 | 5341 | 350 × 30 × 9 | 1604 | 1500 | 5237 | 2143 | 3028 |
| 250 × 10 × 10 | 3577 | 3897 | 7558 | 3995 | 5329 | 350 × 30 × 10 | 1521 | 1589 | 5762 | 2394 | 2994 |
References
- Edis, E.B.; Oguz, C.; Ozkarahan, I. Parallel machine scheduling with additional resources: Notation, classification, models and solution methods. Eur. J. Oper. Res. 2013, 230, 449–463. [Google Scholar] [CrossRef]
- Ventura, J.A.; Kim, D. Parallel machine scheduling with earliness-tardiness penalties and additional resource constraints. Comput. Oper. Res. 2003, 30, 1945–1958. [Google Scholar] [CrossRef]
- Zheng, X.L.; Wang, L. A two-stage adaptive fruit fly optimization algorithm for unrelated parallel machine scheduling problem with additional resource constraints. Expert Syst. Appl. 2016, 65, 28–39. [Google Scholar] [CrossRef]
- Fanjul-Peyro, L.; Perea, F.; Ruiz, R. Models and matheuristics for the unrelated parallel machine scheduling problem with additional resources. Eur. J. Oper. Res. 2017, 260, 482–493. [Google Scholar] [CrossRef]
- Fleszar, K.; Hindi, K.S. Algorithms for the unrelated parallel machine scheduling problem with a resource constraint. Eur. J. Oper. Res. 2018, 271, 839–848. [Google Scholar] [CrossRef]
- Zheng, X.L.; Wang, L. A collaborative multiobjective fruit fly optimization algorithm for the resource constrained unrelated parallel machine green scheduling problem. IEEE Trans. Syst. Man Cybern. Syst. 2018, 48, 790–800. [Google Scholar] [CrossRef]
- Villa, F.; Vallada, E.; Fanjul-Peyro, L. Heuristic algorithms for the unrelated parallel machine scheduling problem with one scarce additional resource. Expert Syst. Appl. 2018, 93, 28–38. [Google Scholar] [CrossRef] [Green Version]
- Vallada, E.; Villa, F.; Fanjul-Peyro, L. Enriched metaheuristics for the resource unrelated parallel machine scheduling problem. Comput. Oper. Res. 2019, 111, 415–424. [Google Scholar] [CrossRef]
- Chen, J.F. Unrelated parallel machine scheduling with second resource constraints. Int. J. Adv. Manuf. Technol. 2005, 26, 285–292. [Google Scholar] [CrossRef]
- Bitar, A.; Dauzère-Pérès, S.; Yugma, C.; Roussel, R. A memetic algorithm to solve an unrelated parallel machine scheduling problem with auxiliary resources in semiconductor manufacturing. J. Sched. 2016, 19, 367–376. [Google Scholar] [CrossRef] [Green Version]
- Afzalirad, M.; Shafipour, M. Design of an efficient genetic algorithm for resource-constrained unrelated parallel machine scheduling with machine eligibility restrictions. J. Intell. Manuf. 2018, 29, 423–437. [Google Scholar] [CrossRef]
- Al-Harkan, I.M.; Qamhan, A.A. Optimize unrelated parallel machine scheduling problems with multiple limited additional resources, sequence-dependent setup times and release date constraints. IEEE Access 2019, 7, 171533–171547. [Google Scholar] [CrossRef]
- Fanjul-Peyro, L. Models and an exact method for the unrelated parallel machine scheduling problem with setups and resources. Expert Syst. Appl. 2020, 5, 100022. [Google Scholar] [CrossRef]
- Yepes-Borrero, J.C.; Villa, F.; Perea, F.; Caballero-Villalobos, J.P. GRASP algorithm for the unrelated parallel machine scheduling problem with setup times and additional resources. Expert Syst. Appl. 2020, 141, 112959. [Google Scholar] [CrossRef]
- Pinar, Y.; Seyda, T.Y. Constraint programming approach for multi-resource-constrained unrelated parallel machine scheduling problem with sequence-dependent setup times. Int. J. Prod. Res. 2021, 98, 40–52. [Google Scholar]
- Al-Harkan, I.M.; Qamhan, A.A.; Badwelan, A.; Alsamhan, A.; Hidri, L. Modified harmony search algorithm for resource-constrained parallel machine scheduling problem with release dates and sequence-dependent setup times. Processes 2021, 9, 654. [Google Scholar] [CrossRef]
- Yang, D.L.; Cheng, T.C.E.; Yang, S.J.; Hsu, C.J. Unrelated parallel-machine scheduling with aging effects and multi-maintenance activities. Comput. Oper. Res. 2012, 39, 1458–1464. [Google Scholar] [CrossRef]
- Tavana, M.; Zarook, Y.; Santos-Arteaga, F.J. An integrated three-stage maintenance scheduling model for unrelated parallel machines with aging effect and multi-maintenance activities. Comput. Ind. Eng. 2015, 83, 226–236. [Google Scholar] [CrossRef]
- Wang, S.J.; Liu, M. Multi-objective optimization of parallel machine scheduling integrated with multi-resources preventive maintenance planning. J. Manuf. Syst. 2015, 37, 182–192. [Google Scholar] [CrossRef]
- Gara-Ali, A.; Finke, G.; Espinouse, M.L. Parallel-machine scheduling with maintenance: Praising the assignment problem. Eur. J. Oper. Res. 2016, 252, 90–97. [Google Scholar] [CrossRef]
- Avalos-Rosales, O.; Angel-Bello, F.; Álvarez, A.; Cardona-Valds, Y. Including preventive maintenance activities in an unrelated parallel machine environment with dependent setup times. Comput. Ind. Eng. 2018, 123, 364–377. [Google Scholar] [CrossRef]
- Lei, D.M.; Liu, M.Y. An artificial bee colony with division for distributed unrelated parallel machine scheduling with preventive maintenance. Comput. Ind. Eng. 2020, 141, 106320. [Google Scholar] [CrossRef]
- Pang, J.H.; Tsai, Y.C.; Chou, F.D. Feature-extraction-based iterated algorithm to solve the unrelated parallel machine problem with periodic maintenance activities. IEEE Access 2021, 9, 139089–139108. [Google Scholar] [CrossRef]
- Lei, D.M.; Yi, T. A novel shuffled frog-leaping algorithm for unrelated parallel machine scheduling with deteriorating maintenance and setup Time. Symmetry 2021, 13, 1574. [Google Scholar] [CrossRef]
- Doush, I.A.; Al-betar, M.A.; Mohammed, A.A.; Santos, E.; Hammouri, A.I. Flow shop scheduling with blocking using modified harmony search algorithm with neighboring heuristics methods. Appl. Soft Comput. 2019, 85, 105861. [Google Scholar]
- Xue, Y.; Wang, T.; Pang, W.; Liu, A.X. Self-adaptive parameter and strategy based particle swarm optimization for large-scale feature selection problems with multiple classifier. Appl. Soft Comput. 2020, 88, 106031. [Google Scholar] [CrossRef]
- Kizieiewicz, B.; Salabun, W. A new approach to identifying a multi-criteria decision model based on stochastic optimization techniques. Symmetry 2020, 12, 1551. [Google Scholar] [CrossRef]
- Karaboga, D. An Idea Based on Honeybee Swarm for Numerical Optimization; Technical Report TR06; Erciyes University, Engineering Faculty, Computer Engineering Department: Kayseri, Turkey, 2005. [Google Scholar]
- Lei, D.M.; Cai, J.C. Multi-population meta-heuristics for production scheduling: A survey. Swarm Evol. Comput. 2020, 58, 100739. [Google Scholar] [CrossRef]
- Bolaji, A.L.; Khader, A.T.; Al-betar, M.A.; Mohammed, A.A. Artificial bee colony algorithm, its variants and applications: A survey. J. Theor. Appl. Inf. Technol. 2013, 47, 434–459. [Google Scholar]
- Li, J.Q.; Pan, Q.K.; Gao, K.Z. Pareto-based discrete artificial bee colony algorithm for multi-objective flexible job shop scheduling problem. Int. J. Adv. Manuf. Technol. 2011, 55, 1159–1169. [Google Scholar] [CrossRef]
- Pan, Q.K.; Tasgetiren, M.F.; Suganthan, P.N.; Chua, T.J. A discrete artificial bee colony algorithm for the lot-streaming flow shop scheduling problem. Inf. Sci. 2011, 181, 2455–2468. [Google Scholar] [CrossRef]
- Wang, L.; Zhou, G.; Xu, Y.; Liu, M. An enhanced Pareto-based artificial bee colony algorithm for the multi-objective flexible job-shop scheduling. Int. J. Adv. Manuf. Technol. 2011, 60, 1111–1123. [Google Scholar] [CrossRef]
- Ying, K.C.; Lin, S.W. Unrelated parallel machine scheduling with sequence- and machine-dependent setup times and due date constraints. Int. J. Innov. Comput. Inf. Control 2012, 8, 3279–3297. [Google Scholar]
- Lin, S.W.; Ying, K.C. ABC-based manufacturing scheduling for unrelated parallel machines with machine-dependent and job sequence-dependent setup times. Comput. Oper. Res. 2014, 51, 172–181. [Google Scholar] [CrossRef]
- Han, Y.Y.; Gong, D.W.; Sun, X.Y. A discrete artificial bee colony algorithm incorporating differential evolution for the flow-shop scheduling problem with blocking. Eng. Optim. 2015, 47, 927–946. [Google Scholar] [CrossRef]
- Caniyilmaz, E.; Benli, B.; Ilkay, M.S. An artificial bee colony algorithm approach for unrelated parallel machine scheduling with processing set restrictions, job sequence-dependent setup times, and due date. Int. J. Adv. Manuf. Technol. 2015, 77, 2105–2115. [Google Scholar] [CrossRef]
- Asadzadeh, L. A parallel artificial bee colony algorithm for the job shop scheduling problem with a dynamic migration strategy. Comput. Ind. Eng. 2016, 102, 359–367. [Google Scholar] [CrossRef]
- Zhang, R.; Chang, P.C.; Song, S.J.; Wu, C. A multi-objective artificial bee colony algorithm for parallel batch-processing machine scheduling in fabric dyeing processes. Knowl.-Based Syst. 2017, 116, 114–129. [Google Scholar] [CrossRef]
- Gong, D.W.; Han, Y.Y.; Sun, J.Y. A novel hybrid multi-objective artificial bee colony algorithm for blocking lot-streaming flow shop scheduling problems. Knowl.-Based Syst. 2018, 148, 115–130. [Google Scholar] [CrossRef]
- Lu, S.J.; Liu, X.B.; Pei, J.; Thai, M.T.; Pardalos, P.M. A hybrid ABC-TS algorithm for the unrelated parallel-batching machines scheduling problem with deteriorating jobs and maintenance activity. Appl. Soft Comput. 2018, 66, 168–182. [Google Scholar] [CrossRef]
- Lei, D.M.; Yuan, Y.; Cai, J.C. An improved artificial bee colony for multi-objective distributed unrelated parallel machine scheduling. Int. J. Prod. Res. 2021, 59, 5259–5271. [Google Scholar] [CrossRef]
- Wang, J.; Lei, D.M.; Cai, J.C. An adaptive artificial bee colony with reinforcement learning for distributed three-stage assembly scheduling with maintenance. Appl. Soft Comput. 2022, 117, 108371. [Google Scholar] [CrossRef]
- Chu, X.H.; Cai, F.L.; Gao, D.; Li, L.; Cui, J.S. An artificial bee colony algorithm with adaptive heterogeneous competition for global optimization problems. Appl. Soft Comput. 2020, 93, 106391. [Google Scholar] [CrossRef]
- Li, J.Q.; Han, Y.Y. A hybrid multi-objective artificial bee colony algorithm for flexible task scheduling problems in cloud computing system. Clust. Comput. 2020, 23, 2483–2499. [Google Scholar] [CrossRef]
- Meng, T.; Pan, Q.K. A distributed heterogeneous permutation flowshop scheduling problem with lot-streaming and carryover sequence-dependent setup time. Swarm Evol. Comput. 2021, 60, 100804. [Google Scholar] [CrossRef]
- Salehi Mir, M.S.; Rezaeian, J. A robust hybrid approach based on particle swarm optimization and genetic algorithm to minimize the total machine load on unrelated parallel machines. Appl. Soft Comput. 2016, 41, 488–504. [Google Scholar] [CrossRef]
- Taguchi, G. Introduction to Quality Engineering; Asian Productivity Organization: Tokyo, Japan, 1986. [Google Scholar]



| Factor Level | |||
|---|---|---|---|
| Parameters | 1 | 2 | 3 |
| R | 8 | 10 | 12 |
| Q | 3 | 4 | 5 |
| T | 8 | 10 | 12 |
| 0.2 | 0.3 | 0.4 | |
| N | 90 | 100 | 110 |
| 8 | 10 | 12 | |
| Instance | ABC-AC | MPH | HPSOGA | TAFOA | ABC | Instance | ABC-AC | MPH | HPSOGA | TAFOA | ABC |
|---|---|---|---|---|---|---|---|---|---|---|---|
| 8 × 2 × 1 | 326.0 | 326.0 | 337.3 | 326.0 | 326.0 | 12 × 6 × 1 | 145.0 | 155.5 | 176.8 | 163.3 | 156.2 |
| 8 × 2 × 2 | 269.0 | 269.0 | 270.6 | 311.6 | 269.0 | 12 × 6 × 2 | 146.5 | 156.0 | 167.2 | 162.0 | 155.4 |
| 8 × 2 × 3 | 197.0 | 204.6 | 199.2 | 197.0 | 197.2 | 12 × 6 × 3 | 62.0 | 62.0 | 71.5 | 65.3 | 72.0 |
| 8 × 2 × 4 | 241.0 | 248.7 | 265.3 | 256.1 | 245.7 | 12 × 6 × 4 | 63.0 | 64.8 | 74.3 | 75.1 | 67.6 |
| 8 × 2 × 5 | 194.0 | 194.0 | 208.0 | 194.0 | 194.0 | 12 × 6 × 5 | 49.0 | 49.5 | 78.8 | 82.0 | 59.4 |
| 8 × 2 × 6 | 139.0 | 139.0 | 141.5 | 139.0 | 139.0 | 12 × 6 × 6 | 57.0 | 57.7 | 81.4 | 64.0 | 62.4 |
| 8 × 2 × 7 | 204.0 | 204.4 | 233.4 | 224.0 | 204.0 | 12 × 6 × 7 | 57.0 | 63.4 | 101.4 | 111.0 | 73.1 |
| 8 × 2 × 8 | 171.0 | 171.0 | 179.7 | 171.0 | 171.0 | 12 × 6 × 8 | 63.3 | 70.6 | 90.4 | 77.0 | 78.4 |
| 8 × 2 × 9 | 544.0 | 544.0 | 550.3 | 544.0 | 544.0 | 12 × 6 × 9 | 250.0 | 286.7 | 357.8 | 480.0 | 273.4 |
| 8 × 2 × 10 | 577.0 | 577.0 | 596.8 | 631.2 | 590.8 | 12 × 6 × 10 | 263.0 | 297.0 | 372.4 | 318.3 | 281.6 |
| 8 × 4 × 1 | 124.0 | 131.0 | 136.1 | 137.0 | 127.1 | 16 × 2 × 1 | 565.4 | 645.0 | 640.8 | 653.4 | 609.5 |
| 8 × 4 × 2 | 119.0 | 120.2 | 131.4 | 126.0 | 122.1 | 16 × 2 × 2 | 600.0 | 655.0 | 675.6 | 688.4 | 635.7 |
| 8 × 4 × 3 | 174.0 | 181.7 | 175.6 | 184.7 | 174.3 | 16 × 2 × 3 | 460.0 | 529.9 | 572.9 | 528.0 | 534.5 |
| 8 × 4 × 4 | 123.0 | 124.0 | 139.3 | 157.4 | 124.4 | 16 × 2 × 4 | 642.0 | 803.6 | 876.6 | 791.3 | 768.9 |
| 8 × 4 × 5 | 80.0 | 89.7 | 84.1 | 95.9 | 80.0 | 16 × 2 × 5 | 332.0 | 348.0 | 411.8 | 341.0 | 343.8 |
| 8 × 4 × 6 | 66.0 | 76.6 | 85.2 | 78.0 | 72.4 | 16 × 2 × 6 | 264.0 | 284.0 | 340.8 | 284.6 | 284.6 |
| 8 × 4 × 7 | 91.0 | 97.6 | 103.5 | 97.3 | 91.6 | 16 × 2 × 7 | 363.0 | 391.9 | 436.1 | 379.5 | 385.3 |
| 8 × 4 × 8 | 78.0 | 88.7 | 95.7 | 89.0 | 87.0 | 16 × 2 × 8 | 358.0 | 382.0 | 444.2 | 385.7 | 394.6 |
| 8 × 4 × 9 | 279.0 | 306.1 | 304.3 | 312.9 | 281.5 | 16 × 2 × 9 | 1165.0 | 1392.0 | 1459.5 | 1314.1 | 1345.9 |
| 8 × 4 × 10 | 275.0 | 305.1 | 348.6 | 342.0 | 286.8 | 16 × 2 × 10 | 1219.0 | 1409.8 | 1643.9 | 1680.5 | 1403.5 |
| 8 × 6 × 1 | 103.0 | 105.0 | 105.5 | 107.5 | 103.0 | 16 × 4 × 1 | 280.6 | 311.0 | 409.9 | 340.0 | 336.2 |
| 8 × 6 × 2 | 106.0 | 106.0 | 108.8 | 111.2 | 106.0 | 16 × 4 × 2 | 213.0 | 225.3 | 247.4 | 237.9 | 232.8 |
| 8 × 6 × 3 | 46.0 | 46.0 | 50.9 | 48.4 | 75.8 | 16 × 4 × 3 | 181.0 | 189.2 | 212.9 | 352.5 | 196.0 |
| 8 × 6 × 4 | 71.0 | 73.3 | 80.7 | 77.8 | 73.3 | 16 × 4 × 4 | 140.0 | 153.9 | 159.4 | 150.2 | 158.2 |
| 8 × 6 × 5 | 36.0 | 36.0 | 51.9 | 56.0 | 37.1 | 16 × 4 × 5 | 80.0 | 83.7 | 127.0 | 114.0 | 104.7 |
| 8 × 6 × 6 | 58.0 | 58.0 | 58.9 | 58.0 | 58.0 | 16 × 4 × 6 | 90.0 | 101.8 | 137.0 | 102.0 | 129.8 |
| 8 × 6 × 7 | 42.0 | 42.0 | 59.3 | 68.0 | 44.8 | 16 × 4 × 7 | 112.0 | 113.0 | 144.3 | 158.0 | 132.6 |
| 8 × 6 × 8 | 62.0 | 62.0 | 64.0 | 62.0 | 62.0 | 16 × 4 × 8 | 121.0 | 128.0 | 181.4 | 121.0 | 159.3 |
| 8 × 6 × 9 | 214.0 | 219.0 | 227.8 | 254.0 | 214.5 | 16 × 4 × 9 | 488.0 | 504.7 | 560.0 | 711.0 | 535.0 |
| 8 × 6 × 10 | 218.0 | 225.3 | 242.1 | 225.5 | 222.2 | 16 × 4 × 10 | 508.0 | 551.5 | 602.6 | 543.3 | 569.2 |
| 12 × 2 × 1 | 326.0 | 326.0 | 345.1 | 326.0 | 326.2 | 16 × 6 × 1 | 143.8 | 153.2 | 183.0 | 165.2 | 163.1 |
| 12 × 2 × 2 | 514.6 | 639.9 | 666.6 | 633.6 | 595.5 | 16 × 6 × 2 | 150.9 | 159.0 | 178.6 | 219.0 | 165.3 |
| 12 × 2 × 3 | 355.3 | 400.7 | 429.5 | 393.4 | 385.1 | 16 × 6 × 3 | 123.0 | 126.0 | 153.5 | 143.5 | 137.4 |
| 12 × 2 × 4 | 292.0 | 332.0 | 347.4 | 319.8 | 317.4 | 16 × 6 × 4 | 115.0 | 124.0 | 137.6 | 277.7 | 122.3 |
| 12 × 2 × 5 | 171.0 | 173.4 | 178.0 | 172.0 | 173.1 | 16 × 6 × 5 | 67.0 | 74.5 | 118.5 | 75.7 | 95.8 |
| 12 × 2 × 6 | 261.0 | 275.2 | 278.7 | 261.0 | 266.8 | 16 × 6 × 6 | 62.0 | 69.7 | 110.4 | 75.0 | 94.8 |
| 12 × 2 × 7 | 205.0 | 205.0 | 206.3 | 205.0 | 205.2 | 16 × 6 × 7 | 91.4 | 91.6 | 135.3 | 110.0 | 117.8 |
| 12 × 2 × 8 | 296.0 | 317.7 | 329.3 | 300.0 | 307.6 | 16 × 6 × 8 | 85.0 | 92.5 | 129.4 | 95.0 | 112.6 |
| 12 × 2 × 9 | 774.0 | 774.0 | 1024.6 | 774.0 | 794.3 | 16 × 6 × 9 | 356.0 | 379.4 | 426.6 | 368.5 | 387.2 |
| 12 × 2 × 10 | 990.9 | 1076.0 | 1088.1 | 1129.0 | 1053.0 | 16 × 6 × 10 | 360.0 | 381.5 | 454.3 | 380.1 | 398.2 |
| 12 × 4 × 1 | 231.0 | 241.4 | 269.9 | 282.4 | 257.6 | 20 × 2 × 1 | 561.9 | 699.0 | 660.2 | 613.1 | 638.8 |
| 12 × 4 × 2 | 199.2 | 213.8 | 216.0 | 242.0 | 213.4 | 20 × 2 × 2 | 621.9 | 644.7 | 702.6 | 700.1 | 658.6 |
| 12 × 4 × 3 | 214.0 | 245.5 | 280.8 | 281.7 | 255.5 | 20 × 2 × 3 | 724.8 | 855.4 | 1099.1 | 940.7 | 970.7 |
| 12 × 4 × 4 | 229.0 | 242.2 | 249.7 | 260.0 | 234.6 | 20 × 2 × 4 | 592.4 | 708.3 | 809.0 | 731.7 | 722.1 |
| 12 × 4 × 5 | 93.0 | 94.4 | 130.9 | 94.0 | 102.3 | 20 × 2 × 5 | 409.9 | 482.0 | 524.3 | 435.4 | 484.3 |
| 12 × 4 × 6 | 70.0 | 75.5 | 105.0 | 90.9 | 99.9 | 20 × 2 × 6 | 338.0 | 422.0 | 456.7 | 424.0 | 398.8 |
| 12 × 4 × 7 | 110.8 | 111.0 | 134.2 | 113.3 | 130.4 | 20 × 2 × 7 | 502.2 | 568.0 | 603.5 | 516.6 | 550.5 |
| 12 × 4 × 8 | 98.0 | 105.2 | 128.9 | 110.0 | 118.1 | 20 × 2 × 8 | 397.0 | 549.0 | 582.9 | 533.0 | 550.5 |
| 12 × 4 × 9 | 403.0 | 420.9 | 472.5 | 437.1 | 429.0 | 20 × 2 × 9 | 1468.0 | 1735.0 | 1975.9 | 1628.5 | 1731.7 |
| 12 × 4 × 10 | 388.0 | 435.0 | 473.0 | 434.1 | 428.7 | 20 × 2 × 10 | 1507.0 | 1600.8 | 1959.1 | 1676.8 | 1841.6 |
| Instance | ABC-AC | MPH | HPSOGA | TAFOA | ABC | Instance | ABC-AC | MPH | HPSOGA | TAFOA | ABC |
|---|---|---|---|---|---|---|---|---|---|---|---|
| 20 × 4 × 1 | 353 | 357 | 442 | 424 | 409 | 30 × 2 × 1 | 1292 | 1624 | 1518 | 1617 | 1570 |
| 20 × 4 × 2 | 295 | 305 | 315 | 336 | 311 | 30 × 2 × 2 | 915 | 934 | 967 | 908 | 973 |
| 20 × 4 × 3 | 164 | 168 | 166 | 168 | 169 | 30 × 2 × 3 | 358 | 374 | 372 | 373 | 371 |
| 20 × 4 × 4 | 170 | 169 | 170 | 215 | 177 | 30 × 2 × 4 | 992 | 1133 | 1088 | 1296 | 1120 |
| 20 × 4 × 5 | 113 | 115 | 146 | 117 | 128 | 30 × 2 × 5 | 670 | 789 | 779 | 799 | 802 |
| 20 × 4 × 6 | 111 | 111 | 161 | 143 | 129 | 30 × 2 × 6 | 697 | 790 | 834 | 924 | 801 |
| 20 × 4 × 7 | 153 | 156 | 195 | 161 | 181 | 30 × 2 × 7 | 754 | 884 | 925 | 914 | 904 |
| 20 × 4 × 8 | 149 | 151 | 183 | 184 | 183 | 30 × 2 × 8 | 759 | 871 | 899 | 835 | 895 |
| 20 × 4 × 9 | 628 | 648 | 677 | 640 | 658 | 30 × 2 × 9 | 2303 | 2838 | 2942 | 2789 | 2877 |
| 20 × 4 × 10 | 629 | 715 | 681 | 645 | 683 | 30 × 2 × 10 | 2515 | 2796 | 2934 | 2787 | 2934 |
| 20 × 6 × 1 | 210 | 217 | 243 | 248 | 240 | 30 × 4 × 1 | 405 | 429 | 573 | 524 | 557 |
| 20 × 6 × 2 | 199 | 212 | 231 | 298 | 215 | 30 × 4 × 2 | 378 | 388 | 429 | 427 | 425 |
| 20 × 6 × 3 | 180 | 180 | 190 | 202 | 187 | 30 × 4 × 3 | 356 | 368 | 405 | 382 | 394 |
| 20 × 6 × 4 | 58 | 64 | 71 | 64 | 73 | 30 × 4 × 4 | 381 | 395 | 415 | 458 | 415 |
| 20 × 6 × 5 | 79 | 78 | 141 | 88 | 110 | 30 × 4 × 5 | 156 | 156 | 302 | 190 | 230 |
| 20 × 6 × 6 | 57 | 57 | 121 | 61 | 101 | 30 × 4 × 6 | 130 | 132 | 226 | 135 | 219 |
| 20 × 6 × 7 | 107 | 114 | 151 | 114 | 134 | 30 × 4 × 7 | 218 | 214 | 320 | 254 | 281 |
| 20 × 6 × 8 | 84 | 84 | 134 | 91 | 106 | 30 × 4 × 8 | 179 | 187 | 331 | 192 | 269 |
| 20 × 6 × 9 | 445 | 463 | 536 | 468 | 474 | 30 × 4 × 9 | 1140 | 1200 | 1359 | 1189 | 1262 |
| 20 × 6 × 10 | 435 | 450 | 524 | 449 | 478 | 30 × 4 × 10 | 1080 | 1094 | 1261 | 1117 | 1188 |
| 25 × 2 × 1 | 770 | 910 | 880 | 855 | 869 | 30 × 6 × 1 | 311 | 319 | 387 | 406 | 381 |
| 25 × 2 × 2 | 772 | 788 | 804 | 773 | 797 | 30 × 6 × 2 | 268 | 275 | 333 | 285 | 304 |
| 25 × 2 × 3 | 1499 | 1707 | 1866 | 1929 | 1810 | 30 × 6 × 3 | 224 | 232 | 279 | 528 | 243 |
| 25 × 2 × 4 | 281 | 296 | 315 | 281 | 311 | 30 × 6 × 4 | 266 | 286 | 349 | 816 | 292 |
| 25 × 2 × 5 | 632 | 690 | 803 | 674 | 723 | 30 × 6 × 5 | 75 | 75 | 161 | 105 | 130 |
| 25 × 2 × 6 | 473 | 505 | 547 | 495 | 541 | 30 × 6 × 6 | 82 | 89 | 204 | 129 | 165 |
| 25 × 2 × 7 | 711 | 917 | 793 | 750 | 811 | 30 × 6 × 7 | 114 | 114 | 214 | 142 | 165 |
| 25 × 2 × 8 | 559 | 582 | 620 | 565 | 612 | 30 × 6 × 8 | 124 | 130 | 233 | 172 | 210 |
| 25 × 2 × 9 | 2150 | 2395 | 2336 | 2157 | 2417 | 30 × 6 × 9 | 581 | 591 | 727 | 603 | 668 |
| 25 × 2 × 10 | 1973 | 2107 | 2120 | 2090 | 2100 | 30 × 6 × 10 | 599 | 633 | 785 | 723 | 723 |
| 25 × 4 × 1 | 337 | 344 | 464 | 489 | 423 | 50 × 10 × 1 | 281 | 281 | 382 | 371 | 365 |
| 25 × 4 × 2 | 413 | 436 | 461 | 579 | 452 | 50 × 10 × 2 | 275 | 288 | 354 | 394 | 321 |
| 25 × 4 × 3 | 309 | 315 | 375 | 348 | 357 | 50 × 10 × 3 | 289 | 290 | 440 | 905 | 369 |
| 25 × 4 × 4 | 159 | 167 | 184 | 174 | 184 | 50 × 10 × 4 | 262 | 253 | 349 | 421 | 313 |
| 25 × 4 × 5 | 132 | 132 | 236 | 141 | 199 | 50 × 10 × 5 | 64 | 65 | 291 | 120 | 219 |
| 25 × 4 × 6 | 160 | 178 | 276 | 171 | 230 | 50 × 10 × 6 | 76 | 90 | 253 | 131 | 221 |
| 25 × 4 × 7 | 175 | 175 | 242 | 190 | 224 | 50 × 10 × 7 | 107 | 102 | 334 | 173 | 253 |
| 25 × 4 × 8 | 199 | 234 | 305 | 224 | 303 | 50 × 10 × 8 | 125 | 146 | 321 | 174 | 249 |
| 25 × 4 × 9 | 758 | 763 | 1101 | 759 | 1046 | 50 × 10 × 9 | 573 | 604 | 1056 | 1008 | 782 |
| 25 × 4 × 10 | 815 | 884 | 1187 | 861 | 1180 | 50 × 10 × 10 | 604 | 650 | 1196 | 682 | 750 |
| 25 × 6 × 1 | 231 | 225 | 272 | 302 | 252 | 50 × 20 × 1 | 171 | 190 | 281 | 399 | 239 |
| 25 × 6 × 2 | 210 | 220 | 240 | 256 | 225 | 50 × 20 × 2 | 148 | 155 | 248 | 278 | 183 |
| 25 × 6 × 3 | 154 | 161 | 179 | 356 | 169 | 50 × 20 × 3 | 116 | 106 | 206 | 788 | 141 |
| 25 × 6 × 4 | 91 | 99 | 131 | 132 | 116 | 50 × 20 × 4 | 93 | 92 | 205 | 344 | 138 |
| 25 × 6 × 5 | 76 | 76 | 153 | 92 | 127 | 50 × 20 × 5 | 24 | 29 | 183 | 34 | 140 |
| 25 × 6 × 6 | 72 | 76 | 165 | 78 | 139 | 50 × 20 × 6 | 24 | 24 | 168 | 38 | 121 |
| 25 × 6 × 7 | 104 | 104 | 185 | 116 | 147 | 50 × 20 × 7 | 50 | 49 | 196 | 62 | 155 |
| 25 × 6 × 8 | 107 | 111 | 181 | 117 | 137 | 50 × 20 × 8 | 44 | 48 | 174 | 71 | 140 |
| 25 × 6 × 9 | 541 | 542 | 622 | 555 | 558 | 50 × 20 × 9 | 320 | 324 | 623 | 421 | 426 |
| 25 × 6 × 10 | 550 | 554 | 646 | 567 | 607 | 50 × 20 × 10 | 310 | 319 | 607 | 434 | 422 |
| Instance | ABC-AC | MPH | HPSOGA | TAFOA | ABC | Instance | ABC-AC | MPH | HPSOGA | TAFOA | ABC |
|---|---|---|---|---|---|---|---|---|---|---|---|
| 50 × 30 × 1 | 107 | 115 | 189 | 196 | 147 | 250 × 20 × 1 | 775 | 730 | 1377 | 1313 | 1049 |
| 50 × 30 × 2 | 109 | 119 | 178 | 199 | 136 | 250 × 20 × 2 | 744 | 766 | 1336 | 1312 | 1074 |
| 50 × 30 × 3 | 87 | 65 | 170 | 232 | 101 | 250 × 20 × 3 | 814 | 771 | 1319 | 6901 | 1371 |
| 50 × 30 × 4 | 89 | 81 | 149 | 362 | 102 | 250 × 20 × 4 | 784 | 865 | 1798 | 2719 | 1445 |
| 50 × 30 × 5 | 16 | 15 | 136 | 16 | 92 | 250 × 20 × 5 | 76 | 76 | 1110 | 96 | 865 |
| 50 × 30 × 6 | 16 | 15 | 143 | 27 | 95 | 250 × 20 × 6 | 83 | 88 | 1145 | 109 | 827 |
| 50 × 30 × 7 | 38 | 35 | 161 | 50 | 108 | 250 × 20 × 7 | 194 | 193 | 1239 | 265 | 991 |
| 50 × 30 × 8 | 32 | 35 | 159 | 51 | 103 | 250 × 20 × 8 | 202 | 208 | 1270 | 227 | 845 |
| 50 × 30 × 9 | 214 | 219 | 474 | 412 | 315 | 250 × 20 × 9 | 1584 | 1562 | 4205 | 2386 | 2794 |
| 50 × 30 × 10 | 211 | 215 | 445 | 409 | 305 | 250 × 20 × 10 | 1607 | 1630 | 4038 | 2119 | 2733 |
| 150 × 10 × 1 | 1011 | 909 | 1478 | 1076 | 1229 | 250 × 30 × 1 | 519 | 491 | 1025 | 1032 | 768 |
| 150 × 10 × 2 | 872 | 875 | 1264 | 1286 | 1135 | 250 × 30 × 2 | 501 | 495 | 1095 | 877 | 753 |
| 150 × 10 × 3 | 1068 | 1087 | 1589 | 3740 | 1222 | 250 × 30 × 3 | 331 | 448 | 1157 | 922 | 879 |
| 150 × 10 × 4 | 753 | 784 | 1258 | 1550 | 1374 | 250 × 30 × 4 | 584 | 557 | 1449 | 3193 | 1017 |
| 150 × 10 × 5 | 150 | 160 | 994 | 247 | 923 | 250 × 30 × 5 | 45 | 49 | 961 | 67 | 658 |
| 150 × 10 × 6 | 167 | 175 | 925 | 226 | 822 | 250 × 30 × 6 | 48 | 58 | 850 | 78 | 620 |
| 150 × 10 × 7 | 279 | 282 | 1024 | 405 | 1024 | 250 × 30 × 7 | 127 | 128 | 1017 | 160 | 681 |
| 150 × 10 × 8 | 306 | 320 | 1086 | 442 | 936 | 250 × 30 × 8 | 128 | 138 | 995 | 182 | 657 |
| 150 × 10 × 9 | 2056 | 2072 | 3506 | 2972 | 3067 | 250 × 30 × 9 | 1157 | 1133 | 2837 | 1390 | 2044 |
| 150 × 10 × 10 | 2075 | 2155 | 3293 | 2996 | 2855 | 250 × 30 × 10 | 1160 | 1162 | 2902 | 1600 | 2011 |
| 150 × 20 × 1 | 454 | 424 | 793 | 670 | 678 | 350 × 10 × 1 | 2310 | 2308 | 3440 | 2684 | 2934 |
| 150 × 20 × 2 | 423 | 419 | 840 | 758 | 648 | 350 × 10 × 2 | 2226 | 2260 | 3428 | 2793 | 2704 |
| 150 × 20 × 3 | 469 | 424 | 929 | 2555 | 758 | 350 × 10 × 3 | 2169 | 2028 | 3341 | 4768 | 3550 |
| 150 × 20 × 4 | 517 | 487 | 970 | 2609 | 668 | 350 × 10 × 4 | 1712 | 1628 | 2496 | 5547 | 2630 |
| 150 × 20 × 5 | 58 | 56 | 665 | 83 | 580 | 350 × 10 × 5 | 378 | 382 | 2639 | 513 | 2377 |
| 150 × 20 × 6 | 53 | 55 | 642 | 71 | 515 | 350 × 10 × 6 | 353 | 378 | 2394 | 389 | 2174 |
| 150 × 20 × 7 | 125 | 126 | 725 | 175 | 612 | 350 × 10 × 7 | 713 | 716 | 2900 | 872 | 2487 |
| 150 × 20 × 8 | 125 | 129 | 675 | 147 | 528 | 350 × 10 × 8 | 716 | 783 | 3037 | 803 | 2267 |
| 150 × 20 × 9 | 851 | 868 | 2318 | 1229 | 1582 | 350 × 10 × 9 | 4809 | 4836 | 8305 | 6081 | 7293 |
| 150 × 20 × 10 | 854 | 1070 | 2123 | 1194 | 1511 | 350 × 10 × 10 | 5056 | 5145 | 9601 | 5786 | 7088 |
| 150 × 30 × 1 | 282 | 286 | 628 | 436 | 428 | 350 × 20 × 1 | 1116 | 1077 | 2062 | 1811 | 1497 |
| 150 × 30 × 2 | 274 | 276 | 572 | 555 | 352 | 350 × 20 × 2 | 1033 | 1077 | 1974 | 1745 | 1413 |
| 150 × 30 × 3 | 216 | 233 | 635 | 1333 | 429 | 350 × 20 × 3 | 699 | 696 | 1504 | 1678 | 1479 |
| 150 × 30 × 4 | 205 | 208 | 775 | 1076 | 569 | 350 × 20 × 4 | 1087 | 1174 | 2812 | 4002 | 2195 |
| 150 × 30 × 5 | 27 | 31 | 509 | 47 | 337 | 350 × 20 × 5 | 107 | 113 | 1618 | 133 | 1139 |
| 150 × 30 × 6 | 30 | 31 | 480 | 43 | 305 | 350 × 20 × 6 | 106 | 113 | 1501 | 136 | 1142 |
| 150 × 30 × 7 | 80 | 85 | 559 | 123 | 358 | 350 × 20 × 7 | 268 | 264 | 1889 | 301 | 1329 |
| 150 × 30 × 8 | 79 | 90 | 523 | 110 | 354 | 350 × 20 × 8 | 268 | 290 | 1757 | 340 | 1256 |
| 150 × 30 × 9 | 604 | 607 | 2011 | 1128 | 1212 | 350 × 20 × 9 | 2318 | 2316 | 5990 | 3088 | 3889 |
| 150 × 30 × 10 | 604 | 620 | 1506 | 1194 | 1178 | 350 × 20 × 10 | 2328 | 2383 | 5594 | 3168 | 3843 |
| 250 × 10 × 1 | 1545 | 1506 | 2442 | 1706 | 1949 | 350 × 30 × 1 | 729 | 727 | 1537 | 1392 | 1087 |
| 250 × 10 × 2 | 1521 | 1540 | 2098 | 1861 | 1810 | 350 × 30 × 2 | 756 | 707 | 1421 | 1685 | 966 |
| 250 × 10 × 3 | 1572 | 1571 | 2380 | 3869 | 2527 | 350 × 30 × 3 | 624 | 656 | 1555 | 2169 | 1464 |
| 250 × 10 × 4 | 1484 | 1479 | 2050 | 4081 | 1853 | 350 × 30 × 4 | 424 | 510 | 1558 | 1046 | 1282 |
| 250 × 10 × 5 | 259 | 264 | 1764 | 298 | 1624 | 350 × 30 × 5 | 61 | 60 | 1291 | 73 | 851 |
| 250 × 10 × 6 | 299 | 323 | 1813 | 359 | 1483 | 350 × 30 × 6 | 54 | 56 | 1213 | 76 | 880 |
| 250 × 10 × 7 | 513 | 521 | 2069 | 580 | 1761 | 350 × 30 × 7 | 172 | 165 | 1243 | 218 | 948 |
| 250 × 10 × 8 | 559 | 577 | 1921 | 637 | 1622 | 350 × 30 × 8 | 172 | 180 | 1303 | 220 | 944 |
| 250 × 10 × 9 | 3372 | 3440 | 6531 | 3951 | 5062 | 350 × 30 × 9 | 1480 | 1472 | 4560 | 2143 | 2833 |
| 250 × 10 × 10 | 3534 | 3778 | 5980 | 3995 | 5155 | 350 × 30 × 10 | 1482 | 1527 | 4410 | 2394 | 2771 |
| Instance | ABC-AC | MPH | HPSOGA | TAFOA | ABC | Instance | ABC-AC | MPH | HPSOGA | TAFOA | ABC |
|---|---|---|---|---|---|---|---|---|---|---|---|
| 8 × 2 × 1 | 326.0 | 326.0 | 337.3 | 326.0 | 326.0 | 12 × 6 × 1 | 145.0 | 155.5 | 176.8 | 163.3 | 156.2 |
| 8 × 2 × 2 | 269.0 | 269.0 | 270.6 | 311.6 | 269.0 | 12 × 6 × 2 | 146.5 | 156.0 | 167.2 | 162.0 | 155.4 |
| 8 × 2 × 3 | 197.0 | 204.6 | 199.2 | 197.0 | 197.2 | 12 × 6 × 3 | 62.0 | 62.0 | 71.5 | 65.3 | 72.0 |
| 8 × 2 × 4 | 241.0 | 248.7 | 265.3 | 256.1 | 245.7 | 12 × 6 × 4 | 63.0 | 64.8 | 74.3 | 75.1 | 67.6 |
| 8 × 2 × 5 | 194.0 | 194.0 | 208.0 | 194.0 | 194.0 | 12 × 6 × 5 | 49.0 | 49.5 | 78.8 | 82.0 | 59.4 |
| 8 × 2 × 6 | 139.0 | 139.0 | 141.5 | 139.0 | 139.0 | 12 × 6 × 6 | 57.0 | 57.7 | 81.4 | 64.0 | 62.4 |
| 8 × 2 × 7 | 204.0 | 204.4 | 233.4 | 224.0 | 204.0 | 12 × 6 × 7 | 57.0 | 63.4 | 101.4 | 111.0 | 73.1 |
| 8 × 2 × 8 | 171.0 | 171.0 | 179.7 | 171.0 | 171.0 | 12 × 6 × 8 | 63.3 | 70.6 | 90.4 | 77.0 | 78.4 |
| 8 × 2 × 9 | 544.0 | 544.0 | 550.3 | 544.0 | 544.0 | 12 × 6 × 9 | 250.0 | 286.7 | 357.8 | 480.0 | 273.4 |
| 8 × 2 × 10 | 577.0 | 577.0 | 596.8 | 631.2 | 590.8 | 12 × 6 × 10 | 263.0 | 297.0 | 372.4 | 318.3 | 281.6 |
| 8 × 4 × 1 | 124.0 | 131.0 | 136.1 | 137.0 | 127.1 | 16 × 2 × 1 | 565.4 | 645.0 | 640.8 | 653.4 | 609.5 |
| 8 × 4 × 2 | 119.0 | 120.2 | 131.4 | 126.0 | 122.1 | 16 × 2 × 2 | 600.0 | 655.0 | 675.6 | 688.4 | 635.7 |
| 8 × 4 × 3 | 174.0 | 181.7 | 175.6 | 184.7 | 174.3 | 16 × 2 × 3 | 460.0 | 529.9 | 572.9 | 528.0 | 534.5 |
| 8 × 4 × 4 | 123.0 | 124.0 | 139.3 | 157.4 | 124.4 | 16 × 2 × 4 | 642.0 | 803.6 | 876.6 | 791.3 | 768.9 |
| 8 × 4 × 5 | 80.0 | 89.7 | 84.1 | 95.9 | 80.0 | 16 × 2 × 5 | 332.0 | 348.0 | 411.8 | 341.0 | 343.8 |
| 8 × 4 × 6 | 66.0 | 76.6 | 85.2 | 78.0 | 72.4 | 16 × 2 × 6 | 264.0 | 284.0 | 340.8 | 284.6 | 284.6 |
| 8 × 4 × 7 | 91.0 | 97.6 | 103.5 | 97.3 | 91.6 | 16 × 2 × 7 | 363.0 | 391.9 | 436.1 | 379.5 | 385.3 |
| 8 × 4 × 8 | 78.0 | 88.7 | 95.7 | 89.0 | 87.0 | 16 × 2 × 8 | 358.0 | 382.0 | 444.2 | 385.7 | 394.6 |
| 8 × 4 × 9 | 279.0 | 306.1 | 304.3 | 312.9 | 281.5 | 16 × 2 × 9 | 1165.0 | 1392.0 | 1459.5 | 1314.1 | 1345.9 |
| 8 × 4 × 10 | 275.0 | 305.1 | 348.6 | 342.0 | 286.8 | 16 × 2 × 10 | 1219.0 | 1409.8 | 1643.9 | 1680.5 | 1403.5 |
| 8 × 6 × 1 | 103.0 | 105.0 | 105.5 | 107.5 | 103.0 | 16 × 4 × 1 | 280.6 | 311.0 | 409.9 | 340.0 | 336.2 |
| 8 × 6 × 2 | 106.0 | 106.0 | 108.8 | 111.2 | 106.0 | 16 × 4 × 2 | 213.0 | 225.3 | 247.4 | 237.9 | 232.8 |
| 8 × 6 × 3 | 46.0 | 46.0 | 50.9 | 48.4 | 75.8 | 16 × 4 × 3 | 181.0 | 189.2 | 212.9 | 352.5 | 196.0 |
| 8 × 6 × 4 | 71.0 | 73.3 | 80.7 | 77.8 | 73.3 | 16 × 4 × 4 | 140.0 | 153.9 | 159.4 | 150.2 | 158.2 |
| 8 × 6 × 5 | 36.0 | 36.0 | 51.9 | 56.0 | 37.1 | 16 × 4 × 5 | 80.0 | 83.7 | 127.0 | 114.0 | 104.7 |
| 8 × 6 × 6 | 58.0 | 58.0 | 58.9 | 58.0 | 58.0 | 16 × 4 × 6 | 90.0 | 101.8 | 137.0 | 102.0 | 129.8 |
| 8 × 6 × 7 | 42.0 | 42.0 | 59.3 | 68.0 | 44.8 | 16 × 4 × 7 | 112.0 | 113.0 | 144.3 | 158.0 | 132.6 |
| 8 × 6 × 8 | 62.0 | 62.0 | 64.0 | 62.0 | 62.0 | 16 × 4 × 8 | 121.0 | 128.0 | 181.4 | 121.0 | 159.3 |
| 8 × 6 × 9 | 214.0 | 219.0 | 227.8 | 254.0 | 214.5 | 16 × 4 × 9 | 488.0 | 504.7 | 560.0 | 711.0 | 535.0 |
| 8 × 6 × 10 | 218.0 | 225.3 | 242.1 | 225.5 | 222.2 | 16 × 4 × 10 | 508.0 | 551.5 | 602.6 | 543.3 | 569.2 |
| 12 × 2 × 1 | 326.0 | 326.0 | 345.1 | 326.0 | 326.2 | 16 × 6 × 1 | 143.8 | 153.2 | 183.0 | 165.2 | 163.1 |
| 12 × 2 × 2 | 514.6 | 639.9 | 666.6 | 633.6 | 595.5 | 16 × 6 × 2 | 150.9 | 159.0 | 178.6 | 219.0 | 165.3 |
| 12 × 2 × 3 | 355.3 | 400.7 | 429.5 | 393.4 | 385.1 | 16 × 6 × 3 | 123.0 | 126.0 | 153.5 | 143.5 | 137.4 |
| 12 × 2 × 4 | 292.0 | 332.0 | 347.4 | 319.8 | 317.4 | 16 × 6 × 4 | 115.0 | 124.0 | 137.6 | 277.7 | 122.3 |
| 12 × 2 × 5 | 171.0 | 173.4 | 178.0 | 172.0 | 173.1 | 16 × 6 × 5 | 67.0 | 74.5 | 118.5 | 75.7 | 95.8 |
| 12 × 2 × 6 | 261.0 | 275.2 | 278.7 | 261.0 | 266.8 | 16 × 6 × 6 | 62.0 | 69.7 | 110.4 | 75.0 | 94.8 |
| 12 × 2 × 7 | 205.0 | 205.0 | 206.3 | 205.0 | 205.2 | 16 × 6 × 7 | 91.4 | 91.6 | 135.3 | 110.0 | 117.8 |
| 12 × 2 × 8 | 296.0 | 317.7 | 329.3 | 300.0 | 307.6 | 16 × 6 × 8 | 85.0 | 92.5 | 129.4 | 95.0 | 112.6 |
| 12 × 2 × 9 | 774.0 | 774.0 | 1024.6 | 774.0 | 794.3 | 16 × 6 × 9 | 356.0 | 379.4 | 426.6 | 368.5 | 387.2 |
| 12 × 2 × 10 | 990.9 | 1076.0 | 1088.1 | 1129.0 | 1053.0 | 16 × 6 × 10 | 360.0 | 381.5 | 454.3 | 380.1 | 398.2 |
| 12 × 4 × 1 | 231.0 | 241.4 | 269.9 | 282.4 | 257.6 | 20 × 2 × 1 | 561.9 | 699.0 | 660.2 | 613.1 | 638.8 |
| 12 × 4 × 2 | 199.2 | 213.8 | 216.0 | 242.0 | 213.4 | 20 × 2 × 2 | 621.9 | 644.7 | 702.6 | 700.1 | 658.6 |
| 12 × 4 × 3 | 214.0 | 245.5 | 280.8 | 281.7 | 255.5 | 20 × 2 × 3 | 724.8 | 855.4 | 1099.1 | 940.7 | 970.7 |
| 12 × 4 × 4 | 229.0 | 242.2 | 249.7 | 260.0 | 234.6 | 20 × 2 × 4 | 592.4 | 708.3 | 809.0 | 731.7 | 722.1 |
| 12 × 4 × 5 | 93.0 | 94.4 | 130.9 | 94.0 | 102.3 | 20 × 2 × 5 | 409.9 | 482.0 | 524.3 | 435.4 | 484.3 |
| 12 × 4 × 6 | 70.0 | 75.5 | 105.0 | 90.9 | 99.9 | 20 × 2 × 6 | 338.0 | 422.0 | 456.7 | 424.0 | 398.8 |
| 12 × 4 × 7 | 110.8 | 111.0 | 134.2 | 113.3 | 130.4 | 20 × 2 × 7 | 502.2 | 568.0 | 603.5 | 516.6 | 550.5 |
| 12 × 4 × 8 | 98.0 | 105.2 | 128.9 | 110.0 | 118.1 | 20 × 2 × 8 | 397.0 | 549.0 | 582.9 | 533.0 | 550.5 |
| 12 × 4 × 9 | 403.0 | 420.9 | 472.5 | 437.1 | 429.0 | 20 × 2 × 9 | 1468.0 | 1735.0 | 1975.9 | 1628.5 | 1731.7 |
| 12 × 4 × 10 | 388.0 | 435.0 | 473.0 | 434.1 | 428.7 | 20 × 2 × 10 | 1507.0 | 1600.8 | 1959.1 | 1676.8 | 1841.6 |
| Instance | ABC-AC | MPH | HPSOGA | TAFOA | ABC | Instance | ABC-AC | MPH | HPSOGA | TAFOA | ABC |
|---|---|---|---|---|---|---|---|---|---|---|---|
| 20 × 4 × 1 | 353.8 | 374.9 | 554.8 | 433.2 | 435.7 | 30 × 2 × 1 | 1298.8 | 1624.0 | 1659.5 | 1650.5 | 1615.1 |
| 20 × 4 × 2 | 296.3 | 308.7 | 348.2 | 346.4 | 325.2 | 30 × 2 × 2 | 915.0 | 937.1 | 1067.7 | 916.8 | 997.3 |
| 20 × 4 × 3 | 164.0 | 171.4 | 176.9 | 175.1 | 174.4 | 30 × 2 × 3 | 367.3 | 374.0 | 391.3 | 390.3 | 405.3 |
| 20 × 4 × 4 | 170.0 | 172.7 | 177.1 | 221.9 | 180.6 | 30 × 2 × 4 | 992.0 | 1153.3 | 1255.8 | 1330.4 | 1156.2 |
| 20 × 4 × 5 | 116.9 | 124.6 | 180.5 | 128.0 | 158.5 | 30 × 2 × 5 | 670.0 | 789.0 | 877.9 | 810.3 | 847.6 |
| 20 × 4 × 6 | 111.0 | 117.8 | 178.9 | 143.0 | 153.2 | 30 × 2 × 6 | 697.0 | 811.6 | 969.4 | 924.0 | 887.6 |
| 20 × 4 × 7 | 153.0 | 159.1 | 228.3 | 171.9 | 200.3 | 30 × 2 × 7 | 754.7 | 884.0 | 974.8 | 914.0 | 957.2 |
| 20 × 4 × 8 | 149.0 | 158.8 | 202.7 | 184.0 | 200.2 | 30 × 2 × 8 | 775.4 | 913.6 | 1000.6 | 852.9 | 938.0 |
| 20 × 4 × 9 | 628.6 | 658.8 | 777.7 | 655.5 | 699.5 | 30 × 2 × 9 | 2303.0 | 2862.8 | 3076.4 | 2841.0 | 3012.1 |
| 20 × 4 × 10 | 629.0 | 726.1 | 801.2 | 668.1 | 704.2 | 30 × 2 × 10 | 2523.1 | 2902.2 | 3087.3 | 2888.4 | 2950.2 |
| 20 × 6 × 1 | 210.0 | 218.6 | 268.2 | 256.6 | 249.3 | 30 × 4 × 1 | 405.0 | 452.9 | 631.3 | 525.9 | 567.9 |
| 20 × 6 × 2 | 199.4 | 221.2 | 248.6 | 298.0 | 221.7 | 30 × 4 × 2 | 385.6 | 395.7 | 516.9 | 428.6 | 440.0 |
| 20 × 6 × 3 | 180.0 | 183.4 | 219.3 | 272.5 | 193.2 | 30 × 4 × 3 | 356.1 | 368.8 | 428.1 | 397.1 | 414.1 |
| 20 × 6 × 4 | 58.1 | 68.2 | 82.0 | 67.6 | 77.3 | 30 × 4 × 4 | 381.1 | 403.1 | 468.8 | 513.4 | 419.2 |
| 20 × 6 × 5 | 79.0 | 82.6 | 153.0 | 94.5 | 129.4 | 30 × 4 × 5 | 156.0 | 169.0 | 360.1 | 190.0 | 265.7 |
| 20 × 6 × 6 | 57.4 | 59.0 | 132.3 | 61.5 | 113.7 | 30 × 4 × 6 | 130.0 | 143.2 | 266.6 | 144.7 | 256.7 |
| 20 × 6 × 7 | 107.0 | 114.0 | 178.2 | 125.6 | 151.5 | 30 × 4 × 7 | 218.3 | 219.2 | 454.3 | 254.0 | 320.4 |
| 20 × 6 × 8 | 84.0 | 86.8 | 154.0 | 96.6 | 129.5 | 30 × 4 × 8 | 179.0 | 195.0 | 364.0 | 197.4 | 306.9 |
| 20 × 6 × 9 | 445.0 | 471.5 | 601.9 | 495.7 | 497.0 | 30 × 4 × 9 | 1140.0 | 1207.9 | 1446.2 | 1208.2 | 1316.2 |
| 20 × 6 × 10 | 435.0 | 463.6 | 570.1 | 473.0 | 501.9 | 30 × 4 × 10 | 1080.0 | 1125.4 | 1353.6 | 1118.8 | 1247.7 |
| 25 × 2 × 1 | 770.0 | 924.1 | 972.1 | 873.3 | 885.4 | 30 × 6 × 1 | 311.8 | 325.9 | 458.6 | 426.6 | 394.5 |
| 25 × 2 × 2 | 772.0 | 795.7 | 861.4 | 783.3 | 809.7 | 30 × 6 × 2 | 268.0 | 282.7 | 375.1 | 299.4 | 310.5 |
| 25 × 2 × 3 | 1504.6 | 1711.5 | 2076.6 | 1999.9 | 1862.9 | 30 × 6 × 3 | 224.4 | 234.7 | 316.2 | 549.4 | 260.2 |
| 25 × 2 × 4 | 281.0 | 304.8 | 337.4 | 293.8 | 320.5 | 30 × 6 × 4 | 267.2 | 293.8 | 393.1 | 835.9 | 319.4 |
| 25 × 2 × 5 | 632.0 | 712.7 | 853.3 | 698.0 | 788.2 | 30 × 6 × 5 | 75.0 | 77.8 | 194.3 | 105.0 | 151.0 |
| 25 × 2 × 6 | 473.2 | 509.6 | 591.9 | 513.4 | 572.1 | 30 × 6 × 6 | 82.0 | 94.0 | 237.6 | 129.0 | 198.2 |
| 25 × 2 × 7 | 711.2 | 918.4 | 954.1 | 757.9 | 914.7 | 30 × 6 × 7 | 114.0 | 118.2 | 238.5 | 142.0 | 184.1 |
| 25 × 2 × 8 | 559.0 | 596.8 | 655.2 | 574.3 | 637.0 | 30 × 6 × 8 | 125.8 | 132.6 | 273.5 | 172.0 | 233.6 |
| 25 × 2 × 9 | 2150.0 | 2395.0 | 2591.4 | 2211.4 | 2493.2 | 30 × 6 × 9 | 581.0 | 610.0 | 814.7 | 610.7 | 682.3 |
| 25 × 2 × 10 | 1988.0 | 2203.7 | 2463.1 | 2121.4 | 2173.2 | 30 × 6 × 10 | 605.3 | 637.5 | 1059.2 | 723.0 | 767.8 |
| 25 × 4 × 1 | 337.4 | 347.8 | 557.1 | 507.3 | 469.8 | 50 × 10 × 1 | 286.0 | 292.7 | 435.2 | 371.0 | 372.8 |
| 25 × 4 × 2 | 415.0 | 441.0 | 596.0 | 638.7 | 464.0 | 50 × 10 × 2 | 276.6 | 295.4 | 400.4 | 394.0 | 328.5 |
| 25 × 4 × 3 | 309.0 | 327.4 | 415.8 | 370.7 | 368.4 | 50 × 10 × 3 | 298.4 | 314.2 | 542.5 | 919.5 | 384.0 |
| 25 × 4 × 4 | 162.0 | 168.0 | 202.3 | 187.5 | 188.4 | 50 × 10 × 4 | 262.0 | 256.9 | 453.4 | 426.6 | 338.1 |
| 25 × 4 × 5 | 132.5 | 137.6 | 260.4 | 141.0 | 231.2 | 50 × 10 × 5 | 68.2 | 69.2 | 341.4 | 120.0 | 252.2 |
| 25 × 4 × 6 | 160.0 | 182.8 | 319.6 | 173.8 | 254.6 | 50 × 10 × 6 | 79.2 | 95.8 | 305.8 | 131.0 | 233.8 |
| 25 × 4 × 7 | 175.0 | 180.6 | 304.6 | 190.0 | 262.8 | 50 × 10 × 7 | 109.7 | 107.5 | 379.3 | 173.0 | 280.0 |
| 25 × 4 × 8 | 199.0 | 238.8 | 355.5 | 224.0 | 312.1 | 50 × 10 × 8 | 126.4 | 155.6 | 335.2 | 174.0 | 263.0 |
| 25 × 4 × 9 | 758.2 | 767.3 | 1171.9 | 783.6 | 1068.8 | 50 × 10 × 9 | 574.3 | 620.1 | 1244.5 | 1008.0 | 855.2 |
| 25 × 4 × 10 | 817.2 | 950.6 | 1227.1 | 941.8 | 1202.2 | 50 × 10 × 10 | 612.8 | 678.3 | 1251.7 | 716.0 | 787.2 |
| 25 × 6 × 1 | 231.0 | 236.9 | 311.5 | 304.4 | 268.8 | 50 × 20 × 1 | 176.9 | 191.5 | 316.6 | 399.0 | 249.7 |
| 25 × 6 × 2 | 210.5 | 226.4 | 274.3 | 256.0 | 238.1 | 50 × 20 × 2 | 148.0 | 167.2 | 260.7 | 278.0 | 191.0 |
| 25 × 6 × 3 | 155.3 | 165.5 | 203.2 | 359.0 | 173.7 | 50 × 20 × 3 | 117.0 | 114.0 | 252.6 | 797.2 | 153.4 |
| 25 × 6 × 4 | 91.0 | 105.0 | 154.3 | 136.8 | 125.5 | 50 × 20 × 4 | 94.0 | 94.9 | 246.1 | 356.2 | 152.9 |
| 25 × 6 × 5 | 76.0 | 77.6 | 183.9 | 95.5 | 152.3 | 50 × 20 × 5 | 25.4 | 31.3 | 196.2 | 35.2 | 146.8 |
| 25 × 6 × 6 | 74.8 | 76.0 | 189.0 | 80.0 | 161.1 | 50 × 20 × 6 | 24.0 | 30.0 | 190.2 | 38.0 | 132.7 |
| 25 × 6 × 7 | 104.0 | 106.1 | 216.3 | 128.8 | 181.4 | 50 × 20 × 7 | 50.0 | 51.2 | 223.3 | 73.2 | 163.4 |
| 25 × 6 × 8 | 107.0 | 115.2 | 206.7 | 117.0 | 178.1 | 50 × 20 × 8 | 45.2 | 55.7 | 194.3 | 71.0 | 148.9 |
| 25 × 6 × 9 | 541.0 | 547.6 | 696.8 | 569.0 | 605.6 | 50 × 20 × 9 | 320.3 | 325.4 | 665.3 | 437.3 | 454.9 |
| 25 × 6 × 10 | 550.1 | 562.2 | 727.5 | 574.2 | 622.7 | 50 × 20 × 10 | 310.0 | 320.8 | 664.4 | 434.0 | 437.6 |
| Instance | ABC-AC | MPH | HPSOGA | TAFOA | ABC | Instance | ABC-AC | MPH | HPSOGA | TAFOA | ABC |
|---|---|---|---|---|---|---|---|---|---|---|---|
| 50 × 30 × 1 | 107.9 | 123.8 | 209.9 | 196.0 | 154.8 | 250 × 20 × 1 | 822.3 | 746.9 | 1506.0 | 1314.7 | 1095.7 |
| 50 × 30 × 2 | 109.0 | 121.1 | 215.7 | 199.0 | 143.5 | 250 × 20 × 2 | 755.3 | 791.0 | 1570.0 | 1313.3 | 1099.1 |
| 50 × 30 × 3 | 87.1 | 79.1 | 193.5 | 232.0 | 107.6 | 250 × 20 × 3 | 841.6 | 832.9 | 1889.1 | 6921.4 | 1453.1 |
| 50 × 30 × 4 | 89.6 | 93.7 | 191.5 | 369.3 | 106.3 | 250 × 20 × 4 | 807.2 | 953.5 | 2217.2 | 2752.7 | 1575.7 |
| 50 × 30 × 5 | 16.0 | 15.6 | 150.1 | 16.0 | 104.9 | 250 × 20 × 5 | 76.0 | 84.1 | 1186.7 | 102.8 | 929.9 |
| 50 × 30 × 6 | 16.0 | 16.3 | 153.3 | 27.0 | 102.4 | 250 × 20 × 6 | 83.3 | 94.8 | 1218.7 | 109.0 | 870.3 |
| 50 × 30 × 7 | 38.0 | 36.4 | 175.0 | 50.0 | 116.1 | 250 × 20 × 7 | 195.3 | 201.4 | 1406.2 | 268.5 | 1033.3 |
| 50 × 30 × 8 | 37.0 | 37.9 | 174.1 | 51.4 | 113.7 | 250 × 20 × 8 | 205.4 | 211.7 | 1398.1 | 229.8 | 941.8 |
| 50 × 30 × 9 | 214.0 | 232.5 | 529.0 | 412.0 | 331.6 | 250 × 20 × 9 | 1600.0 | 1573.0 | 4514.0 | 2386.1 | 2891.3 |
| 50 × 30 × 10 | 211.0 | 224.2 | 520.6 | 409.3 | 320.8 | 250 × 20 × 10 | 1625.7 | 1637.8 | 4504.4 | 2119.0 | 2865.2 |
| 150 × 10 × 1 | 1029.4 | 968.1 | 1588.4 | 1094.0 | 1271.9 | 250 × 30 × 1 | 559.1 | 503.3 | 1202.9 | 1037.4 | 793.3 |
| 150 × 10 × 2 | 873.8 | 888.6 | 1445.4 | 1286.2 | 1157.7 | 250 × 30 × 2 | 517.1 | 546.1 | 1188.9 | 892.2 | 783.1 |
| 150 × 10 × 3 | 1084.0 | 1114.6 | 1770.8 | 3766.9 | 1364.4 | 250 × 30 × 3 | 348.0 | 541.2 | 1308.9 | 926.3 | 942.4 |
| 150 × 10 × 4 | 784.7 | 804.5 | 1463.5 | 1594.7 | 1459.0 | 250 × 30 × 4 | 613.6 | 582.2 | 1643.0 | 3212.1 | 1121.3 |
| 150 × 10 × 5 | 150.1 | 166.2 | 1130.8 | 247.0 | 984.3 | 250 × 30 × 5 | 49.1 | 50.7 | 1022.8 | 67.0 | 683.8 |
| 150 × 10 × 6 | 168.5 | 182.8 | 1046.3 | 226.0 | 862.1 | 250 × 30 × 6 | 48.4 | 58.2 | 945.2 | 78.0 | 638.3 |
| 150 × 10 × 7 | 279.3 | 291.3 | 1250.6 | 405.0 | 1067.9 | 250 × 30 × 7 | 127.1 | 135.8 | 1107.6 | 163.5 | 701.9 |
| 150 × 10 × 8 | 306.1 | 328.8 | 1208.1 | 442.0 | 976.1 | 250 × 30 × 8 | 130.3 | 145.4 | 1078.0 | 186.1 | 688.1 |
| 150 × 10 × 9 | 2058.8 | 2099.6 | 3963.7 | 2972.0 | 3111.2 | 250 × 30 × 9 | 1160.7 | 1149.7 | 3317.7 | 1390.0 | 2124.2 |
| 150 × 10 × 10 | 2078.1 | 2191.3 | 3830.2 | 2996.0 | 2973.6 | 250 × 30 × 10 | 1162.5 | 1169.2 | 3174.7 | 1600.0 | 2073.9 |
| 150 × 20 × 1 | 476.0 | 439.7 | 877.9 | 670.0 | 698.6 | 350 × 10 × 1 | 2327.7 | 2342.9 | 3687.0 | 2733.3 | 2976.1 |
| 150 × 20 × 2 | 424.6 | 426.4 | 933.2 | 758.3 | 674.1 | 350 × 10 × 2 | 2268.0 | 2296.1 | 3678.2 | 2822.4 | 2760.1 |
| 150 × 20 × 3 | 474.4 | 438.7 | 1175.7 | 2575.6 | 838.4 | 350 × 10 × 3 | 2184.6 | 2225.2 | 3923.0 | 4839.8 | 3920.0 |
| 150 × 20 × 4 | 523.8 | 500.4 | 1064.2 | 2663.3 | 727.0 | 350 × 10 × 4 | 1726.8 | 1695.6 | 2862.2 | 5564.9 | 3155.9 |
| 150 × 20 × 5 | 60.7 | 69.4 | 738.1 | 85.8 | 606.5 | 350 × 10 × 5 | 378.8 | 388.6 | 3045.1 | 513.0 | 2408.2 |
| 150 × 20 × 6 | 53.2 | 58.4 | 708.6 | 71.0 | 536.8 | 350 × 10 × 6 | 356.8 | 386.2 | 2824.5 | 389.0 | 2248.9 |
| 150 × 20 × 7 | 125.8 | 136.9 | 794.7 | 177.9 | 629.6 | 350 × 10 × 7 | 714.3 | 738.1 | 3262.9 | 872.4 | 2519.9 |
| 150 × 20 × 8 | 125.0 | 132.3 | 778.1 | 147.0 | 578.3 | 350 × 10 × 8 | 719.2 | 786.1 | 3185.2 | 803.0 | 2365.6 |
| 150 × 20 × 9 | 904.7 | 930.9 | 2671.1 | 1250.5 | 1681.1 | 350 × 10 × 9 | 4822.6 | 4855.4 | 9756.6 | 6081.0 | 7402.6 |
| 150 × 20 × 10 | 986.7 | 1085.4 | 2427.6 | 1194.8 | 1587.4 | 350 × 10 × 10 | 5062.8 | 5197.6 | 10406.8 | 5786.0 | 7222.3 |
| 150 × 30 × 1 | 283.5 | 294.3 | 700.8 | 473.9 | 452.9 | 350 × 20 × 1 | 1139.2 | 1096.9 | 2260.5 | 1818.9 | 1559.4 |
| 150 × 30 × 2 | 276.9 | 278.9 | 612.4 | 555.0 | 380.1 | 350 × 20 × 2 | 1044.1 | 1080.9 | 2120.1 | 1745.4 | 1451.8 |
| 150 × 30 × 3 | 222.4 | 273.0 | 730.3 | 1343.3 | 506.1 | 350 × 20 × 3 | 710.5 | 929.9 | 2016.8 | 1691.6 | 1628.5 |
| 150 × 30 × 4 | 211.4 | 265.6 | 849.4 | 1091.6 | 600.9 | 350 × 20 × 4 | 1129.2 | 1366.6 | 3171.1 | 4036.0 | 2286.3 |
| 150 × 30 × 5 | 31.0 | 31.6 | 556.8 | 47.0 | 357.4 | 350 × 20 × 5 | 108.9 | 120.5 | 1739.6 | 133.0 | 1210.7 |
| 150 × 30 × 6 | 31.4 | 33.4 | 554.5 | 43.0 | 319.9 | 350 × 20 × 6 | 106.0 | 118.4 | 1726.5 | 136.0 | 1169.4 |
| 150 × 30 × 7 | 80.0 | 88.7 | 611.3 | 123.0 | 411.7 | 350 × 20 × 7 | 268.5 | 275.7 | 2037.2 | 301.2 | 1387.3 |
| 150 × 30 × 8 | 79.2 | 91.3 | 596.3 | 110.0 | 378.7 | 350 × 20 × 8 | 270.6 | 295.6 | 1996.1 | 340.0 | 1328.7 |
| 150 × 30 × 9 | 605.3 | 616.3 | 2086.9 | 1128.0 | 1275.8 | 350 × 20 × 9 | 2318.8 | 2326.3 | 6539.2 | 3088.0 | 4018.8 |
| 150 × 30 × 10 | 605.3 | 621.2 | 1879.4 | 1194.0 | 1223.7 | 350 × 20 × 10 | 2337.9 | 2420.9 | 6302.0 | 3179.3 | 3965.8 |
| 250 × 10 × 1 | 1550.6 | 1545.7 | 2511.7 | 1710.1 | 2010.7 | 350 × 30 × 1 | 764.8 | 754.3 | 1708.3 | 1405.5 | 1140.0 |
| 250 × 10 × 2 | 1522.5 | 1565.3 | 2423.9 | 1888.5 | 1887.3 | 350 × 30 × 2 | 769.0 | 723.8 | 1606.0 | 1687.2 | 1030.9 |
| 250 × 10 × 3 | 1590.8 | 1634.2 | 2837.1 | 3904.2 | 2670.9 | 350 × 30 × 3 | 640.5 | 859.8 | 1998.4 | 2260.8 | 1547.6 |
| 250 × 10 × 4 | 1497.0 | 1512.6 | 2311.7 | 4101.8 | 1966.7 | 350 × 30 × 4 | 453.3 | 614.2 | 1936.0 | 1046.0 | 1401.4 |
| 250 × 10 × 5 | 262.1 | 274.7 | 2009.8 | 300.6 | 1664.3 | 350 × 30 × 5 | 62.0 | 64.2 | 1433.7 | 73.0 | 919.3 |
| 250 × 10 × 6 | 299.2 | 330.3 | 1959.6 | 359.0 | 1535.9 | 350 × 30 × 6 | 54.1 | 59.8 | 1330.2 | 76.0 | 915.5 |
| 250 × 10 × 7 | 518.3 | 530.3 | 2282.6 | 581.2 | 1801.9 | 350 × 30 × 7 | 175.1 | 174.0 | 1541.1 | 218.0 | 1014.5 |
| 250 × 10 × 8 | 565.4 | 594.0 | 2098.5 | 637.0 | 1702.7 | 350 × 30 × 8 | 172.0 | 184.9 | 1479.1 | 220.0 | 985.5 |
| 250 × 10 × 9 | 3376.1 | 3461.3 | 7143.9 | 3951.0 | 5229.1 | 350 × 30 × 9 | 1495.4 | 1482.6 | 4918.3 | 2143.0 | 2971.9 |
| 250 × 10 × 10 | 3540.2 | 3829.8 | 6826.0 | 3995.0 | 5247.4 | 350 × 30 × 10 | 1488.5 | 1547.8 | 5068.4 | 2394.0 | 2912.4 |
Publisher’s Note: MDPI stays neutral with regard to jurisdictional claims in published maps and institutional affiliations. |
© 2022 by the authors. Licensee MDPI, Basel, Switzerland. This article is an open access article distributed under the terms and conditions of the Creative Commons Attribution (CC BY) license (https://creativecommons.org/licenses/by/4.0/).
Share and Cite
Li, M.; Xiong, H.; Lei, D. An Artificial Bee Colony with Adaptive Competition for the Unrelated Parallel Machine Scheduling Problem with Additional Resources and Maintenance. Symmetry 2022, 14, 1380. https://doi.org/10.3390/sym14071380
Li M, Xiong H, Lei D. An Artificial Bee Colony with Adaptive Competition for the Unrelated Parallel Machine Scheduling Problem with Additional Resources and Maintenance. Symmetry. 2022; 14(7):1380. https://doi.org/10.3390/sym14071380
Chicago/Turabian StyleLi, Mingbo, Huan Xiong, and Deming Lei. 2022. "An Artificial Bee Colony with Adaptive Competition for the Unrelated Parallel Machine Scheduling Problem with Additional Resources and Maintenance" Symmetry 14, no. 7: 1380. https://doi.org/10.3390/sym14071380
APA StyleLi, M., Xiong, H., & Lei, D. (2022). An Artificial Bee Colony with Adaptive Competition for the Unrelated Parallel Machine Scheduling Problem with Additional Resources and Maintenance. Symmetry, 14(7), 1380. https://doi.org/10.3390/sym14071380
