Analytical Solution for the MHD Flow of Non-Newtonian Fluids between Two Coaxial Cylinders
Abstract
:1. Introduction
2. Mathematical Formulation
3. Solution of the Problem
4. Results and Discussion
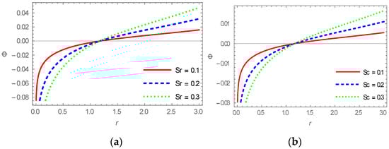
4.1. Concentration Profile
4.2. Temperature Profile
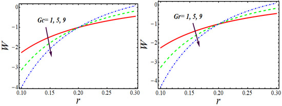
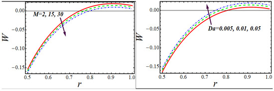
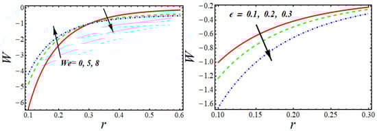
4.3. Velocity Profile
Validation of the Model
5. Conclusions
- The behavior of the velocity profile was the same as the values of magnetic parameter and Da parameter increased.
- The temperature distribution was same for higher values of the Prandtl and M parameters.
- The dimensionless concentration was the same for different values of Sc and Sr
- For higher values of boundary layer thickness and thermal conductivity, the temperature increased; the relation between and r was approximately linear for large values of .
- The velocity decreased by increasing M in the range of after that, the velocity increased by increasing M.
- The velocity decreased for higher values of the parameters and but at it started to increase.
- The concentration force showed a dual behavior for various values of the parameters Sc and because solute diffusion in fluids is always proportional to the diffusion coefficient. Therefore, a decrease in concentration field was due to a decrease in the diffusion coefficient.
- Similar effects were observed in trapping for the parameter , and the size of the trapped bolus decreased with the increase of . It is further concluded that a trapped bolus developed in a new region near the flat wall of the channel and increased in size with the increase of .
- The performance of the parameters , and was similar on the trap and it was revealed that near the trap, the bolus increased with the increase of .
Author Contributions
Funding
Institutional Review Board Statement
Informed Consent Statement
Data Availability Statement
Conflicts of Interest
Nomenclature
| Prandtl number | |
| Density | |
| Pressure | |
| Temperature | |
| Electrical conductivity | |
| Magnetic field | |
| Specific heat | |
| K | Thermal conductivity |
| Gc | Solutol Grashof number |
| U, W | Expression of velocity in r and z directions, Respectively |
| Thermal Grashof number | |
| Dimensionless temperature of the model | |
| Soret number | |
| Dimensionless wave number | |
| Darcy Number | |
| Zero share stress viscosity | |
| Concentration force | |
| Dimensionless magnetic parameter | |
| Fluid viscosity | |
| Stagnation speed | |
| Darcy number | |
| The ratio of relaxation to retardation time | |
| t | Time |
| Amplitude rate | |
| Rn | Radiation parameter |
| Frequency of oscillation | |
| Time Constant Parameter | |
| Rivlin Ericksen Tensor | |
| We | Weissenberg number |
| Sc | Suction/Injection parameter |
| Variation of viscosity with temperature | |
| Re | Reynolds number |
References
- Bhatti, M.M.; Abbas, M.A.; Rashidi, M.M. Entropy generation in blood flow with heat and mass transfer for the Ellis fluid model. Heat Transf. Res. 2018, 49, 747–760. [Google Scholar] [CrossRef]
- Bhatti, M.M.; Abbas, M.A.; Rashidi, M.M. Entropy generation for peristaltic blood flow with casson model and consideration of magnetohydrodynamics effects. Walailak J. Sci. Technol. (WJST). 2017, 14, 451–461. [Google Scholar]
- Raza, R.; Mabood, F.; Naz, R.; Abdelsalam, S.I. Thermal transport of radiative Williamson fluid over stretchable curved surface. Therm. Sci. Eng. Prog. 2021, 23, 100887. [Google Scholar] [CrossRef]
- Jia, Z.; Xuan, Y. Analysis on interaction among solar light and suspended nanoparticles in nanofluids. J. Quant. Spectrosc. Radiat. Transf. 2021, 269, 107692. [Google Scholar]
- Sun, J.; Guo, L.; Jing, J.; Tang, C.; Lu, Y.; Fu, J.; Ullmann, A.; Brauner, N. Investigation on laminar pipe flow of a non-Newtonian Carreau-Extended fluid. J. Pet. Sci. Eng. 2021, 205, 108915. [Google Scholar] [CrossRef]
- Rashid, M.; Ansar, K.; Nadeem, S. Effects of induced magnetic field for peristaltic flow of Williamson fluid in a curved channel. Phys. A Stat. Mech. Appl. 2020, 553, 123979. [Google Scholar] [CrossRef]
- Nadeem, S.; Akram, S. Peristaltic flow of a Williamson fluid in an asymmetric channel. Communications in Nonlinear Sci. Num. Simul. 2010, 15, 1705–1716. [Google Scholar] [CrossRef]
- Almaneea, A. Numerical study on heat and mass transport enhancement in MHD Williamson fluid via hybrid nanoparticles. Alex. Eng. J. 2022, 61, 8343–8354. [Google Scholar] [CrossRef]
- Dadheech, A.; Parmar, A.; Agrawal, K.; Al-Mdallal, Q.; Sharma, S. Second law analysis for MHD slip flow for Williamson fluid over a vertical plate with Cattaneo-Christov heat flux. Case Stud. Therm. Eng. 2022, 33, 101931. [Google Scholar] [CrossRef]
- Asjad, M.I.; Zahid, M.; Inc, M.; Baleanu, D.; Almohsen, B. Impact of activation energy and MHD on Williamson fluid flow in the presence of bioconvection. Alex. Eng. J. 2022, 61, 8715–8727. [Google Scholar] [CrossRef]
- Shashikumar, N.; Madhu, M.; Sindhu, S.; Gireesha, B.; Kishan, N. Thermal analysis of MHD Williamson fluid flow through a microchannel. Int. Commun. Heat Mass Transf. 2021, 127, 105582. [Google Scholar] [CrossRef]
- Bhatti, M.M.; Rashidi, M.M.; Abbas, M.A. Analytic Study of Drug Delivery in Peristaltically Induced Motion of Non-Newtonian Nanofluid. J. Nanofluids 2016, 5, 920–927. [Google Scholar] [CrossRef]
- Abbas, M.A.; Bai, Y.; Rashidi, M.M.; Bhatti, M.M. Analysis of Entropy Generation in the Flow of Peristaltic Nanofluids in Channels with Compliant Walls. Entropy 2016, 18, 90. [Google Scholar] [CrossRef]
- Sinha, A.; Shit, G.C.; Ranjit, N.K. Peristaltic transport of MHD flow and heat transfer in an asymmetric channel: Effects of variable viscosity, velocity-slip and temperature jump. Alex. Eng. J. 2015, 54, 691–704. [Google Scholar] [CrossRef] [Green Version]
- Saleem, A.; Akhtar, S.; Alharbi, F.M.; Nadeem, S.; Ghalambaz, M.; Issakhov, A. Physical aspects of peristaltic flow of hybrid nano fluid inside a curved tube having ciliated wall. Results Phys. 2020, 19, 103431. [Google Scholar] [CrossRef]
- Riaz, A.; Bhatti, M.M.; Ellahi, R.; Zeeshan, A.; Sait, S.M. Mathematical Analysis on an Asymmetrical Wavy Motion of Blood under the Influence Entropy Generation with Convective Boundary Conditions. Symmetry 2020, 12, 102. [Google Scholar] [CrossRef] [Green Version]
- Abbas, M.A.; Bég, O.A.; Zeeshan, A.; Hobiny, A.; Bhatti, M.M. Parametric analysis and minimization of entropy generation in bioinspired magnetized non-Newtonian nanofluid pumping using artificial neural networks and particle swarm optimization. Therm. Sci. Eng. Prog. 2021, 24, 100930. [Google Scholar] [CrossRef]
- Afifi, N.A.S. Study of Peristaltic Flow for Different Cases. Ph.D. Thesis, Ain Shams University, Cairo, Egypt, 1998. [Google Scholar]
- Bhatti, M.M.; Abbas, M.A. Simultaneous effects of slip and MHD on peristaltic blood flow of Jeffrey fluid model through a porous medium. Alex. Eng. J. 2016, 55, 1017–1023. [Google Scholar] [CrossRef] [Green Version]
- Noreen, S.; Tripathi, D. Heat transfer analysis on electroosmotic flow via peristaltic pumping in non-Darcy porous medium. Therm. Sci. Eng. Prog. 2019, 11, 254–262. [Google Scholar] [CrossRef]
- Pattnaik, P.K.; Parida, S.K.; Mishra, S.R.; Abbas, M.A.; Bhatti, M.M. Analysis of Metallic Nanoparticles (Cu, Al2O3, and SWCNTs) on Magnetohydrodynamics Water-Based Nanofluid through a Porous Medium. J. Math. 2022, 2022, 3237815. [Google Scholar] [CrossRef]
- Hareli, S.; Nave, O.; Gol’dshtein, V. The Evolutions in Time of Probability Density Functions of Poly dispersed Fuel Spray—The Continuous Mathematical Model. Appl. Sci. 2021, 11, 9739. [Google Scholar] [CrossRef]
- Yang, M.; Abbas, M.A.; Khudair, W.S. Energy and Temperature-Dependent Viscosity Analysis on Magnetized Eyring-Powell Fluid Oscillatory Flow in a Porous Channel. Energies 2021, 14, 7829. [Google Scholar] [CrossRef]
- Nawaz, M.; Sadiq, M.A. Unsteady heat transfer enhancement in Williamson fluid in Darcy-Forchheimer porous medium under non-Fourier condition of heat flux. Case Stud. Therm. Eng. 2021, 28, 101647. [Google Scholar] [CrossRef]
- Hayat, T.; Saleem, A.; Tanveer, A.; Alsaadi, F. Numerical study for MHD peristaltic flow of Williamson nanofluid in an endoscope with partial slip and wall properties. Int. J. Heat Mass Transf. 2017, 114, 1181–1187. [Google Scholar] [CrossRef]
- Bhatti, M.M.; Arain, M.B.; Zeeshan, A.; Ellahi, R.; Doranehgard, M.H. Swimming of Gyrotactic Microorganism in MHD Williamson nanofluid flow between rotating circular plates embedded in porous medium: Application of thermal energy storage. J. Energy Storage 2022, 45, 103511. [Google Scholar] [CrossRef]
- Li, Y.-X.; Alshbool, M.H.; Lv, Y.-P.; Khan, I.; Khan, M.R.; Issakhov, A. Heat and mass transfer in MHD Williamson nanofluid flow over an exponentially porous stretching surface. Case Stud. Therm. Eng. 2021, 26, 100975. [Google Scholar] [CrossRef]
- Ahmed, K.; Akbar, T.; Muhammad, T.; Alghamdi, M. Heat transfer characteristics of MHD flow of Williamson nanofluid over an exponential permeable stretching curved surface with variable thermal conductivity. Case Stud. Therm. Eng. 2021, 28, 101544. [Google Scholar] [CrossRef]
- Salmi, A.; Madkhali, H.A.; Nawaz, M.; Alharbi, S.O.; Alqahtani, A. Numerical study on non-Fourier heat and mass transfer in partially ionized MHD Williamson hybrid nanofluid. Int. Commun. Heat Mass Transf. 2022, 133, 105967. [Google Scholar] [CrossRef]
- Shaaban, A.A.; Abou-Zeid, M.Y. Effects of Heat and Mass Transfer on MHD Peristaltic Flow of a Non-Newtonian Fluid through a Porous Medium between Two Coaxial Cylinders. Math. Probl. Eng. 2013, 2013, 819683. [Google Scholar] [CrossRef]
- Eldabe, N.T.; Mohamed, Y.A. Magnetohydrodynamic peristaltic flow with heat and mass transfer of mi-cropolar biviscosity fluid through a porous medium between two co-axial tubes. Arab. J. Sci. Eng. 2014, 39, 5045–5062. [Google Scholar] [CrossRef]
- Khudair, W.S.; Dheia Gaze, S.A. Influence of Heat Transfer on MHD Oscillatory Flow for Williamson Fluid with Variable Viscosity through a Porous Medium. Int. J. Fluid Mech. Therm. Sci. 2018, 4, 11–17. [Google Scholar] [CrossRef] [Green Version]
- Wissam, S.K.; Al-Khafajy, D.G. Influence of heat transfer on Magneto hydrodynamics oscillatory flow for Williamson fluid through a porous medium. Iraqi J. Sci. 2018, 59, 389–397. [Google Scholar]












| Parameters | Dimensions | Values |
|---|---|---|
| Radius of the inner cylinder | ||
| Radius of the outer cylinder | ||
| Capacitance of the Cylinder | ||
| Applied magnetic field | ||
| Average radius | ||
| R, Z | (Cylindrical coordinates) | R is the radical direction, and Z lies along the center line of the inner and outer tubes |
| Length | ||
| b | Amplitude of the peristaltic wave | Assumed as a constant |
| C | Wave propagation | |
| Time |
Publisher’s Note: MDPI stays neutral with regard to jurisdictional claims in published maps and institutional affiliations. |
© 2022 by the authors. Licensee MDPI, Basel, Switzerland. This article is an open access article distributed under the terms and conditions of the Creative Commons Attribution (CC BY) license (https://creativecommons.org/licenses/by/4.0/).
Share and Cite
Chen, L.; Abbas, M.A.; Khudair, W.S.; Sun, B. Analytical Solution for the MHD Flow of Non-Newtonian Fluids between Two Coaxial Cylinders. Symmetry 2022, 14, 953. https://doi.org/10.3390/sym14050953
Chen L, Abbas MA, Khudair WS, Sun B. Analytical Solution for the MHD Flow of Non-Newtonian Fluids between Two Coaxial Cylinders. Symmetry. 2022; 14(5):953. https://doi.org/10.3390/sym14050953
Chicago/Turabian StyleChen, Li, Munawwar Ali Abbas, Wissam Sadiq Khudair, and Bo Sun. 2022. "Analytical Solution for the MHD Flow of Non-Newtonian Fluids between Two Coaxial Cylinders" Symmetry 14, no. 5: 953. https://doi.org/10.3390/sym14050953
APA StyleChen, L., Abbas, M. A., Khudair, W. S., & Sun, B. (2022). Analytical Solution for the MHD Flow of Non-Newtonian Fluids between Two Coaxial Cylinders. Symmetry, 14(5), 953. https://doi.org/10.3390/sym14050953
