Interval Estimation for the Two-Parameter Exponential Distribution under Progressive Type II Censoring on the Bayesian Approach
Abstract
:1. Introduction
2. Credible Interval Estimation of Parameters
3. Simulation Study
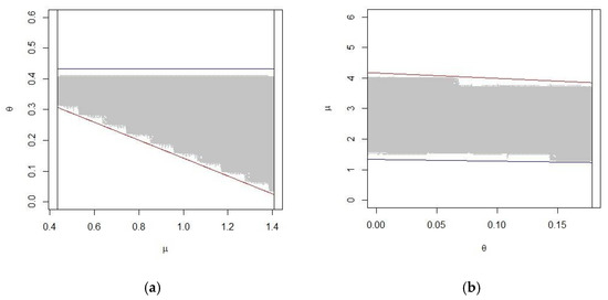
4. One Engineering Example
5. Conclusions
Funding
Institutional Review Board Statement
Informed Consent Statement
Data Availability Statement
Conflicts of Interest
Appendix A
| 0.1788 | 0.2892 | 0.3300 | 0.4152 | 0.4212 | 0.4560 | 0.4848 | 0.5184 | 0.6864 |
| 0.6888 | 0.8412 | 0.9312 | 0.9864 | 1.0512 | 1.0584 | 1.2792 | 1.2804 | 1.7840 |
References
- Balakrishnan, N.; Aggarwala, R. Progressive Censoring: Theory, Methods, and Applications; Birkhäuser: Boston, MA, USA, 2000. [Google Scholar]
- Cohen, A.C. Progressively censored samples in the life testing. Technometrics 1963, 5, 327–339. [Google Scholar] [CrossRef]
- Cohen, A.C.; Norgaard, N.J. Progressively censored sampling in the three parameter gamma distribution. Technometrics 1977, 19, 333–340. [Google Scholar] [CrossRef]
- Wu, S.F. Interval Estimation for the Two-Parameter Exponential Distribution based on the Doubly Type II Censored Sample. Qual. Quant. 2007, 41, 489–496. [Google Scholar] [CrossRef]
- Wu, S.F. Bayesian interval estimation for the two-parameter exponential distribution based on the right type II censored sample. Symmetry 2022, 14, 352. [Google Scholar] [CrossRef]
- Wang, Y.; Li, Y.; Zou, R.; Song, D. Bayesian infinite mixture models for wind speed distribution estimation. Energy Convers. Manag. 2021, 236, 113946. [Google Scholar] [CrossRef]
- Mohammed, H.S. Empirical E-Bayesian estimation for the parameter of Poisson distribution. AIMS Math. 2021, 6, 8205–8220. [Google Scholar] [CrossRef]
- Heidari, K.F.; Deiri, E.; Jamkhaneh, E.B. E-Bayesian and Hierarchical Bayesian Estimation of Rayleigh Distribution Parameter with Type-II Censoring from Imprecise Data. J. Indian Soc. Probab. Stat. 2022, 1–14. [Google Scholar] [CrossRef]
- Arekar, K.; Jain, J.; Kumar, S. Bayesian Estimation of System Reliability Models Using Monte-Carlo Technique of Simulation. J. Stat. Theory Appl. 2021, 20, 149–163. [Google Scholar] [CrossRef]
- Jana, N.; Bera, S. Interval estimation of multicomponent stress–strength reliability based on inverse Weibull distribution. Math. Comput. Simul. 2022, 191, 95–119. [Google Scholar] [CrossRef]
- Wu, S.F. Interval Estimation for the Two-Parameter Exponential Distribution under Progressive Censoring. Qual. Quant. 2010, 44, 181–189. [Google Scholar] [CrossRef]
- Lee, P.M. Bayesian Statistics: An Introduction; Arnold: London, UK, 1997. [Google Scholar]
- VanderPlas, J. Frequentism and Bayesianism: A Python-driven Primer. arXiv 2014. [Google Scholar] [CrossRef]
- Wu, S.F.; Chang, W.T. Bayesian testing procedure on the lifetime performance index of products following Chen lifetime distribution based on the progressive type-II censored sample. Symmetry 2021, 13, 1322. [Google Scholar] [CrossRef]
- Casella, G.; Berger, R.L. Statistical Inference, 2nd ed.; Duxbury Press: Pacific Grove, CA, USA, 2002. [Google Scholar]
- Lawless, J.F. Statistical Models and Methods for Lifetime Data; Wiley: New York, NY, USA, 1982. [Google Scholar]


| Confidence Region | |||||||||||
|---|---|---|---|---|---|---|---|---|---|---|---|
| Interval for θ | Method 1 | Method 2 | |||||||||
| Bayesian | non- Bayesian | Bayesian | non- Bayesian | Bayesian | non- Bayesian | ||||||
| n | m | 1 − α | (1) | (2) | (1) | (2) | (1) | (2) | |||
| 20 | 17 | ) | |||||||||
| 0.90 | 0.902 | 0.911 | 0.900 | 0.930 | 0.936 | 0.929 | 0.927 | 0.932 | 0.928 | ||
| 0.95 | 0.951 | 0.957 | 0.950 | 0.967 | 0.971 | 0.967 | 0.967 | 0.968 | 0.967 | ||
| ) | |||||||||||
| 0.90 | 0.912 | 0.889 | 0.899 | 0.930 | 0.937 | 0.928 | 0.927 | 0.933 | 0.927 | ||
| 0.95 | 0.950 | 0.957 | 0.950 | 0.967 | 0.970 | 0.966 | 0.967 | 0.968 | 0.967 | ||
| ) | |||||||||||
| 0.90 | 0.899 | 0.911 | 0.899 | 0.930 | 0.937 | 0.929 | 0.928 | 0.932 | 0.928 | ||
| 0.95 | 0.950 | 0.957 | 0.950 | 0.965 | 0.971 | 0.965 | 0.965 | 0.969 | 0.965 | ||
| 20 | 18 | ) | |||||||||
| 0.90 | 0.902 | 0.909 | 0.900 | 0.932 | 0.933 | 0.930 | 0.928 | 0.930 | 0.928 | ||
| 0.95 | 0.951 | 0.958 | 0.950 | 0.966 | 0.970 | 0.966 | 0.965 | 0.968 | 0.965 | ||
| ) | |||||||||||
| 0.90 | 0.900 | 0.911 | 0.899 | 0.929 | 0.935 | 0.929 | 0.927 | 0.931 | 0.927 | ||
| 0.95 | 0.950 | 0.957 | 0.950 | 0.965 | 0.970 | 0.965 | 0.964 | 0.967 | 0.964 | ||
| ) | |||||||||||
| 0.90 | 0.902 | 0.910 | 0.900 | 0.930 | 0.935 | 0.929 | 0.927 | 0.932 | 0.927 | ||
| 0.95 | 0.949 | 0.957 | 0.948 | 0.965 | 0.970 | 0.965 | 0.964 | 0.968 | 0.964 | ||
| 20 | 19 | ) | |||||||||
| 0.90 | 0.902 | 0.908 | 0.901 | 0.930 | 0.934 | 0.929 | 0.927 | 0.930 | 0.927 | ||
| 0.95 | 0.951 | 0.958 | 0.951 | 0.966 | 0.970 | 0.966 | 0.966 | 0.968 | 0.966 | ||
| ) | |||||||||||
| 0.90 | 0.902 | 0.909 | 0.900 | 0.929 | 0.936 | 0.929 | 0.926 | 0.931 | 0.926 | ||
| 0.95 | 0.950 | 0.957 | 0.950 | 0.965 | 0.970 | 0.965 | 0.964 | 0.967 | 0.964 | ||
| ) | |||||||||||
| 0.90 | 0.901 | 0.911 | 0.901 | 0.930 | 0.936 | 0.929 | 0.927 | 0.932 | 0.927 | ||
| 0.95 | 0.950 | 0.957 | 0.950 | 0.966 | 0.970 | 0.966 | 0.965 | 0.967 | 0.965 | ||
| 30 | 27 | ) | |||||||||
| 0.90 | 0.900 | 0.906 | 0.899 | 0.927 | 0.929 | 0.926 | 0.917 | 0.912 | 0.908 | ||
| 0.95 | 0.950 | 0.950 | 0.950 | 0.965 | 0.968 | 0.964 | 0.960 | 0.960 | 0.955 | ||
| ) | |||||||||||
| 0.90 | 0.902 | 0.906 | 0.900 | 0.928 | 0.931 | 0.926 | 0.918 | 0.913 | 0.908 | ||
| 0.95 | 0.950 | 0.953 | 0.950 | 0.965 | 0.967 | 0.964 | 0.960 | 0.960 | 0.954 | ||
| ) | |||||||||||
| 0.90 | 0.900 | 0.908 | 0.899 | 0.926 | 0.930 | 0.925 | 0.917 | 0.914 | 0.907 | ||
| 0.95 | 0.952 | 0.955 | 0.951 | 0.965 | 0.968 | 0.965 | 0.960 | 0.960 | 0.955 | ||
| 30 | 28 | ) | |||||||||
| 0.90 | 0.900 | 0.905 | 0. 899 | 0.925 | 0.929 | 0.924 | 0.915 | 0.912 | 0.906 | ||
| 0.95 | 0.950 | 0.953 | 0.950 | 0.964 | 0.967 | 0.960 | 0.960 | 0.960 | 0.955 | ||
| ) | |||||||||||
| 0.90 | 0.902 | 0.907 | 0.902 | 0.927 | 0.928 | 0.926 | 0.916 | 0.915 | 0.909 | ||
| 0.95 | 0.951 | 0.955 | 0.950 | 0.966 | 0.968 | 0.965 | 0.961 | 0.960 | 0.955 | ||
| ) | |||||||||||
| 0.90 | 0.902 | 0.906 | 0.902 | 0.928 | 0.931 | 0.927 | 0.918 | 0.918 | 0.910 | ||
| 0.95 | 0.951 | 0.954 | 0.950 | 0.965 | 0.966 | 0.965 | 0.960 | 0.960 | 0.955 | ||
| 30 | 29 | ) | |||||||||
| 0.90 | 0.901 | 0.905 | 0.899 | 0.926 | 0.929 | 0.925 | 0.915 | 0.915 | 0.908 | ||
| 0.95 | 0.950 | 0.955 | 0.950 | 0.965 | 0.966 | 0.964 | 0.960 | 0.956 | 0.954 | ||
| ) | |||||||||||
| 0.90 | 0.902 | 0.906 | 0.902 | 0.927 | 0.930 | 0.926 | 0.917 | 0.917 | 0.908 | ||
| 0.95 | 0.950 | 0.954 | 0.950 | 0.965 | 0.967 | 0.965 | 0.960 | 0.960 | 0.954 | ||
| ) | |||||||||||
| 0.90 | 0.900 | 0.905 | 0.898 | 0.926 | 0.930 | 0.924 | 0.916 | 0.919 | 0.907 | ||
| 0.95 | 0.950 | 0.955 | 0.949 | 0.965 | 0.968 | 0.964 | 0.960 | 0.960 | 0.954 | ||
Publisher’s Note: MDPI stays neutral with regard to jurisdictional claims in published maps and institutional affiliations. |
© 2022 by the author. Licensee MDPI, Basel, Switzerland. This article is an open access article distributed under the terms and conditions of the Creative Commons Attribution (CC BY) license (https://creativecommons.org/licenses/by/4.0/).
Share and Cite
Wu, S.-F. Interval Estimation for the Two-Parameter Exponential Distribution under Progressive Type II Censoring on the Bayesian Approach. Symmetry 2022, 14, 808. https://doi.org/10.3390/sym14040808
Wu S-F. Interval Estimation for the Two-Parameter Exponential Distribution under Progressive Type II Censoring on the Bayesian Approach. Symmetry. 2022; 14(4):808. https://doi.org/10.3390/sym14040808
Chicago/Turabian StyleWu, Shu-Fei. 2022. "Interval Estimation for the Two-Parameter Exponential Distribution under Progressive Type II Censoring on the Bayesian Approach" Symmetry 14, no. 4: 808. https://doi.org/10.3390/sym14040808
APA StyleWu, S.-F. (2022). Interval Estimation for the Two-Parameter Exponential Distribution under Progressive Type II Censoring on the Bayesian Approach. Symmetry, 14(4), 808. https://doi.org/10.3390/sym14040808

