Sandstone Modeling under Axial Compression and Axisymmetric Lateral Pressure
Abstract
:1. Introduction
2. Methodology
2.1. Compression of Brittle Material with Proportional Lateral Pressure
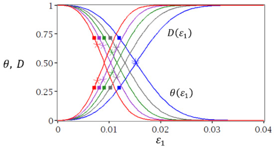
2.2. Residual Resource Function, Effective Area and Damage Function
2.3. Determination of the Effective Modulus of Elasticity
2.4. Effective Stress
2.5. Residual Resource Function, Effective Modulus of Elasticity and Apparent Modulus of Elasticity
2.6. Equation of the Stress–Strain Curve under Axial Compression with Proportional Lateral Pressure
3. Results Modeling and Comparison with Experiments Known in the Literature
3.1. Algorithm
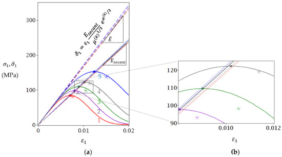
3.2. Example 1: Sandstone
- The full load–displacement compression curve with axisymmetric lateral proportional pressure in accordance with Figure 1a is analytically described by one Equation (28);
- The linear dependence for determining the effective stress of a brittle material is substantiated (31);
- The ratio of the effective and secant elastic modulus is established (18);
- Using the example of sandstone, it is proved that when compressing with proportional axisymmetric lateral pressure, the effective stress (32) is the ratio of two nonlinear functions (28) and (30), which leads to a linear dependence of the effective stress on the strain (32) for the values of the Poisson’s ratio and the ratio of axial compressive and lateral pressures corresponding to the physical meaning of the problem;
- The residual resource function for axial compression with lateral axially symmetric proportional pressure (30) is justified.
- With the use of the residual resource function, the damage function is proposed (31);
- The developed model implemented in the form of an algorithm (Section 3.1) is sufficiently adequate; however, this model does not take into account residual stresses appearing at the final stage of testing brittle materials for compression with lateral pressure. The appearance of residual stresses was recorded, for example, in the experiments of P. Y. Hou et al. [7]. Analysis of the conditions for the appearance of residual stresses using mathematical modeling may be a promising direction for the development of the topic.
3.3. Secant Modulus of Elasticity as a Physical Characteristic of the Material
4. Results and Discussion
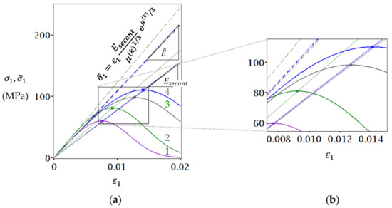
4.1. Example 2: Red Sandstone
4.2. Comments
5. Conclusions
Author Contributions
Funding
Institutional Review Board Statement
Informed Consent Statement
Data Availability Statement
Conflicts of Interest
Nomenclature
| Initial cross-sectional area of the sample | |
| Effective cross-sectional area of the sample | |
| Damage function | |
| Effective modulus of elasticity | |
| Secant modulus of elasticity | |
| Poisson’s ratio | |
| Parameter of proportional loading | |
| Confining (lateral) pressure | |
| Peak stress value on the experimental Stress–strain curve | |
| Axial strain corresponding to | |
| , | Effective stress |
| Residual resource function (Remainder resource function) |
References
- Mohammadnejad, M.; Liu, H.; Chan, A.; Dehkhoda, S.; Fukuda, D. An overview on advances in computational fracture mechanics of rock. Geosystem Eng. 2021, 24, 206–229. [Google Scholar] [CrossRef]
- Iskander, M.; Shrive, N. Fracture of brittle and quasi-brittle materials in compression: A review of the current state of knowledge and a different approach. Theor. Appl. Fract. Mech. 2018, 97, 250–257. [Google Scholar] [CrossRef]
- Oucif, C.; Mauludin, L.M. Continuum Damage-Healing and Super Healing Mechanics in Brittle Materials: A State-of-the-Art Review. Appl. Sci. 2018, 8, 2350. [Google Scholar] [CrossRef] [Green Version]
- Ju, M.; Li, X.; Li, X.; Zhang, G. A review of the effects of weak interfaces on crack propagation in rock: From phenomenon to mechanism. Eng. Fract. Mech. 2022, 263, 108297. [Google Scholar] [CrossRef]
- Huang, Y.H.; Yang, S.Q.; Tian, W.L.; Wu, S.Y. Experimental and DEM study on failure behavior and stress distribution of flawed sandstone specimens under uniaxial compression. Theor. Appl. Fract. Mech. 2022, 118, 103266. [Google Scholar] [CrossRef]
- Cai, M.; Hou, P.Y.; Zhang, X.W.; Feng, X.T. Post-peak stress–strain curves of brittle hard rocks under axial-strain-controlled loading. Int. J. Rock Mech. Min. Sci. 2021, 147, 104921. [Google Scholar] [CrossRef]
- Hou, P.Y.; Cai, M.; Zhang, X.W.; Feng, X.T. Post-peak Stress–Strain Curves of Brittle Rocks Under Axial and Lateral-Strain-Controlled Loadings. Rock Mech. Rock Eng. 2021, 147, 855–884. [Google Scholar] [CrossRef]
- Chen, X.; Yu, J.; Tang, C.; Li, H.; Wang, S. Experimental and Numerical Investigation of Permeability Evolution with Damage of Sandstone Under Triaxial Compression. Rock Mech. Rock Eng. 2017, 50, 1529–1549. [Google Scholar] [CrossRef]
- Zhang, Y.; Wang, L.; Zi, G.; Zhang, Y. Mechanical Behavior of Coupled Elastoplastic Damage of Clastic Sandstone of Different Burial Depths. Energies 2020, 13, 1640. [Google Scholar] [CrossRef] [Green Version]
- Li, H.; Wang, J.; Li, H.; Wei, S.; Li, X. Experimental Study on Deformation and Strength Characteristics of Interbedded Sandstone with Different Interlayer Thickness under Uniaxial and Triaxial Compression. Processes 2022, 10, 285. [Google Scholar] [CrossRef]
- Shahin, A.; Myers, M.T.; Hathon, L.A. Borehole Geophysical Joint Inversion to Fully Evaluate Shaly Sandstone Formations. Appl. Sci. 2022, 12, 1255. [Google Scholar] [CrossRef]
- Xu, T.; Fu, M.; Yang, S.Q.; Heap, M.J.; Zhou, G.L. A numerical meso-scale elasto-plastic damage model for modeling the deformation and fracturing of sandstone under cyclic loading. Rock Mech. Rock Eng. 2021, 54, 4569–4591. [Google Scholar] [CrossRef]
- Zhang, W.; Chen, Y.Y.; Guo, J.P.; Wu, S.S.; Yan, C.Y. Investigation into Macro-and Microcrack Propagation Mechanism of Red Sandstone under Different Confining Pressures Using 3D Numerical Simulation and CT Verification. Geofluids 2021, 2021, 2871687. [Google Scholar] [CrossRef]
- Mudunuru, M.K.; Panda, N.; Karra, S.; Srinivasan, G.; Chau, V.T.; Rougier, E.; Hunter, A.; Viswanathan, H.S. Surrogate Models for Estimating Failure in Brittle and Quasi-Brittle Materials. Appl. Sci. 2019, 9, 2706. [Google Scholar] [CrossRef] [Green Version]
- Wang, L.; Su, H.; Chen, S.; Qin, Y. Nonlinear dynamic constitutive model of frozen sandstone based on Weibull distribution. Adv. Civ. Eng. 2020, 2020, 6439207. [Google Scholar] [CrossRef]
- Yang, B.; Qin, S.; Xue, L.; Chen, H. The reasonable range limit of the shape parameter in the Weibull distribution for describing the brittle failure behavior of rocks. Rock Mech. Rock Eng. 2021, 54, 3359–3367. [Google Scholar] [CrossRef]
- Kolesnikov, G. Damage Function of a Quasi-Brittle Material, Damage Rate, Acceleration and Jerk during Uniaxial Compression: Model and Application to Analysis of Trabecular Bone Tissue Destruction. Symmetry 2021, 13, 1759. [Google Scholar] [CrossRef]
- Åström, J.A. Statistical models of brittle fragmentation. Adv. Phys. 2006, 55, 247–278. [Google Scholar] [CrossRef]
- Shah, K.S.; Mohd Hashim, M.H.; Rehman, H.; Ariffin, K.S. Application of Stochastic Simulation in Assessing Effect of Particle Morphology on Fracture Characteristics of Sandstone. J. Min. Environ. 2021, 12, 969–986. [Google Scholar]
- Wu, T.; Liu, Y.; Liu, X.; Zhang, B. Meso-scale stochastic modeling for mechanical properties of structural lightweight aggregate concrete. Mater. Struct. 2022, 55, 17. [Google Scholar] [CrossRef]
- Hu, B.; Zhang, Z.; Li, J.; Xiao, H.; Wang, Z. Statistical Damage Model of Rock Structural Plane Considering Void Compaction and Failure Modes. Symmetry 2022, 14, 434. [Google Scholar] [CrossRef]
- Drugan, W.J. Dynamic fragmentation of brittle materials: Analytical mechanics-based models. J. Mech. Phys. Solids 2001, 49, 1181–1208. [Google Scholar] [CrossRef]
- Kolesnikov, G.; Meltser, R. A Damage Model to Trabecular Bone and Similar Materials: Residual Resource, Effective Elasticity Modulus, and Effective Stress under Uniaxial Compression. Symmetry 2021, 13, 1051. [Google Scholar] [CrossRef]
- Baldwin, R.; North, M.A. Stress-Strain Curves of Concrete at High Temperature—A review. Fire Research Note, 1969, No. 785. 3-14. Available online: http://www.iafss.org/publications/frn/785/-1/view/frn_785.pdf (accessed on 18 October 2021).
- Li, Y.; Chen, Y.F.; Zhou, C.B. Effective stress principle for partially saturated rock fractures. Rock Mech. Rock Eng. 2016, 49, 1091–1096. [Google Scholar] [CrossRef]
- Stojković, N.; Perić, D.; Stojić, D.; Marković, N. New stress-strain model for concrete at high temperatures. Teh. Vjesn. 2017, 24, 863–868. [Google Scholar]
- Stepanova, L.V.; Igonin, S.A. Rabotnov damage parameter and description of delayed fracture: Results, current status, application to fracture mechanics, and prospects. J. Appl. Mech. Tech. Phys. 2015, 56, 282–292. [Google Scholar] [CrossRef]
- Wen, T.; Tang, H.; Ma, J.; Liu, Y. Energy Analysis of the Deformation and Failure Process of Sandstone and Damage Constitutive Model. KSCE J. Civ. Eng. 2019, 23, 513–524. [Google Scholar] [CrossRef]
- Zhao, B.; Li, Y.; Huang, W.; Yang, J.; Sun, J.; Li, W.; Zhang, L. Mechanical characteristics of red sandstone under cyclic wetting and drying. Environ. Earth Sci. 2021, 80, 738. [Google Scholar] [CrossRef]
- Kolesnikov, G. Analysis of Concrete Failure on the Descending Branch of the Load-Displacement Curve. Crystals 2020, 10, 921. [Google Scholar] [CrossRef]
- Vogler, U.; Stacey, T. The influence of test specimen geometry on the laboratory-determined Class II characteristics of rocks. J. S. Afr. Inst. Min. Metall. 2016, 116, 987–1000. [Google Scholar] [CrossRef] [Green Version]
- Huang, Z.; Gu, Q.; Wu, Y.; Wu, Y.; Li, S.; Zhao, K.; Zhang, R. Effects of confining pressure on acoustic emission and failure characteristics of sandstone. Int. J. Min. Sci. Technol. 2021, 31, 963–974. [Google Scholar] [CrossRef]
- Wang, Z.; Thomas, B.; Zhang, W.; Gu, D. A novel random angular bend (RAB) algorithm and DEM modeling of thermal cracking responses of sandstone. Geomech. Energy Environ. 2022, 100335. [Google Scholar] [CrossRef]
- Cheng, C.; Li, X.; Li, S.; Zheng, B. Failure Behavior of Granite Affected by Confinement and Water Pressure and Its Influence on the Seepage Behavior by Laboratory Experiments. Materials 2017, 10, 798. [Google Scholar] [CrossRef] [PubMed] [Green Version]
- Jia, C.; Zhang, Q.; Wang, S. Experimental Investigation and Micromechanical Modeling of Elastoplastic Damage Behavior of Sandstone. Materials 2020, 13, 3414. [Google Scholar] [CrossRef]
- Lin, Q.; Cao, P.; Wen, G.; Meng, J.; Cao, R.; Zhao, Z. Crack coalescence in rock-like specimens with two dissimilar layers and pre-existing double parallel joints under uniaxial compression. Int. J. Rock Mech. Min. Sci. 2021, 139, 104621. [Google Scholar] [CrossRef]
- Lin, Q.; Cao, P.; Meng, J.; Cao, R.; Zhao, Z. Strength and failure characteristics of jointed rock mass with double circular holes under uniaxial compression: Insights from discrete element method modelling. Theor. Appl. Fract. Mech. 2020, 109, 102692. [Google Scholar] [CrossRef]
- Lin, Q.; Cao, P.; Cao, R.; Lin, H.; Meng, J. Mechanical behavior around double circular openings in a jointed rock mass under uniaxial compression. Arch. Civ. Mech. Eng. 2020, 20, 19. [Google Scholar] [CrossRef] [Green Version]







| Step Number | What Is Calculated in a Step 2, …, 8 | Equations | Equations Label |
|---|---|---|---|
| 1 | We form the initial data: . We determine the coefficient of proportionality (Figure 1). Using this data, we perform the calculations indicated in the following paragraphs 2,…, 8. | ||
| 2 | Parameter | (5) | |
| 3 | Secant modulus of elasticity | (19) | |
| 4 | Effective modulus of elasticity | (18) | |
| 5 | Residual resource function | (30) | |
| 6 | Damage function | (31) | |
| 7 | Apparent stress | (28) | |
| 8 | Effective stress | (32) | |
| Sample Number | Poisson’s Ratio ν | (MPa) | Axial Stress Peak (MPa) | Axial Strain at the Peak | (MPa) | (MPa) | ||
|---|---|---|---|---|---|---|---|---|
| 1 | 0.17 | 0.00 | 84.03 | 0.0000 | 1.0000 | 0.00708 | 11,868 | 16,569 |
| 2 | 0.20 | 1.00 | 97.60 | 0.0102 | 1.0002 | 0.00804 | 12,139 | 16,946 |
| 3 | 0.21 | 2.50 | 109.5 | 0.0230 | 1.0007 | 0.00901 | 12,153 | 16,965 |
| 4 | 0.22 | 5.00 | 122.2 | 0.0409 | 1.0024 | 0.0102 | 11,980 | 16,724 |
| 5 | 0.22 | 10.00 | 149.7 | 0.0668 | 1.0062 | 0.0119 | 12,559 | 17,532 |
| Sample Number | Poisson’s Ratio ν | (MPa) | Axial Stress Peak (MPa) | Axial Strain at the Peak | (MPa) | (MPa) | ||
|---|---|---|---|---|---|---|---|---|
| 1 | 0.189 | 5 | 59.70 | 0.0838 | 1.0111 | 0.0076 | 7855 | 10,966 |
| 2 | 0.165 | 10 | 80.99 | 0.1235 | 1.0259 | 0.0092 | 8794 | 12,276 |
| 3 | 0.188 | 15 | 98.21 | 0.1527 | 1.0389 | 0.0127 | 7733 | 10,795 |
| 4 | 0.189 | 20 | 110.12 | 0.1816 | 1.0562 | 0.0141 | 7810 | 10,903 |
Publisher’s Note: MDPI stays neutral with regard to jurisdictional claims in published maps and institutional affiliations. |
© 2022 by the authors. Licensee MDPI, Basel, Switzerland. This article is an open access article distributed under the terms and conditions of the Creative Commons Attribution (CC BY) license (https://creativecommons.org/licenses/by/4.0/).
Share and Cite
Kolesnikov, G.; Gavrilov, T. Sandstone Modeling under Axial Compression and Axisymmetric Lateral Pressure. Symmetry 2022, 14, 796. https://doi.org/10.3390/sym14040796
Kolesnikov G, Gavrilov T. Sandstone Modeling under Axial Compression and Axisymmetric Lateral Pressure. Symmetry. 2022; 14(4):796. https://doi.org/10.3390/sym14040796
Chicago/Turabian StyleKolesnikov, Gennady, and Timmo Gavrilov. 2022. "Sandstone Modeling under Axial Compression and Axisymmetric Lateral Pressure" Symmetry 14, no. 4: 796. https://doi.org/10.3390/sym14040796
APA StyleKolesnikov, G., & Gavrilov, T. (2022). Sandstone Modeling under Axial Compression and Axisymmetric Lateral Pressure. Symmetry, 14(4), 796. https://doi.org/10.3390/sym14040796

