The Design of an Anti-Synchronization Control Algorithm for a 4D Laser System
Abstract
:1. Introduction
2. Preliminary
3. Problem Formulation
4. Methods and Materials
4.1. Stabilization Problem
4.2. Simultaneous Synchronization and Anti-Synchronization Problem
5. Results
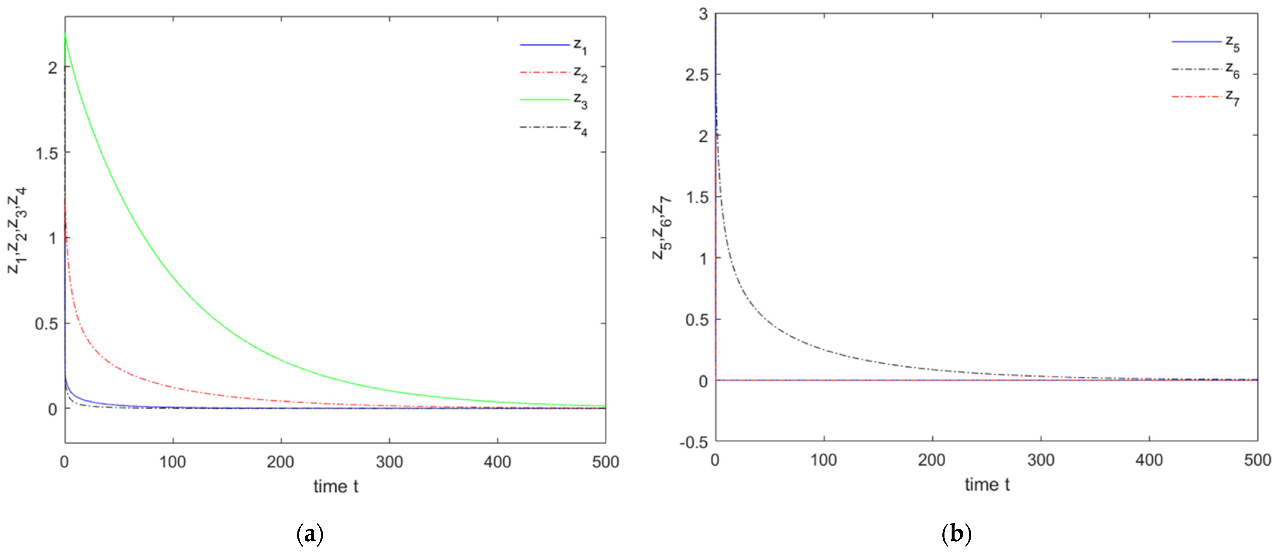
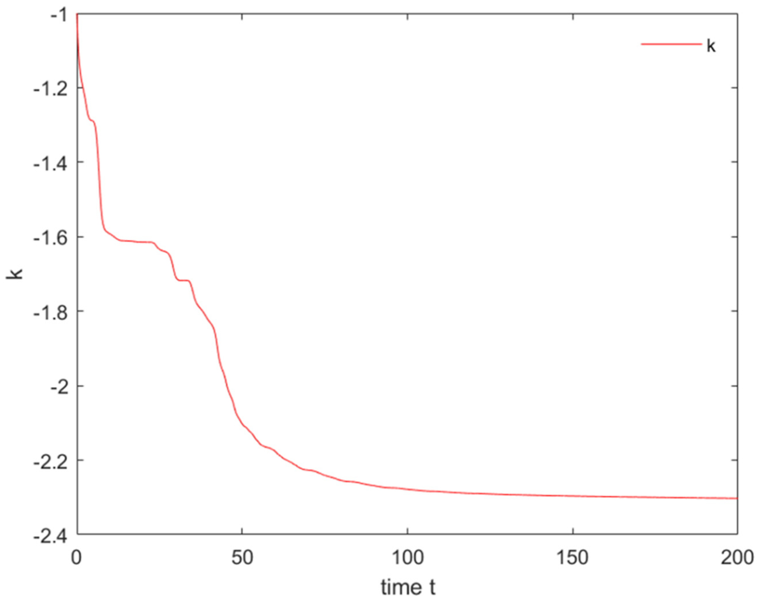
5.1. Simulation of Stabilization
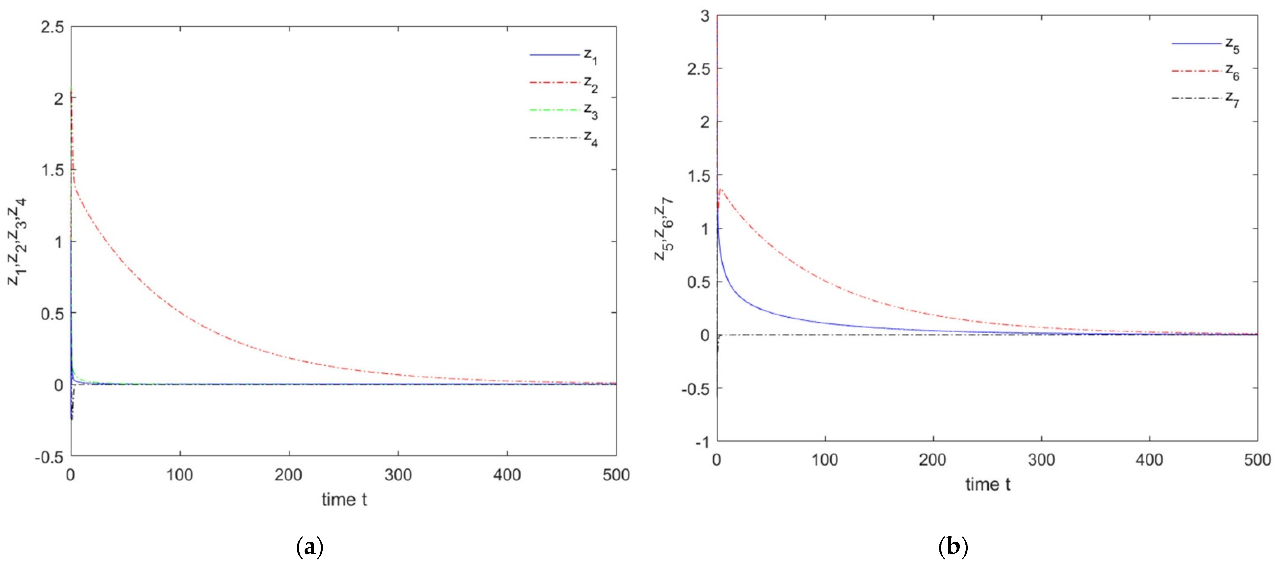
5.2. Simulation of Simultaneous Synchronization and Anti-Synchronization
5.3. Discussion
6. Conclusions
Author Contributions
Funding
Institutional Review Board Statement
Informed Consent Statement
Data Availability Statement
Conflicts of Interest
References
- Vishal, K.; Agrawal, S.K. On dynamics, existence of chaos, control and synchronization of novel complex chaotic system. Chin. J. Phys. 2017, 55, 519–532. [Google Scholar] [CrossRef]
- Guo, R. A simple adaptive controller for chaos and hyperchaos synchronization. Phys. Lett. A 2008, 372, 5593–5597. [Google Scholar] [CrossRef]
- Zhu, Z.Y.; Zhao, Z.S.; Zhang, J.; Wang, R.K.; Li, Z. Adaptive fuzzy control design for synchronization of chaotic time-delay system. Inf. Sci. 2020, 535, 17. [Google Scholar] [CrossRef]
- Sugitani, Y.; Zhang, Y.; Motter, A.E. Synchronizing Chaos with Imperfections. Phys. Rev. Lett. 2021, 126, 164101. [Google Scholar] [CrossRef]
- Fan, L.; Yan, X.; Wang, H.; Wang, L.V. Real-time observation and control of optical chaos. Sci. Adv. 2021, 7, eabc8448. [Google Scholar] [CrossRef] [PubMed]
- Liu, Y.Z.; Xie, Y.Y.; Ye, Y.C.; Zhang, J.P.; Wang, S.J.; Liu, Y.; Pan, G.F.; Zhang, J.L. Exploiting Optical Chaos With Time-Delay Signature Suppression for Long-Distance Secure Communication. IEEE Photonics J. 2017, 9, 12. [Google Scholar] [CrossRef]
- Heidarzadeh, S.; Shahmoradi, S.; Shahrokhi, M. Adaptive synchronization of two different uncertain chaotic systems with unknown dead-zone input nonlinearities. J. Vib. Control 2020, 26, 1956–1968. [Google Scholar] [CrossRef]
- Yuan, G.H.; Zhang, X.; Wang, Z.R. Generation and synchronization of feedback-induced chaos in semiconductor ring lasters by injection-lockking. Optik 2014, 125, 1950–1953. [Google Scholar] [CrossRef]
- Mahmoud, E.; Al-Harthi, B. A hyperchaotic detuned laser model with an infinite number of equilibria existing on a plane and its modified complex phase synchronization with time lag. Chaos Solitons Fractals 2020, 130, 109442. [Google Scholar] [CrossRef]
- Kashyap Anisha, R.V.; Kolwankar Kiran, M. Hyperchaos and synchronization in two element nonlinear chimney model. Chaos 2020, 30, 123114. [Google Scholar] [CrossRef]
- Nakamura, Y.; Sekiguchi, A. The chaotic mobile robot. IEEE Trans. Robot. Autom. 2001, 17, 898–904. [Google Scholar] [CrossRef]
- Martins-Filho, L.S.; Macau, E.E.N. Patrol Mobile Robots and Chaotic Trajectories. Math. Probl. Eng. 2014, 2007, 57–76. [Google Scholar] [CrossRef]
- Li, C.H.; Song, Y.; Wang, F.Y.; Wang, Z.Q.; Li, Y.B. A Chaotic Coverage Path Planner for the Mobile Robot, Based on the Chebyshev Map for Special Missions. Front. Inf. Technol. Electron. Eng. 2017, 18, 1305–1319. [Google Scholar] [CrossRef]
- Qiu, C.; Xiao, J.; Yu, L.; Han, L.; Iqbal, M.N. A Modified Interval Type-fuzzy Cmeans Algorithm with Application in MR Image Segmentation. Pattern Recognit. Lett. 2013, 34, 1329–1338. [Google Scholar] [CrossRef]
- Ren, L.; Guo, R.; Vincent, U.E. Coexistence of synchronization and anti-synchronization in chaotic systems. Arch. Control Sci. 2016, 26, 69–79. [Google Scholar] [CrossRef]
- Peng, R.; Jiang, C.; Guo, R. Partial Anti-Synchronization of the Fractional-Order Chaotic Systems through Dynamic Feedback Control. Mathematics 2021, 9, 718. [Google Scholar] [CrossRef]
- Guo, R. Projective synchronization of a class of chaotic systems by dynamic feedback control method. Nonlinear Dyn. 2017, 90, 53–64. [Google Scholar] [CrossRef]
- Guo, R.; Zhang, Y.; Jiang, C. Synchronization of Fractional-Order Chaotic Systems with Model Uncertainty and External Disturbance. Mathematics 2021, 9, 877. [Google Scholar] [CrossRef]
- Fang, J.; Jiang, M.; An, X.; Deng, W. Construction of laser complex chaotic system and synchronization of dot product Function projection. Complex Syst. Complex. Sci. 2021, 18, 30–37. (In Chinese) [Google Scholar]
- Buscarino, A.; Fortuna, L.; Patanè, L. Master-slave synchronization of hyperchaotic systems through a linear dynamic coupling. Phys. Rev. 2019, 100, 032215. [Google Scholar] [CrossRef] [PubMed]
- E Mahmoud, E.; A Al-Adwani, M. Complex anti-synchronization of two indistinguishable chaotic complex nonlinear models. Meas. Control 2019, 52, 922–928. [Google Scholar] [CrossRef] [Green Version]
- Meng, F.; Zeng, X.; Wang, Z. Impulsive anti-synchronization control for fractional-order chaotic circuit with memristor. Indian J. Phys. 2019, 93, 1187–1194. [Google Scholar] [CrossRef]
- Ren, B.; Zhong, Q.-C.; Dai, J. Asymptotic Reference Tracking and Disturbance Rejection of UDE-Based Robust Control. IEEE Trans. Ind. Electron. 2016, 64, 3166–3176. [Google Scholar] [CrossRef]
- Matsumoto, T. A Chaotic Attractor from Chua’s Circuit. IEEE Trans. Circuits Syst. 1985, 31, 1055–1058. [Google Scholar] [CrossRef]
- Dong, Y.; Ren, B. UDE-Based Variable Impedance Control of Uncertain Robot Systems. IEEE Trans. Syst. Man Cybern. Syst. 2017, 49, 2487–2498. [Google Scholar] [CrossRef]
- Khennaoui, A.-A.; Ouannas, A.; Bendoukha, S.; Grassi, G.; Wang, X.; Pham, V.-T.; Alsaadi, F.E. Chaos, control, and synchronization in some fractional-order difference equations. Adv. Differ. Equ. 2019, 2019, 412. [Google Scholar] [CrossRef] [Green Version]
- Guo, R.-W. Simultaneous Synchronization and Anti-Synchronization of Two Identical New 4D Chaotic Systems. Chin. Phys. Lett. 2011, 28, 040205. [Google Scholar] [CrossRef]
- Postnov, D.E.; Shishkin, A.V.; Sosnovtseva, O.V.; Mosekilde, E. Two-mode chaos and its synchronization properties. Phys. Rev. E 2005, 72, 056208. [Google Scholar] [CrossRef] [Green Version]















Publisher’s Note: MDPI stays neutral with regard to jurisdictional claims in published maps and institutional affiliations. |
© 2022 by the authors. Licensee MDPI, Basel, Switzerland. This article is an open access article distributed under the terms and conditions of the Creative Commons Attribution (CC BY) license (https://creativecommons.org/licenses/by/4.0/).
Share and Cite
Wang, Z.; Pan, J.; Ma, L.; Wang, G. The Design of an Anti-Synchronization Control Algorithm for a 4D Laser System. Symmetry 2022, 14, 710. https://doi.org/10.3390/sym14040710
Wang Z, Pan J, Ma L, Wang G. The Design of an Anti-Synchronization Control Algorithm for a 4D Laser System. Symmetry. 2022; 14(4):710. https://doi.org/10.3390/sym14040710
Chicago/Turabian StyleWang, Zuoxun, Jinhao Pan, Lei Ma, and Guijuan Wang. 2022. "The Design of an Anti-Synchronization Control Algorithm for a 4D Laser System" Symmetry 14, no. 4: 710. https://doi.org/10.3390/sym14040710
APA StyleWang, Z., Pan, J., Ma, L., & Wang, G. (2022). The Design of an Anti-Synchronization Control Algorithm for a 4D Laser System. Symmetry, 14(4), 710. https://doi.org/10.3390/sym14040710
