Next Article in Journal
An Evolutionary Numerical Method of Supply Chain Trust Networks with the Degree of Distribution
Previous Article in Journal
Determination of Vertical Accelerations in a Symmetrically Loaded Flat Car with Longitudinal Elastic-Frictional Beams
Previous Article in Special Issue
Hadron–Quark Phase Transition in the SU (3) Local Nambu–Jona-Lasinio (NJL) Model with Vector Interaction
 
 
Font Type:
Arial Georgia Verdana
Font Size:
Aa Aa Aa
Line Spacing:
Column Width:
Background:
Article

Topological Effects in a Fermionic Condensate Induced by a Cosmic String and Compactification on the AdS Bulk

by
Stefano Bellucci
1,†,
Wagner Oliveira dos Santos
1,2,†,
Eugenio R. Bezerra de Mello
2,† and
Aram A. Saharian
3,*
1
INFN, Laboratori Nazionali di Frascati, Via Enrico Fermi 54, 00044 Frascati, Italy
2
Departamento de Física, Universidade Federal da Paraíba, 58.059-970, Caixa Postal 5.008, João Pessoa 58059900, Brazil
3
Department of Physics, Yerevan State University, 1 Alex Manoogian Street, Yerevan 0025, Armenia
*
Author to whom correspondence should be addressed.
These authors contributed equally to this work.
Symmetry 2022, 14(3), 584; https://doi.org/10.3390/sym14030584
Submission received: 10 February 2022 / Revised: 10 March 2022 / Accepted: 14 March 2022 / Published: 16 March 2022
(This article belongs to the Special Issue Relativistic Gravity, Cosmology and Physics of Compact Stars)

Abstract

In this paper, we analyzed the fermionic condensate (FC) associated with a massive fermionic field on a five-dimensional anti-de Sitter (AdS) spacetime in the presence of a cosmic string taking into account a magnetic flux running along its core. In addition, a compactified dimension was considered. Due to this compactification, the FC is expressed in terms of two distinct contributions: the first one corresponds to the geometry without compactification, and the second one is induced by the compactification. Depending on the values of the physical parameters, the total FC can be positive or negative. As a limiting case, the expression for the FC on locally Minkowski spacetime was derived. It vanishes for a massless fermionic field, and the nonzero FC on the AdS background space in the massless case is an effect induced by gravitation. This shows that the gravitational field may essentially influence the parameter space for phase transitions. For a massive field, the FC diverges on the string as the inverse cube of the proper distance from the string. In the case of a massless field, depending on the magnetic flux along the string and planar angle deficit, the limiting value of the FC on the string can be either finite or infinite. At large distances, the decay of the FC as a function of the distance from the string is a power law for both cases of massive and massless fields. For a cosmic string on the Minkowski bulk and for a massive field, the decay is exponential. The topological part in the FC vanishes on the AdS boundary. We show that the FCs coincide for the fields realizing two inequivalent irreducible representations of the Clifford algebra. In the special case of the zero planar angle deficit, the results presented in this paper describe Aharonov–Bohm-type effects induced by magnetic fluxes in curved spacetime.

1. Introduction

The phenomenon of Fermi condensation is important in both condensed matter physics and quantum field theory. It plays a prominent role in the studies of superconductivity and phase transitions, in quantum chromodynamics, and in models of dynamical mass generation and symmetry breaking. The characteristic feature of the Fermi condensation is the appearance of a non-vanishing fermionic condensate (FC) defined as the expectation value ψ ¯ ψ . Various mechanisms for the formation of the FC have been considered in the literature. They include different kinds of interactions of fermionic fields, in particular the Nambu–Jona-Lasinio-type models with self-interacting fields. In some models, the FC is related to the gauge field condensate (gluon condensate in quantum chromodynamics). An interesting direction in the investigations of Fermi condensation is the dependence of the FC on the local geometry and topology of the background spacetime (see, for instance, [1,2,3,4,5,6,7,8,9,10,11,12,13,14] and the references therein). In particular, the boundary conditions in the presence of boundaries or periodicity conditions along compact dimensions imposed on the fields may either reduce or enlarge the parameter space for phase transitions. In some cases, they may exclude the possibility for the dynamical symmetry breaking.
In this present paper, we wanted to investigate the combined effects of the gravitational field and the nontrivial topology on the vacuum condensate for a massive spinor field. As the background geometry, we took a locally anti-de Sitter (AdS) spacetime, and two sources for the nontrivial topology were considered: the presence of an idealized cosmic string and a compactification of one of the spatial dimensions. Our choice of the AdS spacetime was mainly motivated by two reasons. The first one is related to its high symmetry (for the geometrical properties of the AdS spacetime and coordinate systems, see [15]) that allows obtaining exact expressions for the physical characteristics of the quantum vacuum. The investigation for the influence of the gravitational field on the properties of the vacuum in these types of exactly solvable problems will help to obtain an idea about the effects in more complicated geometries, including the cosmological and black hole backgrounds. The second motivation was due to the important role of the AdS spacetime in recent developments of theoretical physics. The latter include braneworld models with large extra dimensions and AdS/CFT correspondence. The braneworld scenario (see [16] for a review) was suggested as a geometrical solution to the hierarchy problem between the electroweak and Planckian energy scales. Most of the braneworld models are formulated in the AdS spacetime and contain branes on which a part of the fields is located. These models naturally appear in string theories and provide a new interesting framework for discussions of various problems in particle physics and cosmology. The second exciting development, the AdS/CFT correspondence [17,18], is an example of the realization of the holographic principle. It states the duality between the string or field theories on the AdS bulk and conformal field theory on the AdS boundary. This duality provides a unique possibility to investigate the strong coupling effects in the theory by mapping it to the weak coupling sector of the dual theory. Applications have been considered in string and field theories and in strong coupling problems of condensed matter physics.
The presence of compactified spatial dimensions is a general aspect of a number of models in high-energy physics, including string theories and supergravity, as well as of field theoretical models in condensed matter physics. The vacuum fluctuations associated with quantum fields along those dimensions are quantized, and consequently, contributions in the vacuum expectation values (VEVs) of physical observables appear that depend on the geometrical characteristics of the compactification. The effects of compactification on the properties of the quantum vacuum in locally AdS spacetime have been considered previously (for a recent review, see [19]). The vacuum energy, the Casimir forces, and the radion stabilization in braneworld models with compact dimensions were discussed in [20,21,22,23,24]. The Wightman function, the VEVs of the field squared, and energy–momentum tensor for a scalar field with general curvature coupling parameter were investigated in [25,26]. Considering the presence of extra compact subspace relaxes the fine-tunings of the fundamental parameters in braneworlds. For charged fields, among the interesting characteristic features of the compactification is the possibility for the appearance of nonzero currents along compact dimensions. These vacuum currents may serve as sources for large-scale cosmological magnetic fields. The results of the investigations of the VEVs of the current density in a locally AdS spacetime with an arbitrary number of toroidally compactified Poincaré spatial dimensions and in the presence of branes parallel with the AdS boundary were summarized in [27] for charged scalar and fermionic fields, respectively.
The second type of topological effects we considered here are induced by the presence of a cosmic string. This type of linear topological defects was formed during symmetry-breaking phase transitions in the early Universe [28,29] and lead to a number of interesting effects in astrophysics and cosmology. The latter include the gravitational lensing, the generation of gravitational waves, gamma ray bursts, and cosmic rays. Among the observable consequences of cosmic strings are small non-Gaussianities in the cosmic microwave background. More recently, a mechanism for the formation of fundamental cosmic superstrings was proposed within the framework of brane inflationary models (for reviews, see [30,31]). In the simplified model of a cosmic string, the local geometry outside its core is not changed, and the influence on the properties of the vacuum is purely topological. This influence has been investigated for scalar, fermionic, and electromagnetic fields, mainly in locally Minkowskian spacetime. The geometry of a cosmic string in the background of the AdS spacetime was considered in [32,33,34]. The vacuum polarization by a cosmic string in the AdS spacetime was investigated in [35,36] for scalar and fermionic fields, respectively. The scalar and fermionic vacuum currents around a cosmic string carrying a magnetic flux along its core in the background of the AdS spacetime with compactified spatial dimension were considered in [37,38]. The VEVs of the field squared and of the energy–momentum tensor in that geometry were discussed in [39]. The vacuum fermionic current induced by a magnetic flux running along the cosmic string on the AdS bulk in the presence of a brane parallel with the AdS boundary was studied as well [40].
This paper is organized as follows. In Section 2, we describe the problem and present the complete set of fermionic modes. Section 3 is devoted to the investigation of the FC in the geometry without compactification for a massive fermionic field realizing the irreducible representation of the Clifford algebra. The cosmic-string-induced contribution is explicitly extracted, and various asymptotic limits are considered. Applications are discussed in models invariant under the parity transformation and charge conjugation. The effects of the compactification of a spatial dimension on the FC are discussed in Section 4. The main results of the paper are summarized in Section 5.

2. Setup and Wave Functions

We considered the geometry of an idealized cosmic string, which corresponds to a linear topological defect with a zero thickness core in the background of a (1+4)-dimensional locally AdS spacetime. In cylindrical coordinate, this geometry is described by the following line element:
d s 2 = e 2 y / a d t 2 d r 2 r 2 d ϕ 2 d z 2 d y 2 .
The ranges for the polar coordinates ( r , ϕ ) are r 0 and ϕ [ 0 , ϕ 0 ] . As for the coordinates ( t , y ) , they are defined in the interval ( , ) ; moreover, we assumed the direction along the z-axis to be compactified to a circle of length L, so 0 z L . For a fixed value of the coordinate y, the line element (1) is reduced to the standard geometry of a (1+3)-dimensional cosmic string with planar angle deficit 2 π ϕ 0 compactified along its axis. For r > 0 , the metric tensor corresponding to (1) is a solution of the Einstein equation for gravitational fields in (1+4)-dimensional spacetime in the presence of a negative cosmological constant Λ . The latter determines the spacetime curvature scale as a = 6 / Λ . The core of the defect under consideration is given by the two-dimensional hypersurface r = 0 and is covered by the coordinates ( z , y ) . The corresponding spatial geometry is described by the line element d l c 2 = d y 2 + e 2 y / a d z 2 . The respective constant negative curvature two-dimensional surface is known as the Beltrami pseudosphere. In Figure 1, we display the defect core embedded in a three-dimensional Euclidean space with the coordinates ( X , Y , Z ) . The embedding can be realized in accordance with:
X = a f ( y ) cos φ , Y = a f ( y ) sin φ , Z = y y 0 + a ln 1 + 1 f 2 ( y ) a 1 f 2 ( y ) ,
where φ = 2 π z / L , f ( y ) = e y y 0 / a and y 0 = a ln L / 2 π a . Note that only the part of the core corresponding to the region y y 0 is embedded in a three-dimensional Euclidean space.
For r > 0 , the geometry given by (1) is conformally flat. That can be seen by introducing the Poincaré coordinate w defined by w = a e y / a . In this system of coordinates, the line element is explicitly related to the metric associated with a cosmic string in a flat space:
d s 2 = g μ ν d x μ d x ν = a w 2 d t 2 d r 2 r 2 d ϕ 2 d w 2 d z 2 ,
where w [ 0 , ) . The limiting values w = 0 and w = correspond to the AdS boundary and horizon, respectively. In this paper, we considered the coordinate system defined by x μ = ( t , r , ϕ , w , z ) , having a metric tensor defined in (3).
Our main objective was to study the influence of the cosmic string and compactification on the properties of the ground state for a spinor field. In the irreducible representation of the Clifford algebra, the latter is presented by a four-component spinor. In odd numbers of spacetime dimensions, there are two inequivalent irreducible representations. In (1+4)-dimensional spacetime, the corresponding set of flat spacetime Dirac matrices γ ( s ) ( b ) , b = 0 , 1 , 2 , 3 , 4 , can be constructed by adding to the set of the matrices { γ ( 0 ) , γ ( 1 ) , γ ( 2 ) , γ ( 3 ) } in (1+3)-dimensional spacetime the matrix s γ ( 4 ) = s γ ( 0 ) γ ( 1 ) γ ( 2 ) γ ( 3 ) . Here, s = ± 1 distinguish two inequivalent irreducible representations. Let us denote by ψ ( s ) the four-component field that realizes the irreducible representation with a given s. The corresponding Lagrangian density reads:
L ( s ) = ψ ¯ ( s ) i γ ( s ) μ μ + Γ μ ( s ) + i e A μ m ψ ( s ) ,
where ψ ¯ ( s ) = ψ ( s ) γ ( 0 ) is the Dirac adjoint, Γ μ ( s ) is the spin connection, and A μ is the vector potential for an external gauge field. The curved spacetime Dirac matrices are expressed in terms of the matrices γ ( s ) ( b ) as γ ( s ) μ = e ( b ) μ γ ( s ) ( b ) with vielbein fields e ( b ) μ . Here and below, the tensorial indices μ = 0 , 1 , 2 , 3 , 4 correspond to the coordinates ( t , r , ϕ , w , z ) , respectively.
For the matrices γ ( s ) μ , μ = 0 , 4 , we take γ ( s ) μ = ( w / a ) δ b μ γ ( s ) ( b ) with:
γ ( 0 ) = 0 i i 0 , γ ( + 1 ) ( 4 ) = γ ( 1 ) ( 4 ) = γ ( 4 ) = 0 i i 0 .
For the construction of the remaining matrices, we used the 3D flat space 2 × 2 Pauli matrices σ 1 , σ 2 , σ 3 in the cylindrical coordinate system ( r , ϕ , w ) :
σ l = i r l 1 0 ( 1 ) l 1 e i q ϕ e i q ϕ 0 ,
for l = 1 , 2 and σ 3 = diag ( 1 , 1 ) . From now on, we use the notation q = 2 π / ϕ 0 . In terms of those matrices, we take [38]:
γ ( s ) l = i ( w / a ) diag ( σ l , σ l ) , l = 1 , 2 , 3 .
Below, the simplified notations γ μ γ ( + 1 ) μ and Γ μ = Γ μ ( + 1 ) are used. The product γ ( s ) μ Γ μ ( s ) in the Lagrangian density (4) is presented as γ ( s ) μ Γ μ ( s ) = 2 γ 3 / w + ( 1 q ) γ 1 / ( 2 r ) , and it is the same for both representations.
The investigation of the FC for the fields with s = + 1 and s = 1 can be unified by passing to a new representation ψ ( s ) with ψ ( + 1 ) = ψ ( + 1 ) and ψ ( 1 ) = γ ( 4 ) ψ ( 1 ) , where the γ ( 4 ) matrix is given by (5). By using the relations γ ( 4 ) γ ( 1 ) μ γ ( 4 ) = γ μ and γ ( 4 ) γ ( s ) μ Γ μ ( s ) γ ( 4 ) = γ μ Γ μ , the Lagrangian density for the new fields is expressed as:
L ( s ) = ψ ¯ ( s ) i γ μ μ + Γ μ + i e A μ s m ψ ( s ) ,
and differs by the sign of the mass term for two irreducible representations. The investigation described below is presented in the representation (8), and the final result is translated for the initial fields ψ ( s ) .
The equation of motion corresponding to the Lagrangian density (8) (omitting the prime and the index ( s ) ) reads:
i γ μ μ + Γ μ + i e A μ ψ s m ψ = 0 .
The coordinate z is compactified, so besides the field equation, one needs to specify the periodicity condition that this field operator must obey along that direction. We considered the quasi-periodicity condition:
ψ ( t , r , ϕ , w , z + L ) = e 2 π i β ψ ( t , r , ϕ , w , z ) ,
with a constant parameter β determining the change in the phase of the transformed field. The special cases of untwisted and twisted fermionic fields correspond to β = 0 and β = 1 / 2 , respectively.
In this paper, we considered a simple configuration of the gauge field with the vector potential A μ = ( 0 , 0 , A 2 , 0 , A 4 ) with constant covariant components A 2 and A 4 . The component A 2 is related to a magnetic flux, Φ s , running along the string’s core by A 2 = q Φ s / ( 2 π ) . We can also introduce a magnetic flux Φ c related to the component A 4 as A 4 = Φ c / L . Formally, the latter can be interpreted as a magnetic flux enclosed by the compact dimension. It obtains a real physical meaning in the braneworld realization of the model, where the setup under consideration is embedded in a (1+5)-dimensional spacetime as a fermionic field localized on a hypersurface (brane).
We were interested in the influence of the gravitational field and of nontrivial spatial topology on the local properties of the fermionic vacuum. As an important local characteristic, the FC was considered. Another local characteristic, the VEV of the current density, was investigated in a recent publication [38]. The VEV of a physical observable bilinear in the field operator is expressed in terms of the mode sum over a complete set of solutions of the field equation. This set of solutions for the problem under consideration was given in [38], and we describe it to fix the notations and for further use in the evaluation of the FC.
Taking into account the cylindrical symmetry of the problem, the dependence of the positive and negative energy spinorial modes on the coordinates t and z can be taken in the form e i k z z i E t , where E > 0 . Decomposing the four-component spinor ψ into the upper and lower two-component ones, from the Dirac Equation (9), a second-order differential equation is obtained for each component. Separating the variables, it can be seen that the dependence on the coordinates r and w is given in terms of Bessel functions. Additional conditions relating two components of the spinor were imposed in order to uniquely specify the wave functions [41]. Denoting by σ the complete set of quantum numbers specifying the solutions, the positive and negative energy mode functions are presented as:
ψ σ ( ± ) ( x ) = C σ ( ± ) w 5 / 2 J β j ( λ r ) J ν 1 ( p w ) e i q ϕ / 2 s ϵ j κ η b η ( ± ) J β j + ϵ j ( λ r ) J ν 2 ( p w ) e i q ϕ / 2 i s κ η J β j ( λ r ) J ν 2 ( p w ) e i q ϕ / 2 ± i ϵ j b η ( ± ) J β j + ϵ j ( λ r ) J ν 1 ( p w ) e i q ϕ / 2 e i q j ϕ + i k z z i E t ,
where 0 λ , p < , j = ± 1 / 2 , ± 3 / 2 , , and J ν ( x ) corresponds to the cylinder Bessel function. The eigenvalues of the momentum k z along the axis z were determined by the quasiperiodicity condition (10) and are given by k z = k l = 2 π ( l + β ) / L , where l = 0 , ± 1 , ± 2 , . The energy E is written in terms of the quantum numbers by the equation:
E = λ 2 + p 2 + k ˜ l 2 ,
where:
k ˜ l = 2 π ( l + β ˜ ) / L , β ˜ = β Φ c / Φ 0 ,
Φ 0 = 2 π / e being the magnetic flux quantum. The notations appearing in the orders of the Bessel functions are given by:
β j = q | j + α | ϵ j / 2 , ν l = m a + ( 1 ) l s / 2 ,
being α = e A 2 / q = Φ s / Φ 0 and ϵ j = 1 for j > α and ϵ j = 1 for j < α . The coefficients κ η and b η ( ± ) , with η = 1 , + 1 , are defined by the relations:
κ η = 1 p k ˜ l + η k ˜ l 2 + p 2 , b η ( ± ) = 1 λ E η k ˜ l 2 + p 2 .
The normalization constant is given by the expression:
| C σ ( ± ) | 2 = η q p 2 λ 2 8 π a 4 L E κ η b η ( ± ) k ˜ l 2 + p 2 .
The complete set of quantum numbers σ is specified as σ = ( λ , p , j , l , η ) . Note that the mode functions (11) are the eigenfunctions of the projection of the total angular momentum on the w-axis with the eigenvalues q j :
J ^ 3 ψ σ ( ± ) ( x ) = i ϕ + q Σ 3 / 2 ψ σ ( ± ) ( x ) = q j ψ σ ( ± ) ( x ) ,
where Σ 3 = diag ( σ 3 , σ 3 ) .
In the discussion above, we used the coordinates ( t , r , ϕ , w , z ) . The corresponding coordinates in pure AdS spacetime with < z < + are referred to as Poincaré coordinates. Our choice of those coordinates was motivated by the fact that the braneworld models and the discussions of AdS/CFT correspondence employ the Poincaré patch. With 0 < w < + , the Poincaré coordinates cover half of the global AdS spacetime. The second half is covered by the coordinates ( t , r , ϕ , w , z ) with < w < 0 . The mode functions corresponding to that patch were obtained from (11) by an analytic continuation. The latter is reduced to the analytic continuation of the Bessel functions with the arguments p w . In a similar way, the expressions for the FC in the second Poincaré patch were obtained by a simple analytic continuation from the region w > 0 to the region w < 0 . In both Poincaré and global coordinates, time-like Killing vectors are present, and we can define the corresponding vacuum states. It is important to note that the Poincaré and global vacuum states are equivalent (see, for example, [42,43]).

3. Fermionic Condensate in the Uncompactified Geometry

The FC is defined as the vacuum expectation value 0 | ψ ¯ ψ | 0 ψ ¯ ψ , | 0 being the vacuum state (Poincaré vacuum), and ψ ¯ = ψ γ ( 0 ) is the Dirac adjoint. Note that in the definition of the Dirac adjoint γ ( 0 ) is the flat spacetime matrix (5). We started our investigation first considering the geometry where the z-direction is not compactified, < z < + . The fermionic vacuum polarization in the geometry of a straight cosmic string on the Minkowski bulk was investigated in [44,45,46,47]. The results of the investigations for the FC and VEV of the current density and energy–momentum tensor in (1+2)-dimensional conical spacetime with circular boundaries were summarized in [48].
In the geometry with the uncompactified z-direction, the corresponding fermionic mode functions are given by (11), where now, the momentum along the z-direction is continuous, < k z < + , and in the relations (12)–(16), the replacement k ˜ l k z should be made. In addition, in the normalization constant (16), one needs to replace L by 2 π . In order to calculate the FC, we expanded the field operator in terms of the complete set { ψ σ ( ) , ψ σ ( + ) } . By using the anticommutation relations for the creation and annihilation operators, we obtain:
ψ ¯ ψ = 1 2 σ χ = , + χ ψ ¯ σ ( χ ) ψ σ ( χ ) ,
where the summation goes over the complete set of quantum numbers as:
σ = j 0 d λ 0 d p d k z η = ± 1 .
From now on, we adopt the notation j = j = ± 1 / 2 , ± 3 / 2 , . The operators in the definition of the FC are given at the same spacetime point, and the expression in the right-hand side of (18) is divergent. Several regularization procedures can be employed to obtain a finite and well-defined expression. For example, we can use the point-splitting technique or a cutoff function can be introduced. The details of the evaluation procedure described below do not depend on the specific regularization method.
Substituting the mode functions in (18) for the FC in the uncompactified geometry, we obtain:
ψ ¯ ψ cs AdS = s q w 5 16 π 2 a 4 σ χ = , + χ η p 2 λ 2 E p 2 + k z 2 J ν 1 ( p w ) J ν 2 ( p w ) b η ( χ ) J β j 2 ( λ r ) b η ( χ ) J β j + ϵ j 2 ( λ r ) ,
where the property b η ( + ) b η ( ) = 1 was used. By taking into account the expression for b η ( ± ) and summing over η , this formula is simplified to:
ψ ¯ ψ cs AdS = s q w 5 4 π 2 a 4 j 0 d λ 0 d p d k z λ p 2 λ 2 + p 2 + k z 2 × J ν 1 ( p w ) J ν 2 ( p w ) J β j 2 ( λ r ) + J β j + ϵ j 2 ( λ r ) .
From here, it follows that the FC presents opposite signs for the fields with s = + 1 and s = 1 . Therefore, in this section, we considered the case s = + 1 , and, hence, in the corresponding expressions ν 1 = m a 1 / 2 and ν 2 = m a + 1 / 2 .
To obtain a more workable expression for (21), we used the identity:
1 λ 2 + p 2 + k z 2 = 2 π 0 d τ e τ 2 ( λ 2 + p 2 + k z 2 ) .
Plugging this into (21), the integrals over the quantum numbers λ , p, and k z were evaluated by using the results from [49]. After some intermediate steps and introducing a new integration variable y by y = r 2 / 2 τ 2 , we obtain:
ψ ¯ ψ cs AdS = q ( w / r ) 6 4 π 2 a 4 0 d x x 2 e ( 1 + ρ 2 ) x I ν 1 x / ρ 2 I ν 2 x / ρ 2 × j I β j x + I β j + ϵ j x ,
where I ν ( z ) represents the modified Bessel function [50]. In (23),
ρ = r / w
is the proper distance from the string, r p = a r / w , measured in units of a.
At this point, it is convenient to decompose the parameter α as:
α = α 0 + n 0 , | α 0 | < 1 / 2 ,
where n 0 is an integer. Note that if we shift j + n 0 j , the VEV (23) remains unchanged, which implies that it does not depend on the integer part n 0 . An integral representation for the part:
J ( q , α 0 , x ) = j I β j x + I β j + ϵ j x
is found by using the representation for the series j I β j ( x ) given in [51]. The representation reads:
J ( q , α 0 , x ) = 2 q e x + 4 π 0 d u h ( q , α 0 , 2 u ) sinh u cosh ( 2 q u ) cos ( q π ) e x cosh 2 u + 4 q k = 1 [ q / 2 ] ( 1 ) k cos ( π k / q ) cos ( 2 π k α 0 ) e x cos ( 2 π k / q ) ,
where [ q / 2 ] stands for the integer part of q / 2 and:
h ( q , α 0 , x ) = cos [ π q ( 1 / 2 + α 0 ) ] sinh [ ( 1 / 2 α 0 ) q x ] + cos [ π q ( 1 / 2 α 0 ) ] sinh [ ( 1 / 2 + α 0 ) q x ] .
The prime on the summation sign over k means that for even values of q, the term with k = q / 2 should be halved. In the case 1 q < 2 , the last term on the right-hand side of (27) must be discarded. Note that h ( q , α 0 , z ) and J ( q , α 0 , y ) are even functions of α 0 .
Introducing a new integration variable, the contribution to the condensate (23) coming from the term with e x in (27) is presented as:
ψ ¯ ψ AdS = 1 2 π 2 a 4 0 d x x 2 e x I ν 1 x I ν 2 x .
It does not depend on q and α 0 and corresponds to the FC in a pure (1+4)-dimensional AdS spacetime, i.e., in the absence of magnetic flux and a cosmic string. As we could expect from the maximal symmetry of the AdS spacetime, the latter does not depend on the spacetime point. It is of interest to compare the FC (29) with the condensate in the de Sitter (dS) spacetime. The latter was investigated in [52] for the Bunch–Davies vacuum state in a general number of spatial dimensions. Specified to the case of (1+4)-dimensional dS spacetime with the curvature radius a, the unregularized FC is expressed as:
ψ ¯ ψ dS = 1 π 3 a 4 0 d x x 2 e x Im K 1 / 2 i m a x ,
where K ν ( x ) is the Macdonald function. The expressions in the right-hand sides of (29) and (30) are divergent and need a regularization with further renormalization. For the regularization of (30) in [52], a cutoff function is introduced. The renormalization ambiguity is fixed by an additional condition, requiring lim m ψ ¯ ψ dS = 0 . The renormalized condensate ψ ¯ ψ ren dS is negative in spatial dimensions of 3, 5, and 6 and positive in four-dimensional space. The renormalization of the condensate (29) was performed in a way similar to that used in [52]. We addressed that point elsewhere.
We were interested in the effects induced by the cosmic string, and the corresponding contribution to the FC is given by:
ψ ¯ ψ cs = ψ ¯ ψ cs AdS ψ ¯ ψ AdS .
At this point, we want to mention that for r > 0 , the difference (31) is finite, and the regularization implicitly assumed before can be safely removed. The physical reason for the absence of the divergences in ψ ¯ ψ cs is that the local geometry in the region r > 0 was not changed by the cosmic string, and hence, new divergences would not arise. Substituting (27) into (23), we obtain:
ψ ¯ ψ cs = 1 π 2 a 4 0 d x x 2 e x I ν 1 x I ν 2 x × { k = 1 [ q / 2 ] ( 1 ) k cos ( π k / q ) cos ( 2 π k α 0 ) e 2 x ρ 2 sin 2 ( π k / q ) + q π 0 d u h ( q , α 0 , 2 u ) sinh u cosh ( 2 q u ) cos ( q π ) e 2 x ρ 2 cosh 2 u } .
The integral over x is valuated by using the integration formula from [49]:
0 d x x μ 1 e u x I ν ( x ) = 2 π e ( μ 1 / 2 ) π i Q ν 1 / 2 μ 1 / 2 ( u ) ( u 2 1 ) μ / 2 1 / 4 ,
where u > 1 and Q ν μ ( z ) represents the associated Legendre function [50]. After some intermediate steps, Equation (32) reads:
ψ ¯ ψ cs = 2 π 5 / 2 a 4 [ k = 1 [ q / 2 ] ( 1 ) k cos ( π k / q ) cos ( 2 π k α 0 ) Z m a ( u k ) + q π 0 d x h ( q , α 0 , 2 x ) sinh x cosh ( 2 q x ) cos ( q π ) Z m a ( u x ) ] .
Here, we introduced the notation:
Z m a ( u ) = F ν 1 ( u ) F ν 2 ( u ) ,
with the function:
F ν ( u ) = e i 5 π / 2 Q ν 1 / 2 5 / 2 ( u ) ( u 2 1 ) 5 / 4 ,
and the variables:
u k = 1 + 2 ρ 2 sin 2 ( π k / q ) , u x = 1 + 2 ρ 2 cosh 2 x .
Note that the FC ψ ¯ ψ cs depends on the coordinates r and w through the ratio (24). This property is a consequence of the maximal symmetry of the AdS spacetime.
For a massless field, the function Z m a ( u ) is expressed in terms of elementary functions:
Z 0 ( u ) = 3 π 4 ( 1 + u ) 5 / 2 .
Taking this expression into (34), we obtain:
ψ ¯ ψ cs = 3 16 π 2 a 4 [ k = 1 [ q / 2 ] ( 1 ) k cos ( π k / q ) cos ( 2 π k α 0 ) ( 1 + ρ 2 sin 2 ( π k / q ) ) 5 / 2 + q π 0 d x sinh x cosh ( 2 q x ) cos ( q π ) h ( q , α 0 , 2 x ) ( 1 + ρ 2 cosh 2 x ) 5 / 2 ] .
Near the string, ρ 1 , and for:
2 | α 0 | < 1 1 / q ,
the leading term in the expansion of the FC (39) is obtained directly putting ρ = 0 . In this case, the FC is finite on the string and:
ψ ¯ ψ cs | r = 0 = 3 h 0 ( q , α 0 ) 16 π 2 a 4 .
From now on, the notation:
h n ( q , α 0 ) = k = 1 [ q / 2 ] ( 1 ) k cos ( π k / q ) sin n ( π k / q ) cos ( 2 π k α 0 ) + q π 0 d x h ( q , α 0 , 2 x ) sinh x cosh ( 2 q x ) cos ( q π ) cosh n x ,
is introduced.
In the case of:
2 | α 0 | > 1 1 / q ,
the dominant contribution to the FC (39) is given by the integral term. In this case, we cannot directly put ρ = 0 because the integral diverges at the lower limit. It can be seen that the dominant contribution to the integral comes from the integration range x ln ( 1 / ρ ) . On the basis of this, we can show that, to the leading order,
ψ ¯ ψ cs q cos [ π q ( 1 / 2 | α 0 | ) ] 16 π 7 / 2 a 4 ρ / 2 1 + 2 | α 0 | 1 q Γ 2 + 1 / 2 | α 0 | q Γ 1 / 2 1 / 2 | α 0 | q ,
and the condensate (39) diverges on the string as 1 / ρ 1 + 2 | α 0 | 1 q . Note that under the condition (43), the leading term (44) is negative.
Another special situation corresponds to a magnetic flux in the absence of planar angle deficit. In this case, we take q = 1 . Denoting by ψ ¯ ψ mf = ψ ¯ ψ cs | q = 1 , the part in the FC induced by the magnetic flux, from (34), we obtain:
ψ ¯ ψ mf = 2 sin ( π α 0 ) π 7 / 2 a 4 0 d x sinh ( 2 α 0 x ) tanh ( x ) Z m a ( 1 + 2 ρ 2 cosh 2 x ) .
The expression for the function (42), specified for this case, takes the form:
h n ( 1 , α 0 ) = 1 π sin ( π α 0 ) 0 d x sinh ( 2 α 0 x ) cosh n + 1 x sinh x .
This expression should be used in the asymptotic estimates below for the magnetic-flux-induced contribution in the FC when the planar angle deficit is absent.
Now, let us return to the general case of the parameter q and analyze some asymptotic properties of the FC induced by the cosmic string. In the Minkowskian limit, we have a with y fixed. This implies in w a + y and m a 1 . In this limit, one needs the asymptotic behavior of the function Q ν 1 / 2 5 / 2 ( u ) for u 1 1 and ν 1 . In the literature, we could find only the leading term in the corresponding asymptotic expansion. The leading term is canceled in the corresponding expansion of the function Z m a ( u ) , and the next-to-leading order term is required. In our calculation, we used the representation (23) with the function J ( q , α 0 , y ) from (27). By using the uniform asymptotic expansion for the function I ν ( x ) for large values of the order, it can be seen that in the limit a , to the leading order, one finds:
0 d x x 2 e 1 + 2 b 2 / w 2 x I m a 1 / 2 ( x ) I m a + 1 / 2 ( x ) 2 π a 4 m 4 f 3 / 2 2 m b ,
with the notation f ν ( x ) = K ν ( x ) / x ν , K ν ( x ) being the Macdonald function [50]. For the FC induced by the cosmic string in (1+4)-dimensional Minkowski spacetime, this gives:
ψ ¯ ψ cs ( M ) = 2 m 4 π 5 / 2 [ q π 0 d x h ( q , α 0 , 2 x ) sinh x cosh ( 2 q x ) cos ( q π ) f 3 / 2 2 m r cosh x + k = 1 [ q / 2 ] ( 1 ) k cos ( π k / q ) cos ( 2 π k α 0 ) f 3 / 2 ( 2 m r sin ( π k / q ) ) ] .
Note that the function f 3 / 2 x is expressed in terms of elementary functions:
f 3 / 2 x = π 2 x + 1 x 3 e x .
For a massless field, the condensate (48) vanishes. This result is also seen from (39) taking the limit a with fixed y. Hence, the generation of the FC for a massless field is purely a gravitational effect.
For the case of small proper distances from the string, we have ρ 1 , and for a massive field, one obtains:
ψ ¯ ψ cs m h 3 ( q , α 0 ) 8 π 2 ( a r / w ) 3 .
As seen, in this case, the FC diverges on the string as 1 / r p 3 . The leading term (50) coincides with that for the string in the Minkowski bulk, given by (48), replacing the Minkowskian distance r by the proper distance r p = a r / w in the AdS bulk. This shows that for a massive field, the effects of gravity near the string are weak. At large distances from the string’s core, ρ 1 , with w fixed, we used the asymptotic:
Z m a ( u ) π ( m a + 1 / 2 ) ( m a + 3 / 2 ) 2 m a u m a + 5 / 2 ,
for u 1 . Plugging this into (34), to the leading order, we obtain:
ψ ¯ ψ cs m a + 1 / 2 ( m a + 3 / 2 ) 2 2 m a + 2 π 2 a 4 ( r / w ) 2 m a + 5 h 2 m a + 5 ( q , α 0 ) .
For a massless field, this result could also be directly obtained from (39). We see that the decay of the FC at a large distance from the string is a power law for both massless and massive fields. Note that, as seen from (48), in the Minkowski bulk at large distances, m r 1 , the FC decays exponentially.
By taking into account that the FC depends on the coordinates r and w in the form of the ratio r / w , from the asymptotic expressions given above for ρ 1 and ρ 1 , we can obtain the behavior of the condensate near the AdS boundary and horizon. For points near the boundary, assuming that w r , the leading term in the corresponding asymptotic expansion is given by (52), and the condensate ψ ¯ ψ cs vanishes on the AdS boundary as w 2 m a + 5 . Near the horizon, one has w r , and for a massive field, in accordance with (50), the contribution of the cosmic string to the FC diverges on the horizon as w 3 . For a massless field and under the condition (43), the divergence is weaker, ψ ¯ ψ cs w 1 + 2 | α 0 | 1 q . In the range of parameters 2 | α 0 | < 1 1 / q , the condensate ψ ¯ ψ cs is finite on the horizon with the limiting value given by the right-hand side of (41).
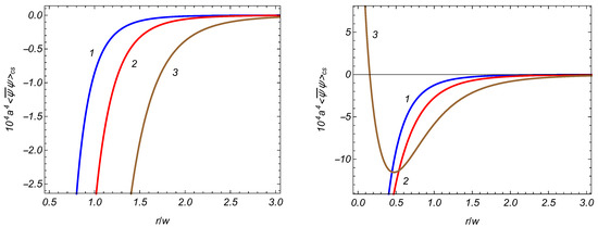
In Figure 2, we exhibit the behavior of the FC as a function of r / w in the geometry where the z-direction is not compactified. The graphs are plotted for α 0 = 0.3 , and the numbers near the curves correspond to the values of the parameter q. The left graph is for a massive fermionic field with m a = 1 , and the right graph is for a massless field. As has been already clarified by the asymptotic analysis, for a massive field, the condensate ψ ¯ ψ cs diverges on the string as ( w / r ) 3 . For a massless field, ψ ¯ ψ cs diverges as w / r 1 + 2 | α 0 | 1 q under the condition (43) (the curves with q = 1 , 2 on the right panel) and takes a finite value (41) on the string under the condition (40) (the curve q = 3 on the right panel). Note that for the case q = 3 on the right panel ψ ¯ ψ cs | r = 0 0.0095 / a 4 .
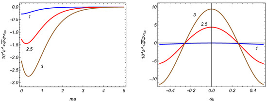
The left graph of Figure 3 presents the dependence of the FC ψ ¯ ψ cs on the mass of the field, in units of 1 / a , for r / w = 1.5 and α 0 = 0.3 . The right graph in Figure 3 exhibits the dependence of the FC ψ ¯ ψ cs on α 0 for fixed values of m a = 0.5 and r / w = 1.5 . On both graphs, the numbers near the curves correspond to the values of the parameter q.
We recall that the consideration above was presented in terms of the fields ψ ( s ) with the Lagrangian density (8), and the formulas given above are for the FC ψ ¯ ( s ) ψ ( s ) with s = + 1 . As shown above:
ψ ¯ ( 1 ) ψ ( 1 ) = ψ ¯ ( + 1 ) ψ ( + 1 ) .
Having the results for ψ ¯ ( s ) ψ ( s ) , we can obtain the corresponding quantity in terms of the initial fields ψ ( s ) with the Lagrangian density (4). By using the relation between the fields ψ ( s ) and ψ ( s ) , one can see that:
ψ ¯ ( s ) ψ ( s ) = s ψ ¯ ( s ) ψ ( s ) .
From here, we conclude that the FC ψ ¯ ( s ) ψ ( s ) is the same for two irreducible representations s = + 1 and s = 1 . For (1+4)-dimensional spacetime, the mass term in the Lagrangian density (4) is not invariant under the parity transformation (P) and charge conjugation (C). Invariant massive fermionic models can be constructed considering a system of two four-component fields ψ ( + 1 ) and ψ ( 1 ) with the Lagrangian density L = s = ± 1 L ( s ) . In those models, the total FC induced by the cosmic string in the uncompactified geometry was obtained by summing the separate contributions, s = ± 1 ψ ¯ ( s ) ψ ( s ) cs . These contributions coincide for the fields with s = + 1 and s = 1 and are given by the expressions for ψ ¯ ψ cs presented above.

4. Topological Effects of Compactification

In this section, we analyze the FC in the geometry with the compactified z-direction. The scalar and fermionic vacua polarizations around a compactified cosmic string in the Minkowski bulk were considered in [51,53]. The mode sum for the FC is still given by (18), where now, the mode functions are expressed as (11) and the collective summation is understood as:
σ = 0 d λ 0 d p j l = η = ± 1 .
Substituting the mode functions, in a way similar to (21), we find the representation:
ψ ¯ ψ = s q w 5 2 π a 4 L 0 d λ 0 d p j l = λ p 2 λ 2 + p 2 + k ˜ l 2 × J ν 1 ( p w ) J ν 2 ( p w ) J β j 2 ( λ r ) + J β j + ϵ j 2 ( λ r ) .
Again, the FC has opposite signs in the cases s = + 1 and s = 1 , and we continued the investigation for s = + 1 and, hence, in the discussion below ν 1 = m a 1 / 2 , ν 2 = m a + 1 / 2 .
In order to separate the contribution in the FC induced by the compactification of the z-direction, for the summation over l, we used the Abel–Plana-type formula [54]:
l = f ( | l + β ˜ | ) = 2 0 d u f ( u ) + i 0 d u n = ± 1 f ( i u ) f ( i u ) e 2 π ( u + i n β ˜ ) 1 ,
with the function f ( u ) = [ λ 2 + p 2 + ( 2 π u / L ) 2 ] 1 / 2 . Comparing with (21), we see that the contribution to the FC coming from the first integral in (57) coincides with the FC in the uncompactified geometry. In this way, the following decomposition is obtained:
ψ ¯ ψ = ψ ¯ ψ cs AdS + ψ ¯ ψ c ,
where the second term on the right-hand side comes from the second integral in (57) and contains the effects induced by the compactification. For that contribution, one obtains:
ψ ¯ ψ c = q w 5 2 π 2 a 4 0 d λ λ 0 d p p 2 j [ J β j 2 ( λ r ) + J β j + ϵ j 2 ( λ r ) ] × J ν 1 ( p w ) J ν 2 ( p w ) λ 2 + p 2 d x n = ± 1 x 2 λ 2 p 2 1 / 2 e L x + 2 π i n β ˜ 1 ,
where a new integration variable x = 2 π u / L is introduced. Note that for r > 0 , the topological part ψ ¯ ψ c is finite, and the implicit regularization assumed before can be removed. The renormalization is required for the part ψ ¯ ψ cs AdS only, and that was discussed in the previous section. The physical reason for the finiteness of ψ ¯ ψ c is that the structure of the divergences is completely determined by the local geometry, and the latter is not modified by the compactification under consideration.
For the further transformation of the condensate ψ ¯ ψ c , we used the expansion ( e u 1 ) 1 = l = 1 e l u in the integral over x. The integrals for a given l are expressed in terms of the Macdonald function, and one obtains:
ψ ¯ ψ c = q w 5 π 2 a 4 l = 1 cos ( 2 π l β ˜ ) 0 d p p 2 J ν 1 ( p w ) J ν 2 ( p w ) × j 0 d λ λ [ J β j 2 ( λ r ) + J β j + ϵ j 2 ( λ r ) ] K 0 ( l L λ 2 + p 2 ) .
Using the integral representation:
K ν ( z ) = 1 2 z 2 ν 0 d t e t z 2 / 4 t t ν + 1 ,
the integrals over λ and p in (60) are expressed through the modified Bessel function I ν x . With the notation (26), the compactification part in the FC is presented as:
ψ ¯ ψ c = q 2 π 2 a 4 l = 1 cos ( 2 π l β ˜ ) 0 d x x 2 e [ 1 + ρ 2 + ( l L ) 2 / 2 w 2 ] x × I ν 1 x I ν 2 x J ( q , α 0 , x ρ 2 ) .
In this expression, we introduced a new variable, x = 2 t w 2 / ( l L ) 2 .
Using the expression for the function J ( q , α 0 , x ) given in (27), we obtain:
ψ ¯ ψ c = 2 π 2 a 4 l = 1 cos ( 2 π l β ˜ ) 0 d x x 2 e [ 1 + ( l L ) 2 / 2 w 2 ] x I ν 1 ( x ) I ν 2 ( x ) × [ * k = 0 [ q / 2 ] ( 1 ) k cos ( π k / q ) cos ( 2 π k α 0 ) e 2 x ρ 2 sin 2 ( π k / q ) + q π 0 d u h ( q , α 0 , 2 u ) sinh u cosh ( 2 q u ) cos ( q π ) e 2 x ρ 2 cosh 2 u ] ,
where the asterisk sign in the summation over k in (63) indicates that the term k = 0 must be divided by two. The integral over x is evaluated by using the formula (33), and we obtain the final expression:
ψ ¯ ψ c = 2 3 / 2 π 5 / 2 a 4 l = 1 cos ( 2 π l β ˜ ) [ * k = 0 [ q / 2 ] ( 1 ) k cos ( π k / q ) cos ( 2 π k α 0 ) Z m a ( u l k ) + q π 0 d u h ( q , α 0 , 2 u ) sinh u cosh ( 2 q u ) cos ( q π ) Z m a ( u l u ) ] ,
where we defined new variables:
u l k = 1 + 2 ρ 2 sin 2 ( π k / q ) + ( l L ) 2 2 w 2 , u l u = 1 + 2 ρ 2 cosh 2 u + ( l L ) 2 2 w 2 ;
the function Z m a ( u ) is given by (35).
The compactification part (64) depends on r, L, w in the form of the ratios r / w and L / w . Again, that is a consequence of the maximal symmetry of the AdS spacetime. Note that L / w is the proper length of the compact dimension measured by an observer with a given value of the coordinate w. The k = 0 term in (64) is presented as:
ψ ¯ ψ c ( 0 ) = 2 π 5 / 2 a 4 l = 1 cos ( 2 π l β ˜ ) Z m a 1 + l 2 L 2 2 w 2 .
For q = 1 and α 0 = 0 , this part survives only in (64), and hence, it corresponds to the contribution in the FC induced by the compactification of the z-direction in the AdS bulk in the absence of the cosmic string. The remaining part in (64), corresponding to the difference ψ ¯ ψ c ψ ¯ ψ c ( 0 ) , is induced by the conical topology and magnetic flux. In the range (40) of the parameters, the topological contribution (64) is finite on the string:
ψ ¯ ψ c | r = 0 = 1 + 2 h 0 ( q , α 0 ) ψ ¯ ψ c ( 0 ) .
For 2 | α 0 | > 1 1 / q , the FC ψ ¯ ψ c diverges on the string as 1 / ρ 1 + 2 | α 0 | 1 q . This can be seen in a way similar to what we used for (44).
The topological part in the FC, induced by the cosmic string and by the compactification of the z-direction, is given by ψ ¯ ψ t = ψ ¯ ψ ψ ¯ ψ AdS , and it is presented as the sum:
ψ ¯ ψ t = ψ ¯ ψ cs + ψ ¯ ψ c .
By taking into account the Formulas (34) and (64), the corresponding expression reads:
ψ ¯ ψ t = ψ ¯ ψ c ( 0 ) 2 3 / 2 π 5 / 2 a 4 l = 0 cos ( 2 π l β ˜ ) [ k = 1 [ q / 2 ] ( 1 ) k cos ( π k / q ) cos ( 2 π k α 0 ) Z m a ( u l k ) + q π 0 d u h ( q , α 0 , 2 u ) sinh u cosh ( 2 q u ) cos ( q π ) Z m a ( u l u ) ] ,
where the prime on the summation sign over l means that the term with l = 0 should be taken with a coefficient of 1/2.
In the case of massless field, the expression (64) is simplified. By using (38), we obtain:
ψ ¯ ψ c = 3 8 π 2 a 4 l = 1 cos ( 2 π l β ˜ ) [ * k = 0 [ q / 2 ] ( 1 ) k cos ( π k / q ) cos ( 2 π k α 0 ) 1 + ρ 2 sin 2 ( π k / q ) + ( l L / w ) 2 / 4 5 / 2 + q π 0 d u sinh u cosh ( 2 q u ) cos ( q π ) h ( q , α 0 , 2 u ) 1 + ρ 2 cosh 2 u + ( l L / w ) 2 / 4 5 / 2 ] .
Similar to the straight cosmic string part (39), under the condition (40), the compactification contribution (70) is finite on the string:
ψ ¯ ψ c | r = 0 = 3 1 + 2 h 0 ( q , α 0 ) 16 π 2 a 4 l = 1 cos ( 2 π l β ˜ ) 1 + ( l L / 2 w ) 2 5 / 2 ,
and diverges as 1 / ρ 1 + 2 | α 0 | 1 q for 2 | α 0 | > 1 1 / q .
For the special case with q = 1 , which corresponds zero planar angle deficit, the contribution to the FC induced by the compactification of the z-coordinate is presented as:
ψ ¯ ψ c = 2 3 / 2 sin ( π α 0 ) π 7 / 2 a 4 l = 1 cos ( 2 π l β ˜ ) 0 d x tanh x × sinh ( 2 α 0 x ) Z m a ( 1 + 2 ρ 2 cosh 2 x + ( l L / w ) 2 / 2 ) .
The topological part of the FC is given by ψ ¯ ψ t = ψ ¯ ψ mf + ψ ¯ ψ c , where the FC induced by the magnetic flux in the uncompactified geometry is expressed as (45). For | α 0 | > 0 , the condensate (72) diverges on the location of the magnetic flux as 1 / ρ 2 | α 0 | . Other asymptotics are obtained from the corresponding expressions for general q with the function h n ( 1 , α 0 ) from (46).
In the Minkowskian limit, corresponding to a with fixed y, by using the result (47), we obtain:
ψ ¯ ψ c ( M ) = 2 3 / 2 π 5 / 2 m 4 l = 1 cos ( 2 π l β ˜ ) × [ * k = 0 [ q / 2 ] ( 1 ) k cos ( π k / q ) cos ( 2 π k α 0 ) f 3 / 2 2 m r 2 sin 2 ( π k / q ) + l 2 L 2 / 4 + q π 0 d u h ( q , α 0 , 2 u ) sinh u cosh ( 2 q u ) cos ( q π ) f 3 / 2 2 m r 2 cosh 2 u + l 2 L 2 / 4 ] ,
where the function f 3 / 2 ( x ) is given by (49). For a massless field, the topological contribution vanishes. Again, we see that the nonzero FC for a massless field on the AdS bulk is a gravitationally induced effect. Similar to the case of the AdS bulk, the k = 0 term in (73), given by:
ψ ¯ ψ c ( 0 ) ( M ) = 2 π 5 / 2 m 4 l = 1 cos ( 2 π l β ˜ ) f 3 / 2 m l L ,
is the FC in (1+4)-dimensional Minkowski spacetime with the compactified z-direction in the absence of the cosmic string. It does not depend on the radial coordinate. The part ψ ¯ ψ c ( M ) ψ ¯ ψ c ( 0 ) ( M ) is induced by the presence of the cosmic string, and for a massive field, it exponentially decays at large distances from the string.
Now, we want to investigate the behavior of the FC on the AdS bulk at a large distance from the string, ρ 1 . To do that, we use in (64) the asymptotic Formula (51). Then, by taking into account that for the leading term of the series over l one has:
l = 1 cos ( 2 π l β ˜ ) b 2 + l 2 x 2 m a + 5 / 2 1 2 b 2 m a + 5 , x 1 ,
the FC (64) is estimated as:
ψ ¯ ψ c ψ ¯ ψ c ( 0 ) + ( m a + 1 / 2 ) ( m a + 3 / 2 ) 2 2 m a + 2 π 2 a 4 ( r / w ) 2 m a + 5 h 2 m a + 5 ( q , α 0 ) .
We see that at large distances from the string, the contribution in ψ ¯ ψ c coming from the magnetic flux and from the planar angle deficit decays as ( w / r ) 2 m a + 5 . Comparing (76) with the corresponding expansion for the straight cosmic string part, given by (52), we see that the decay of the corresponding contribution in the total FC (given by ψ ¯ ψ ψ ¯ ψ AdS ψ ¯ ψ c ( 0 ) ) is stronger than in separate terms ψ ¯ ψ cs and ψ ¯ ψ c . As seen from (76), the contribution in the FC ψ ¯ ψ c induced by the cosmic string, as a function of the proper distance from the string, decays according to a power law. This behavior is in contrast to the exponential decay for the cosmic string in the Minkowski bulk.
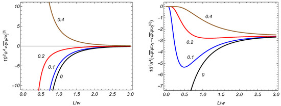
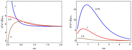
In Figure 4, the contribution in the FC, induced by the compactification, is plotted versus the radial distance from the string (left graph) and the mass of the field (right graph). For the plot on the left, we took m a = 1 , L / w = 1 , α 0 = 0.3 , β ˜ = 0.25 , and the numbers near the curves correspond to the values of q. For the plot on the right, the parameters are fixed as q = 2.5 , r / w = 1 , α 0 = 0.3 , β ˜ = 0.25 , and the numbers near the curves are the values of the ratio L / w . As explained above, under the condition (40), the FC ψ ¯ ψ c is finite on the string. This corresponds to the curve with q = 3 on the left graph. In the range of the parameters corresponding to 2 | α 0 | > 1 1 / q , the condensate ψ ¯ ψ c diverges on the string as 1 / r 1 + 2 | α 0 | 1 q , and this situation is exhibited by the curve with q = 1 on the left graph. For the curve with q = 2.5 , one has 2 | α 0 | = 1 1 / q , and the topological part is finite on the string. At large distances from the string, the condensate tends to the limiting value ψ ¯ ψ c ( 0 ) , which does not depend on q and α 0 . An interesting feature in the dependence on the mass is that the FC takes its maximum for some intermediate value of the mass. Of course, we could expect the suppression of the condensate for large masses.
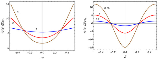
Figure 5 presents the part ψ ¯ ψ c in the FC as a function of α 0 (left graph) and of β ˜ (right graph). The left graph is plotted for m a = 0.5 , r / w = 0.5 , L / w = 1 , β ˜ = 0.25 , and the numbers near the curves correspond to the values of the parameter q. For the right graph, we took q = 2 , m a = 0.5 , r / w = 0.5 , α 0 = 0.2 , and the numbers near the curves are the values of the ratio L / w . Considered as a function of the parameter β ˜ , the FC and its first derivative with respect to β ˜ are continuous at half-integer values β ˜ = ± 1 / 2 , ± 3 / 2 , . This feature is seen from the right graph of Figure 5. Concerning the FC as a function of the parameter α (containing the dependence on the magnetic flux through the cosmic string core), it is continuous at α = ± 1 / 2 , ± 3 / 2 , , but its derivative with respect to α has discontinuities at those points.
Now, let us turn to the investigation of the FC in the asymptotic regions of the values for the compactification length. For L / w 1 and L / r 1 , we can use again the asymptotic expression for the function Z m a ( u ) given in (51). For the further estimate of the FC (64), two distinct cases should be analyzed separately. For 2 | α 0 | < 1 1 / q , to the leading order, we can omit the parts 1 + 2 ρ 2 sin 2 ( π k / q ) and 1 + 2 ρ 2 cosh 2 u in (65), and this gives:
ψ ¯ ψ c 2 ( 2 m a + 1 ) ( 2 m a + 3 ) π 2 a 4 ( L / w ) 2 m a + 5 1 + 2 h 0 ( q , α 0 ) l = 1 cos ( 2 π l β ˜ ) l 2 m a + 5 .
This leading term does not depend on the radial coordinate r. In the range of the parameters 2 | α 0 | > 1 1 / q , we cannot ignore 2 ρ 2 cosh 2 u with respect to ( l L / w ) 2 / 2 in the integral term (the integral would diverge). This means that the dominant contribution to the integral in (64) comes from large values of u with e u L / r . By using this fact, it can be shown that for 2 | α 0 | > 1 1 / q , the contribution of the integral term in (64) dominates, and to the leading order, the condensate ψ ¯ ψ c decays as ( w / r ) 2 m a + 5 ( r / L ) 2 m a + 4 + q 2 | α 0 | q . In this case, the decay of the compactification contribution as a function of 1 / L is weaker. Note that for the contribution ψ ¯ ψ c ( 0 ) , by using (51) in (66), in the limit L / w 1 , one obtains:
ψ ¯ ψ c ( 0 ) 2 ( 2 m a + 1 ) ( 2 m a + 3 ) π 2 a 4 ( L / w ) 2 m a + 5 l = 1 cos ( 2 π l β ˜ ) l 2 m a + 5 .
This leading term coincides with the part in (77) coming from the first term in the square brackets.
In order to find the asymptotic for small values of the ratio L / w 1 , it is convenient to provide an alternative representation for the topological part ψ ¯ ψ t . The latter is obtained by combining the representations (32) and (63) in (68) and by using the relation:
l = e l 2 L 2 x / 2 w 2 + 2 π i l β ˜ = w 2 π L x l = exp 2 w 2 π 2 L 2 x β ˜ l 2 .
This relation is a consequence of the Poisson resummation formula [55]. The required representation reads:
ψ ¯ ψ t = ψ ¯ ψ c ( 0 ) 2 w π 3 / 2 a 4 L 0 d x x 3 / 2 e x I ν 1 ( x ) I ν 2 ( x ) l = exp 2 w 2 π 2 L 2 x β ˜ l 2 × k = 1 [ q / 2 ] ( 1 ) k cos ( π k / q ) cos ( 2 π k α 0 ) e 2 x ρ 2 sin 2 ( π k / q ) + q π 0 d u h ( q , α 0 , 2 u ) sinh u cosh ( 2 q u ) cos ( q π ) e 2 x ρ 2 cosh 2 u .
For the the case of a massless field, one has I ν 1 ( x ) I ν 2 ( x ) = e x 2 / π x , and the integrals over x in (80) are expressed in terms of the function K 2 ( 4 π | β ˜ l | w 2 + r 2 b 2 / L ) with b = sin ( π k / q ) and b = cosh u for the parts coming from the sum over k and from the integral over u, respectively. For the first term in the right-hand side of (80), we used the representation (the k = 0 term in (63)):
ψ ¯ ψ c ( 0 ) = 1 π 2 a 4 l = 1 cos ( 2 π l β ˜ ) 0 d x x 2 e x I ν 1 ( x ) I ν 2 ( x ) e x ( l L ) 2 / 2 w 2 .
First, let us estimate this term for L / w 1 . Under this condition, the dominant contribution to (81) comes from the large values of x. From the corresponding asymptotic formulas for the modified Bessel function, one obtains I ν 1 x I ν 2 x a m x 3 / 2 e x / 2 π , and to the leading order, we obtain:
ψ ¯ ψ c ( 0 ) 2 m ( w / L ) 3 π 2 a 3 l = 1 cos ( 2 π l β ˜ ) l 3 .
The sum of the series in (82) becomes zero for β ˜ = β ˜ 0 0.231 . The leading term (82) is negative for | β ˜ | < β ˜ 0 and positive for β ˜ 0 < | β ˜ | 0.5 . The estimate of the last term in (80) essentially depends on β ˜ . The FC is a periodic function of β ˜ with the period one, and we considered the range | β ˜ | < 1 / 2 . For β ˜ = 0 , the main contribution gives the term l = 0 , and the second term in the right-hand side behaves as w / L . In this case, the first term is estimated as ψ ¯ ψ c ( 0 ) 2 m ( w / L ) 3 ζ ( 3 ) / ( π 2 a 3 ) , and it dominates in the total FC. For 0 < | β ˜ | < 1 / 2 , again, the contribution of the term l = 0 dominates. Additionally assuming that L r , we can see that the main contribution to the integral over x comes from the integration range near x w / L . Using the large argument asymptotic for the difference of the modified Bessel functions, we can see that the last term in (80) is suppressed by the factor L r / w 2 3 / 2 exp 4 π | β ˜ | r sin ( π / q ) / L for q 2 and by L r / w 2 3 / 2 e 4 π | β ˜ | r / L for 1 q < 2 . Hence, in all cases, for small values of the compactification length, the FC (80) is dominated by the first term in the right-hand side, and it behaves as ( w / L ) 3 .
In Figure 6, we display the dependence of the FC on the ratio L / w . In the graphs, we took q = 2.5 , m a = 0.5 , α 0 = 0.3 , r / w = 1 . Moreover, the numbers near the curves correspond to the values of the parameter β ˜ . The left graph presents the condensate ψ ¯ ψ c ( 0 ) for the special case of the problem with q = 1 and α 0 = 0 (AdS spacetime with a compact dimension in the absence of the cosmic string). On the right graph, we plot the difference ψ ¯ ψ t ψ ¯ ψ c ( 0 ) (see (69)), which presents the effects induced by the cosmic string in the AdS spacetime with a compact dimension. For β ˜ β ˜ 0 , the condensate ψ ¯ ψ c ( 0 ) behaves as ( w / L ) 3 for small values of L / w . For large values of that ratio, the FC decays as ( w / L ) 2 m a + 5 (see (78)). For small values of L / w and for β ˜ = 0 , we obtain ψ ¯ ψ t ψ ¯ ψ c ( 0 ) w / L , whereas for β ˜ 0 , one has an exponential suppression. For large values of L / w , the dominant contribution in ψ ¯ ψ t ψ ¯ ψ c ( 0 ) comes from the term l = 0 in (69), which coincides with the condensate ψ ¯ ψ cs , given by (34). All these features are confirmed by the numerical results in Figure 6.
Now, we turn to the asymptotics near the AdS boundary and horizon. For points near the AdS boundary, one has w L , r , and we use the representation (63). The dominant contribution to the integral over x comes from the region near the lower limit. Taking the expansion for the modified Bessel function for a small argument, for the leading term, we obtain:
ψ ¯ ψ c 4 2 m a + 3 2 m a + 1 π 2 a 4 w 2 m a + 5 l = 1 cos ( 2 π l β ˜ ) × * k = 0 [ q / 2 ] ( 1 ) k cos ( π k / q ) cos ( 2 π k α 0 ) [ l 2 L 2 + 4 r 2 sin 2 ( π k / q ) ] m a + 5 / 2 + q π 0 d u h ( q , α 0 , 2 u ) sinh u cosh ( 2 q u ) cos ( q π ) l 2 L 2 + 4 r 2 cosh 2 u m a 5 / 2 .
This shows that the compactification part in the FC vanishes on the AdS boundary as w 2 m a + 5 . As discussed in the previous section, a similar behavior takes place for the contribution ψ ¯ ψ cs (see (52)).
In the near-horizon region, one has w L , r and considering the cases of massive and massless fields separately. Again, for a massive field, we employed the representation (63). Now, the main contribution to the integral over x comes form the region with large values of x. For those x, one has:
I ν 1 x I ν 2 x m a e x 2 π x 3 / 2 ,
and the integrals over x are given in terms of the gamma function. For the leading-order term, we obtain:
ψ ¯ ψ c 2 m w 3 π 2 a 3 l = 1 cos ( 2 π l β ˜ ) * k = 0 [ q / 2 ] ( 1 ) k cos ( π k / q ) cos ( 2 π k α 0 ) l 2 L 2 + 4 r 2 sin 2 ( π k / q ) 3 / 2 + q π 0 d u h ( q , α 0 , 2 u ) sinh u cosh ( 2 q u ) cos ( q π ) l 2 L 2 + 4 r 2 cosh 2 u 3 / 2 .
As we can observe, near the horizon, ψ ¯ ψ c behaves as w 3 .
For a massless field, we used the Formula (70) for the analysis of the near-horizon asymptotic. The condensate ψ ¯ ψ c is a periodic function of the parameter β ˜ having a period equal to unity, and in that discussion, we assumed | β ˜ | 1 / 2 . The asymptotic is different for β ˜ 0 and β ˜ = 0 , and we started with the first case. Under the condition (40) and near the horizon, we can directly put ρ = 0 in (70). Then, the series over l is estimated by using (75) with b = 1 . To the leading order, this gives:
ψ ¯ ψ c 3 1 + 2 h 0 ( q , α 0 ) 32 π 2 a 4 .
By taking into account that, under same conditions, one has ψ ¯ ψ cs 3 h 0 ( q , α 0 ) / ( 4 π a 2 ) 2 , for the topological part in the FC, we obtain the asymptotic:
ψ ¯ ψ t 3 32 π 2 a 4 .
Recall that it was obtained under the conditions w L , r , β ˜ 0 , m = 0 and in the range (40) for the parameters. For w L , r , β ˜ 0 , m = 0 , and in the range (43), the contribution from the term containing the integral over u dominates in (70). The main contribution to the integral comes from the large values of u, and it can be seen that, in the leading order, ψ ¯ ψ c ψ ¯ ψ cs , where the asymptotic for ψ ¯ ψ cs is given by (44). Hence, the leading contributions coming from the separate terms in the right-hand side of the Formula (68) for the topological FC cancel each other. Related to that, for the investigation of the behavior of the condensate ψ ¯ ψ t in the special case under consideration, it is convenient to use the representation (80). The dominant contribution comes from the term ψ ¯ ψ c ( 0 ) in the right-hand side, and the result (86) is obtained for the leading term. Hence, unlike the separate contributions ψ ¯ ψ cs and ψ ¯ ψ c , for β ˜ 0 , the condensate ψ ¯ ψ t is finite in both regions (40) and (43).
It remains to consider the near-horizon behavior for a massless field with β ˜ = 0 . Under the condition (40), we substitute ρ = 0 in (70) and then, considering that the dominant contribution to the series comes from large l, replace the summation by the integration. In this way, we can see that ψ ¯ ψ c w / h 0 ( q , α 0 ) / ( 2 π 2 a 4 L ) . Combining this with the corresponding expression for ψ ¯ ψ cs from the previous section, one finds:
ψ ¯ ψ t 1 + 2 h 0 ( q , α 0 ) 4 π 2 a 4 L w .
In the range (43) and for β ˜ = 0 , the leading contribution in (70) comes from the term involving the integral over u. Estimating the latter in the way described above, we obtain:
ψ ¯ ψ c q 2 | α 0 | 1 q 1 w 16 π 2 a 4 L ρ / 2 2 | α 0 | 1 q + 1 .
In the same limit, the contribution ψ ¯ ψ cs behaves as 1 / ρ 2 | α 0 | 1 q + 1 . Hence, for a massless field with β ˜ = 0 , the near-horizon asymptotic is dominated by the contribution induced by the compactification and ψ ¯ ψ t ψ ¯ ψ c with ψ ¯ ψ c given in (88). In this case, the topological part in the FC behaves as w 2 1 2 | α 0 | q .
Let us recall that the analysis of the effects induced by the compactification of the z-direction was presented in this section in terms of the fields ψ ( s ) with the Lagrangian density (8). This means that the topological part we discussed above corresponds to the condensate ψ ¯ ( s ) ψ ( s ) c . As shown, it has opposite signs for the fields with s = + 1 and s = 1 . Returning to the initial representation with the fields ψ ( s ) , having the Lagrangian density (4), and by taking into account the relation ψ ¯ ( s ) ψ ( s ) c = s ψ ¯ ( s ) ψ ( s ) c , we concluded that the compactification contributions ψ ¯ ( s ) ψ ( s ) c coincide for the fields realizing two inequivalent irreducible representations of the Clifford algebra. In particular, the FC in the models invariant under the parity transformation and charge conjugation was obtained from the results given in this section with an additional coefficient of two.
In the model, we considered that only the interactions of the fermionic field are with the background gravitational and electromagnetic fields. The FC is an important quantity in theories involving fermions interacting with other quantum fields. In particular, the FC appears as an order parameter that governs the phase transitions in those theories. The results obtained in the present paper can be considered as the first step in considering the combined topological effects of cosmic strings and compactification in interacting theories. The topological contributions in the FC may lead to interesting effects such as the topological mass generation, symmetry restoration, and instabilities. For example, in models involving a scalar field φ ( x ) , with the interaction term in the Lagrangian density proportional to φ 2 ψ ¯ ψ , the formation of the nonzero FC leads to the term in the equation for the scalar field that is proportional to φ ψ ¯ ψ . This leads to the shift in the effective mass for φ ( x ) determined by the FC (for a similar discussion for two interacting scalar fields, see, e.g., [56,57]). To the leading order with respect to the scalar–fermion interaction, the mass shift is determined by the FC evaluated within the framework of the free-fermion model. Similar features may appear in Nambu–Jona-Lasinio-type four-fermion models with the self-interaction ( ψ ¯ ψ ) 2 (see, for example, [2,3,4,5,6,7,8,9,10,11]). Again, to the leading order, the shift in the fermionic mass was determined by the condensate we discussed above. Depending on the sign, the topological shift in the FC may lead to the restoration of the symmetries or to instabilities in interacting field theories.

5. Conclusions

In the present paper, we analyzed the combined effects associated with the gravitational field and spatial topology on the FC in (1+4)-dimensional spacetime. In order to have an exactly solvable problem, a highly symmetric background spacetime was considered with the locally AdS geometry. The nontrivial topology was implemented by the compactification of the z-coordinate and the presence of a cosmic string carrying a magnetic flux. For points outside the string’s core, the influences of the cosmic string and compactification were purely topological. In odd-dimensional spacetimes, one has two inequivalent irreducible representations of the Clifford algebra. In order to unify the investigation of the FCs for the corresponding fields, we passed to a new representation where the Dirac equations for those fields differ by the sign in front of the mass term.
First, we discussed the geometry where the z-direction has a trivial topology. The contribution induced in the FC by the cosmic string is expressed as (34), where the function Z m a ( u ) is expressed in terms of the associated Legendre function of the second kind. This contribution is an even periodic function of the magnetic flux inside the string core with the period equal to the flux quantum. The general expression for the string induced part, ψ ¯ ψ cs , was simplified to (39) for the case of a massless field. By the limiting transition, we obtained the FC around a cosmic string in (1+4)-dimensional Minkowski spacetime. For a massive field, the latter is given by (48), and it vanishes for a massless field. This shows that the nonzero FC on the AdS bulk for massless fermionic fields is the effect induced by the gravitational field. For massive fields and at small proper distances from the string, r p a , the leading term in the asymptotic expansion for ψ ¯ ψ cs is given by (50), and it diverges on the string as 1 / r p 3 . For a massless field on the AdS bulk, the condensate ψ ¯ ψ cs is finite on the string under the condition (40) and diverges as 1 / ρ 1 + 2 | α 0 | 1 q in the range of parameters 2 | α 0 | > 1 1 / q . At large distances from the string, the contribution ψ ¯ ψ cs decays as ( w / r ) 2 m a + 5 . Unlike the case of the Minkowski bulk, the fall-off in the AdS bulk is a power law for both massless and massive fields.
The effects induced by the compactification of the z-direction were studied in Section 4. The corresponding contribution to the FC was explicitly separated by using the summation Formula (57). For the general case of a massive field, it is given by the expression (64). For a massless field, the corresponding expression is further simplified to (70). Because of the maximal symmetry of the AdS spacetime, the dependence of the compactification part on the variables r, L, w enters in the form of the ratios r / w and L / w . The latter is the proper length of the compact dimensions in units of the curvature radius, measured by an observer with a given value of the coordinate w. In the absence of the planar angle deficit and of the magnetic flux, the term k = 0 , given by (66), survives only. The remaining part contains the effects induced by the conical topology associated with the cosmic string and also by the magnetic flux. For both a massive and massless field, the compactification contribution in the FC is finite on the string for 2 | α 0 | < 1 1 / q and diverges as 1 / ρ 1 + 2 | α 0 | 1 q under the condition (43). This behavior is similar to that for the part ψ ¯ ψ cs in the case of a massless field. As a limiting case, we obtained the compactification contribution for a cosmic string in the Minkowski bulk. For a massive field, it is given by the Formula (73) and vanishes for a massless field. Hence, for a cosmic string in the background of (1+4)-dimensional Minkowski spacetime with a compactified z-direction, the total FC vanishes for a massless field.
For the AdS bulk and at large proper distances from the string, the FC tends to the part ψ ¯ ψ c ( 0 ) , and the contribution induced by the cosmic string and magnetic flux decays as ( w / r ) 2 m a + 5 (see (76)). It is relevant to point out that the leading terms in the expansions of the parts ψ ¯ ψ cs and ψ ¯ ψ c cancel each other, and the decay of the contribution from planar angle deficit and magnetic flux in the total FC is stronger. For large values of the length of the compact dimension and under the condition (40), the compactification contribution decays as ( L / w ) 2 m a + 5 , and the leading term in the corresponding asymptotic expansion does not depend on the radial coordinate. In the range 2 | α 0 | > 1 1 / q and for large values of the compactification length, the contribution ψ ¯ ψ c behaves as ( w / r ) 2 m a + 5 ( r / L ) 2 m a + 4 + q 2 | α 0 | q . In order to investigate the FC for small values of the compactification radius, we provided an alternative representation (80) for the topological contribution. In this limit, the FC ψ ¯ ψ t is dominated by the part ψ ¯ ψ c ( 0 ) , and it behaves as ( w / L ) 3 . The part ψ ¯ ψ t ψ ¯ ψ c ( 0 ) is induced by the cosmic string and by the magnetic flux. Its behavior for a small compactification radius crucially depends on whether the parameter β ˜ , | β ˜ | < 1 / 2 , is zero or not. For β ˜ = 0 , one has ψ ¯ ψ t ψ ¯ ψ c ( 0 ) w / L , and the last term in the right-hand side of (80) is large, though subdominant to be compared with the contribution coming from ψ ¯ ψ c ( 0 ) . For 0 < | β ˜ | < 1 / 2 , the effects induced by the cosmic string and by the magnetic flux corresponding to the parameter α 0 are suppressed exponentially, by the factor exp [ 4 π | β ˜ | r sin ( π / q ) / L ] for q 2 and by e 4 π | β ˜ | r / L in the range 1 q < 2 . We note that in the special case of the absence of planar angle deficit, corresponding to q = 1 , the results presented in this paper describe Aharonov–Bohm-type effects induced by magnetic fluxes in the AdS spacetime. The separate contributions to the FC for this special case are given by the Formulas (45) and (72).
Both contributions in the FC, ψ ¯ ψ cs and ψ ¯ ψ c , tend to zero on the AdS boundary as w 2 m a + 5 . Their behavior is more diversified near the horizon, corresponding to large values of the coordinate w. For a massive field, the separate contributions behave as w 3 . The leading terms in the corresponding asymptotic expansions are proportional to the mass. For a massless field, these leading terms vanish, and the near-horizon behavior of the FC is essentially different for 0 < | β ˜ | 1 / 2 and for β ˜ = 0 . In the first case, both parts are finite on the horizon, and the limiting value for the topological condensate ψ ¯ ψ t is expressed by (86). For β ˜ = 0 and in the range of parameters (40), the leading term in the near-horizon expansion is given by (88), and the condensate behaves as ψ ¯ ψ t w . Under the condition (43), the divergence on the horizon is stronger, as w 2 1 2 | α 0 | q .

Author Contributions

Conceptualization, S.B., W.O.d.S., E.R.B.d.M. and A.A.S.; methodology, S.B., W.O.d.S., E.R.B.d.M. and A.A.S.; software, A.A.S.; formal analysis, S.B., W.O.d.S., E.R.B.d.M. and A.A.S.; investigation, S.B., W.O.d.S., E.R.B.d.M. and A.A.S.; writing—original draft preparation, S.B., W.O.d.S., E.R.B.d.M. and A.A.S.; writing—review and editing, S.B., W.O.d.S., E.R.B.d.M. and A.A.S.; project administration, E.R.B.d.M. and A.A.S.; funding acquisition, E.R.B.d.M. and A.A.S. All authors have read and agreed to the published version of the manuscript.

Funding

This research received no external funding.

Institutional Review Board Statement

Not applicable.

Informed Consent Statement

Not applicable.

Data Availability Statement

Not applicable.

Acknowledgments

A.A.S. was supported by Grant No. 20RF-059 and No. 21AG-1C047 of the Committee of Science of the Ministry of Education, Science, Culture and Sport RA. E.R.B.d.M. is partially supported by CNPQ under Grant No. 301.783/2019-3. W.O.d.S. thanks Coordenação de Aperfeiçoamento de Pessoal de Nível Superior (CAPES) for the financial support.

Conflicts of Interest

The authors declare no conflict of interest.

References

  1. Miransky, V.A.; Shovkovy, I.A. Quantum field theory in a magnetic field: From quantum chromodynamics to graphene and Dirac semimetals. Phys. Rept. 2015, 576, 1–209. [Google Scholar] [CrossRef]
  2. Klimenko, K.G. Phase structure of generalized Gross-Neveu models. Z. Phys. C 1988, 37, 457. [Google Scholar] [CrossRef]
  3. Elizalde, E.; Leseduarte, S.; Odintsov, S.D. Chiral symmetry breaking in the Nambu–Jona-Lasinio model in curved spacetime with a nontrivial topology. Phys. Rev. D 1994, 49, 5551–5558. [Google Scholar] [CrossRef] [PubMed]
  4. Inagaki, T.; Muta, T.; Odintsov, S.D. Dynamical symmetry breaking in curved spacetime. Prog. Theor. Phys. Suppl. 1997, 127, 93. [Google Scholar] [CrossRef]
  5. Vitale, P. Temperature-induced phase transitions in four-fermion models in curved space-time. Nucl. Phys. B 1999, 551, 490–510. [Google Scholar] [CrossRef]
  6. Ebert, D.; Klimenko, K.G.; Tyukov, A.V.; Zhukovsky, V.C. Finite size effects in the Gross-Neveu model with isospin chemical potential. Phys. Rev. D 2008, 78, 045008. [Google Scholar] [CrossRef]
  7. Abreu, L.M.; Malbouisson, A.P.C.; Malbouisson, J.M.C.; Santana, A.E. Finite-size effects on the chiral phase diagram of four-fermion models in four dimensions. Nucl. Phys. B 2009, 819, 127–138. [Google Scholar] [CrossRef]
  8. Ebert, D.; Klimenko, K.G. Cooper pairing and finite-size effects in a Nambu–Jona-Lasinio-type four-fermion model. Phys. Rev. D 2010, 82, 025018. [Google Scholar] [CrossRef]
  9. Khanna, F.C.; Malbouisson, A.P.C.; Malbouisson, J.M.C.; Santana, A.E. Phase transition in the massive Gross-Neveu model in toroidal topologies. Phys. Rev. D 2012, 85, 085015. [Google Scholar] [CrossRef]
  10. Flachi, A. Interacting fermions, boundaries, and finite size effects. Phys. Rev. D 2012, 86, 104047. [Google Scholar] [CrossRef]
  11. Flachi, A. Dual fermionic condensates in curved space. Phys. Rev. D 2013, 88, 085011. [Google Scholar] [CrossRef]
  12. Flachi, A.; Vitagliano, V. Symmetry breaking and lattice kirigami: Finite temperature effects. Phys. Rev. D 2019, 99, 125010. [Google Scholar] [CrossRef]
  13. Chu, C.-S.; Miao, R.-X. Fermion condensation induced by the Weyl anomaly. Phys. Rev. D 2020, 102, 046011. [Google Scholar] [CrossRef]
  14. Chu, C.-S.; Miao, R.-X. Weyl anomaly induced Fermi condensation and holography. J. High Energy Phys. 2020, 8, 134. [Google Scholar] [CrossRef]
  15. Griffiths, J.B.; Podolsky, J. Exact Space-Times in Einstein’s General Relativity; Cambridge University Press: Cambridge, UK, 2009. [Google Scholar]
  16. Maartens, R.; Koyama, K. Brane-world gravity. Living Rev. Relativ. 2010, 13, 5. [Google Scholar] [CrossRef] [PubMed]
  17. Aharony, O.; Gubser, S.S.; Maldacena, J.; Ooguri, H.; Oz, Y. Large N field theories, string theory and gravity. Phys. Rep. 2000, 323, 183–386. [Google Scholar] [CrossRef]
  18. Ammon, M.; Erdmenger, J. Gauge/Gravity Duality: Foundations and Applications; Cambridge University Press: Cambridge, UK, 2015. [Google Scholar]
  19. Saharian, A.A. Quantum vacuum effects in braneworlds on AdS bulk. Universe 2020, 6, 181. [Google Scholar] [CrossRef]
  20. Flachi, A.; Garriga, J.; Pujolàs, O.; Tanaka, T. Moduli stabilization in higher dimensional brane models. J. High Energy Phys. 2003, 8, 053. [Google Scholar] [CrossRef]
  21. Flachi, A.; Pujolàs, O. Quantum self-consistency of AdS × Σ brane models. Phys. Rev. D 2003, 68, 025023. [Google Scholar] [CrossRef]
  22. Elizalde, E.; Minamitsuji, M.; Naylor, W. Casimir effect in rugby-ball type flux compactifications. Phys. Rev. D 2007, 75, 064032. [Google Scholar] [CrossRef]
  23. Linares, R.; Morales-Técotl, H.A.; Pedraza, O. Casimir force for a scalar field in warped brane worlds. Phys. Rev. D 2008, 77, 066012. [Google Scholar] [CrossRef]
  24. Frank, M.; Saad, N.; Turan, I. Casimir force in Randall-Sundrum models with q + 1 dimensions. Phys. Rev. D 2008, 78, 055014. [Google Scholar] [CrossRef]
  25. Saharian, A.A. Wightman function and vacuum fluctuations in higher dimensional brane models. Phys. Rev. D 2006, 73, 044012. [Google Scholar] [CrossRef]
  26. Saharian, A.A. Bulk Casimir densities and vacuum interaction forces in higher dimensional brane models. Phys. Rev. D 2006, 73, 064019. [Google Scholar] [CrossRef]
  27. Bellucci, S.; Saharian, A.A.; Sargsyan, H.G.; Vardanyan, V.V. Fermionic vacuum currents in topologically nontrivial braneworlds: Two-brane geometry. Phys. Rev. D 2020, 101, 045020. [Google Scholar] [CrossRef]
  28. Kibble, T.W.B. Some implications of a cosmological phase transition. Phys. Rep. 1980, 67, 183. [Google Scholar] [CrossRef]
  29. Vilenkin, A.; Shellard, E.P.S. Cosmic Strings and Other Topological Defects; Cambridge University Press: Cambridge, UK, 1994. [Google Scholar]
  30. Copeland, E.J.; Pogosian, L.; Vachaspati, T. Seeking string theory in the cosmos. Class. Quantum Grav. 2011, 28, 204009. [Google Scholar] [CrossRef]
  31. Chernoff, D.F.; Henry Tye, S.-H. Inflation, string theory and cosmic strings. Int. J. Mod. Phys. D 2015, 24, 1530010. [Google Scholar] [CrossRef]
  32. Dehghani, M.H.; Ghezelbash, A.M.; Mann, R.B. Vortex holography. Nucl. Phys. B 2002, 625, 389. [Google Scholar] [CrossRef]
  33. Bayona, C.A.B.; Ferreira, C.N.; Vasquez Otoya, V.J. A conical deficit in the AdS4/CFT3 correspondence. Class. Quantum Grav. 2011, 28, 015011. [Google Scholar] [CrossRef]
  34. De Pádua Santos, A.; de Mello, E.R.B. Non-Abelian cosmic strings in de Sitter and anti-de Sitter space. Phys. Rev. D 2016, 94, 063524. [Google Scholar] [CrossRef]
  35. De Mello, E.R.B.; Saharian, A.A. Vacuum polarization induced by a cosmic string in anti-de Sitter spacetime. J. Phys. A Math. Theor. 2012, 45, 115402. [Google Scholar] [CrossRef][Green Version]
  36. De Mello, E.R.B.; Medeiros, E.R.F.; Saharian, A.A. Fermionic vacuum polarization by a cosmic string in anti-de Sitter spacetime. Class. Quantum Grav. 2013, 30, 175001. [Google Scholar] [CrossRef]
  37. Oliveira dos Santos, W.; Mota, H.F.; Bezerra de Mello, E.R. Induced current in high-dimensional AdS spacetime in the presence of a cosmic string and a compactified extra dimension. Phys. Rev. D 2019, 99, 045005. [Google Scholar] [CrossRef]
  38. Bellucci, S.; dos Santos, W.O.; de Mello, E.R.B. Induced fermionic current in AdS spacetime in the presence of a cosmic string and a compactified dimension. Eur. Phys. J. C 2020, 80, 963. [Google Scholar] [CrossRef]
  39. Dos Santos, W.O.; Bezerra de Mello, E.R.; Mota, H.F. Vacuum polarization in high-dimensional AdS space-time in the presence of a cosmic string and a compactified extra dimension. Eur. Phys. J. Plus 2020, 135, 27. [Google Scholar] [CrossRef]
  40. Bellucci, S.; dos Santos, W.O.; de Mello, E.R.B.; Saharian, A.A. Vacuum fermionic currents in braneworld models on AdS bulk with a cosmic string. J. High Energy Phys. 2021, 2, 190. [Google Scholar] [CrossRef]
  41. Bordag, M.; Khusnutdinov, N. A remark on bound states in conical spacetime. Class. Quantum Grav. 1996, 13, L41. [Google Scholar] [CrossRef]
  42. Danielsson, U.H.; Keski-Vakkuri, E.; Kruczenski, M. Vacua, propagators, and holographic probes in AdS/CFT. J. High Energy Phys. 1999, 1, 002. [Google Scholar] [CrossRef]
  43. Spradlin, M.; Strominger, A. Vacuum states for AdS2 black holes. J. High Energy Phys. 1999, 11, 021. [Google Scholar] [CrossRef]
  44. Frolov, V.P.; Serebriany, E.M. Vacuum polarization in the gravitational field of a cosmic string. Phys. Rev. D 1987, 15, 3779. [Google Scholar] [CrossRef] [PubMed]
  45. Dowker, J.S. Vacuum averages for arbitrary spin around a cosmic string. Phys. Rev. D 1987, 36, 3742. [Google Scholar] [CrossRef] [PubMed]
  46. Linet, B. Euclidean spinor Green’s functions in the space-time of a straight cosmic string. J. Math. Phys. 1995, 36, 3694. [Google Scholar] [CrossRef]
  47. Bezerra, V.B.; Khusnutdinov, N.R. The vacuum expectation value of the spinor massive field in the cosmic string spacetime. Class. Quantum Grav. 2006, 23, 3449. [Google Scholar] [CrossRef][Green Version]
  48. Saharian, A.; Petrosyan, T.; Hovhannisyan, A. Casimir effect for fermionic condensate in conical rings. Universe 2021, 7, 73. [Google Scholar] [CrossRef]
  49. Gradshteyn, I.S.; Ryzhik, I.M. Table of Integrals, Series and Products; Academic Press: New York, NY, USA, 1980. [Google Scholar]
  50. Abramowitz, M.; Stegun, I.A. (Eds.) Handbook of Mathematical Functions; Dover: New York, NY, USA, 1972. [Google Scholar]
  51. Bezerra de Mello, E.R.; Saharian, A.A. Fermionic current induced by magnetic flux in compactified cosmic string spacetime. Eur. Phys. J. C 2013, 73, 2532. [Google Scholar] [CrossRef]
  52. Saharian, A.A.; Bezerra de Mello, E.R.; Kotanjyan, A.S.; Petrosyan, T.A. Fermionic condensate in de Sitter spacetime. Astrophysics 2021, 64, 529. [Google Scholar] [CrossRef]
  53. Bellucci, S.; Bezerra de Mello, E.R.; De Padua, A.; Saharian, A.A. Fermionic vacuum polarization in compactified cosmic string spacetime. Eur. Phys. J. C 2014, 74, 2688. [Google Scholar] [CrossRef]
  54. Bellucci, S.; Saharian, A.; Bardeghyan, V. Induced fermionic current in toroidally compactified spacetimes with applications to cylindrical and toroidal nanotubes. Phys. Rev. D 2010, 82, 065011. [Google Scholar] [CrossRef]
  55. Pinsky, M.A. Introduction to Fourier Analysis and Wavelets; American Mathematical Soc.: Pacific Grove, CA, USA, 2008; Volume 102. [Google Scholar]
  56. Ford, L.H. Instabilities in interacting quantum field theories in non-Minkowskian spacetimes. Phys. Rev. D 1980, 22, 3003. [Google Scholar] [CrossRef]
  57. Toms, D.J. Symmetry breaking and mass generation by space-time topology. Phys. Rev. D 1980, 21, 2805. [Google Scholar] [CrossRef]
Figure 1. The core of the defect embedded in 3-dimensional Euclidean space with the coordinates ( X , Y , Z ) .
Figure 1. The core of the defect embedded in 3-dimensional Euclidean space with the coordinates ( X , Y , Z ) .
Symmetry 14 00584 g001
Figure 2. The FC ψ ¯ ψ cs as a function of r / w for a massive field (left graph), considering m a = 1 , and a massless one (right graph). The graphs are plotted for α 0 = 0.3 and for different values of q (numbers near the curves).
Figure 2. The FC ψ ¯ ψ cs as a function of r / w for a massive field (left graph), considering m a = 1 , and a massless one (right graph). The graphs are plotted for α 0 = 0.3 and for different values of q (numbers near the curves).
Symmetry 14 00584 g002
Figure 3. The condensate ψ ¯ ψ cs as a function of the mass (left graph) and of the parameter α 0 (right graph) for fixed r / w = 1.5 and for different values of q (numbers near curves). For the left graph, we considered α 0 = 0.3 , and for the right graph, m a = 0.5 .
Figure 3. The condensate ψ ¯ ψ cs as a function of the mass (left graph) and of the parameter α 0 (right graph) for fixed r / w = 1.5 and for different values of q (numbers near curves). For the left graph, we considered α 0 = 0.3 , and for the right graph, m a = 0.5 .
Symmetry 14 00584 g003
Figure 4. The part in the FC induced by compactification as a function of the radial distance from the string (left graph) and as a function of the mass (right graph). For both graphs, α 0 = 0.3 , β ˜ = 0.25 . The numbers near the curves are the values of the parameter q for the left graph and of the ratio L / w for the right graph. These figures are plotted taking m a = 1 , L / w = 1 and for q = 2.5 , r / w = 1 on the left and right graphs, respectively.
Figure 4. The part in the FC induced by compactification as a function of the radial distance from the string (left graph) and as a function of the mass (right graph). For both graphs, α 0 = 0.3 , β ˜ = 0.25 . The numbers near the curves are the values of the parameter q for the left graph and of the ratio L / w for the right graph. These figures are plotted taking m a = 1 , L / w = 1 and for q = 2.5 , r / w = 1 on the left and right graphs, respectively.
Symmetry 14 00584 g004
Figure 5. The condensate ψ ¯ ψ c versus the parameters α 0 and β ˜ . For both graphs, m a = 0.5 , r / w = 0.5 . The numbers near the curves are the values of the parameter q for the left graph and of the ratio L / w for the right graph. The figures are plotted for L / w = 1 , β ˜ = 0.25 and for q = 2 , α 0 = 0.2 on the left and right graphs, respectively.
Figure 5. The condensate ψ ¯ ψ c versus the parameters α 0 and β ˜ . For both graphs, m a = 0.5 , r / w = 0.5 . The numbers near the curves are the values of the parameter q for the left graph and of the ratio L / w for the right graph. The figures are plotted for L / w = 1 , β ˜ = 0.25 and for q = 2 , α 0 = 0.2 on the left and right graphs, respectively.
Symmetry 14 00584 g005
Figure 6. The contributions ψ ¯ ψ c ( 0 ) (left panel) and ψ ¯ ψ t ψ ¯ ψ c ( 0 ) (right panel) in the FC as functions of the length of the compact dimension. The numbers near the curves are the values of the parameter β ˜ . The values of the remaining parameters are given in the text.
Figure 6. The contributions ψ ¯ ψ c ( 0 ) (left panel) and ψ ¯ ψ t ψ ¯ ψ c ( 0 ) (right panel) in the FC as functions of the length of the compact dimension. The numbers near the curves are the values of the parameter β ˜ . The values of the remaining parameters are given in the text.
Symmetry 14 00584 g006
Publisher’s Note: MDPI stays neutral with regard to jurisdictional claims in published maps and institutional affiliations.

Share and Cite

MDPI and ACS Style

Bellucci, S.; Oliveira dos Santos, W.; Bezerra de Mello, E.R.; Saharian, A.A. Topological Effects in a Fermionic Condensate Induced by a Cosmic String and Compactification on the AdS Bulk. Symmetry 2022, 14, 584. https://doi.org/10.3390/sym14030584

AMA Style

Bellucci S, Oliveira dos Santos W, Bezerra de Mello ER, Saharian AA. Topological Effects in a Fermionic Condensate Induced by a Cosmic String and Compactification on the AdS Bulk. Symmetry. 2022; 14(3):584. https://doi.org/10.3390/sym14030584

Chicago/Turabian Style

Bellucci, Stefano, Wagner Oliveira dos Santos, Eugenio R. Bezerra de Mello, and Aram A. Saharian. 2022. "Topological Effects in a Fermionic Condensate Induced by a Cosmic String and Compactification on the AdS Bulk" Symmetry 14, no. 3: 584. https://doi.org/10.3390/sym14030584

APA Style

Bellucci, S., Oliveira dos Santos, W., Bezerra de Mello, E. R., & Saharian, A. A. (2022). Topological Effects in a Fermionic Condensate Induced by a Cosmic String and Compactification on the AdS Bulk. Symmetry, 14(3), 584. https://doi.org/10.3390/sym14030584

Note that from the first issue of 2016, this journal uses article numbers instead of page numbers. See further details here.

Article Metrics

Back to TopTop