Transactional Data Anonymization for Privacy and Information Preservation via Disassociation and Local Suppression
Abstract
1. Introduction
- We design a novel anonymization scheme for the vertical partition of transactional data. Our scheme is composed of problematic itemset identification and record chunk construction.
- Our proposed scheme employs local suppression and global partition to create the first -anonymous record chunk for preserving more combinations of items.
- Based on a real transactional dataset, comprehensive experiments are conducted. The results demonstrate that our scheme can preserve data utility more effectively than previous work.
2. Related Work
2.1. On Transactional Data Anonymization
2.2. On Bucketization Technique
2.3. On Suppression Technique
2.4. Summary of Related Work
3. Preliminary Concepts
4. Problem Definition
4.1. Analysis on Vertical Partition
4.1.1. Implementation Process of VERPART
- (1)
- Sort the items in , in descending order.
- (2)
- Remove the items with less than instances in , from , into the term chunk .
- (3)
- Construct the domain of items respecting each record chunk by adding the remaining items in into one by one by descending order, to examine whether the instances of the new combinations of any up to items appear at least times.
4.1.2. Data Quality Analysis
4.2. Solution Statement
- (i)
- DLS first identifies all itemsets violating -anonymity in each cluster and employs local suppression and global partition to eliminate them to construct the first -anonymous record chunk and the term chunk.
- (ii)
- Then, DLS recombines the globally partitioned items by enumerating all the itemsets meeting with -anonymity requirement and iteratively choosing the itemset with maximum size based on a greedy strategy as the domain of the new record chunk, to generate the remaining record chunks.
5. DLS Scheme and Algorithms
5.1. First Record Chunk Construction
5.1.1. Minimal Problematic Itemset Identification
5.1.2. Minimal Problematic Itemset Elimination
5.2. Remaining Record Chunk Construction
5.2.1. Itemset Creating
5.2.2. Itemset Reducing
- (1)
- randomly select an itemset with the maximum size as the current itemset;
- (2)
- delete the items that also exist both in the current itemset and the remaining itemsets;
- (3)
- repeat steps (1) and (2) until the remaining itemsets are all empty;
- (4)
- construct the remaining record chunks by projecting all the current itemsets created in each iteration, which compose the collection of item domains, to the correspondent cluster to be anonymized.
5.3. Anonymization Algorithms
5.3.1. First Record Chunk and Term Chunk Construction
- MPI Identification
| Algorithm 1 MPII algorithm. |
| Input: Cluster T, thresholds k and m |
| Output: The set of MPI P |
| 1: ; |
| 2: I 1; |
| 3: while do |
| 4: for each itemset I in do |
| 5: Scan T once to compute , for any ; |
| 6: if then |
| 7: if then |
| 8: Add I to ; |
| 9: else |
| 10: Add I to ; |
| 11: end if |
| 12: end if |
| 13: end for |
| 14: i++; |
| 15: Create candidate problematic itemsets by ; |
| 16: for each itemset do |
| 17: if is a super set of any itemset in then |
| 18: Remove from ; |
| 19: end if |
| 20: end for |
| 21: end while |
| 22: return ; |
- 2.
- MPI Elimination
| Algorithm 2 MPIE algorithm. |
| Input: Cluster , the MPI set P, thresholds k and m |
| Output: The first record chunk , the term chunk respecting cluster and items excluded from and |
| 1: ; |
| 2: ; |
| 3: ; |
| 4: ; |
| 5:; |
| 6: ; |
| 7: Create the first record chunk by projecting to ; |
| 8: ; |
| 9: return ; |
| Algorithm 3. |
| 1: ; |
| 2: while do |
| 3: for each do |
| 4: for each do |
| 5: if then |
| 6: ; |
| 7: end if |
| 8: Calculate by Formula (1); |
| 9: end for |
| 10: end for |
| 11: the item with the highest AG; |
| 12: if then |
| 13: Remove all instances of in ; |
| 14: ; |
| 15: else |
| 16: Remove instances of from ; |
| 17: end if |
| 18: Update by deleting all the eliminated MPI when removal of , from ; |
| 19: end while |
| 20: ; |
| 21: return ; |
| Algorithm 4. |
| 1: ; |
| 2: Remove all items, except , in from ; |
| 3:all possible itemsets containing with length of at most generated from ; |
| 4: Scan once to compute for each itemset ; |
| 5: for each with do |
| 6: if then |
| 7: return false; |
| 8: end if |
| 9: end for |
| 10: return true; |
5.3.2. Remaining Record Chunk Construction
| Algorithm 5 RRCC algorithm. |
| Input: Cluster T, all MPI P, item domain of remaining record chunks |
| Output: Remaining record chunks |
| 1: ; |
| 2: ; |
| 3: ; |
| 4: ; |
| 5: while do |
| 6: ; |
| 7: ; |
| 8: Delete all itemsets in from ; |
| 9: if then |
| 10: ; |
| 11: end if |
| 12: end while |
| 13: while do |
| 14: ; |
| 15: for each do |
| 16: ; |
| 17: if then |
| 18: Delete from ; |
| 19: end if |
| 20: end for |
| 21: ; |
| 22: end while |
| 23: Generate remaining record chunks by projecting to , for each ; |
| 24: return remaining record chunks ; |
6. Experiments
6.1. Experimental Data and Setup
6.2. Necessity of Privacy Preservation
6.3. Data Utility
6.3.1. Measuring Utility
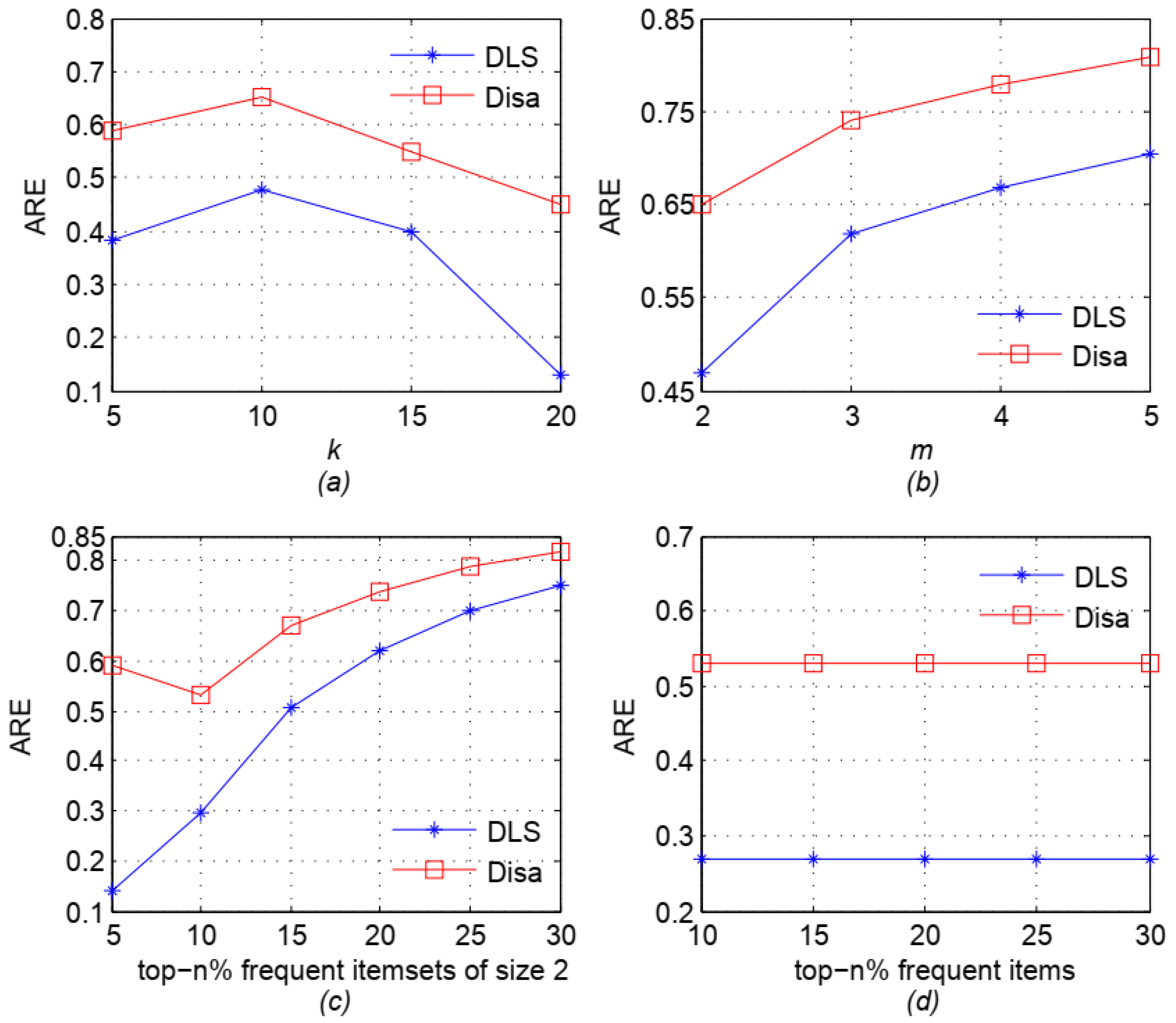
6.3.2. Results
6.4. Summary
7. Conclusions and Future Work
Author Contributions
Funding
Institutional Review Board Statement
Informed Consent Statement
Data Availability Statement
Conflicts of Interest
References
- Thakur, N.; Han, C.Y. An Ambient Intelligence-Based Human Behavior Monitoring Framework for Ubiquitous Environments. Information 2021, 12, 81. [Google Scholar] [CrossRef]
- Narayanan, A.; Shmatikov, V. Robust de-anonymization of large sparse datasets. In Proceedings of the 2008 IEEE Symposium on Security and Privacy (SP ‘08), Oakland, CA, USA, 18–21 May 2008; pp. 111–125. [Google Scholar]
- Montjoye, Y.-A.; Radaelli, L.; Singh, V.K.; Pentland, A. Unique in the shopping mall: On the reidentifiability of credit card metadata. Science 2015, 347, 536–539. [Google Scholar] [CrossRef]
- Gao, J.; Sun, L.; Cai, M. Quantifying privacy vulnerability of individual mobility traces: A case study of license plate recognition data. Transp. Res. Pt. C-Emerg. Technol. 2019, 104, 78–94. [Google Scholar] [CrossRef]
- Terrovitis, M.; Liagouris, J.; Mamoulis, N.; Skiadopoulos, S. Privacy preservation by disassociation. In Proceedings of the VLDB Endowment, Istanbul, Turkey, 27–31 August 2012; pp. 944–955. [Google Scholar]
- Terrovitis, M.; Mamoulis, N.; Kalnis, P. Privacy preserving anonymization of set-valued data. In Proceedings of the VLDB Endowment, Auckland, New Zealand, 24–30 August 2008; pp. 115–125. [Google Scholar]
- Sweeney, L. k-Anonymity: A model for protecting privacy. Int. J. Uncertain. Fuzziness Knowl.-Based Syst. 2002, 10, 557–570. [Google Scholar] [CrossRef]
- Aggarwal, C.C. On k-anonymity and the curse of dimensionality. In Proceedings of the 31st International Conference on Very large Data Bases (VLDB’05), Trondheim, Norway, 30 August–2 September 2005; pp. 901–909. [Google Scholar]
- He, Y.; Naughton, J. Anonymization of set-valued data via top-down, local generalization. In Proceedings of the VLDB Endowment, Lyon, France, 24–28 August 2009; pp. 934–945. [Google Scholar]
- Soria-Comas, J.; Domingo-Ferrer, J.; Sánchez, D.; Martínez, S. Enhancing data utility in differential privacy via microaggregation-based k-anonymity. VLDB J. 2014, 23, 771–794. [Google Scholar] [CrossRef]
- Awad, N.; Couchot, J.-F.; Bouna, B.A.; Philippe, L. Publishing anonymized set-valued data via disassociation towards analysis. Future Internet 2020, 12, 71. [Google Scholar] [CrossRef]
- Wu, H.; Wang, L.; Xue, G. Privacy-aware task allocation and data aggregation in fog-assisted spatial crowdsourcing. IEEE Trans. Netw. Sci. Eng. 2020, 7, 589–602. [Google Scholar] [CrossRef]
- Wu, H.; Wang, L.; Xue, G.; Tang, J.; Yang, D. Enabling data trustworthiness and user privacy in mobile crowdsensing. IEEE/ACM Trans. Netw. 2019, 27, 2294–2307. [Google Scholar] [CrossRef]
- Feng, X.; Wang, L. PAU: Privacy assessment method with uncertainty consideration for cloud-based vehicular networks. Future Gener. Comput. Syst. 2019, 96, 368–375. [Google Scholar] [CrossRef]
- Cui, J.; Wen, J.; Han, S.; Zhong, H. Efficient privacy-preserving scheme for real-time location data in vehicular ad-hoc network. IEEE Internet Things J. 2018, 5, 3491–3498. [Google Scholar] [CrossRef]
- Liu, Q.; Wang, G.; Li, F.; Yang, S.; Wu, J. Preserving privacy with probabilistic indistinguishability in weighted social networks. IEEE Trans. Parallel Distrib. Syst. 2017, 28, 1417–1429. [Google Scholar] [CrossRef]
- Jiang, L.; Shi, L.; Liu, L.; Yao, J.; Yuan, B.; Zheng, Y. An efficient evolutionary user interest community discovery model in dynamic social networks for Internet of people. IEEE Internet Things J. 2019, 6, 9226–9236. [Google Scholar] [CrossRef]
- Xu, Y.; Wang, K.; Fu, A.W.; Yu, P.S. Anonymizing transaction databases for publication. In Proceedings of the 14th ACM SIGKDD International Conference on Knowledge Discovery and Data Mining (KDD’08), Las Vegas, NV, USA, 24–27 August 2008; pp. 767–775. [Google Scholar]
- Xue, M.; Karras, P.; Raïssi, C.; Vaidya, J.; Tan, K.-L. Anonymizing set-valued data by nonreciprocal recoding. In Proceedings of the 18th ACM SIGKDD International Conference on Knowledge Discovery and Data Mining (KDD’12), Beijing, China, 12–16 August 2012; pp. 1050–1058. [Google Scholar]
- Lin, C.; Liu, Q.; Fournier-Viger, P.; Hong, T.-P. PTA: An efficient system for transaction database anonymization. IEEE Access 2016, 4, 6467–6479. [Google Scholar] [CrossRef]
- Puri, V.; Sachdeva, S.; Kaur, P. Privacy preserving publication of relational and transaction data: Survey on the anonymization of patient data. Comput. Sci. Rev. 2019, 32, 45–61. [Google Scholar] [CrossRef]
- Terrovitis, M.; Mamoulis, N.; Kalnis, P. Local and global recoding methods for anonymizing set-valued data. VLDB J. 2011, 20, 83–106. [Google Scholar] [CrossRef]
- Loukides, G.; Gkoulalas-Divanis, A.; Malin, B. COAT: Constraint-based anonymization of transactions. Knowl. Inf. Syst. 2011, 28, 251–282. [Google Scholar] [CrossRef]
- Loukides, G.; Gkoulalas-Divanis, A. Utility-aware anonymization of diagnosis codes. IEEE J. Biomed. Health Inform. 2013, 17, 60–70. [Google Scholar] [CrossRef]
- Loukides, G.; Liagouris, J.; Gkoulalas-Divanis, A.; Terrovitis, M. Disassociation for electronic health record privacy. J. Biomed. Inform. 2014, 50, 46–61. [Google Scholar] [CrossRef]
- Cao, J.; Karras, P.; Raïssi, C.; Tan, K.-L. ρ-uncertainty: Inference-proof transaction anonymization. In Proceedings of the VLDB Endowment, Singapore, 13–17 September 2010; pp. 1033–1044. [Google Scholar] [CrossRef]
- Jia, X.; Pan, C.; Xu, X.; Zhu, K.Q.; Lo, E. ρ-uncertainty anonymization by partial suppression. In Proceedings of the International Conference on Database Systems for Advanced Applications, Bali, Indonesia, 21–24 April 2014; pp. 188–202. [Google Scholar]
- Nakagawa, T.; Arai, H.; Nakagawa, H. Personalized anonymization for set-valued data by partial suppression. Trans. Data Priv. 2018, 11, 219–237. [Google Scholar]
- Loukides, G.; Gkoulalas-Divanis, A.; Shao, J. Anonymizing transaction data to eliminate sensitive inferences. In Proceedings of the 21st International Conference on Database and Expert Systems Applications: Part I (DEXA’10), Bilbao, Spain, 30 August–3 September 2010; pp. 400–415. [Google Scholar]
- Loukides, G.; Gkoulalas-Divanis, A.; Shao, J. Efficient and flexible anonymization of transaction data. Knowl. Inf. Syst. 2013, 36, 153–210. [Google Scholar] [CrossRef]
- Loukides, G.; Gkoulalas-Divanis, A.; Malin, B. Anonymization of electronic medical records for validating genome-wide association studies. Proc. Natl. Acad. Sci. USA 2010, 107, 7898–7903. [Google Scholar] [CrossRef]
- Yao, L.; Chen, Z.; Wang, X.; Liu, D.; Wu, G. Sensitive label privacy preservation with anatomization for data publishing. IEEE Trans. Dependable Secur. Comput. 2021, 18, 904–917. [Google Scholar] [CrossRef]
- Xiao, X.; Tao, Y. Anatomy: Simple and effective privacy preservation. In Proceedings of the VLDB Endowment, Seoul, Korea, 12–15 September 2006; pp. 139–150. [Google Scholar]
- Wang, K.; Wang, P.; Fu, A.; Wong, R.C.-W. Generalized bucketization scheme for flexible privacy settings. Inf. Sci. 2016, 348, 377–393. [Google Scholar] [CrossRef]
- Yang, X.; Wang, Y.; Wang, B. Privacy preserving approaches for multiple sensitive attributes in data publishing. Chin. J. Comput. 2008, 31, 574–587. [Google Scholar] [CrossRef]
- Li, T.; Li, N.; Zhang, J.; Molloy, I. Slicing: A new approach to privacy preserving data publishing. IEEE Trans. Knowl. Data Eng. 2012, 24, 561–574. [Google Scholar] [CrossRef]
- Wang, M.; Jiang, Z.; Zhang, Y. T-closeness slicing: A new privacy preserving approach for transactional data publishing. INFORMS J. Comput. 2018, 30, 438–453. [Google Scholar] [CrossRef]
- Susan, V.S.; Christopher, T. Anatomisation with slicing: A new privacy preservation approach for multiple sensitive attributes. SpringerPlus 2016, 5, 964. [Google Scholar] [CrossRef][Green Version]
- Loukides, G.; Liagouris, J.; Gkoulalas-Divanis, A.; Terrovitis, M. Utility-constrained electronic health record data publishing through generalization and disassociation. In Medical Data Privacy Handbook; Gkoulalas-Divanis, A., Loukides, G., Eds.; Springer: Cham, Switzerland, 2015; pp. 149–177. [Google Scholar]
- Mohammed, N.; Fung, B.C.M.; Debbabi, M. Preserving Privacy and Utility in RFID Data Publishing; Technical Report 6850; Concordia University: Montreal, QC, Canada, 2010. [Google Scholar]
- Al-Hussaeni, K.; Fung, B.C.M.; Cheung, W.K. Privacy-preserving trajectory stream publishing. Data Knowl. Eng. 2014, 94, 89–109. [Google Scholar] [CrossRef]
- Terrovitis, M.; Poulis, G.; Mamoulis, N.; Skiadopoulos, S. Local suppression and splitting techniques for privacy preserving publication of trajectories. IEEE Trans. Knowl. Data Eng. 2017, 29, 1466–1479. [Google Scholar] [CrossRef]
- Chen, R.; Fung, B.C.M.; Mohammed, N.; Desai, B.C.; Wang, K. Privacy-preserving trajectory data publishing by local suppression. Inf. Sci. 2013, 231, 83–97. [Google Scholar] [CrossRef]
- Komishani, E.G.; Abadi, M.; Deldar, F. PPTD: Preserving personalized privacy in trajectory data publishing by sensitive attribute generalization and trajectory local suppression. Knowl.-Based Syst. 2016, 94, 43–59. [Google Scholar] [CrossRef]
- Sara, B.; Al Bouna, B.; Mohamed, N.; Christophe, G. On the evaluation of the privacy breach in disassociated set-valued datasets. In Proceedings of the 13th International Joint Conference on e-Business and Telecommunications, Lisbon, Portugal, 26–28 July 2016; pp. 318–326. [Google Scholar]
- Awad, N.; Al Bouna, B.; Couchot, J.F.; Philippe, L. Safe disassociation of set-valued datasets. J. Intell. Inf. Syst. 2019, 53, 547–562. [Google Scholar] [CrossRef]
- Puri, V.; Kaur, P.; Sachdeva, S. Effective removal of privacy breaches in disassociated transactional datasets. Arab. J. Sci. Eng. 2020, 45, 3257–3272. [Google Scholar] [CrossRef]
- Awad, N.; Couchot, J.F.; Al Bouna, B.; Philippe, L. Ant-Driven Clustering for Utility-Aware Disassociation of Set-Valued Datasets. In Proceedings of the 23rd International Database Applications and Engineering Symposium, Athens, Greece, 10–12 June 2019; pp. 1–9. [Google Scholar]
- Bewong, M.; Liu, J.; Liu, L.; Li, J.; Choo1, K.-K.R. A relative privacy model for effective privacy preservation in transactional data. Concurr. Comput.-Pract. Exp. 2019, 31, e4923. [Google Scholar] [CrossRef]
- Zheng, Z.; Kohavi, R.; Mason, L. Real world performance of association rule algorithms. In Proceedings of the 7th ACM SIGKDD International Conference on Knowledge Discovery and Data Mining (KDD’01), San Francisco, CA, USA, 26–29 August 2001; pp. 401–406. [Google Scholar]
- Xiao, X.; Tao, Y. Personalized privacy preservation. In Proceedings of the ACM SIGMOD International Conference on Management of Data, Chicago, IL, USA, 27–29 June 2006; pp. 229–240. [Google Scholar]
- Wang, L.-E.; Li, X. A graph-based multifold model for anonymizing data with attributes of multiple types. Comput. Secur. 2017, 72, 122–135. [Google Scholar] [CrossRef]








| Attack | Anonymity Model | Algorithm | Method |
|---|---|---|---|
| Re-identification attack | Complete k-anonymity [9] | Gray-TSP [19] | Generalization |
| PTA [20] | Generalization | ||
| -anonymity [5] | Apriori [21] | Generalization | |
| LRA [22] | Generalization | ||
| VPA [22] | Generalization | ||
| Disassociation [5] | Anatomization | ||
| COAT [23] | Generalization and suppression | ||
| CBA [24] | Generalization and suppression | ||
| Privacy constrained anonymity [31] | UGACLIP [31] | Generalization and suppression | |
| Attribute linkage attack | -uncertainty [26] | Suppression control [26] | Suppression |
| TD control [26] | Suppression and generalization | ||
| Partial suppression [27] | Suppression | ||
| personalized -uncertainty [28] | SUPPRESSOR [28] | Suppression | |
| -uncertainty [28] | SAMPLESUPPRESSOR [28] | Suppression | |
| Re-identification and attribute linkage attack | -coherence [18] | Greedy [18] | Suppression |
| PS-rule based anonymity [29] | RBAT [29] | generalization | |
| Tree-based anonymization [30] | generalization | ||
| Sample-based anonymization [30] | generalization |
Publisher’s Note: MDPI stays neutral with regard to jurisdictional claims in published maps and institutional affiliations. |
© 2022 by the authors. Licensee MDPI, Basel, Switzerland. This article is an open access article distributed under the terms and conditions of the Creative Commons Attribution (CC BY) license (https://creativecommons.org/licenses/by/4.0/).
Share and Cite
Liu, X.; Feng, X.; Zhu, Y. Transactional Data Anonymization for Privacy and Information Preservation via Disassociation and Local Suppression. Symmetry 2022, 14, 472. https://doi.org/10.3390/sym14030472
Liu X, Feng X, Zhu Y. Transactional Data Anonymization for Privacy and Information Preservation via Disassociation and Local Suppression. Symmetry. 2022; 14(3):472. https://doi.org/10.3390/sym14030472
Chicago/Turabian StyleLiu, Xiangwen, Xia Feng, and Yuquan Zhu. 2022. "Transactional Data Anonymization for Privacy and Information Preservation via Disassociation and Local Suppression" Symmetry 14, no. 3: 472. https://doi.org/10.3390/sym14030472
APA StyleLiu, X., Feng, X., & Zhu, Y. (2022). Transactional Data Anonymization for Privacy and Information Preservation via Disassociation and Local Suppression. Symmetry, 14(3), 472. https://doi.org/10.3390/sym14030472
