Harmonic and Vibration Analysis of Dual Three-Phase PMSM with One-Phase Open Circuit Fault
Abstract
:1. Introduction
2. Magnetic Field Modeling and Winding Open Circuit Fault Setting
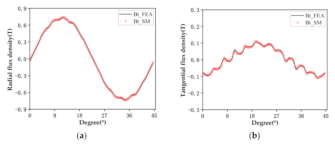
2.1. Subdomain Model of Dual Three-Phase Motor
2.2. Open Circuit Fault Condition Setting
2.2.1. No Fault Tolerant Control
2.2.2. Maximum Torque Control
2.2.3. Minimum Copper Loss Control
2.2.4. Single Three-Phase Mode Control
3. Harmonic Analysis
3.1. Torque Harmonic Analysis
3.2. Harmonic Analysis of Radial Electromagnetic Force
4. Modal and Vibration
4.1. Modal Calculation of Stator Core
4.2. Electromagnetic Vibration
5. Conclusions
- When there is an open-circuit failure of one-phase winding of the motor winding, if there is no fault-tolerance measure, the asymmetric armature current will cause the motor magnetic field to be asymmetric. A negative sequence magnetic field of order −1 will be generated, which will produce large torque ripple and vibration.
- Under the condition of the conservation of magnetomotive force, redistribute the current amplitude and phase so that the output torque of the motor can still be the same as before the fault. The maximum vibration produced by the motor is still the slot frequency vibration. The motor under MT control and MCL control produces a lot of low-frequency harmonic components. Although the amplitude of the vibration generated by these harmonics is not obvious compared with the slot frequency vibration, this is based on the assumption of windings. The current is sinusoidal, so these harmonics should not be ignored. Compared with MT and MCL control, STPM control will produce larger vibration at 48fr, but its harmonic component is single.
Author Contributions
Funding
Institutional Review Board Statement
Informed Consent Statement
Data Availability Statement
Conflicts of Interest
References
- Levi, E. Multiphase electric machines for variable-speed applications. IEEE Trans. Ind. Electron. 2008, 55, 1893–1909. [Google Scholar] [CrossRef]
- Levi, E.; Barrero, F.; Martínez, M.J.D. Multiphase machines and drives-revisited. IEEE Trans. Ind. Electron. 2015, 63, 429–432. [Google Scholar] [CrossRef] [Green Version]
- Zabaleta, M.; Levi, E.; Jones, M. A novel synthetic loading method for multiple three-phase winding electric machines. IEEE Trans. Energy Convers. 2019, 34, 70–78. [Google Scholar] [CrossRef]
- Islam, R.; Husain, I. Analytical model for predicting noise and vibration in permanent-magnet synchronous motors. IEEE Trans. Ind. Appl. 2010, 46, 2346–2354. [Google Scholar] [CrossRef]
- Zhu, Z.; Xia, Z.; Wu, L.; Jewell, G. Analytical modeling and finite-element computation of radial vibration force in fractional-slot permanent-magnet brushless machines. IEEE Trans. Ind. Appl. 2010, 46, 1908–1918. [Google Scholar] [CrossRef]
- Wu, L.; Zhu, Z.; Staton, D.; Popescu, M.; Hawkins, D. An improved subdomain model for predicting magnetic field of surface-mounted permanent magnet machines accounting for tooth-tips. IEEE Trans. Magn. 2011, 47, 1693–1704. [Google Scholar] [CrossRef]
- Le Besnerais, J. Vibroacoustic analysis of radial and tangential air-gap magnetic forces in permanent magnet synchronous machines. IEEE Trans. Magn. 2015, 51, 8105609. [Google Scholar] [CrossRef]
- Guo, H.; Guo, S.; Xu, J.; Tian, X. Power switch open-circuit fault diagnosis of six-phase fault tolerant permanent magnet synchronous motor system under normal and fault-tolerant operation conditions using the average current park’s vector approach. IEEE Trans. Power Electron. 2021, 36, 2641–2660. [Google Scholar] [CrossRef]
- Li, W.; Feng, G.; Li, Z.; Tjong, J.; Kar, N. MultiReference frame based open phase fault modeling and control for asymmetrical six-phase interior permanent magnet motors. IEEE Trans. Power Electron. 2021, 36, 11712–11725. [Google Scholar] [CrossRef]
- Fu, J.; Lipo, T. Disturbance-free operation of a multiphase current-regulated motor drive with an opened phase. IEEE Trans. Ind. Appl. 1994, 30, 1267–1274. [Google Scholar]
- Hu, Y.; Feng, Y.; Li, X. Fault-tolerant hybrid current control of dual three-phase pmsm with one phase open. IEEE J. Emerg. Sel. Top. Power Electron. 2020, 9, 1591–1604. [Google Scholar] [CrossRef]
- Yang, J.; Li, T.; Yang, G. Modeling and control of dual three-phase pmsm with one open phase. Trans. China Electrotech. Soc. 2011, 26, 167–173. [Google Scholar]
- Garcia-Entrambasaguas, P.; González-Prieto, I.; Duran, M. Single-Index open-phase fault detection method for six-phase electric drives. IEEE Trans. Ind. Electron. 2020, 67, 10233–10242. [Google Scholar] [CrossRef]
- Wu, Z.; Gu, W.; Zhu, Y.; Lu, K. A novel open-phase fault detection method for dual Y shift 30 degrees permanent magnet synchronous motor. In Proceedings of the 2019 IEEE Vehicle Power and Propulsion Conference (VPPC), Hanoi, Vietnam, 14–17 October 2019; pp. 1–6. [Google Scholar]
- Wang, Y.; Wen, X.; Zhao, F. The Fault-tolerant Control for Six-phase Permanent Magnet Synchronous Machines with One Phase Failure. Diangong Jishu Xuebao/Trans. China Electrotech. Soc. 2015, 30, 49–58. [Google Scholar]
- Valavi, M.; Le Besnerais, J.; Nysveen, A. An investigation of zeroth-order radial magnetic forces in low-speed surface-mounted permanent magnet machines. IEEE Trans. Magn. 2016, 52, 8107206. [Google Scholar] [CrossRef]
- Yang, S. Low-Noise Electrical Motors; Clarendon Press: Oxford, UK, 1981. [Google Scholar]
- Gieras, J.; Wang, C.; Lai, J. Noise of Polyphase Electric Motors; CRC/Taylor & Francis: Boca Raton, FL, USA, 2005. [Google Scholar]

















| Symbol | Quantity | Value (Units) |
|---|---|---|
| Qs/p/m | Slots/Pole pair/Phase | 96/8/6 |
| Ro | Stator outer radials | 182.5 (mm) |
| Ri | Stator inner radials | 150 (mm) |
| Lst | Stator core length | 20 (mm) |
| δ | Air gap length | 5 (mm) |
| hm | Magnet maximum thickness | 6 (mm) |
| Br | Magnet remanence | 1.38 (T) |
| αp | Pole-arc coefficient | 0.89 |
| nr | Speed mech | 600 (rpm) |
| DTPM | NFT | MT | MCL | STPM | |
|---|---|---|---|---|---|
| Fundamental component | 1 | −1 and 1 | 1 | 1 | 1 |
| Harmonic component | 12v + 1 | 6v ± 1 | 6v − 1, v is odd 6v + 1, v is even | 6v ± 1 | 6v + 1 |
| Radial Force Density (N/m2) | NFT | MT | MCL | STPM |
|---|---|---|---|---|
| 16fr | 4954 | - | - | - |
| 32fr | 6.13 | 24.74 | 12.26 | - |
| 48fr | 7.6 | - | 15.6 | 30.58 |
| 64fr | 1.7 | 6.7 | 3.4 | - |
| 96fr | 18.28 | 22.1 | 22.09 | 19.54 |
| 128fr | 0.52 | 2.142 | 1.03 | - |
| 144fr | - | - | 0.78 | 1.6 |
| Material Parameters | Elasticity Modulus (GPa) | Shear Modulus (GPa) | Poisson Ratio | Density (kg/m3) |
|---|---|---|---|---|
| Stator core | Ex = Ey = 205.8 Ez = 150 | Gxy = 80 Gyz = Gxz = 73 | 0.27 | 7650 |
| Mode Order | FEA (Hz) | Analytical (Hz) | Relative Error |
|---|---|---|---|
| 0 | 3532.7 | 3566.2 | 0.95% |
| 1 | 5082.6 | 4933 | −2.94% |
| 2 | 194 | 186.6 | −3.8% |
| 3 | 539.8 | 521.7 | −3.36% |
| 4 | 1013.5 | 984 | −2.91% |
| 5 | 1599.4 | 1559 | −2.52% |
| 6 | 2277.8 | 2233.2 | −1.96% |
| 7 | 3026.2 | 2992.05 | −1.13% |
Publisher’s Note: MDPI stays neutral with regard to jurisdictional claims in published maps and institutional affiliations. |
© 2022 by the authors. Licensee MDPI, Basel, Switzerland. This article is an open access article distributed under the terms and conditions of the Creative Commons Attribution (CC BY) license (https://creativecommons.org/licenses/by/4.0/).
Share and Cite
Zhao, S.; Chen, J.; Gao, Y.; Zhang, C. Harmonic and Vibration Analysis of Dual Three-Phase PMSM with One-Phase Open Circuit Fault. Symmetry 2022, 14, 290. https://doi.org/10.3390/sym14020290
Zhao S, Chen J, Gao Y, Zhang C. Harmonic and Vibration Analysis of Dual Three-Phase PMSM with One-Phase Open Circuit Fault. Symmetry. 2022; 14(2):290. https://doi.org/10.3390/sym14020290
Chicago/Turabian StyleZhao, Shihao, Jinhua Chen, Yunpeng Gao, and Chi Zhang. 2022. "Harmonic and Vibration Analysis of Dual Three-Phase PMSM with One-Phase Open Circuit Fault" Symmetry 14, no. 2: 290. https://doi.org/10.3390/sym14020290
APA StyleZhao, S., Chen, J., Gao, Y., & Zhang, C. (2022). Harmonic and Vibration Analysis of Dual Three-Phase PMSM with One-Phase Open Circuit Fault. Symmetry, 14(2), 290. https://doi.org/10.3390/sym14020290
