Numerical Simulations through PCM for the Dynamics of Thermal Enhancement in Ternary MHD Hybrid Nanofluid Flow over Plane Sheet, Cone, and Wedge
Abstract
1. Introduction
- To mathematically model the Darcy–Forchheimer ternary hybrid nanofluid flow via a porous wedge, cone, and plate.
- A trihybrid nanofluid is prepared by dispersing TiO2, CoFe2O4, and MgO NPs in base liquid water.
- The Lorentz and gravitational effects are considered to see the variations in hybrid nanofluid motion.
- A mathematical model is obtained with the objective of optimizing energy transmission rates and productivity for a variety of commercial and medical applications. This research looks at the effects of heat source/sink, activation energy, and magnetic field.
- To solve the obtained system of ODEs through the PCM technique.
2. Mathematical Formulation
| Viscosity | |
| Density | |
| Specific heat | |
| Thermal conduction | |
| Electrical conductivity |
- Case 1: Wedge and
- Case 2: Cone and
- Case 3: Plate and .
- 4.
- Numerical Solution
- 5.
- Results and Discussion
3. Conclusions
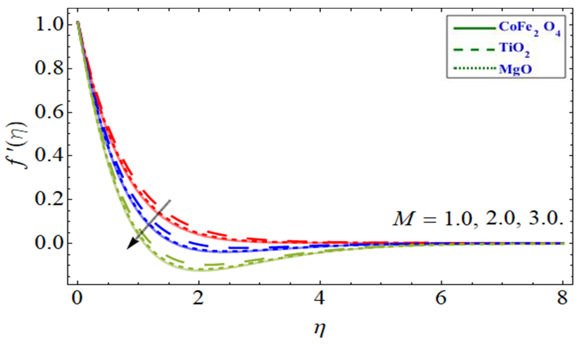
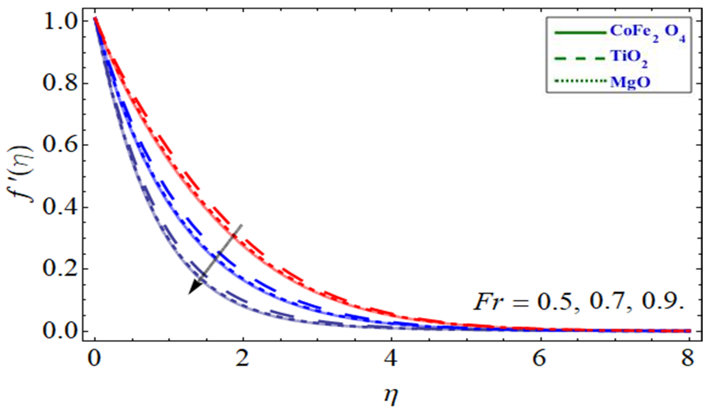
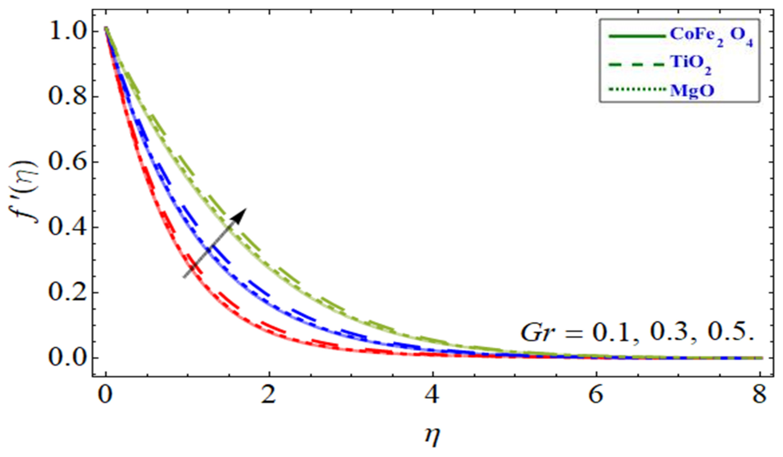
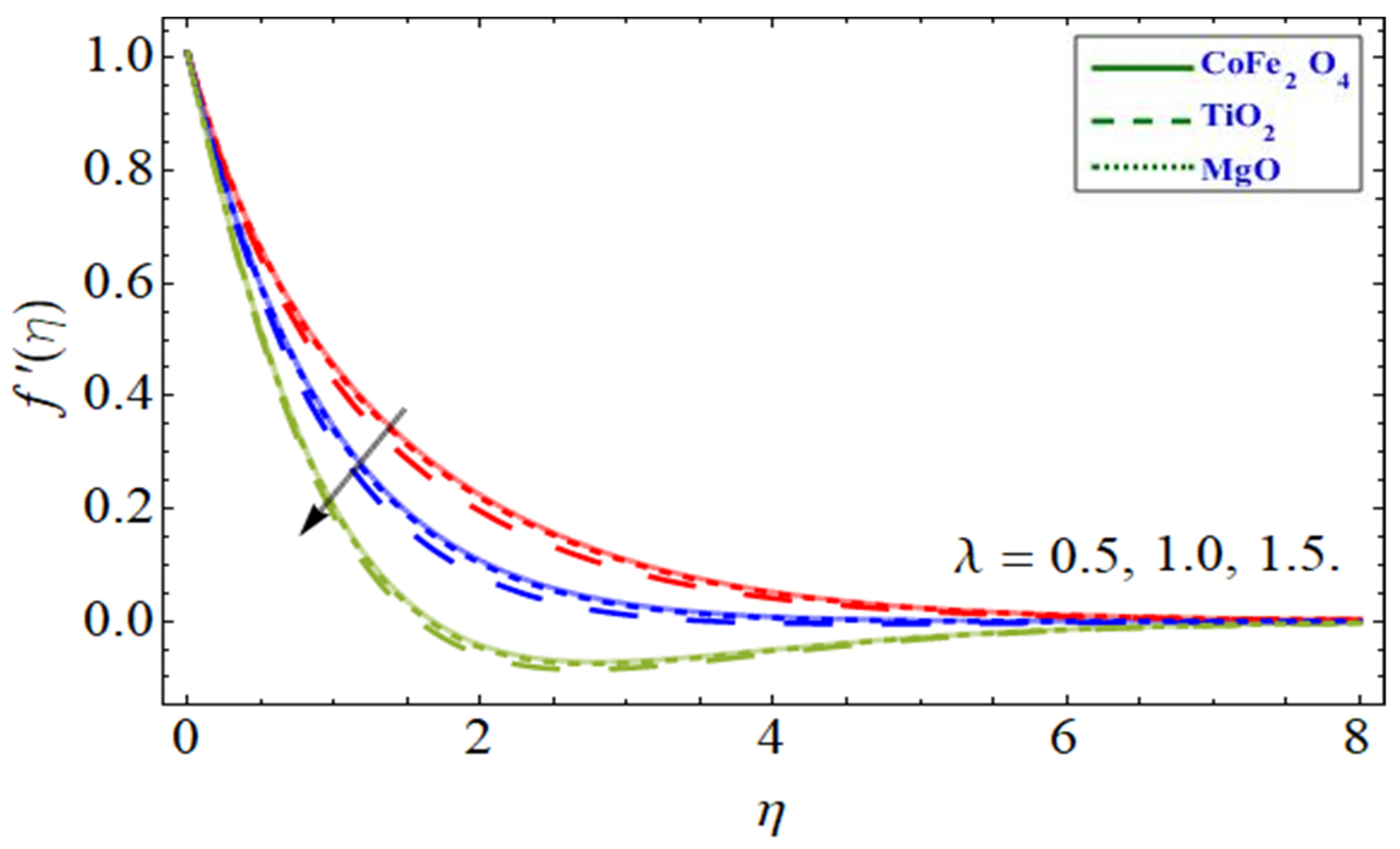
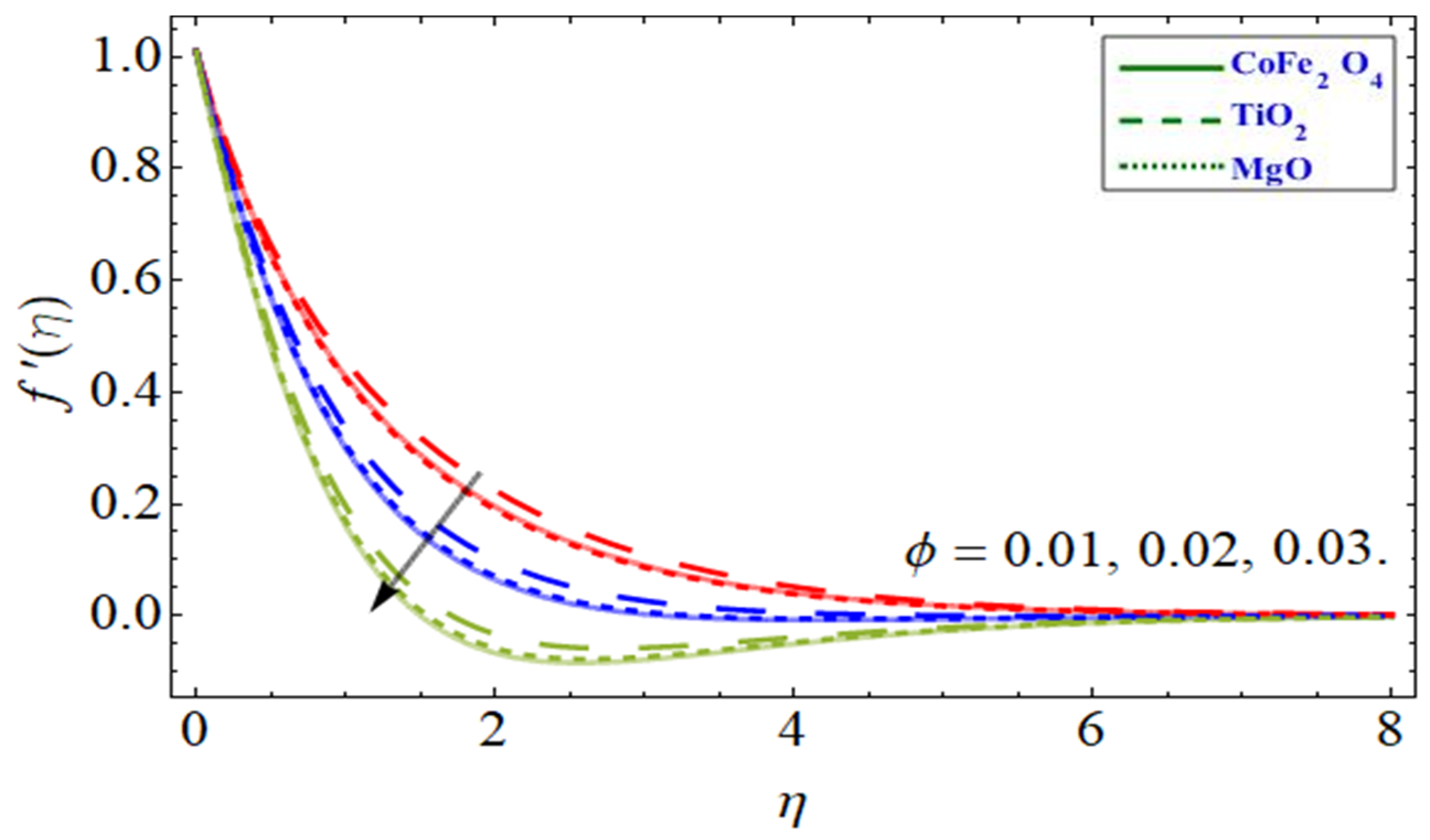
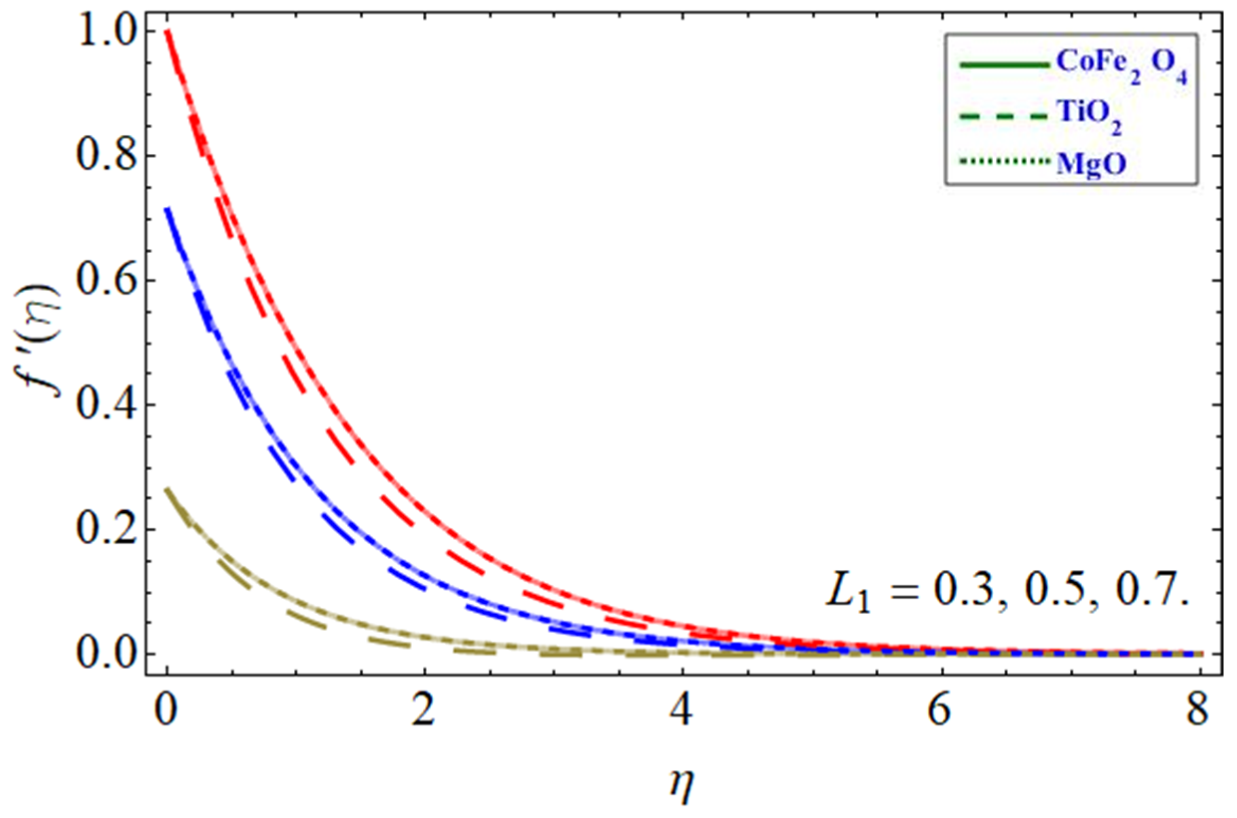
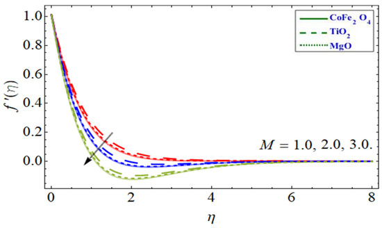
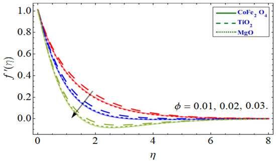
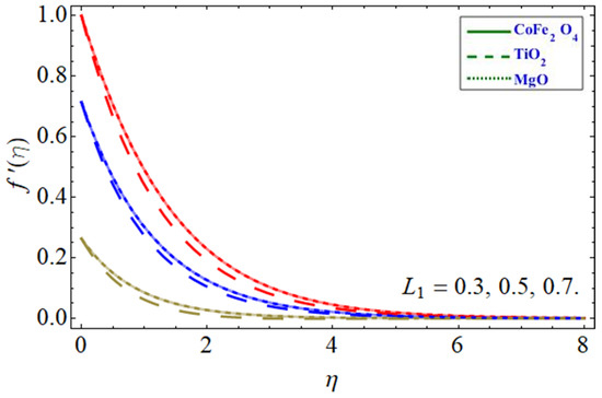
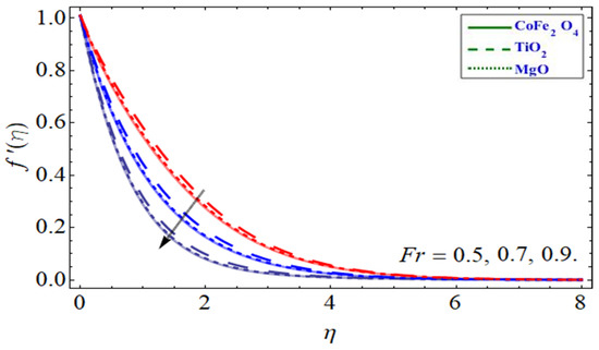
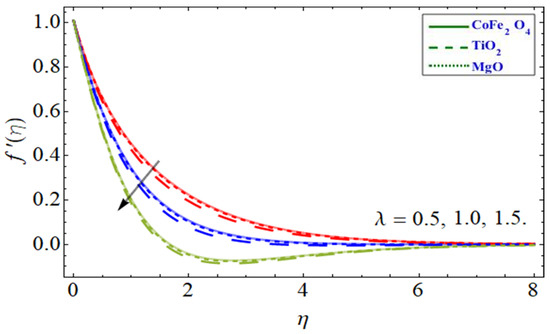
- The velocity field was dramatically reduced due to the influence of the magnetic field, the Darcy–Forchheimer term, porosity term, and NPs volume fraction, while it was augmented with the positive variation of thermal Grashof number.
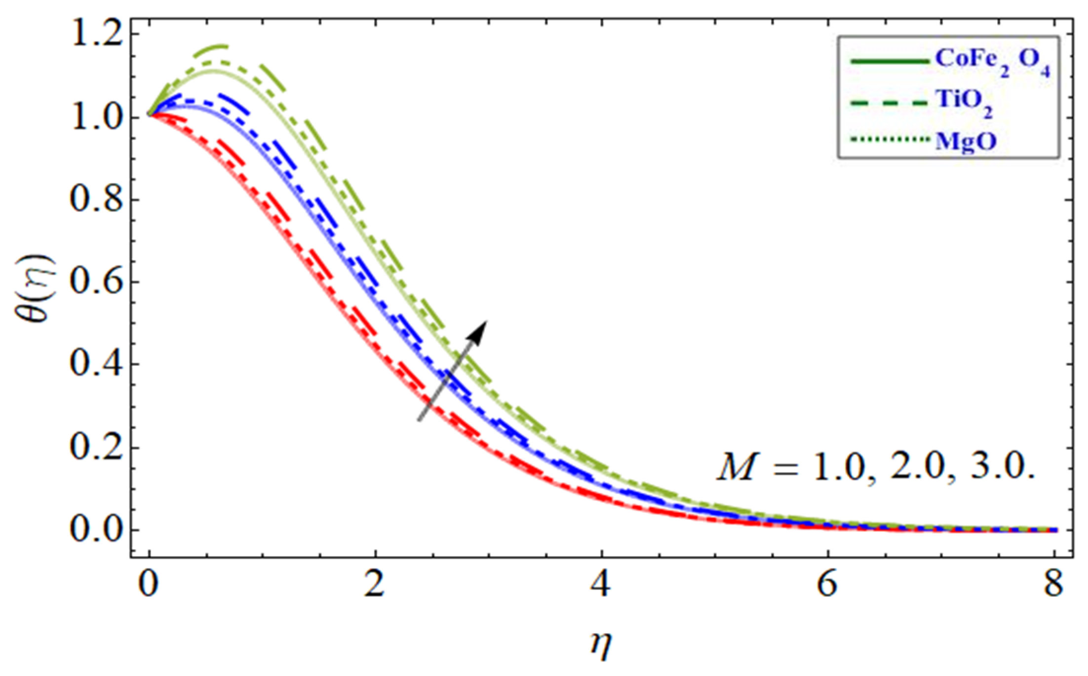
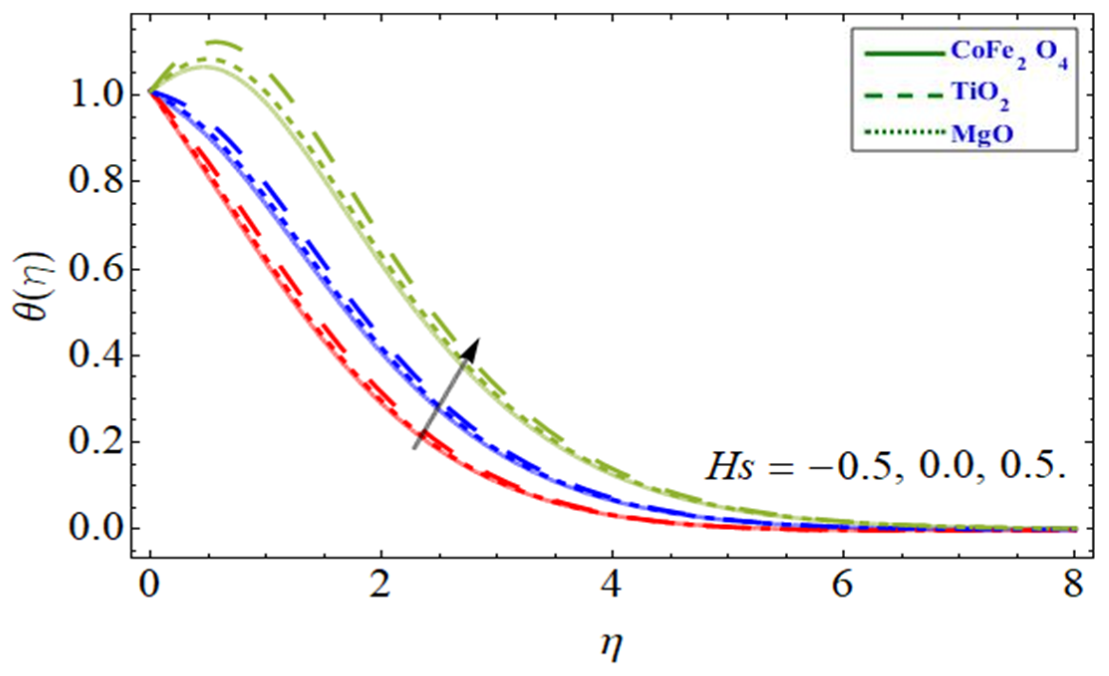
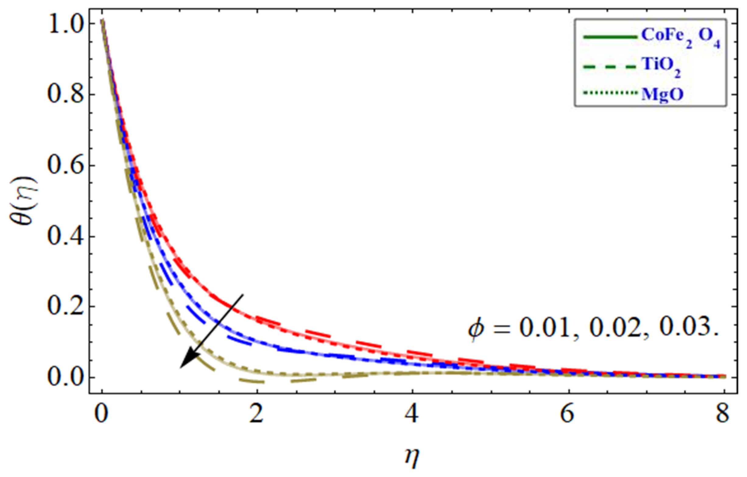
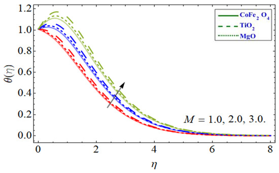
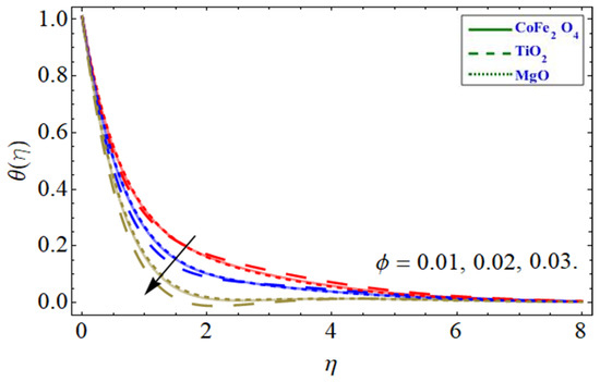
- The heat energy profile was boosted under the effects of a magnetic field and heat source.
- The addition of nanoparticles (TiO2, CoFe2O4 and MgO) to the water reduced the energy distribution.
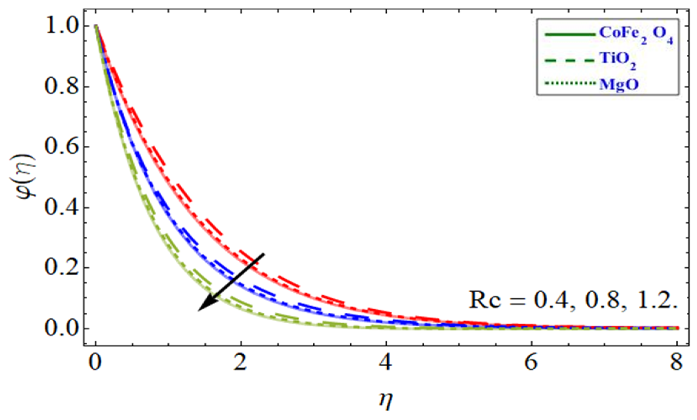
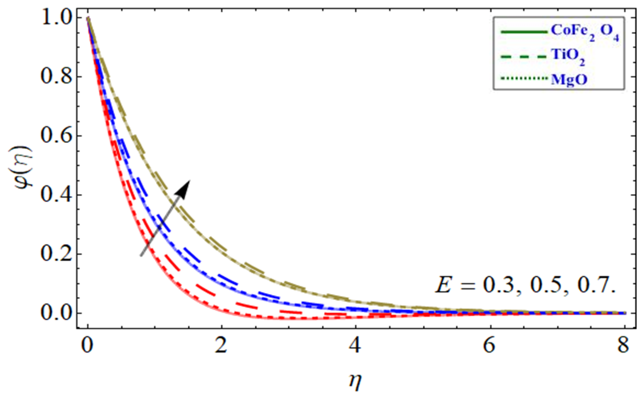
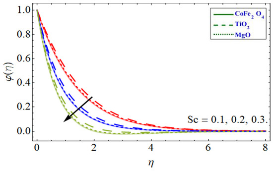
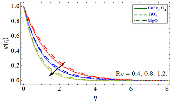
- The mass transfer profile was reduced with the upshot of the chemical reaction rate and Schmidt number, while it was boosted with the increment of activation energy.
- The velocity and energy propagation rates over a cone surface were greater than those of the wedge and plate versus the variation in Grashof number, porosity effect, and heat source.
- The mass transfer ratio under the impact of chemical reaction and activation over a wedge surface was higher than that of a plate.
- The inclusion of ternary nanoparticles to the base fluid is significantly efficient for industrial and biomedical applications.
Author Contributions
Funding
Institutional Review Board Statement
Informed Consent Statement
Data Availability Statement
Acknowledgments
Conflicts of Interest
References
- Li, Y.X.; Muhammad, T.; Bilal, M.; Khan, M.A.; Ahmadian, A.; Pansera, B.A. Fractional simulation for Darcy-Forchheimer hybrid nanoliquid flow with partial slip over a spinning disk. Alex. Eng. J. 2021, 60, 4787–4796. [Google Scholar] [CrossRef]
- Marin, M.; Abbas, I.; Kumar, R. Relaxed Saint-Venant principle for thermoelastic micropolar diffusion. Struct. Eng. Mech. 2014, 51, 651–662. [Google Scholar] [CrossRef]
- Xu, Y.J.; Bilal, M.; Al-Mdallal, Q.; Khan, M.A.; Muhammad, T. Gyrotactic micro-organism flow of Maxwell nanofluid between two parallel plates. Sci. Rep. 2021, 11, 1–13. [Google Scholar]
- Rawat, S.K.; Upreti, H.; Kumar, M. Comparative study of mixed convective MHD Cu-water nanofluid flow over a cone and wedge using modified Buongiorno’s model in presence of thermal radiation and chemical reaction via Cattaneo-Christov double diffusion model. J. Appl. Comput. Mech. 2020, 7, 1383–1402. [Google Scholar]
- Gul, T.; Khan, A.; Bilal, M.; Alreshidi, N.A.; Mukhtar, S.; Shah, Z.; Kumam, P. Magnetic dipole impact on the hybrid nanofluid flow over an extending surface. Sci. Rep. 2020, 10, 1–13. [Google Scholar] [CrossRef]
- Chamkha, A.J. Non-Darcy fully developed mixed convection in a porous medium channel with heat generation/absorption and hydromagnetic effects. Numer. Heat Transf. Part A Appl. 1997, 32, 653–675. [Google Scholar] [CrossRef]
- Bilal, M.; Saeed, A.; Gul, T.; Kumam, W.; Mukhtar, S.; Kumam, P. Parametric simulation of micropolar fluid with thermal radiation across a porous stretching surface. Sci. Rep. 2022, 12, 1–11. [Google Scholar] [CrossRef]
- Reddy, R.C.S.; Reddy, P.S. A comparative analysis of unsteady and steady Buongiorno’s Williamson nanoliquid flow over a wedge with slip effects. Chin. J. Chem. Eng. 2020, 28, 1767–1777. [Google Scholar] [CrossRef]
- Makinde, O.D.; Sandeep, N.; Animasaun, I.L.; Tshehla, M.S. Numerical exploration of Cattaneo-Christov heat flux and mass transfer in magnetohydrodynamic flow over various geometries. In Defect and Diffusion Forum; Trans Tech Publications Ltd.: Zürich, Switzerland, 2017; Volume 374, pp. 67–82. [Google Scholar]
- Algehyne, E.A.; Areshi, M.; Saeed, A.; Bilal, M.; Kumam, W.; Kumam, P. Numerical simulation of bioconvective Darcy Forchhemier nanofluid flow with energy transition over a permeable vertical plate. Sci. Rep. 2022, 12, 1–12. [Google Scholar] [CrossRef]
- He, J.H.; Abd Elazem, N.Y. Insights into partial slips and temperature jumps of a nanofluid flow over a stretched or shrinking surface. Energies 2021, 14, 6691. [Google Scholar] [CrossRef]
- Marin, M.; Hobiny, A.; Abbas, I. The effects of fractional time derivatives in porothermoelastic materials using finite element method. Mathematics 2021, 9, 1606. [Google Scholar] [CrossRef]
- Chamkha, A.J. Non-Darcy hydromagnetic free convection from a cone and a wedge in porous media. Int. Commun. Heat Mass Transf. 1996, 23, 875–887. [Google Scholar] [CrossRef]
- Chamkha, A.J.; Ben-Nakhi, A. MHD mixed convection–radiation interaction along a permeable surface immersed in a porous medium in the presence of Soret and Dufour’s effects. Heat Mass Transf. 2008, 44, 845–856. [Google Scholar] [CrossRef]
- Chamkha, A.J.; Al-Mudhaf, A. Unsteady heat and mass transfer from a rotating vertical cone with a magnetic field and heat generation or absorption effects. Int. J. Therm. Sci. 2005, 44, 267–276. [Google Scholar] [CrossRef]
- Takhar, H.S.; Chamkha, A.J.; Nath, G. MHD flow over a moving plate in a rotating fluid with magnetic field, Hall currents and free stream velocity. Int. J. Eng. Sci. 2002, 40, 1511–1527. [Google Scholar] [CrossRef]
- Ullah, I.; Alam, M.M.; Rahman, M.M.; Pasha, A.A.; Jamshed, W.; Galal, A.M. Theoretical analysis of entropy production in exothermic/endothermic reactive magnetized nanofluid flow through curved porous space with variable permeability and porosity. Int. Comm. Heat Mass Transfer 2022, 139, 106390. [Google Scholar] [CrossRef]
- Ullah, I.; Jan, R.U.; Khan, H.; Alam, M.M. Improving the thermal performance of (ZnO-Ni/H2O) hybrid nanofluid flow over a rotating system: The applications of Darcy Forchheimer theory. Waves Random Complex Media 2022, 1–17. [Google Scholar] [CrossRef]
- Ullah, I. Heat transfer enhancement in Marangoni convection and nonlinear radiative flow of gasoline oil conveying Boehmite alumina and aluminum alloy nanoparticles. Int. Comm. Heat Mass Transfer 2022, 132, 105920. [Google Scholar] [CrossRef]
- Ullah, I. Activation energy with exothermic/endothermic reaction and Coriolis force effects on magnetized nanomaterials flow through Darcy–Forchheimer porous space with variable features. Waves Random Complex Media 2022, 1–14. [Google Scholar] [CrossRef]
- Waqas, H.; Imran, M.; Muhammad, T.; Sait, S.M.; Ellahi, R. Numerical investigation on bioconvection flow of Oldroyd-B nanofluid with nonlinear thermal radiation and motile microorganisms over rotating disk. J. Therm. Anal. Calorim. 2021, 145, 523–539. [Google Scholar] [CrossRef]
- Rodríguez-González, V.; Terashima, C.; Fujishima, A. Applications of photocatalytic titanium dioxide-based nanomaterials in sustainable agriculture. J. Photochem. Photobiol. C Photochem. Rev. 2019, 40, 49–67. [Google Scholar] [CrossRef]
- Ikram, M.D.; Imran, M.A.; Chu, Y.M.; Akgül, A. MHD flow of a Newtonian fluid in symmetric channel with ABC fractional model containing hybrid nanoparticles. Comb. Chem. High Throughput Screen. 2021, 25, 1087–1102. [Google Scholar] [CrossRef] [PubMed]
- Munjal, S.; Khare, N.; Nehate, C.; Koul, V. Water dispersible CoFe2O4 nanoparticles with improved colloidal stability for biomedical applications. J. Magn. Magn. Mater. 2016, 404, 166–169. [Google Scholar] [CrossRef]
- Ahmadian, A.; Bilal, M.; Khan, M.A.; Asjad, M.I. Numerical analysis of thermal conductive hybrid nanofluid flow over the surface of a wavy spinning disk. Sci. Rep. 2020, 10, 1–13. [Google Scholar] [CrossRef] [PubMed]
- Bilal, M.; Gul, T.; Alsubie, A.; Ali, I. Axisymmetric hybrid nanofluid flow with heat and mass transfer amongst the two gyrating plates. J. Appl. Math. Mech. 2021, 101, e202000146. [Google Scholar] [CrossRef]
- Ullah, I.; Hayat, T.; Aziz, A.; Alsaedi, A. Significance of entropy generation and the coriolis force on the three-dimensional non-darcy flow of ethylene-glycol conveying carbon nanotubes (SWCNTs and MWCNTs). J. Non Equilib. Thermodyn. 2022, 47, 61–75. [Google Scholar] [CrossRef]
- Ullah, I.; Ali, R.; Nawab, H.; Uddin, I.; Muhammad, T.; Khan, I.; Nisar, K.S. Theoretical analysis of activation energy effect on Prandtl–Eyring nanoliquid flow subject to melting condition. J. Non Equilib. Thermodyn. 2022, 47, 1–12. [Google Scholar] [CrossRef]
- Ullah, Z.; Ullah, I.; Zaman, G.; Khan, H.; Muhammad, T. Mathematical modeling and thermodynamics of Prandtl–Eyring fluid with radiation effect: A numerical approach. Sci. Rep. 2021, 11, 1–11. [Google Scholar] [CrossRef]
- Krishna, M.V.; Ahamad, N.A.; Chamkha, A.J. Hall and ion slip impacts on unsteady MHD convective rotating flow of heat generating/absorbing second grade fluid. Alex. Eng. J. 2021, 60, 845–858. [Google Scholar] [CrossRef]
- Arif, M.; Kumam, P.; Kumam, W.; Mostafa, Z. Heat transfer analysis of radiator using different shaped nanoparticles water-based ternary hybrid nanofluids with applications: A fractional model. Case Stud. Therm. Eng. 2020, 31, 101837. [Google Scholar] [CrossRef]
- Sahoo, R.R. Heat transfer and second law characteristics of radiator with dissimilar shape nanoparticle-based ternary hybrid nanofluid. J. Therm. Anal. Calorim. 2021, 146, 827–839. [Google Scholar] [CrossRef]
- Fattahi, A.; Karimi, N. Numerical simulation of the effects of superhydrophobic coating in an oval cross-sectional solar collector with a wavy absorber filled with water-based Al2O3-ZnO-Fe3O4 ternary hybrid nanofluid. Sustain. Energy Technol. Assess. 2020, 50, 101881. [Google Scholar] [CrossRef]
- Ghalambaz, M.; Behseresht, A.; Behseresht, J.; Chamkha, A. Effects of nanoparticles diameter and concentration on natural convection of the Al2O3–water nanofluids considering variable thermal conductivity around a vertical cone in porous media. Adv. Powder Technol. 2015, 26, 224–235. [Google Scholar] [CrossRef]
- Chamkha, A.J.; Dogonchi, A.S.; Ganji, D.D. Magneto-hydrodynamic flow and heat transfer of a hybrid nanofluid in a rotating system among two surfaces in the presence of thermal radiation and Joule heating. AIP Adv. 2019, 9, 025103. [Google Scholar] [CrossRef]
- Ramesh, G.K.; Shehzad, S.A.; Rauf, A.; Chamkha, A.J. Heat transport analysis of aluminum alloy and magnetite graphene oxide through permeable cylinder with heat source/sink. Phys. Scr. 2020, 95, 095203. [Google Scholar] [CrossRef]
- Ali, S.; Razzaq, A.; Kim, H.; In, S.I. Activity, selectivity, and stability of earth-abundant CuO/Cu2O/Cu0-based photocatalysts toward CO2 reduction. Chem. Eng. J. 2020, 429, 131579. [Google Scholar] [CrossRef]
- Hayat, T.; Noreen, S. Peristaltic transport of fourth grade fluid with heat transfer and induced magnetic field. Comptes Rendus Mécanique 2010, 338, 518–528. [Google Scholar] [CrossRef]
- Raju, M.C.; Varma, S.V.K.; Seshaiah, B. Heat transfer effects on a viscous dissipative fluid flow past a vertical plate in the presence of induced magnetic field. Ain Shams Eng. J. 2015, 6, 333–339. [Google Scholar] [CrossRef][Green Version]
- Krishna, M.V.; Ahamad, N.A.; Chamkha, A.J. Hall and ion slip effects on unsteady MHD free convective rotating flow through a saturated porous medium over an exponential accelerated plate. Alex. Eng. J. 2020, 59, 565–577. [Google Scholar] [CrossRef]
- VeeraKrishna, M.; Subba Reddy, G.; Chamkha, A.J. Hall effects on unsteady MHD oscillatory free convective flow of second grade fluid through porous medium between two vertical plates. Phys. Fluids 2018, 30, 023106. [Google Scholar] [CrossRef]
- Krishna, M.V.; Chamkha, A.J. Hall and ion slip effects on MHD rotating flow of elastico-viscous fluid through porous medium. Int. Commun. Heat Mass Transf. 2020, 113, 104494. [Google Scholar] [CrossRef]
- Rekha, M.B.; Sarris, I.E.; Madhukesh, J.K.; Raghunatha, K.R.; Prasannakumara, B.C. Activation Energy Impact on Flow of AA7072-AA7075/Water-Based Hybrid Nanofluid through a Cone, Wedge and Plate. Micromachines 2022, 13, 302. [Google Scholar] [CrossRef] [PubMed]
- Wang, F.; Nazir, U.; Sohail, M.; El-Zahar, E.R.; Park, C.; Thounthong, P. A Galerkin strategy for tri-hybridized mixture in ethylene glycol comprising variable diffusion and thermal conductivity using non-Fourier’s theory. Nanotechnol. Rev. 2022, 11, 834–845. [Google Scholar] [CrossRef]
- Acharya, N.; Maity, S.; Kundu, P.K. Framing the hydrothermal features of magnetized TiO2–CoFe2O4 water-based steady hybrid nanofluid flow over a radiative revolving disk. Multidiscip. Model. Mater. Struct. 2019. [Google Scholar] [CrossRef]
- Shuaib, M.; Shah, R.A.; Durrani, I.; Bilal, M. Electrokinetic viscous rotating disk flow of Poisson-Nernst-Planck equation for ion transport. J. Mol. Liq. 2020, 313, 113412. [Google Scholar] [CrossRef]
- Shuaib, M.; Shah, R.A.; Bilal, M. Von-Karman rotating flow in variable magnetic field with variable physical properties. Adv. Mech. Eng. 2021, 13, 1687814021990463. [Google Scholar] [CrossRef]
- Kameswaran, K.; Shaw, S.; Sibanda, P.; Murthy, P. Homogeneous-heterogeneous reactions in a nanofluid flow due to a porous stretching sheet. Int. J. Heat Mass Transf. 2013, 57, 465–472. [Google Scholar] [CrossRef]
















| Base Fluid and Nanoparticles | ||||
|---|---|---|---|---|
| Pure water (H2O) | 997.1 | 0.613 | 4179 | 0.05 |
| 4907 | 3.7 | 700 | ||
| 4250 | 8.9538 | 686.2 | ||
| 3560 | 45 | 955 |
| Parameter | Kameswaran et al. [48] | Rekha et al. [39] | Present Work | |
|---|---|---|---|---|
| Analytical | Numerical | RKF-45 | PCM | |
| 0.5 | 1.22464487 | 1.22464487 | 1.224657521 | 1.224758432 |
| 1.0 | 1.41411356 | 1.41411356 | 1.414116330 | 1.414217254 |
| 1.5 | 1.58103883 | 1.58103883 | 1.581038786 | 1.591139677 |
| 2.0 | 1.73215081 | 1.73215081 | 1.732150762 | 1.812052855 |
| 5.0 | 2.44938974 | 2.44938974 | 2.449389673 | 2.559489884 |
| Parameters | Cone | Wedge | Plate | |||||
|---|---|---|---|---|---|---|---|---|
| 1.0 | 1.0 | 1.0 | 1.310429 | 1.762376 | 0.575218 | 1.183103 | 1.190889 | 1.110755 |
| 5.0 | 0.675524 | 1.832668 | 0.138028 | 1.273024 | 0.138028 | 1.273024 | ||
| 10 | 0.365352 | 2.104684 | 1.138079 | 1.080946 | 1.017223 | 1.401200 | ||
| 1.0 | 1.310429 | 1.762376 | 1.301688 | 1.038794 | 1.190889 | 1.110755 | ||
| 1.5 | 1.462260 | 1.727821 | 1.450276 | 1.199999 | 1.156682 | 1.070569 | ||
| 2.0 | 1.602108 | 1.695784 | 1.196383 | 1.862916 | 1.307562 | 1.033601 | ||
| 0.3 | 1.342571 | 2.321712 | 1.176035 | 1.247111 | 1.075516 | 1.872300 | ||
| 0.0 | 1.332838 | 1.859068 | 1.133634 | 0.259555 | 1.036729 | 1.267148 | ||
| 0.3 | 1.318364 | 1.275103 | 1.138079 | 1.080946 | 1.160646 | 0.332229 | ||
| Parameters | Wedge | Plate | ||||||
|---|---|---|---|---|---|---|---|---|
| 0.5 | 0.1 | 0.1 | 0.713197 | 0.795709 | 0.563422 | 0.562321 | 0.572317 | 0.571158 |
| 1.0 | 0.632772 | 1.001334 | 0.470259 | 0.468917 | 0.480954 | 0.479526 | ||
| 1.5 | 0.573798 | 1.167276 | 0.400317 | 0.398767 | 0.412233 | 0.410574 | ||
| 0.1 | 0.554349 | 0.552038 | 0.376497 | 0.374928 | 0.386797 | 0.385122 | ||
| 0.3 | 0.692406 | 0.690695 | 0.539073 | 0.437966 | 0.547308 | 0.546136 | ||
| 0.5 | 0.797092 | 0.795682 | 0.658107 | 0.657217 | 0.665194 | 0.864259 | ||
| 0.1 | 0.797118 | 0.795709 | 0.658127 | 0.657238 | 0.665218 | 0.864283 | ||
| 0.2 | 0.797702 | 0.796272 | 0.659114 | 0.658198 | 0.666725 | 0.865766 | ||
| 0.3 | 0.798183 | 0.796734 | 0.659967 | 0.659027 | 0.668102 | 0.867122 | ||
Publisher’s Note: MDPI stays neutral with regard to jurisdictional claims in published maps and institutional affiliations. |
© 2022 by the authors. Licensee MDPI, Basel, Switzerland. This article is an open access article distributed under the terms and conditions of the Creative Commons Attribution (CC BY) license (https://creativecommons.org/licenses/by/4.0/).
Share and Cite
Bilal, M.; Ullah, I.; Alam, M.M.; Weera, W.; Galal, A.M. Numerical Simulations through PCM for the Dynamics of Thermal Enhancement in Ternary MHD Hybrid Nanofluid Flow over Plane Sheet, Cone, and Wedge. Symmetry 2022, 14, 2419. https://doi.org/10.3390/sym14112419
Bilal M, Ullah I, Alam MM, Weera W, Galal AM. Numerical Simulations through PCM for the Dynamics of Thermal Enhancement in Ternary MHD Hybrid Nanofluid Flow over Plane Sheet, Cone, and Wedge. Symmetry. 2022; 14(11):2419. https://doi.org/10.3390/sym14112419
Chicago/Turabian StyleBilal, Muhammad, Ikram Ullah, Mohammad Mahtab Alam, Wajaree Weera, and Ahmed M. Galal. 2022. "Numerical Simulations through PCM for the Dynamics of Thermal Enhancement in Ternary MHD Hybrid Nanofluid Flow over Plane Sheet, Cone, and Wedge" Symmetry 14, no. 11: 2419. https://doi.org/10.3390/sym14112419
APA StyleBilal, M., Ullah, I., Alam, M. M., Weera, W., & Galal, A. M. (2022). Numerical Simulations through PCM for the Dynamics of Thermal Enhancement in Ternary MHD Hybrid Nanofluid Flow over Plane Sheet, Cone, and Wedge. Symmetry, 14(11), 2419. https://doi.org/10.3390/sym14112419

