Numerical and Computational Analysis of Magnetohydrodynamics over an Inclined Plate Induced by Nanofluid with Newtonian Heating via Fractional Approach
Abstract
1. Introduction
2. Mathematical Formulation
2.1. Boundary Conditions
2.2. Non-Dimensional Parameters
2.3. Dimensionless Parameters
2.4. Thermophysical Properties of the Nanofluid
2.5. Basic Preliminaries
3. Solution of the Fractional Model
3.1. Solution of the Energy Field
3.2. Classical Simulations for Temperature Profile
3.3. Solution of the Concentration Field
3.4. Classical Solution of Concentration Field
3.5. Solution of the Momentum Field
3.6. Gradients
4. Results with Discussion
5. Conclusions
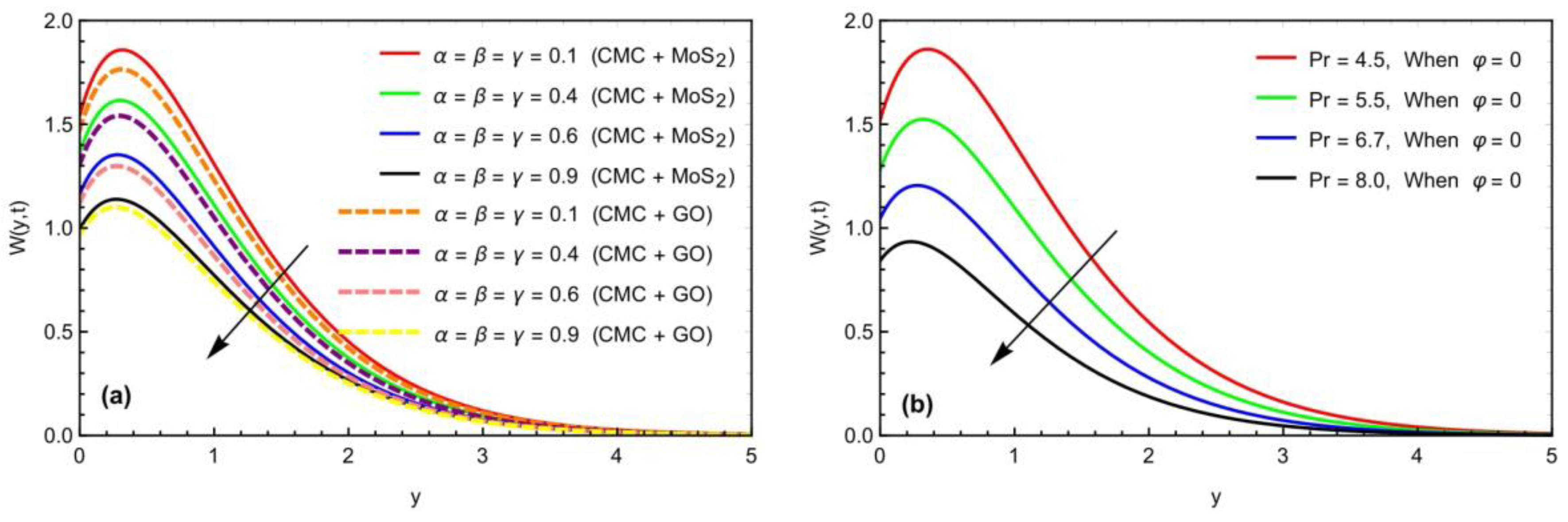
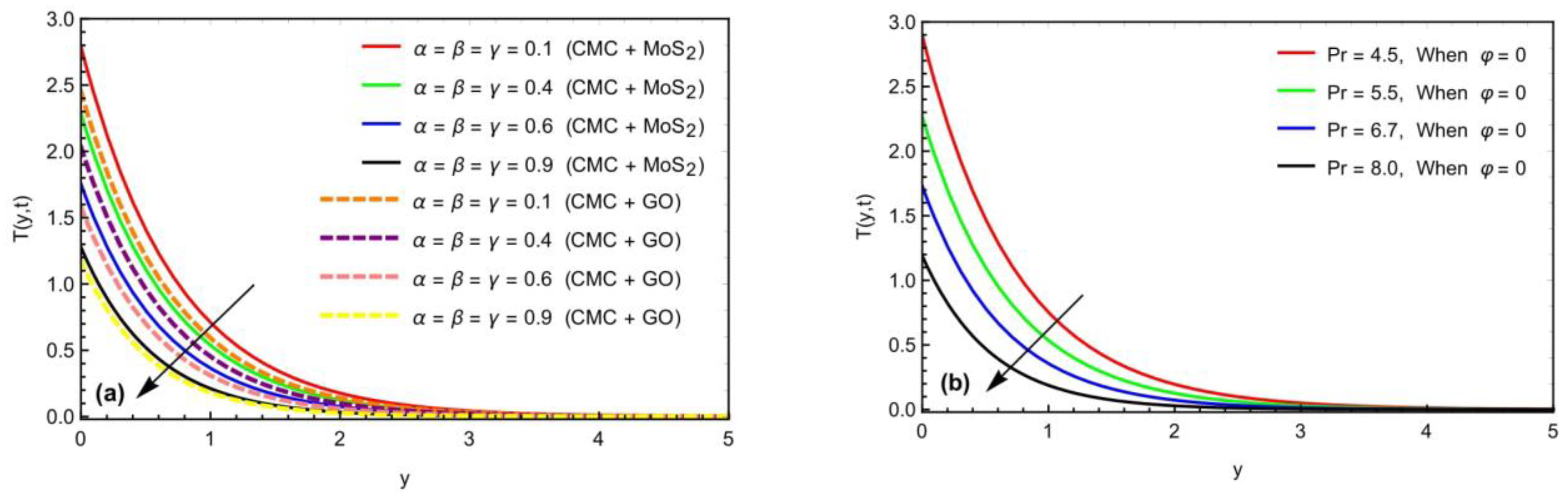
- The temperature field falls as the Prabhakar fractional limitations increase, asymptotically rising with time.
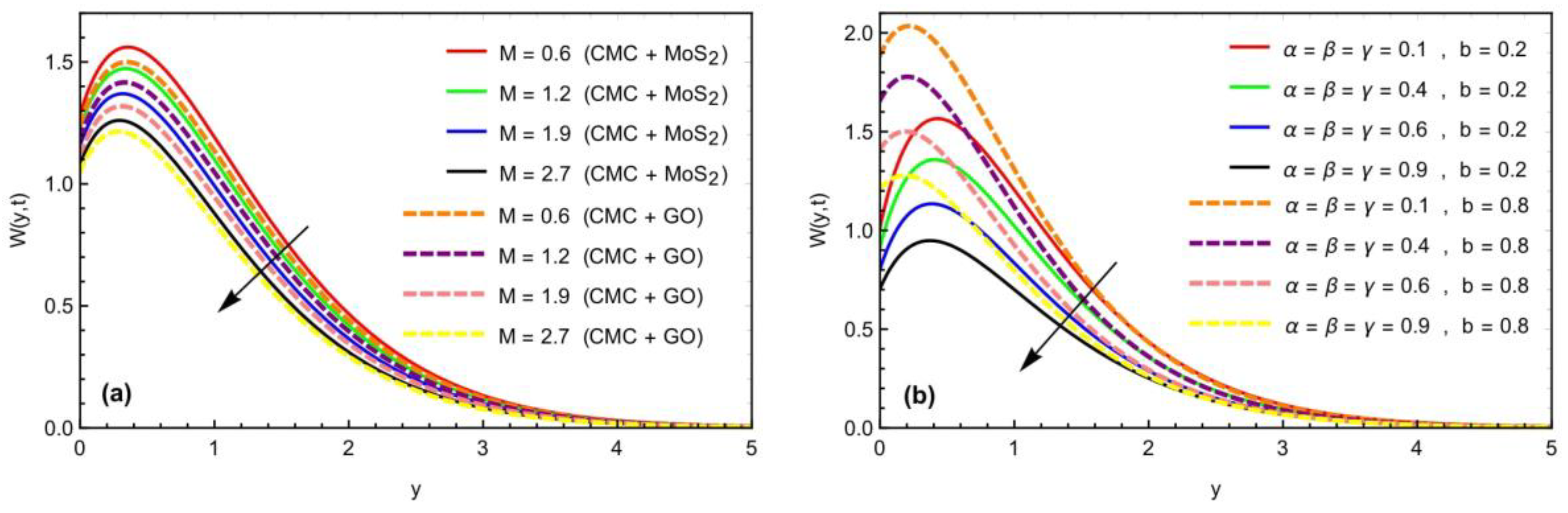
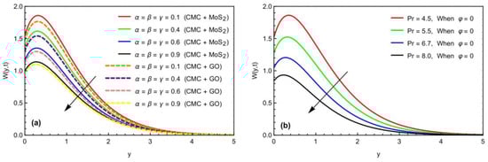
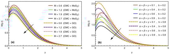
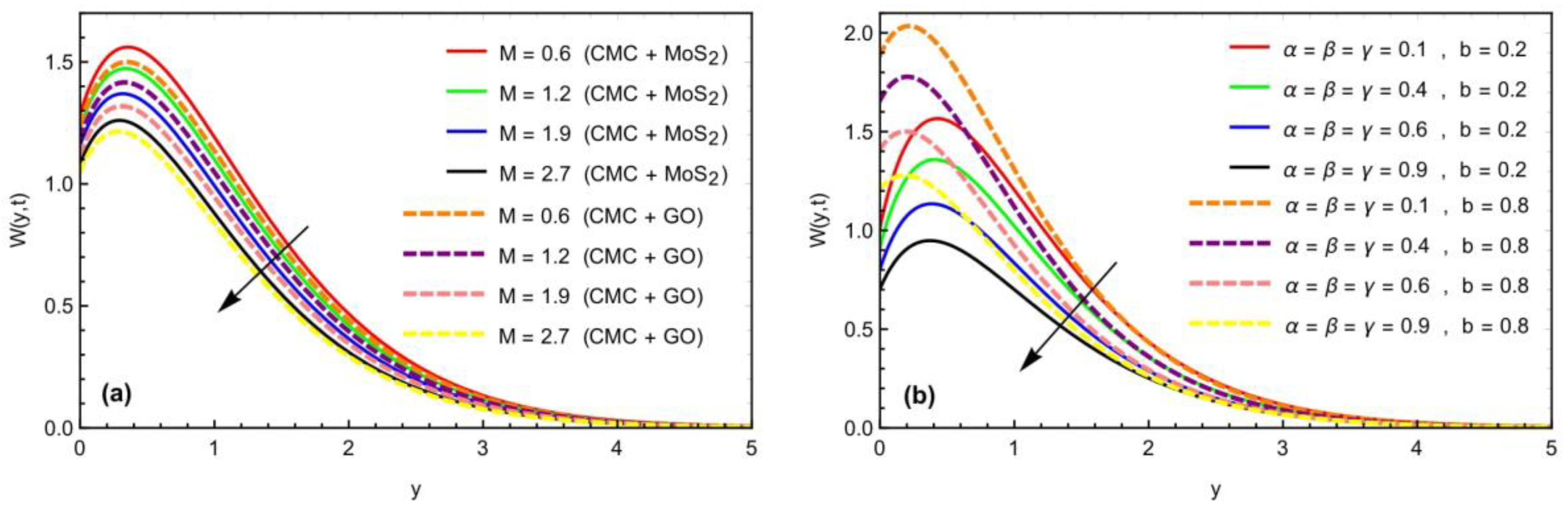
- With an increase in the values of the fractional limitations, the velocity and concentration profiles likewise begin to drop.
- Improvement in porous constraint will decline the fluid velocity with an increase in momentum boundary layer thickness (see Figure 13).
- It should be noticed that the flow rate exhibited the same behavior for both slip and zero-slip situations for both traditional and fractional formulations.
- Selecting an appropriate value of the Prabhakar fractional parameters may govern the speed of the flowing nanofluid.
- The momentum and thermal fields slow down with the increment in Prandtl number values.
- It is clear that, when slip or no-slip circumstances exist, the flow rate decreases under increased values for the fractional factors.
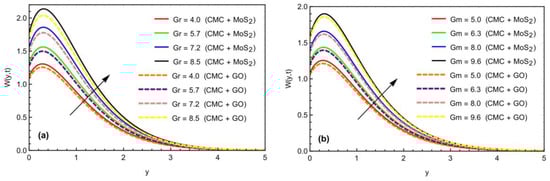
- The fluid flows more progressively with the enhancement of the mass and heat Grashof number.
- The solution curves of the two numerical schemes coincide, validating our attained results. Furthermore, the velocity accelerates by increasing the values of the heat and mass Grashof numbers due to the buoyancy effect.
- The stream zone, where more distinct peak values were recorded, is where velocity is at its highest close to the plate before decreasing away from it.
- The fluid motion can be controlled with the help of an external applied magnetic field, whose strength is maximum at the right angle.
- The velocity field of nanofluid mixed with nanoparticles is more remarkable than the nanofluid mixed with nanoparticles.
- The validity of velocity profile findings in graphical form is also indicated by comparing our acquired velocity solution with Tassaddiq et al. [32].
- The Prabhakar fractional model becomes classical by taking the fractional constraints as .
Author Contributions
Funding
Institutional Review Board Statement
Informed Consent Statement
Data Availability Statement
Acknowledgments
Conflicts of Interest
Nomenclature
| - | Angle of inclination of the plate [-] |
| - | Angle of inclination of magnetic field [-] |
| - | Acceleration due to gravity |
| - | Concentration of the fluid |
| - | Constant velocity |
| - | Casson fluid parameter [-] |
| - | Dimensionless porosity parameter [-] |
| - | Dynamic viscosity |
| - | Electrical conductivity |
| - | Fluids temperature at the plate |
| - | Fluids Concentration at the plate |
| - | Heat Grashof number [-] |
| - | Kinematic viscosity |
| - | Laplace transformed variable [-] |
| - | Mass Grashof number [-] |
| - | Mass diffusion coefficient |
| - | Nusselt number [-] |
| - | Prandtl number [-] |
| Prabhakar-fractional derivative operators [-] | |
| - | Permeability of the porous medium [L] |
| - | Schmidt number [-] |
| - | Slip parameter [-] |
| - | Skin friction [-] |
| - | Specific heat at constant pressure |
| - | Time |
| - | Temperature |
| - | Temperature of fluid away from the plate |
| - | Velocity |
| Note: This [-] represents the dimensionless quantity. | |
References
- Miller, K.S.; Ross, B. An Introduction to the Fractional Calculus and Fractional Differential Equations; Wiley: New York, NY, USA, 1993. [Google Scholar]
- Gemant, A. XLV. On fractional differentials. Lond. Edinb. Dublin Philos. Mag. J. Sci. 1938, 25, 540–549. [Google Scholar]
- Blair, G.S.; Caffyn, J. VI. An application of the theory of quasi-properties to the treatment of anomalous strain-stress relations. Lond. Edinb. Dublin Philos. Mag. J. Sci. 1949, 40, 80–94. [Google Scholar] [CrossRef]
- Machado, J.T.; Kiryakova, V.; Mainardi, F. Recent history of fractional calculus. Commun. Nonlinear Sci. Numer. Simul. 2011, 16, 1140–1153. [Google Scholar] [CrossRef]
- Liouville, J. Memoir on some questions of geometry and mechanics, and on a new kind of calculation to solve these questions. J. L’école Pol. Tech. 1832, 13, 1–69. [Google Scholar]
- De Oliveira, E.C.; Tenreiro Machado, J.A. A review of definitions for fractional derivatives and integral. Math. Probl. Eng. 2014, 2014, 238459. [Google Scholar] [CrossRef]
- Kong, F.; Zhang, Y.; Zhang, Y. Non-stationary response power spectrum determination of linear/non-linear systems endowed with fractional derivative elements via harmonic wavelet. Mech. Syst. Signal Process. 2022, 162, 108024. [Google Scholar] [CrossRef]
- Saqib, M.; Mohd Kasim, A.R.; Mohammad, N.F.; Chuan Ching, D.L.; Shafie, S. Application of fractional derivative without singular and local kernel to enhanced heat transfer in CNTs nanofluid over an inclined plate. Symmetry 2020, 12, 768. [Google Scholar] [CrossRef]
- Rüdinger, F. Tuned mass damper with fractional derivative damping. Eng. Struct. 2006, 28, 1774–1779. [Google Scholar] [CrossRef]
- Agrawal, O.P. Analytical solution for stochastic response of a fractionally damped beam. J. Vib. Acoust. 2004, 126, 561–566. [Google Scholar] [CrossRef]
- Diethelm, K. The Analysis of Fractional Differential Equations; Lecture Notes in Mathematics; Springer: Berlin/Heidelberg, Germany, 2010; Volume 2004. [Google Scholar]
- You, X.; Li, S. Fully Developed Opposing Mixed Convection Flow in the Inclined Channel Filled with a Hybrid Nanofluid. Nanomaterials 2021, 11, 1107. [Google Scholar] [CrossRef]
- Trujillo, J.J.; Scalas, E.; Diethelm, K.; Baleanu, D. Fractional Calculus: Models and Numerical Methods; World Scientific: Singapore, 2016; Volume 5. [Google Scholar]
- Ogudo, K.A.; Muwawa Jean Nestor, D.; Ibrahim Khalaf, O.; Daei Kasmaei, H. A device performance and data analytics concept for smartphones’ IoT services and machine-type communication in cellular networks. Symmetry 2019, 11, 593. [Google Scholar] [CrossRef]
- Zhou, Y.; Shangerganesh, L.; Manimaran, J.; Debbouche, A. A class of time-fractional reaction-diffusion equation with nonlocal boundary condition. Math. Methods Appl. Sci. 2018, 41, 2987–2999. [Google Scholar] [CrossRef]
- Abbaszadeh, M. Error estimate of second-order finite difference scheme for solving the Riesz space distributed-order diffusion equation. Appl. Math. Lett. 2019, 88, 179–185. [Google Scholar] [CrossRef]
- Liu, F.; Liang, Z.; Yan, Y. Optimal convergence rates for semidiscrete finite element approximations of linear space-fractional partial differential equations under minimal regularity assumptions. J. Comput. Appl. Math. 2019, 352, 409–425. [Google Scholar] [CrossRef]
- Khan, I.; Raza, A.; Shakir, M.A.; Al-Johani, A.S.; Pasha, A.A.; Irshad, K. Natural convection simulation of Prabhakar-like fractional Maxwellfluid flowing on inclined plane with generalized thermal flux. Case Stud. Therm. Eng. 2022, 35, 102042. [Google Scholar] [CrossRef]
- Raza, A.; Thumma, T.; Al-Khaled, K.; Khan, S.U.; Ghachem, K.; Alhadri, M.; Kolsi, L. Prabhakar fractional model for viscous transient fluid with heat and mass transfer and Newtonian heating applications. Waves Random Complex Media 2022, 1–17. [Google Scholar] [CrossRef]
- Jie, Z.; Ijaz Khan, M.; Al-Khaled, K.; El-Zahar, E.R.; Acharya, N.; Raza, A.; Khan, S.U.; Xia, W.-F.; Tao, N.-X. Thermal transport model for Brinkman type nanofluid containing carbon nanotubes with sinusoidal oscillations conditions: A fractional derivative concept. Waves Random Complex Media 2022, 1–20. [Google Scholar] [CrossRef]
- Hayat, A.U.; Ullah, I.; Khan, H.; Weera, W.; Galal, A.M. Numerical Simulation of Entropy Optimization in Radiative Hybrid Nanofluid Flow in a Variable Features Darcy–Forchheimer Curved Surface. Symmetry 2022, 14, 2057. [Google Scholar] [CrossRef]
- Yaseen, M.; Rawat, S.K.; Shafiq, A.; Kumar, M.; Nonlaopon, K. Analysis of Heat Transfer of Mono and Hybrid Nanofluid Flow between Two Parallel Plates in a Darcy Porous Medium with Thermal Radiation and Heat Generation/Absorption. Symmetry 2022, 14, 1943. [Google Scholar] [CrossRef]
- Haq, I.; Yassen, M.F.; Ghoneim, M.E.; Bilal, M.; Ali, A.; Weera, W. Computational Study of MHD Darcy–Forchheimer Hybrid Nanofluid Flow under the Influence of Chemical Reaction and Activation Energy over a Stretching Surface. Symmetry 2022, 14, 1759. [Google Scholar] [CrossRef]
- Meerschaert, M.M.; Sikorskii, A. Stochastic models for fractional calculus. In Stochastic Models for Fractional Calculus; de Gruyter: Berlin, Germany, 2019. [Google Scholar]
- Lischke, A.; Pang, G.; Gulian, M.; Song, F.; Glusa, C.; Zheng, X.; Mao, Z.; Cai, W.; Meerschaert, M.M.; Ainsworth, M. What is the fractional Laplacian? A comparative review with new results. J. Comput. Phys. 2020, 404, 109009. [Google Scholar]
- Bucur, C.; Valdinoci, E. Nonlocal Diffusion and Applications; Springer: Berlin/Heidelberg, Germany, 2016; Volume 20. [Google Scholar]
- Vázquez, J.L. The mathematical theories of diffusion. In Nonlocal and Nonlinear Diffusions and Interactions: New Methods and Directions; Springer: Berlin/Heidelberg, Germany, 2017; pp. 205–278. [Google Scholar]
- Pandey, A.K.; Kumar, M. Boundary layer flow and heat transfer analysis on Cu-water nanofluid flow over a stretching cylinder with slip. Alex. Eng. J. 2017, 56, 671–677. [Google Scholar] [CrossRef]
- Mishra, A.; Pandey, A.K.; Kumar, M. Numerical investigation of heat transfer of MHD nanofluid over a vertical cone due to viscous-Ohmic dissipation and slip boundary conditions. Nanosci. Technol. Int. J. 2019, 10, 169–193. [Google Scholar] [CrossRef]
- Mishra, A.; Kumar Pandey, A.; Kumar, M. Thermal performance of Ag–water nanofluid flow over a curved surface due to chemical reaction using Buongiorno’s model. Heat Transf. 2021, 50, 257–278. [Google Scholar] [CrossRef]
- Pandey, A.K.; Upreti, H. Mixed convective flow of Ag–H2O magnetic nanofluid over a curved surface with volumetric heat generation and temperature-dependent viscosity. Heat Transf. 2021, 50, 7251–7270. [Google Scholar] [CrossRef]
- Tassaddiq, A.; Khan, I.; Nisar, K. Heat transfer analysis in sodium alginate based nanofluid using MoS2 nanoparticles: Atangana–Baleanu fractional model. Chaos Solitons Fractals 2020, 130, 109445. [Google Scholar] [CrossRef]
- Alsabery, A.I.; Tayebi, T.; Kadhim, H.T.; Ghalambaz, M.; Hashim, I.; Chamkha, A.J. Impact of two-phase hybrid nanofluid approach on mixed convection inside wavy lid-driven cavity having localized solid block. J. Adv. Res. 2021, 30, 63–74. [Google Scholar] [CrossRef]
- Tayebi, T.; Chamkha, A.J. Free convection enhancement in an annulus between horizontal confocal elliptical cylinders using hybrid nanofluids. Numer. Heat Transf. Part A Appl. 2016, 70, 1141–1156. [Google Scholar] [CrossRef]
- Raza, A.; Khan, S.U.; Al-Khaled, K.; Khan, M.I.; Haq, A.U.; Alotaibi, F.; Abd Allah, A.M.; Qayyum, S. A fractional model for the kerosene oil and water-based Casson nanofluid with inclined magnetic force. Chem. Phys. Lett. 2022, 787, 139277. [Google Scholar] [CrossRef]
- Wang, Y.; Mansir, I.B.; Al-Khaled, K.; Raza, A.; Khan, S.U.; Khan, M.I.; Ahmed, A.E.-S. Thermal outcomes for blood-based carbon nanotubes (SWCNT and MWCNTs) with Newtonian heating by using new Prabhakar fractional derivative simulations. Case Stud. Therm. Eng. 2022, 32, 101904. [Google Scholar] [CrossRef]
- Wang, Y.; Raza, A.; Khan, S.U.; Ijaz Khan, M.; Ayadi, M.; El-Shorbagy, M.; Alshehri, N.A.; Wang, F.; Malik, M. Prabhakar fractional simulations for hybrid nanofluid with aluminum oxide, titanium oxide and copper nanoparticles along with blood base fluid. Waves Random Complex Media 2022, 1–20. [Google Scholar] [CrossRef]
- Alharbi, K.A.M.; Mansir, I.B.; Al-Khaled, K.; Khan, M.I.; Raza, A.; Khan, S.U.; Ayadi, M.; Malik, M. Heat transfer enhancement for slip flow of single-walled and multi-walled carbon nanotubes due to linear inclined surface by using modified Prabhakar fractional approach. Arch. Appl. Mech. 2022, 92, 2455–2465. [Google Scholar] [CrossRef]
- Abbas, N.; Shatanawi, W.; Abodayeh, K. Computational Analysis of MHD Nonlinear Radiation Casson Hybrid Nanofluid Flow at Vertical Stretching Sheet. Symmetry 2022, 14, 1494. [Google Scholar] [CrossRef]
- Hwang, S.-G.; Garud, K.S.; Seo, J.-H.; Lee, M.-Y. Heat Flow Characteristics of Ferrofluid in Magnetic Field Patterns for Electric Vehicle Power Electronics Cooling. Symmetry 2022, 14, 1063. [Google Scholar] [CrossRef]
- Mostafazadeh, A.; Toghraie, D.; Mashayekhi, R.; Akbari, O.A. Effect of radiation on laminar natural convection of nanofluid in a vertical channel with single-and two-phase approaches. J. Therm. Anal. Calorim. 2019, 138, 779–794. [Google Scholar] [CrossRef]
- Ruhani, B.; Toghraie, D.; Hekmatifar, M.; Hadian, M. Statistical investigation for developing a new model for rheological behavior of ZnO–Ag (50%–50%)/Water hybrid Newtonian nanofluid using experimental data. Phys. A Stat. Mech. Its Appl. 2019, 525, 741–751. [Google Scholar] [CrossRef]
- Zhou, H.; Dai, C.; Zhang, Q.; Li, Y.; Lv, W.; Cheng, R.; Wu, Y.; Zhao, M. Interfacial rheology of novel functional silica nanoparticles adsorbed layers at oil-water interface and correlation with Pickering emulsion stability. J. Mol. Liq. 2019, 293, 111500. [Google Scholar] [CrossRef]
- Kamkar, M.; Bazazi, P.; Kannan, A.; Suja, V.C.; Hejazi, S.H.; Fuller, G.G.; Sundararaj, U. Polymeric-nanofluids stabilized emulsions: Interfacial versus bulk rheology. J. Colloid Interface Sci. 2020, 576, 252–263. [Google Scholar] [CrossRef]
- Khan, S.U.; Usman; Raza, A.; Kanwal, A.; Javid, K. Mixed convection radiated flow of Jeffery-type hybrid nanofluid due to inclined oscillating surface with slip effects: A comparative fractional model. Waves Random Complex Media 2022, 1–22. [Google Scholar] [CrossRef]
- Raza, A.; Al-Khaled, K.; Khan, S.U.; Elboughdiri, N.; Farah, A.; Gasmi, H.; Helali, A. Progressive thermal onset of modified hybrid nanoparticles for oscillating flow via modified fractional approach. Int. J. Mod. Phys. B 2022, 2350046. [Google Scholar] [CrossRef]
- Raza, A.; Thumma, T.; Khan, S.U.; Boujelbene, M.; Boudjemline, A.; Chaudhry, I.A.; Elbadawi, I. Thermal mechanism of carbon nanotubes with Newtonian heating and slip effects: A Prabhakar fractional model. J. Indian Chem. Soc. 2022, 99, 100731. [Google Scholar] [CrossRef]
- Raza, A.; Haq, A.U.; Farid, S. A Prabhakar fractional approach with generalized fourier law for thermal activity of non-newtonian second-grade type fluid flow: A fractional approach. Waves Random Complex Media 2022, 1–17. [Google Scholar] [CrossRef]
- Raza, A.; Khan, S.U.; Farid, S.; Ijaz Khan, M.; Khan, M.R.; Haq, A.U.; Elsiddieg, A.M.; Malik, M.; Alsallami, S.A. Transport properties of mixed convective nano-material flow considering the generalized Fourier law and a vertical surface: Concept of Caputo-Time Fractional Derivative. Proc. Inst. Mech. Eng. Part A J. Power Energy 2022, 236, 974–984. [Google Scholar] [CrossRef]
- Gulzar, M.M.; Aslam, A.; Waqas, M.; Javed, M.A.; Hosseinzadeh, K. A nonlinear mathematical analysis for magneto-hyperbolic-tangent liquid featuring simultaneous aspects of magnetic field, heat source and thermal stratification. Appl. Nanosci. 2020, 10, 4513–4518. [Google Scholar] [CrossRef]
- Hosseinzadeh, K.; Mardani, M.; Salehi, S.; Paikar, M.; Ganji, D. Investigation of Micropolar Hybrid Nanofluid (Iron Oxide–Molybdenum Disulfide) Flow Across a Sinusoidal Cylinder in Presence of Magnetic Field. Int. J. Appl. Comput. Math. 2021, 7, 210. [Google Scholar] [CrossRef]
- Zangooee, M.; Hosseinzadeh, K.; Ganj, D. Hydrothermal analysis of Hybrid nanofluid flow on a vertical plate by considering slip condition. Theor. Appl. Mech. Lett. 2022, 12, 100357. [Google Scholar] [CrossRef]
- Najafabadi, M.F.; TalebiRostami, H.; Hosseinzadeh, K.; Ganji, D. Investigation of nanofluid flow in a vertical channel considering polynomial boundary conditions by Akbari-Ganji’s method. Theor. Appl. Mech. Lett. 2022, 12, 100356. [Google Scholar] [CrossRef]
- Faghiri, S.; Akbari, S.; Shafii, M.B.; Hosseinzadeh, K. Hydrothermal analysis of non-Newtonian fluid flow (blood) through the circular tube under prescribed non-uniform wall heat flux. Theor. Appl. Mech. Lett. 2022, 12, 100360. [Google Scholar] [CrossRef]
- Talebi Rostami, H.; Fallah Najafabadi, M.; Hosseinzadeh, K.; Ganji, D. Investigation of mixture-based dusty hybrid nanofluid flow in porous media affected by magnetic field using RBF method. Int. J. Ambient. Energy 2022, 1–11. [Google Scholar] [CrossRef]
- Zangooee, M.R.; Hosseinzadeh, K.; Ganj, D.D. Investigation of three-dimensional hybrid nanofluid flow affected by nonuniform MHD over exponential stretching/shrinking plate. Nonlinear Eng. 2022, 11, 143–155. [Google Scholar] [CrossRef]
- Ahmed, T.N.; Khan, I. Mixed convection flow of sodium alginate (SA-NaAlg) based molybdenum disulphide (MoS2) nanofluids: Maxwell Garnetts and Brinkman models. Results Phys. 2018, 8, 752–757. [Google Scholar] [CrossRef]
- Fallah, B.; Dinarvand, S.; Eftekhari Yazdi, M.; Rostami, M.N.; Pop, I. MHD flow and heat transfer of SiC-TiO2/DO hybrid nanofluid due to a permeable spinning disk by a novel algorithm. J. Appl. Comput. Mech. 2019, 5, 976–988. [Google Scholar]
- Raza, A.; Khan, S.U.; Khan, M.I.; Farid, S.; Muhammad, T.; Khan, M.I.; Galal, A.M. Fractional order simulations for the thermal determination of graphene oxide (GO) and molybdenum disulphide (MoS2) nanoparticles with slip effects. Case Stud. Therm. Eng. 2021, 28, 101453. [Google Scholar] [CrossRef]
- Madhukesh, J.; Ramesh, G.; Kumar, R.V.; Prasannakumara, B.; Alaoui, M.K. Computational study of chemical reaction and activation energy on the flow of Fe3O4-Go/water over a moving thin needle: Theoretical aspects. Comput. Theor. Chem. 2021, 1202, 113306. [Google Scholar] [CrossRef]
- Hamid, M.; Usman, M.; Zubair, T.; Haq, R.U.; Wang, W. Shape effects of MoS2 nanoparticles on rotating flow of nanofluid along a stretching surface with variable thermal conductivity: A Galerkin approach. Int. J. Heat Mass Transf. 2018, 124, 706–714. [Google Scholar] [CrossRef]
- Alwawi, F.A.; Alkasasbeh, H.T.; Rashad, A.M.; Idris, R. A numerical approach for the heat transfer flow of carboxymethyl cellulose-water based Casson nanofluid from a solid sphere generated by mixed convection under the influence of Lorentz force. Mathematics 2020, 8, 1094. [Google Scholar] [CrossRef]
- Mittag-Leffler, G.M. Sur la nouvelle fonction Eα (x). CR Acad. Sci. Paris 1903, 137, 554–558. [Google Scholar]
- Wiman, A. Uber den fundamental Satz in der Theories der Funktionen Eα (z). Acta Math. 1905, 29, 191–201. [Google Scholar] [CrossRef]
- Prabhakar, T.R. A singular integral equation with a generalized Mittag Leffler function in the kernel. Yokohama Math. J. 1971, 19, 7–15. [Google Scholar]
- Giusti, A.; Colombaro, I. Prabhakar-like fractional viscoelasticity. Commun. Nonlinear Sci. Numer. Simul. 2018, 56, 138–143. [Google Scholar] [CrossRef]
- Polito, F.; Tomovski, Z. Some properties of Prabhakar-type fractional calculus operators. arXiv 2015, arXiv:1508.03224. [Google Scholar] [CrossRef]
- Stehfest, H. Algorithm 368: Numerical inversion of Laplace transforms [D5]. Commun. ACM 1970, 13, 47–49. [Google Scholar] [CrossRef]













| Thermal Features | Regular Nanofluid |
|---|---|
| Density | |
| Dynamic Viscosity | |
| Electrical conductivity | |
| Thermal conductivity | |
| Heat capacitance | |
| Thermal Expansion Coefficient |
| Material | |||
|---|---|---|---|
| 997 | 5060 | 1800 | |
| 4179 | 397.21 | 717 | |
| 0.613 | 904.4 | 5000 | |
Stehfest | Tzou | Stehfest | Tzou | Stehfest | Tzou | |
|---|---|---|---|---|---|---|
| 0.1 | 2.3030 | 2.0953 | 0.7744 | 0.7357 | 1.3951 | 1.3920 |
| 0.2 | 2.0050 | 1.8179 | 0.5987 | 0.5688 | 1.4525 | 1.4467 |
| 0.3 | 1.7447 | 1.5766 | 0.4621 | 0.4390 | 1.4603 | 1.4554 |
| 0.4 | 1.5176 | 1.3668 | 0.3561 | 0.3383 | 1.4395 | 1.4307 |
| 0.5 | 1.3190 | 1.1843 | 0.2738 | 0.2601 | 1.3918 | 1.3825 |
| 0.6 | 1.1458 | 1.0258 | 0.2101 | 0.1996 | 1.3276 | 1.3182 |
| 0.7 | 0.9948 | 0.8880 | 0.1608 | 0.1528 | 1.2527 | 1.2436 |
| 0.8 | 0.8632 | 0.7684 | 0.1228 | 0.1166 | 1.1716 | 1.1631 |
| 0.9 | 0.7484 | 0.6645 | 0.0935 | 0.0888 | 1.0877 | 1.0800 |
| 0.1 | 3.9194 | 4.9767 | 1.7162 | 1.5888 | 2.0424 | 1.9859 |
| 0.2 | 3.5249 | 4.1850 | 1.8083 | 1.7001 | 2.0604 | 2.0352 |
| 0.3 | 3.1974 | 3.4786 | 1.9146 | 1.8597 | 2.0952 | 2.0503 |
| 0.4 | 2.9227 | 2.8323 | 2.0228 | 2.0794 | 2.1295 | 2.2678 |
| 0.5 | 2.6915 | 2.2279 | 2.1408 | 2.3642 | 2.1507 | 2.6309 |
| 0.6 | 2.4985 | 1.6524 | 2.2414 | 2.7063 | 2.1544 | 3.0274 |
| 0.7 | 2.3405 | 1.0976 | 2.3246 | 3.0587 | 2.1428 | 3.4998 |
| 0.8 | 2.2154 | 0.5556 | 2.3807 | 3.4734 | 2.1207 | 3.8385 |
| 0.9 | 2.1219 | 0.0231 | 2.4284 | 3.8443 | 2.0935 | 4.0515 |
Publisher’s Note: MDPI stays neutral with regard to jurisdictional claims in published maps and institutional affiliations. |
© 2022 by the authors. Licensee MDPI, Basel, Switzerland. This article is an open access article distributed under the terms and conditions of the Creative Commons Attribution (CC BY) license (https://creativecommons.org/licenses/by/4.0/).
Share and Cite
Raza, A.; Khan, U.; Raizah, Z.; Eldin, S.M.; Alotaibi, A.M.; Elattar, S.; Abed, A.M. Numerical and Computational Analysis of Magnetohydrodynamics over an Inclined Plate Induced by Nanofluid with Newtonian Heating via Fractional Approach. Symmetry 2022, 14, 2412. https://doi.org/10.3390/sym14112412
Raza A, Khan U, Raizah Z, Eldin SM, Alotaibi AM, Elattar S, Abed AM. Numerical and Computational Analysis of Magnetohydrodynamics over an Inclined Plate Induced by Nanofluid with Newtonian Heating via Fractional Approach. Symmetry. 2022; 14(11):2412. https://doi.org/10.3390/sym14112412
Chicago/Turabian StyleRaza, Ali, Umair Khan, Zehba Raizah, Sayed M. Eldin, Abeer M. Alotaibi, Samia Elattar, and Ahmed M. Abed. 2022. "Numerical and Computational Analysis of Magnetohydrodynamics over an Inclined Plate Induced by Nanofluid with Newtonian Heating via Fractional Approach" Symmetry 14, no. 11: 2412. https://doi.org/10.3390/sym14112412
APA StyleRaza, A., Khan, U., Raizah, Z., Eldin, S. M., Alotaibi, A. M., Elattar, S., & Abed, A. M. (2022). Numerical and Computational Analysis of Magnetohydrodynamics over an Inclined Plate Induced by Nanofluid with Newtonian Heating via Fractional Approach. Symmetry, 14(11), 2412. https://doi.org/10.3390/sym14112412

