Study on Water Jet Characteristics of Square Nozzle Based on CFD and Particle Image Velocimetry
Abstract
1. Introduction
2. Nozzle Structure and Jet Characteristics
3. Calculation Model Based on CFD
3.1. Governing Equations and Turbulence Model
3.2. Numerical Model and Method
4. Analysis of Simulation Results
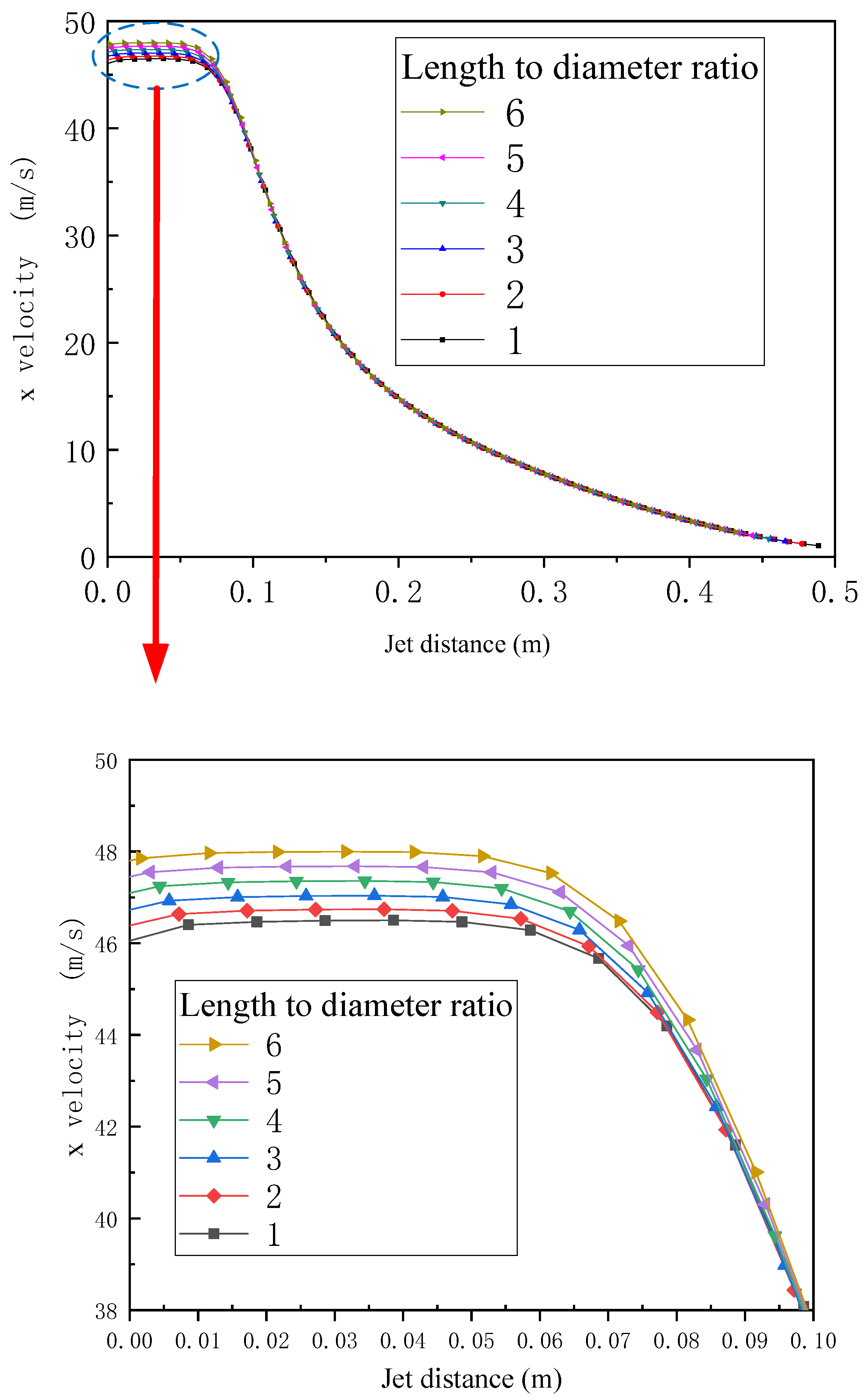
4.1. Effects of Different Length-to-Diameter Ratios on the Constant-Velocity Core
4.2. Effects of Different Contraction Angles on the Constant-Velocity Core
4.3. Uncertainity Analysis
- (1)
- In actual engineering, the components of sediment are not single; thus, the actual jet velocity and angle may be affected by the fluid composition;
- (2)
- The temperature change was not considered in the simulation, whereas, in actual engineering, the jet flow variable is affected by the ambient temperature; thus, the uncertainty of temperature should be considered in the experiment;
- (3)
- The wear of the nozzle was not considered in the simulation; however, in an actual project, the wear of the nozzle affects the jet.
5. Experiment
6. Conclusions
- (1)
- The particle image velocimetry experiment verified the validity of the simulation scheme based on the realizable turbulence model.
- (2)
- A larger length-to-diameter ratio of a square nozzle results in a longer flow energy exchange distance, greater flow deceleration, and greater velocity in the constant-velocity core area.
- (3)
- A larger constriction angle of the square nozzle results in a better acceleration effect of the liquid flow in the constriction section, increased velocity when entering the outlet section, and greater velocity in the isokinetic core region. Therefore, when the water jet impact crushes and removes soil above the lotus root, the design shrinkage angle of the square nozzle used should not be greater than 60°; the appropriate shrinkage angle is .
Author Contributions
Funding
Data Availability Statement
Conflicts of Interest
References
- Liu, M.C.; Mao, D.W.; Wang, Z.H.; Song, Z.H.; Wang, G.R.; Li, F.D. Research Status of Lotus Root Digging Technology and Prospect of Lotus Root Harvesting Technology in Yellow Kiver Delta Region. Agric. Eng. 2018, 8, 1–5. [Google Scholar]
- Liu, Y.; Ke, W.; Huang, X. Lotus rhizome’s manual and mechanical excavations. J. Chang. Veg. 2014, 21, 10–15. [Google Scholar]
- Guo, Y. Design and research of Lotus rhizome excavator for paddy field. Master’s Dissertation, Huazhong Agricultural University, Wuhan, China, 2015. [Google Scholar]
- Zhang, Y.; Jiang, Z. Development of jet-type lotus-digging machine. Grain Oil Process. Food Mach. 1982, 8, 33–38. [Google Scholar]
- Jing-Fei, H.E.; Chen, J.G.; Wang, A.L.; Zhang, Y.Y. Study on Flow Field of a New Digging Lotus Based on the Vortex Theory. Comput. Simul. 2015, 32, 184–187. [Google Scholar]
- Wu, H.; Xia, J.; Zhang, G.; Wang, P.; Lao, S.; Zhang, X. Design and Experiment of Spin-jet Flow Type Lotus Root Digging Machine based on EDEM-Fluent. Trans. Chin. Soc. Agric. Eng. 2018, 34, 9–14. [Google Scholar]
- He, F.; Xie, J.; Yang, J. Effect of Nozzle Geometry on Aerodynamics of Free Jet. Chin. J. Appl. Mech. 2001, 18, 114–119. [Google Scholar]
- Vasil’Ev, O.A.; Minin, S.N.; Shipovskikh, A.V. Investigation of the Flow Structure in Nozzles with a Throat Section of Constant Height. Fluid Dyn. 1990, 25, 944–949. [Google Scholar] [CrossRef]
- Etzold, M.; Deswal, A.; Chen, L.; Durst, F. Break-up Length of Liquid Jets Produced by Short Nozzles. Int. J. Multiph. Flow 2018, 99, 397–407. [Google Scholar] [CrossRef]
- Geng, L.; Hu, Z.; Lin, Y. Numerical Investigation of the Influence of Nozzle Geometrical Parameters on Thrust of Synthetic Jet Underwater. Sens. Actuators A Phys. 2018, 269, 111–125. [Google Scholar] [CrossRef]
- Liu, P.; Zhang, D. Research on Calculation of the Influence of Nozzle Geometric Parameters on the Property of Efflux Flow Field. J. Mach. Des. 2017, 24, 50–52. [Google Scholar]
- Chen, C.; Yuan, S.; Li, H.; Wang, C. Effect of Non-circle Nozzle on Hydraulic Performance of Impact Variable-rate Sprinkler. Trans. Chin. Soc. Agric. Mach. 2011, 42, 111–115. [Google Scholar]
- Wei, Y.; Yuan, S.; Li, H.; Xiang, Q.; Chen, C. Hydraulic Performance Experiment of the Variable-rate Sprinkler with Non-circle Nozzle. Trans. Chin. Soc. Agric. Mach. 2011, 42, 70–74. [Google Scholar]
- Jiang, Y.; Hong, L.I.; Xiang, Q.J.; Chen, C. Experimental Study on Breakup Length and Range of Free Jet for the Non-circle Jet Nozzle. J. Irrig. Drain. 2014, 33, 149–153. [Google Scholar]
- Hua, L.; Jiang, Y.; Hong, L.I.; Zhou, X. Hydraulic Performance of Low Pressure Sprinkler with Special-shaped Nozzles. J. Drain. Irrig. Mach. Eng. 2018, 36, 1109–1114. [Google Scholar]
- Li, X.; Chen, M.; Wang, Y.; Hu, J.; Sun, Z.; Christopher, D.M.; Cheng, L. Measurements of Concentration Decays in Underexpanded Jets through Rectangular Slot Nozzles. Int. J. Hydrogen Energy 2018, 43, 9884–9893. [Google Scholar] [CrossRef]
- Liu, J.; Lv, H.; Wang, L. Performance of Internal Flow Field of Shaped Nozzle with the High-pressure Water Jet Cleaning Equipment. Mach. Build. Autom. 2015, 44, 65–67. [Google Scholar]
- Liu, J.; Wang, A.; Cai, J.; Jiang, B. Comparison of Water Jet Flow Field Between Non-Circle Nozzles and Conical Nozzles. Light Ind. Mach. 2019, 37, 19–24. [Google Scholar]
- Zhao, X. Experimental Study on Jet Characteristics of Abnormity Nozzle. Master’s Dissertation, Tianjin University of Science and Technology, Tianjin, China, 2005. [Google Scholar]
- Huang, K.L.; Yang, Y.X.; Wen, Q.; Huang, K.H.; Jian, Z.; Li, Z.B. Analysis about Influence of PDC Rectangular Nozzles on Bottom Flow Field. Mech. Res. Appl. 2012, 25, 28–30. [Google Scholar]
- He, X. Numerical Simulation and Experimental Study of Self-Oscillating Pulsed Nozzles with Different Nozzle Shapes; Hunan University of Technology: Zhuzhou, China, 2014. [Google Scholar]
- Hoyas, S.; Sendín, J.J. Reynolds number effects on the Reynolds-stress budgets in turbulent channels. Phys. Fluids 2008, 20, 133. [Google Scholar] [CrossRef]
- Xiong, J.; Liao, R.; Chen, X. Rock-Breaking Theory and Technology of Jet-Assisted Drilling; Sichuan Science and Technology Press: Chengdu, China, 2007. [Google Scholar]












| Outlet Jet Velocity (m/s) | ||
|---|---|---|
| Experimental Value | Simulation Value | |
| 2 | 47.474 | 47.53 |
| 3 | 47.893 | 47.55 |
| Outlet Jet Velocity (m/s) | ||
|---|---|---|
| Experimental Value | Simulation Value | |
| 13° | 47.893 | 47.55 |
| 45° | 48.98 | 48.74 |
Publisher’s Note: MDPI stays neutral with regard to jurisdictional claims in published maps and institutional affiliations. |
© 2022 by the authors. Licensee MDPI, Basel, Switzerland. This article is an open access article distributed under the terms and conditions of the Creative Commons Attribution (CC BY) license (https://creativecommons.org/licenses/by/4.0/).
Share and Cite
Fu, Z.; Li, K.; Pang, Y.; Ma, L.; Wang, Z.; Jiang, B. Study on Water Jet Characteristics of Square Nozzle Based on CFD and Particle Image Velocimetry. Symmetry 2022, 14, 2392. https://doi.org/10.3390/sym14112392
Fu Z, Li K, Pang Y, Ma L, Wang Z, Jiang B. Study on Water Jet Characteristics of Square Nozzle Based on CFD and Particle Image Velocimetry. Symmetry. 2022; 14(11):2392. https://doi.org/10.3390/sym14112392
Chicago/Turabian StyleFu, Zhuo, Kun Li, Yongjun Pang, Liyong Ma, Zhanying Wang, and Bin Jiang. 2022. "Study on Water Jet Characteristics of Square Nozzle Based on CFD and Particle Image Velocimetry" Symmetry 14, no. 11: 2392. https://doi.org/10.3390/sym14112392
APA StyleFu, Z., Li, K., Pang, Y., Ma, L., Wang, Z., & Jiang, B. (2022). Study on Water Jet Characteristics of Square Nozzle Based on CFD and Particle Image Velocimetry. Symmetry, 14(11), 2392. https://doi.org/10.3390/sym14112392

