Bayesian Analysis of Partially Linear Additive Spatial Autoregressive Models with Free-Knot Splines
Abstract
:1. Introduction
2. Methodology
2.1. Model
2.2. Likelihood
3. Bayesian Estimation
3.1. Priors
3.2. The Full Conditional Posterior Distributions of Unknown Quantities
3.3. Sampling Scheme
| Algorithm 1 The MCMC sampling algorithm. |
| Input: Samples . Initialization: Initialize in the MCMC algorithm, where the unknown parameters are generated from the priors, respectively. MCMC iterations: Given the current state of successively, draw from , for The detailed MCMC sampling cycles are outlined in the following manner. (a) Generate from ; (b) Generate from ; (c) Generate from ; (d) Generate from for ; (e) Generate from , and adjust according to (14) for ; (f) Generate from for ; (g) Generate from . Output: The MCMC sampling from the conditional posteriors of . |
4. Empirical Illustrations
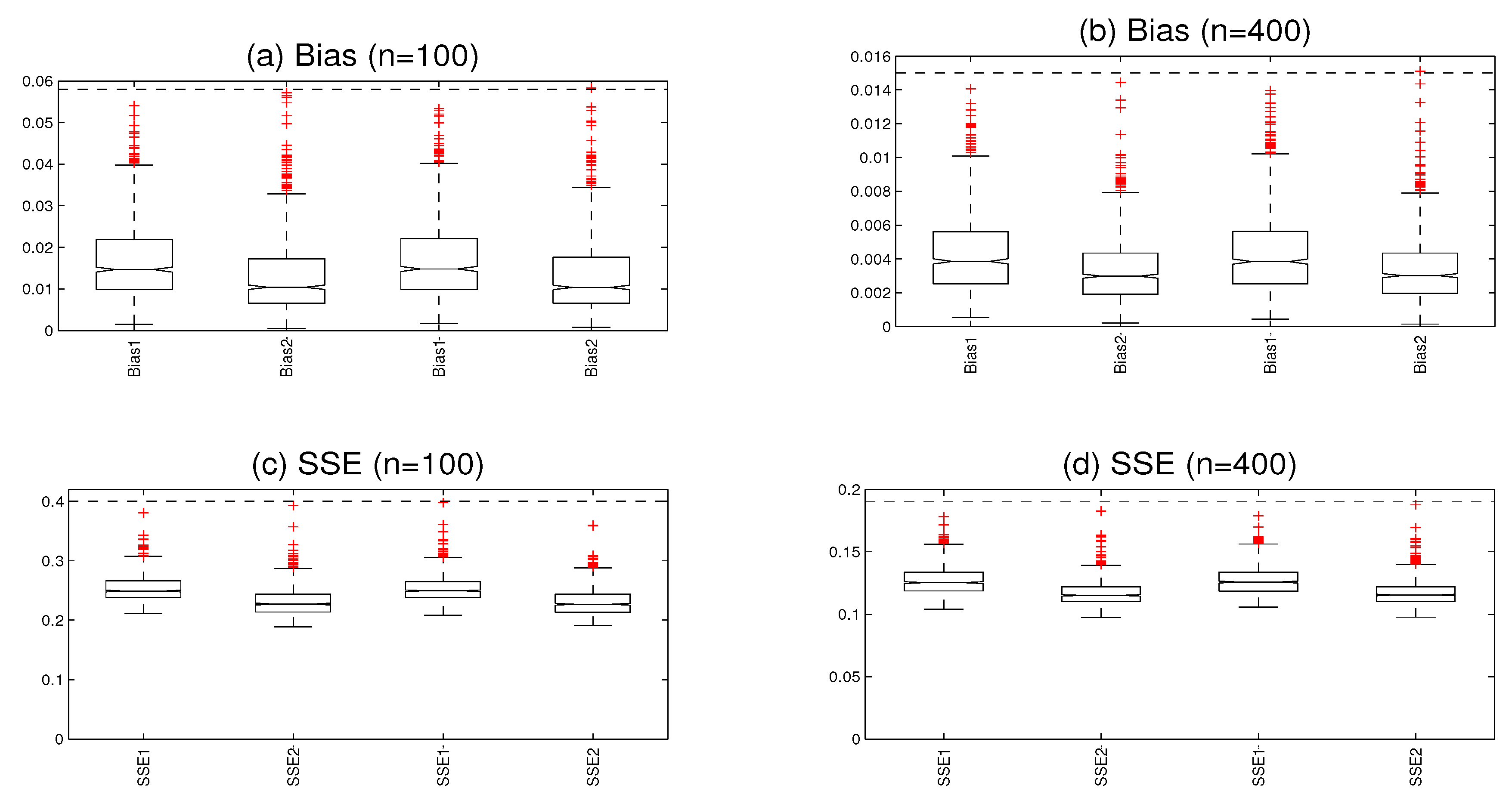
4.1. Simulation
4.2. Application
5. Summary
Author Contributions
Funding
Institutional Review Board Statement
Informed Consent Statement
Data Availability Statement
Acknowledgments
Conflicts of Interest
References
- Cliff, A.D.; Ord, J.K. Spatial Autocorrelation; Pion Ltd.: London, UK, 1973. [Google Scholar]
- Anselin, L. Spatial Econometrics: Methods and Models; Kluwer Academic Publisher: Dordrecht, The Netherlands, 1988. [Google Scholar]
- Case, A.C. Spatial patterns in householed demand. Econometrica 1991, 59, 953–965. [Google Scholar] [CrossRef] [Green Version]
- Cressie, N. Statistics for Spatial Data; John Wiley and Sons: New York, NY, USA, 1993. [Google Scholar]
- LeSage, J.P. Bayesian estimation of spatial autoregressive models. Int. Reg. Sci. Rev. 1997, 20, 113–129. [Google Scholar] [CrossRef]
- LeSage, J.P. Bayesian estimation of limited dependent variable spatial autoregressive models. Geogr. Anal. 2000, 32, 19–35. [Google Scholar] [CrossRef]
- Anselin, L.; Bera, A.K. Spatial dependence in linear regression models with an introduction to spatial econometrics. In Handbook of Applied Economics Statistics; Marcel Dekker: New York, NY, USA, 1998. [Google Scholar]
- Ord, J. Estimation methods for models of spatial interaction. J. Am. Stat. Assoc. 1975, 70, 120–126. [Google Scholar] [CrossRef]
- Kelejian, H.H.; Prucha, I.R. A generalized moments estimator for the autoregressive parameter in a spatial model. Int. Econ. Rev. 1999, 40, 509–533. [Google Scholar] [CrossRef] [Green Version]
- Lee, L.F. Asymptotic distribution of quasi-maximum likelihood estimators for spatial autoregressive models. Econometrica 2004, 72, 1899–1925. [Google Scholar] [CrossRef]
- Paelinck, J.H.P.; Klaassen, L.H.; Ancot, J.P.; Verster, A.C.P. Spatial Econometrics; Gower: Farnborough, UK, 1979. [Google Scholar]
- Basile, R.; Gress, B. Semi-parametric spatial auto-covariance models of regional growth behaviour in Europe. Rég. Dév. 2004, 21, 93–118. [Google Scholar] [CrossRef]
- Basile, R. Regional economic growth in Europe: A semiparametric spatial dependence approach. Pape. Reg. Sci. 2008, 87, 527–544. [Google Scholar] [CrossRef]
- Su, L.J.; Jin, S.N. Profile quasi-maximum likelihood estimation of partially linear spatial autoregressive models. J. Econom. 2010, 157, 18–33. [Google Scholar] [CrossRef]
- Baltagi, B.H.; Li, D. LM tests for functional form and spatial correlation. Int. Reg. Sci. Rev. 2001, 24, 194–225. [Google Scholar] [CrossRef]
- Pace, P.K.; Barry, R.; Slawson, V.C., Jr.; Sirmans, C.F. Simultaneous spatial and functional form transformation. In Advances in Spatial Econometrics; Anselin, L., Florax, R., Rey, S.J., Eds.; Springer: Berlin, Germany, 2004; pp. 197–224. [Google Scholar]
- van Gastel, R.A.J.J.; Paelinck, J.H.P. Computation of Box-cox transform parameters: A new method and its application to spatial econometrics. In New Directions in Spatial Econometrics; Anselin, L., Florax, R.J.G.M., Eds.; Springer: Berlin/Heidelberg, Germany, 1995; pp. 136–155. [Google Scholar]
- Yang, Z.; Li, C.; Tse, Y.K. Functional form and spatial dependence in dynamic panels. Econ. Lett. 2006, 91, 138–145. [Google Scholar] [CrossRef]
- Bellman, R.E. Adaptive Control Processes; Princeton University Press: Princeton, NJ, USA, 1961. [Google Scholar]
- Friedman, J.H.; Stuetzle, W. Projection pursuit regression. J. Am. Stat. Assoc. 1981, 76, 817–823. [Google Scholar] [CrossRef]
- Engle, R.F.; Granger, C.W.; Rice, J.; Weiss, A. Semiparametric Estimates of the Relation Between Weather and Electricity Sales. J. Am. Stat. Assoc. 1986, 81, 310–320. [Google Scholar] [CrossRef]
- Hastie, T.J.; Tibshirani, R.J. Generalized Additive Models; Chapman and Hall: London, UK, 1990. [Google Scholar]
- Hastie, T.J.; Tibshirani, R.J. Varying-coefficient models. J. R. Stat. B 1993, 55, 757–796. [Google Scholar] [CrossRef]
- Su, L.J. Semiparametric GMM estimation of spatial autoregressive models. J. Econom. 2012, 167, 543–560. [Google Scholar] [CrossRef]
- Chen, J.Q.; Wang, R.F.; Huang, Y.X. Semiparametric spatial autoregressive model: A two-step Bayesian approach. Ann. Public Health Res. 2015, 2, 1012. [Google Scholar]
- Wei, H.J.; Sun, Y. Heteroskedasticity-robust semi-parametric GMM estimation of a spatial model with space-varying coefficients. Spat. Econ. Anal. 2016, 12, 113–128. [Google Scholar] [CrossRef]
- Krisztin, T. The determinants of regional freight transport: A spatial, semiparametric approach. Geogr. Anal. 2017, 49, 268–308. [Google Scholar] [CrossRef]
- Krisztin, T. Semi-parametric spatial autoregressive models in freight generation modeling. Transp. Res. Part E Logist. Transp. Rev. 2018, 114, 121–143. [Google Scholar] [CrossRef]
- Du, J.; Sun, X.Q.; Cao, R.Y.; Zhang, Z.Z. Statistical inference for partially linear additive spatial autoregressive models. Spat. Stat. 2018, 25, 52–67. [Google Scholar] [CrossRef]
- Chen, J.B.; Cheng, S.L. GMM estimation of a partially linear additive spatial error model. Mathematics 2021, 9, 622. [Google Scholar] [CrossRef]
- Liang, H.; Thurston, S.W.; Ruppert, D.; Apanasovich, T.; Hauser, R. Additive partial linear models with measurement errors. Biometrika 2008, 95, 667–678. [Google Scholar] [CrossRef] [PubMed] [Green Version]
- Deng, G.H.; Liang, H. Model averaging for semiparametric additive partial linear models. Sci. China Math. 2010, 53, 1363–1376. [Google Scholar] [CrossRef]
- Wang, L.; Yang, L.J. Spline-backfitted kernel smoothing of nonlinear additive autoregression model. Ann. Stat. 2007, 35, 2474–2503. [Google Scholar] [CrossRef] [Green Version]
- Zhang, J.; Lian, H. Partially linear additive models with Unknown Link Functions. Scand. J. Stat. 2018, 45, 255–282. [Google Scholar] [CrossRef]
- Hu, Y.A.; Zhao, K.F.; Lian, H. Bayesian Quantile Regression for Partially Linear Additive Models. Stat. Comput. 2015, 25, 651–668. [Google Scholar] [CrossRef] [Green Version]
- Lian, H. Semiparametric estimation of additive quantile regression models by twofold penalty. J. Bus. Econ. Stat. 2012, 30, 337–350. [Google Scholar] [CrossRef]
- Sherwood, B.; Wang, L. Partially linear additive quantile regression in ultra-high dimension. Ann. Stat. 2016, 44, 288–317. [Google Scholar] [CrossRef]
- Yu, K.M.; Lu, Z.D. Local linear additive quantile regression. Scand. J. Stat. 2004, 31, 333–346. [Google Scholar] [CrossRef]
- Du, P.; Cheng, G.; Liang, H. Semiparametric regression models with additive nonparametric components and high dimensional parametric components. Comput. Stat. Data Anal. 2012, 56, 2006–2017. [Google Scholar] [CrossRef]
- Guo, J.; Tang, M.L.; Tian, M.Z.; Zhu, K. Variable selection in high-dimensional partially linear additive models for composite quantile regression. Comput. Stat. Data Anal. 2013, 65, 56–67. [Google Scholar] [CrossRef]
- Liu, X.; Wang, L.; Liang, H. Estimation and variable selection for semiparametric additive partial linear models. Stat. Sin. 2011, 21, 1225–1248. [Google Scholar] [CrossRef] [Green Version]
- Wang, L.; Liu, X.; Liang, H.; Carroll, R.J. Estimation and variable selection for generalized additive partial linear models. Ann. Stat. 2011, 39, 1827–1851. [Google Scholar] [CrossRef] [PubMed]
- Denison, D.G.T.; Mallick, B.K.; Smith, A.F.M. Automatic Bayesian curving fitting. J. R. Stat. B 1998, 60, 333–350. [Google Scholar] [CrossRef]
- Dimatteo, I.; Genovese, C.R.; Kass, R.E. Bayesian curve fitting with free-knot splines. Biometrika 2001, 88, 1055–1071. [Google Scholar] [CrossRef]
- Holmes, C.C.; Mallick, B.K. Bayesian regression with multivariate linear splines. J. R. Stat. B 2001, 63, 3–17. [Google Scholar] [CrossRef]
- Holmes, C.C.; Mallick, B.K. Generalized nonlinear modeling with multivariate free-knot regression splines. J. Am. Stat. Assoc. 2003, 98, 352–368. [Google Scholar] [CrossRef]
- Lindstrom, M.J. Bayesian estimation of free-knot splines using reversible jump. Comput. Stat. Data Anal. 2002, 41, 255–269. [Google Scholar] [CrossRef]
- Poon, W.-Y.; Wang, H.-B. Bayesian analysis of generalized partially linear single-index models. Comput. Stat. Data Anal. 2013, 68, 251–261. [Google Scholar] [CrossRef]
- Poon, W.Y.; Wang, H.B. Multivariate partially linear single-index models: Bayesian analysis. J. Nonparametr. Stat. 2014, 26, 755–768. [Google Scholar] [CrossRef]
- Chen, Z.Y.; Wang, H.B. Latent single-index models for ordinal data. Stat. Comput. 2018, 28, 699–711. [Google Scholar] [CrossRef]
- Wang, H.B. A Bayesian multivariate partially linear single-index probit model for ordinal responses. J. Stat. Comput. Sim. 2018, 88, 1616–1636. [Google Scholar] [CrossRef]
- LeSage, P.J.; Pace, R.K. Introduction to Spatial Econometrics; CRC Press: Boca Raton, FL, USA; London, UK; New York, NY, USA, 2009. [Google Scholar]
- Metropolis, N.; Rosenbluth, A.W.; Rosenbluth, M.N.; Teller, A.H.; Teller, E. Equations of state calculations by fast computing machine. J. Chem. Phys. 1953, 21, 1087–1091. [Google Scholar] [CrossRef] [Green Version]
- Hastings, W.K. Monte Carlo sampling methods using Markov chains and their applications. Biometrika 1970, 57, 97–109. [Google Scholar] [CrossRef]
- Tanner, M.A. Tools for Statistical Inference: Methods for the Exploration of Posterior Distributions and Likelihood Functions, 2nd ed.; Springer: New York, NY, USA, 1993. [Google Scholar]
- Panagiotelis, A.; Smith, M. Bayesian identification, selection and estimation of semiparametric functions in high-dimensional additive models. J. Econom. 2008, 143, 291–316. [Google Scholar] [CrossRef]
- Green, P. Reversible jump Markov chain Monte Carlo computation and Bayesian model determination. Biometrika 1995, 82, 711–732. [Google Scholar] [CrossRef]
- Chen, M.-H.; Schmeiser, B.W. General hit-and-run Monte Carlo sampling for evaluating multidimensional integrals. Oper. Res. Lett. 1996, 19, 161–169. [Google Scholar] [CrossRef]
- Su, L.J.; Yang, Z.L. Instrumental Variable Quantile Estimation of Spatial Autoregressive Models; Working Paper; Singapore Management University: Singapore, 2009. [Google Scholar]
- Gelman, A.; Rubin, D.B. Inference from iterative simulation using multiple sequences. Stat. Sci. 1992, 7, 457–511. [Google Scholar] [CrossRef]
- Chen, Z.Y.; Chen, M.H.; Xing, G.D. Bayesian Estimation of Partially Linear Additive Spatial Autoregressive Models with P-Splines. Math. Probl. Eng. 2021, 2021, 1777469. [Google Scholar] [CrossRef]
- Harezlak, J.; Ruppert, D.; Wand, M. Semiparametric Regression with R; Springer: New York, NY, USA, 2018. [Google Scholar]
- Sun, Y.; Yan, H.J.; Zhang, W.Y.; Lu, Z. A Semiparametric spatial dynamic model. Ann. Stat. 2014, 42, 700–727. [Google Scholar] [CrossRef] [Green Version]








| Parameter | n | Rook Weight Matrix | Case Weight Matrix | |||||||
|---|---|---|---|---|---|---|---|---|---|---|
| Mean | SE | SD | CI | Mean | SE | SD | CI | |||
| 100 | (20, 5) | |||||||||
| Total effect | ||||||||||
| Total effect | ||||||||||
| Total effect | ||||||||||
| 100 | (20, 5) | |||||||||
| Total effect | ||||||||||
| Total effect | ||||||||||
| Total effect | ||||||||||
| 400 | ||||||||||
| Total effect | ||||||||||
| Total effect | ||||||||||
| Total effect | ||||||||||
| 400 | ||||||||||
| Total effect | ||||||||||
| Total effect | ||||||||||
| Total effect | ||||||||||
| Functions | With GMME | With BE | |||
|---|---|---|---|---|---|
| Bias | SSE | Bias | SSE | ||
| (60, 5) | 0.006 | 0.146 | |||
| 0.007 | 0.141 | ||||
| (80, 5) | |||||
| Parameter | Mean | SE | 95% CI |
|---|---|---|---|
| Total effect | |||
Publisher’s Note: MDPI stays neutral with regard to jurisdictional claims in published maps and institutional affiliations. |
© 2021 by the authors. Licensee MDPI, Basel, Switzerland. This article is an open access article distributed under the terms and conditions of the Creative Commons Attribution (CC BY) license (https://creativecommons.org/licenses/by/4.0/).
Share and Cite
Chen, Z.; Chen, J. Bayesian Analysis of Partially Linear Additive Spatial Autoregressive Models with Free-Knot Splines. Symmetry 2021, 13, 1635. https://doi.org/10.3390/sym13091635
Chen Z, Chen J. Bayesian Analysis of Partially Linear Additive Spatial Autoregressive Models with Free-Knot Splines. Symmetry. 2021; 13(9):1635. https://doi.org/10.3390/sym13091635
Chicago/Turabian StyleChen, Zhiyong, and Jianbao Chen. 2021. "Bayesian Analysis of Partially Linear Additive Spatial Autoregressive Models with Free-Knot Splines" Symmetry 13, no. 9: 1635. https://doi.org/10.3390/sym13091635
APA StyleChen, Z., & Chen, J. (2021). Bayesian Analysis of Partially Linear Additive Spatial Autoregressive Models with Free-Knot Splines. Symmetry, 13(9), 1635. https://doi.org/10.3390/sym13091635

