Effects of Exercise Intensity on Pedal Force Asymmetry during Cycling
Abstract
:1. Introduction
2. Materials and Methods
2.1. Participants
2.2. Measures
2.2.1. Lower Limb Dominance
2.2.2. Incremental Cycling Test (ICT)
2.2.3. Pedaling Asymmetry
2.3. Statistical Analysis
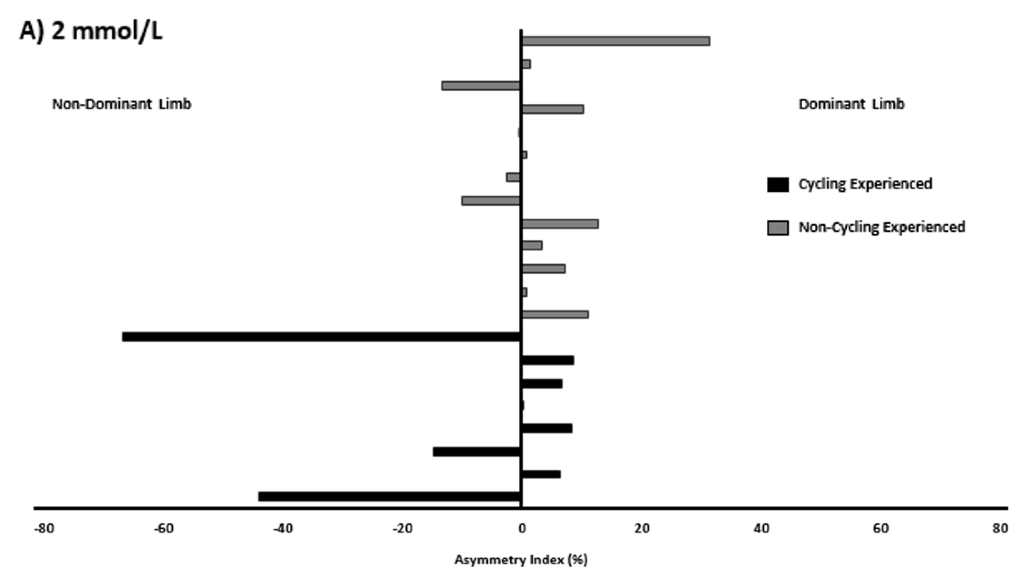
3. Results
4. Discussion
5. Conclusions
Author Contributions
Funding
Institutional Review Board Statement
Informed Consent Statement
Data Availability Statement
Conflicts of Interest
References
- Støren, Ø.; Ulevåg, K.; Larsen, M.H.; Støa, E.M.; Helgerud, J. Physiological Determinants of the Cycling Time Trial. J. Strength Cond. Res. 2013, 27, 2366–2373. [Google Scholar] [CrossRef] [PubMed]
- Bini, R.R.; Jacques, T.C.; Sperb, C.H.; Lanferdini, F.J.; Vaz, M.A. Pedal force asymmetries and performance during a 20-km cycling time trial. Kinesiology 2016, 48, 193–199. [Google Scholar] [CrossRef]
- Carpes, F.P.; Mota, C.B.; Faria, I.E. On the bilateral asymmetry during running and cycling—A review considering leg preference. Phys. Ther. Sport 2010, 11, 136–142. [Google Scholar] [CrossRef] [PubMed]
- Daly, D.J.; Cavanagh, P.R. Asymmetry in bicycle ergometer pedalling. Med. Sci. Sports Exerc. 1976, 8, 204–208. [Google Scholar] [CrossRef]
- Sargeant, A.J.; Davies, C.T. Forces applied to cranks of a bicycle ergometer during one- and two-leg cycling. J. Appl. Physiol. 1977, 42, 514–518. [Google Scholar] [CrossRef] [PubMed]
- Carpes, F.P.; Rossato, M.; E Faria, I.; Mota, C.B. Bilateral pedaling asymmetry during a simulated 40-km cycling time-trial. J. Sports Med. Phys. Fit. 2007, 47, 51–57. [Google Scholar] [CrossRef]
- Cavanagh, P.R.; Petak, K.L.; Shapiro, R.; Daly, D. Bilateral asymmetry in work output during cycle ergometer pedalling. Med. Sci. Sports Exerc. 1974, 6, 80–81. [Google Scholar]
- Garcia-Lopez, J.; Diez-Leal, S.; Larrazabal, J.; Ogueta-Alday, A. No bilateral asymmetry during pedalling in healthy cyclists of different performance levels. In Proceedings of the 33 International Conference of Biomechanics in Sports, Poitiers, France, 29 June–3 July 2015. [Google Scholar]
- Bertucci, W.M.; Arfaoui, A.; Polidori, G. Analysis of the pedaling biomechanics of master’s cyclists: A preliminary study. J. Sci. Cycl. 2012, 1, 42–46. [Google Scholar]
- Bini, R.R.; Hume, P.A. Assessment of Bilateral Asymmetry in Cycling Using a Commercial Instrumented Crank System and Instrumented Pedals. Int. J. Sports Physiol. Perform. 2014, 9, 876–881. [Google Scholar] [CrossRef]
- Bini, R.R.; Jacques, T.C.; Carpes, F.P.; Vaz, M.A. Effectiveness of pedalling retraining in reducing bilateral pedal force asymmetries. J. Sports Sci. 2016, 35, 1336–1341. [Google Scholar] [CrossRef]
- Maulder, P.S. Dominant limb asymmetry associated with prospective injury occurrence. South. Afr. J. Res. Sport Phys. Educ. Recreat. 2013, 35, 121–131. [Google Scholar]
- Carpes, F.P.; Rossato, M.; Faria, I.E.; Mota, C.B. During an incremental exercise cyclists improve bilateral pedaling symmetry. Bra-zilian J. Biomotricity 2008, 2, 155–159. [Google Scholar]
- Beneke, R.; Leithäuser, R.M.; Ochentel, O. Blood Lactate Diagnostics in Exercise Testing and Training. Int. J. Sports Physiol. Perform. 2011, 6, 8–24. [Google Scholar] [CrossRef] [Green Version]
- Van Melick, N.; Meddeler, B.M.; Hoogeboom, T.J.; Der Sanden, M.W.G.N.-V.; Van Cingel, R.E.H. How to determine leg dominance: The agreement between self-reported and observed performance in healthy adults. PLoS ONE 2017, 12, e0189876. [Google Scholar] [CrossRef] [Green Version]
- Larson, R.D. Physiologic Responses to Two Distinct Maximal Cardiorespiratory Exercise Protocols. Int. J. Sports Exerc. Med. 2015, 1. [Google Scholar] [CrossRef]
- Borg, G. Borg’s Perceived Exertion and Pain Scales; Human Kinetics: Champaign, IL, USA, 1998. [Google Scholar]
- Dorel, S.; Couturier, A.; Hug, F. Influence of different racing positions on mechanical and electromyographic patterns during pedalling. Scand. J. Med. Sci. Sports 2008, 19, 44–54. [Google Scholar] [CrossRef] [PubMed] [Green Version]
- Farrell, J.W.; Bemben, D.A.; Black, C.D.; Larson, D.J.; Pardo, G.; Fjeldstad-Pardo, C.; Larson, R.D. Evaluation of Power Production Asymmetry during Cycling in Persons with Multiple Sclerosis. Int. J. Environ. Res. Public Health 2019, 16, 3445. [Google Scholar] [CrossRef] [Green Version]
- Hansen, E.A.; Rønnestad, B.R.; Vegge, G.; Raastad, T. Cyclists’ Improvement of Pedaling Efficacy and Performance After Heavy Strength Training. Int. J. Sports Physiol. Perform. 2012, 7, 313–321. [Google Scholar] [CrossRef] [Green Version]
- Robinson, R.; Herzog, W.; Nigg, B.M. Use of force platform variables to quantify the effects of chiropractic manipulation on gait symmetry. J. Manip. Physiol. Ther. 1987, 10, 172–176. [Google Scholar]
- Cohen, J. Statistical Power Analysis for the Behavioural Sciences, 2nd ed.; Erlbaum Associates: Hillsdale, NJ, USA, 1988. [Google Scholar]
- Olejnik, S.; Algina, J. Generalized eta and omega squared statistics: Measures of effect size for some common research designs. Psychol. Methods 2003, 8, 434. [Google Scholar] [CrossRef] [Green Version]
- Garcia-Lopez, J.; Díez-Leal, S.; Ogueta-Alday, A.; Larrazabal, J.; Marroyo, J.A.R. Differences in pedalling technique between road cyclists of different competitive levels. J. Sports Sci. 2015, 34, 1619–1626. [Google Scholar] [CrossRef] [Green Version]
- Pimentel, R.E.; Baker, B.; Soliday, K.; Reiser, R.F. Bone mineral density and lean mass asymmetries are greater in cyclists than non-cyclists. J. Sports Sci. 2019, 37, 2279–2285. [Google Scholar] [CrossRef] [PubMed]
- Bini, R.R.; Hume, P.; Croft, J.; Kilding, A. Pedal force effectiveness in cycling: A review of constraints and training effects. J. Sci. Cycl. 2013, 2, 11–24. [Google Scholar]
- Mornieux, G.; Stapelfeldt, B.; Gollhofer, A.; Belli, A. Effects of Pedal Type and Pull-Up Action during Cycling. Endoscopy 2008, 29, 817–822. [Google Scholar] [CrossRef] [PubMed] [Green Version]
- Hug, F.; Drouet, J.M.; Champoux, Y.; Couturier, A.; Dorel, S. Interindividual variability of electromyographic patterns and pedal force profiles in trained cyclists. Eur. J. Appl. Physiol. 2008, 104, 667–678. [Google Scholar] [CrossRef]






| Groups | ||||
|---|---|---|---|---|
| Characteristics | CE (n = 8) | NCE (n = 13) | p | d |
| Age (yrs) | 30.1 ± 6.4 | 26.0 ± 8.2 | 0.239 | 0.56 |
| Height (cm) | 172.4 ± 10.8 | 168.6 ± 8.2 | 0.417 | 0.38 |
| Weight (kg) | 74.6 ± 9.8 | 68.6 ± 14.7 | 0.320 | 0.47 |
| VO2peak (ml/kg/min) | 47.9 ± 8.8 | 36.9 ± 5.2 * | 0.001 | 1.75 |
| Dominant foot (n; % right) | 7; 87.5 | 9; 69.2 | NA | NA |
| Groups | ||||||||||||
|---|---|---|---|---|---|---|---|---|---|---|---|---|
| Cycling Experienced (n = 8) | Non-Cycling Experienced (n = 13) | Main Effect Group | Main Effect Exercise Intensity | Group X Intensity Interaction | ||||||||
| Variable | 2 mmol/L | 4 mmol/L | PPO | 2 mmol/L | 4 mmol/L | PPO | p | η2 | p | η2 | p | η2 |
| Power output | ||||||||||||
| Abs. (W) | 146.3 ± 56.8 | 199.0 ± 47.3 | 259.4 ± 45.9 | 90.7 ± 51.7 | 129.3 ± 57.4 | 178.9 ± 57.3 | 0.007 * | 0.326 | 0.000 * | 0.836 | 0.242 | 0.072 |
| Rel. (W/kg) | 2.3 ± 0.8 | 2.9 ± 0.6 | 3.5 ± 0.6 | 1.4 ± 0.6 | 1.9 ± 0.6 | 2.5 ± 0.4 | 0.001 * | 0.433 | 0.000 * | 0.752 | 0.721 | 0.012 |
| Power production | ||||||||||||
| Abs. diff. (W) | 16.6 ± 24.9 | 18.4 ± 24.5 | 19.9 ± 23.4 | 3.8 ± 3.9 | 4.2 ± 2.9 | 4.8 ± 3.9 | 0.047 * | 0.191 | 0.187 | 0.088 | 0.520 | 0.029 |
| AI (%) | −11.5 ± 28.0 | −4.5 ± 23.3 | −1.7 ± 23.0 | 4.2 ± 11.0 | 1.8 ± 6.8 | 3.5 ± 5.1 | 0.199 | 0.085 | 0.199 | 0.084 | 0.099 | 0.126 |
| Average crank torque | ||||||||||||
| Abs. diff (N) | 1.9 ± 2.8 | 2.2 ± 2.9 | 2.4 ± 2.9 | 0.4 ± 0.47 | 0.8 ± 1.1 | 0.6 ± 0.5 | 0.064 | 0.169 | 0.244 | 0.076 | 0.579 | 0.027 |
| AI (%) | −0.7 ± 30.4 | −4.5 ± 23.2 | −1.68 ± 23.1 | 3.8 ± 11.1 | 1.2 ± 6.8 | 3.6 ± 5.0 | 0.461 | 0.029 | 0.440 | 0.038 | 0.944 | 0.001 |
| Peak crank torque | ||||||||||||
| Abs. diff (N) | 4.7 ± 3.5 | 5.8 ± 5.0 | 9.1 ± 6.9 | 8.1 ± 9.0 | 8.3 ± 10.8 | 5.0 ± 4.2 | 0.833 | 0.002 | 0.865 | 0.005 | 0.102 | 0.120 |
| AI (%) | −4.1 ± 10.6 | −1.0 ± 11.58 | 1.5 ± 14.7 | 3.0 ± 16.3 | 11.2 ± 10.6 | 4.1 ± 7.5 | 0.031 * | 0.222 | 0.350 | 0.054 | 0.471 | 0.039 |
| Pedal Force Effectiveness | ||||||||||||
| % | 74.2 ± 10.3 | 82.9 ± 6.5 | 89.6 ± 3.9 | 64.2 ± 10.1 | 73.0 ± 9.5 | 85.7 ± 3.7 | 0.014 * | 0.280 | 0.000 * | 0.728 | 0.178 | 0.087 |
Publisher’s Note: MDPI stays neutral with regard to jurisdictional claims in published maps and institutional affiliations. |
© 2021 by the authors. Licensee MDPI, Basel, Switzerland. This article is an open access article distributed under the terms and conditions of the Creative Commons Attribution (CC BY) license (https://creativecommons.org/licenses/by/4.0/).
Share and Cite
Farrell, J.W., III; Pribble, B.A.; Larson, R.D. Effects of Exercise Intensity on Pedal Force Asymmetry during Cycling. Symmetry 2021, 13, 1449. https://doi.org/10.3390/sym13081449
Farrell JW III, Pribble BA, Larson RD. Effects of Exercise Intensity on Pedal Force Asymmetry during Cycling. Symmetry. 2021; 13(8):1449. https://doi.org/10.3390/sym13081449
Chicago/Turabian StyleFarrell, John Wayland, III, Brian A. Pribble, and Rebecca D. Larson. 2021. "Effects of Exercise Intensity on Pedal Force Asymmetry during Cycling" Symmetry 13, no. 8: 1449. https://doi.org/10.3390/sym13081449
APA StyleFarrell, J. W., III, Pribble, B. A., & Larson, R. D. (2021). Effects of Exercise Intensity on Pedal Force Asymmetry during Cycling. Symmetry, 13(8), 1449. https://doi.org/10.3390/sym13081449

