Abstract
Although functional asymmetry is very common and normal in professional athletes, the better interlimb symmetry between dominant and nondominant sides (bilateral symmetry) could contribute to successful performance in basketball. The aim of this study was to evaluate the importance of bilateral symmetry of the one-leg jumping and agility performances in differentiating basketball players according to their (i) playing position (guards, forwards, and centers) and (ii) performance levels (first division vs. second division). The participants were 102 professional male basketball players, with all members of the teams competing in the two highest national divisions at the moment of testing (height: 194.92 ± 8.09 cm; body mass: 89.33 ± 10.91 kg; 21.58 ± 3.92 years of age). Performance levels (first division, N = 58 vs. second division, N = 44) and playing positions (guards, N = 48; forwards, N = 22; centers, N = 32) were observed as dependent variables. We measured one-leg jumping capacities (running vertical jump and lay-up vertical jump), basketball-specific preplanned agility (CODS), and basketball-specific reactive agility (RAG), all executed on dominant and nondominant sides. Accordingly, the bilateral symmetry of jumping and agility was calculated by calculating the ratio of the corresponding performances on the dominant and nondominant sides. Factorial analysis of variance (performance levels × positions) indicated that the bilateral symmetry of one-leg jumping differentiated players according to their playing position, with better bilateral symmetry among guards (F-test = 6.11 (medium effect size) and 5.81 (small effect size), p < 0.05 for lay-up and running-jump symmetry, respectively). Performance levels significantly differed in the bilateral symmetry of lay-up jump, with better symmetry for first-division players (F-test = 10.11 (medium effect size), p < 0.001), which was mostly influenced by significant differences among guards. Playing positions and performance levels did not differ in bilateral symmetry of the CODS and RAG. The study reveals the importance of bilateral symmetry of the sport-specific performance in differentiating playing positions and performance levels in basketball. Further studies in other multidirectional sports and other sport-specific performances are warranted.
1. Introduction
Basketball is a polystructural sports game characterized by the dynamic, fast, and aggressive performance of technical and tactical elements in defense and attack. It is of intermittent character with constant changes in the phases of rest and high-intensity actions that include fast and explosive movements in all directions, decelerations and changes in direction, and jumps and ball-manipulating technical elements [1,2]. In all phases of the game, players perform the various technical and tactical tasks that are directly influenced by various fitness capacities such as speed, agility, strength, and power [3,4]. Previous studies have shown that physical abilities have significant importance on the game performance [5]. In recent studies, authors have emphasized the importance of agility and jumping capacities [6,7,8].
Specifically, the main goal of the game is to score or prevent the rival team from scoring points through shots at a basket set at a height of 3.05 m, and a good level of (vertical) jumping capacity is important in many situations in defense and offense (i.e., jump shots, blocks, and lay-ups) [9,10]. Not surprisingly, jumping capacity has proven to be a discriminatory factor between basketball players of different performance levels [2,11,12,13]. A study on university basketball players who participated in the NBA draft in the period from 2000 and 2018 showed that players who were selected (drafted) achieved significantly better results in jumps from undrafted players in all positions [2]. Similar findings were obtained in a study on Turkish professional basketball players, where the first-division players jumped higher in countermovement jump (CMJ) compared to second-division players [12].
Basketball performance includes dynamic movements when players must perform quick changes in directions either in (i) preplanned or (ii) nonplanned scenarios. As a result, (i) preplanned agility (change of direction speed—CODS) and (ii) nonplanned agility (reactive agility—RAG) are recognized as being important determinants of successful performance [1,14,15,16]. For example, a study performed among Turkish and Tunisian basketball players evidenced significant differences between first- and second-division players for CODS [1,12]. More recent studies confirmed the importance of RAG in establishing differences between performance levels [15,16].
Generally, there is a global consensus that agility performances (RAG and CODS) and vertical jumping performances contribute to success in basketball [13,17]. However, recent studies have contextualized the aspect of bilateral symmetry in jumping and agility performance with regard to the manifestation of these motor abilities on players’ dominant and nondominant sides [13,16]. Specifically, a study on professional basketball players detected positional differences in one-leg vertical jumping performance, as guards achieved significantly better results than the centers did in vertical running jump with a take-off from the dominant leg and in lay-up jump with the nondominant leg [13]. Further, another study confirmed differences among the playing positions in CODS and RAG in both the dominant and nondominant sides [16]. Additionally, first-division guards achieved significantly better results than the second-division guards did in CODS performed on the dominant side and in RAG on both sides, whereas the differences between the centers of different performance levels were evidenced in RAG on the dominant side [16]. However, it must be noted that all cited studies were cross-sectional, and therefore, we cannot undoubtedly speak about the eventual causality between observed independent and dependent variables, as, in most cases, the time of training intervention exposure and type of drill applied were not considered in the interpretation of the results.
The cited studies demonstrate the importance of the evaluation of running jumps and agility performances both on dominant and nondominant sides, a problem that was not previously investigated [13,16]. However, it is reasonable to expect that successful jumping and agility performance on both the dominant and nondominant sides would be beneficial for specific playing positions in basketball. Although absolute performance values on both dominant and nondominant sides would most significantly affect on-court performance, better symmetry (i.e., minimization of the differences between the dominant and nondominant sides) would theoretically enhance the players’ ability to perform successfully on both sides, which could contribute to overall performance in the game. Interestingly, although interlimb asymmetry (i.e., difference in performance or function of one limb relative to the other) has become an increasingly popular topic in sports science [18,19,20], to the best of our knowledge, no study has specifically examined this issue specifically for basketball. Therefore, the aim of this study was to evaluate the importance of symmetry in jumping and agility performance in differentiating basketball players according to their (i) playing position (guards, forwards, and centers) and (ii) performance levels (first division vs. second division). These evaluations could provide important information to basketball coaches and practitioners in the process of selection and training programming. We hypothesized that the symmetry of performances on dominant vs. nondominant sides will significantly contribute to the differentiation of (i) playing positions and (ii) performance levels.
2. Materials and Methods
2.1. Experimental Approach to the Problem
The experimental approach consisted of three phases. In the first phase of the study, we made an a priori estimation of the sample size. To obtain the sample size estimate, we used data obtained in a pilot testing of 20 athletes. In short, we tested 10 first-division and 10 s-division players and compared their jumping and agility achievement on tests used in this study. An analysis using G*Power software (version 3.1.9.2; Heinrich Heine University Düsseldorf, Düsseldorf, Germany) for independent t-tests (using a 2-tailed p-value of 0.05, power of 0.90, and effect size of 0.5) recommended ≤71 participants altogether as an appropriate sample size (ranging from 60 to 71 players, depending on performance test). The second phase included testing and analyzing the intratesting reliability of the performance tests, and calculating the symmetry indexes (please see later for details). This phase lasted two months (from early September to late October 2019). In the third phase, we examined the ecological validity of the performance tests and symmetry indexes while comparing the results (i) among playing positions and (ii) between performance levels.
2.2. Participants
The study sample consisted of 102 professional male basketball players (height: 194.92 ± 8.09 cm; body mass: 89.33 ± 10.91 kg; 21.58 ± 3.92 years of age) from Bosnia and Herzegovina. During the study course, players were members of the teams competing in the two highest national divisions (i.e., first (n = 58) and second divisions (n = 42)). The players were classified, as reported by coaches, based on their primary playing position, into three groups: guards (n = 48), forwards (n = 22), and centers (n = 32). Testing was organized at the beginning of the basketball season, after the preseason period, and only players without any injuries or illness in the 30 days preceding the testing participated in the study (players completed a health history questionnaire before testing). All players were practicing basketball for at least seven years and their usual weekly training regime consisted of 5 basketball-specific technical–tactical sessions (1–4 h per day), 2–3 strength and conditioning sessions, and 1 or 2 competitive games. Eligibility criteria included: minimum of 8 years of systematic basketball training, no injuries and/or illnesses for 20 days before the testing, and regular participation in training/games during the last two weeks. The health status was based on the team physician’s opinion/report. No players were taking substances that might be expected to affect their performance on study tests. Approval for the research experiment was provided by the Ethical Board of the University of Split, Faculty of Kinesiology (No: 2181-205-02-05-14-001).
2.3. Variables
Variables in this study included (i) participants’ general information (age, playing position, and performance level), (ii) anthropometrics, and measures of (iii) one-leg jumping and (iv) agility capacities.
The anthropometric variables included body height (BH), maximal reach height, body mass (BM), and body fat (BF). Standardized stadiometers, scales (Seca, Birmingham, UK), and a skinfold caliper (Holtain, London, UK) were used for measurement. Both height assessments were conducted barefoot, with participants extending their dominant arm as high as possible in maximal reach height MRH. Biceps, triceps, subscapular, and suprailiac skinfolds were collected and used in the formula for body density (BD), which was later used for the purpose of the calculation of BF% as follows [21]:
BD = 1.162 − 0.063 × log Σ4skinfolds; BF% = (4.95/BD − 4.5) × 100
The same investigator (observer) measured skinfolds for all tested participants in order to minimize unsystematic measurement errors. All measurement procedures were obtained in accordance with the International Biological Program, with the observer’s reliability levels’ ICCs ranging from 0.78 (for suprailiac skinfold) up to 0.99 (for body height) [22].
Jumping and agility testing was conducted in an indoor gymnasium with a wooden floor. Conditions were similar for all participants and included one day of rest before measurements, a standard basketball floor, temperatures of 20–25 °C, a self-preferred type of footwear, and the time of day (between 9 and 11 AM). Before measurement, all players completed a 15 min warm-up protocol that consisted of jogging (5 min), mobility exercise (5 min), dynamic stretching (3 min), and activation (2 min), which included skipping and light jumping. Before both jumping and agility tests, players were given three trials in order to familiarize themselves with all tasks. Participants first performed an assessment of one-leg vertical jumping capacities that included: (i) maximal running vertical jump (running jump) with take-off from the right and left leg, and (ii) two-step approach vertical jump (lay-up jump) with take-off from the right and left leg. All tests were conducted with a VERTEC apparatus (Vertec, Sports Imports, Hilliard, OH, USA).
In running jump, participants were instructed to perform a self-chosen running start in the 5 m marked space, to take off from their left or right leg, and to try reaching a maximal height with their extended arm. The technique of the jump was not predetermined, as participants performed it in the subjectively most appropriate way, imitating the real game situation. The final result of the test was calculated as the difference in centimeters between the reached height after the jump and the participants’ standing vertical reach. The lay-up jump was measured in a similar way but with participants performing a typical basketball two-step approach (lay-up) before the jump. All participants conducted three trials for each jump with a one-minute rest between the trials, and the highest result was taken as final in each particular test. The leg with the better achieved final result was noted as dominant. The reliability and validity of the jumping tests used in this study were previously reported to be appropriate to high (ICC: 0.80–0.85 and 0.86–0.88 for intertesting and intratesting reliability, respectively) [13].
After jumping assessments, agility capacities were measured with a basketball-specific RAG test performed on the dominant and nondominant sides, and a CODS basketball-specific agility test performed on the dominant and nondominant sides. The RAG and CODS were created with the aim of testing basketball-specific agility, and the test design is presented in Figure 1.
Figure 1.
Testing of the basketball-specific changes in direction speed and reactive agility.
The measurement system consisted of an ATMEL microcontroller (model AT89C51RE2; ATMEL Corp, San Jose, CA, USA), a photoelectric infrared (IR) sensor (E18-D80NK), and LEDs placed in 30 cm high cones. The system was connected to a laptop PC with a Windows 7 operating system. The reliability and validity of the tests have previously been evaluated and confirmed on similar participants with intertesting reliability obtained by ICCs ranging from 0.81 to 0.90 [16], so in this study, we reported only intratesting reliability for the observed measurement (see below for details).
In the RAG tasks, the participant runs from a starting position and lights up one of the cones after crossing the IR signal positioned 1 m from the start, as shown in Figure 1. After recognizing which cone lit up, the participant needs to react in the correct direction and run to that one and rebound the ball placed at the top of the cone with his arms. After that, in order to complete a successful attempt, the participant needs to return to the starting position as quickly as possible, and the timing stops after crossing the IR signal on the way back. Participants had to perform five attempts in each of three trials. In the CODS tests, participants had the same task, but participants knew in advance which cone would light up and performed two attempts, one on the right and one on the left side, and they repeated it in three trials. The shortest time was registered as the final result in all tests, and the shorter time needed to complete the task was characterized as the dominant side performance.
There are multiple methods used to calculate symmetry levels and the selection depends on a number of factors [23]. Although the percentage difference method has recently been suggested as most appropriate to estimate asymmetry levels, we used Limb symmetry index 1, which is calculated by dividing the performance from the nondominant leg/side (note that in RAG and CODS testing, we speak about the “dominant side,” and in jumping performances, we speak about the “dominant leg”) by the corresponding performance from the dominant leg/side [23,24]. Actually, limb symmetry index 1 is more of a measure of limb symmetry than the asymmetry, and the results of the percentage difference method, although seemingly different, show values at the opposite end of the asymmetry spectrum [25]. This allowed us to clearly present the interlimb difference for jumping, RAG, and CODS performance. In all cases, the value closer to 1 presented a better symmetry of performance (note that for jumping, we divided the nondominant performance by the dominant performance, and vice-versa for agility). Theoretically, the ideal symmetry of performance on the dominant and nondominant sides was noted by a numerical value of 1 (100%).
2.4. Statistical Analyses
Normality was checked via the Kolmogorov–Smirnov test, and descriptive statistics included means and standard deviations.
While the observed tests of one-leg vertical jumps (lay-up jump and running-jump) and agility performances (CODS and RAG) were previously extensively studied for reliability and validity on similar samples of participants, and results are presented elsewhere [13,16], herein, we calculated and interpreted only the intrasession reliability of the tests via the intraclass correlation coefficients (ICCs) and coefficients of variation (CVs).
Factorial analysis of variance with playing position (guards, forwards, and centers) and performance levels (1st division vs. 2nd division) as main effects, and the interaction (playing position × performance level) with Scheffe’s post-hoc analysis was calculated to identify the association between the symmetry in performance of running jumps and agility, with playing positions and performance levels. Partial eta squared (η2) was calculated to identify the effects size (ES) and was interpreted accordingly (small ES: >0.02; medium ES: >0.13; large ES: >0.26).
For all calculations, Statistica 13.5 (TIBCO Software Inc., Palo Alto, CA, USA) was used. The significance level was set at p < 0.05.
3. Results
Table 1 presents descriptive statistics and the Kolmogorov–Smirnov test results (max D) for anthropometrics, jumping and agility performances, and intratesting reliability for performance variables. In brief, the only variable that does not meet the normality assumption was age (d = 0.17, p < 0.01), but this finding did not have repercussions on further analyses, as the age was used only for descriptive purposes. The intratesting reliability of agility and jumping tests was appropriate to high (ICC: 0.80–0.91; CV: 9% to 5%).
Table 1.
Descriptive statistics, analysis of the normality of distributions (Kolmogorov–Smirnov test—KD) and intratesting reliability (ICC—intraclass coefficient, CV—coefficient of variation).
ANOVA calculations for performance variables showed significant main effects for: (i) playing positions (F-test = 5.04, p = 0.01, large ES; and F-test = 6.26, p < 0.01, large ES, for CODS and RAG, respectively), and (ii) performance levels (F-test = 9.21, p < 0.01, medium ES; and F-test = 8.29, p < 0.01, medium ES, for CODS and RAG, respectively). For CODS and RAG, the best performances were evidenced in first-division guards (significant post-hoc differences between first-division guards and second-division centers). No significant ANOVA effects were found for jumping performances.
Factorial ANOVA showed significant main effects for playing position in S_Lay-up jump (medium ES) and S_Running jump (small ES). A significant effect for performance level was found for S_Lay-up jump (medium ES), and a significant interaction effect (position × performance level) was evidenced for S_Lay-up (medium ES) (Table 2).
Table 2.
Factorial analysis of variance (playing position × performance level) for symmetry (S) of one-leg jumping and agility performances.
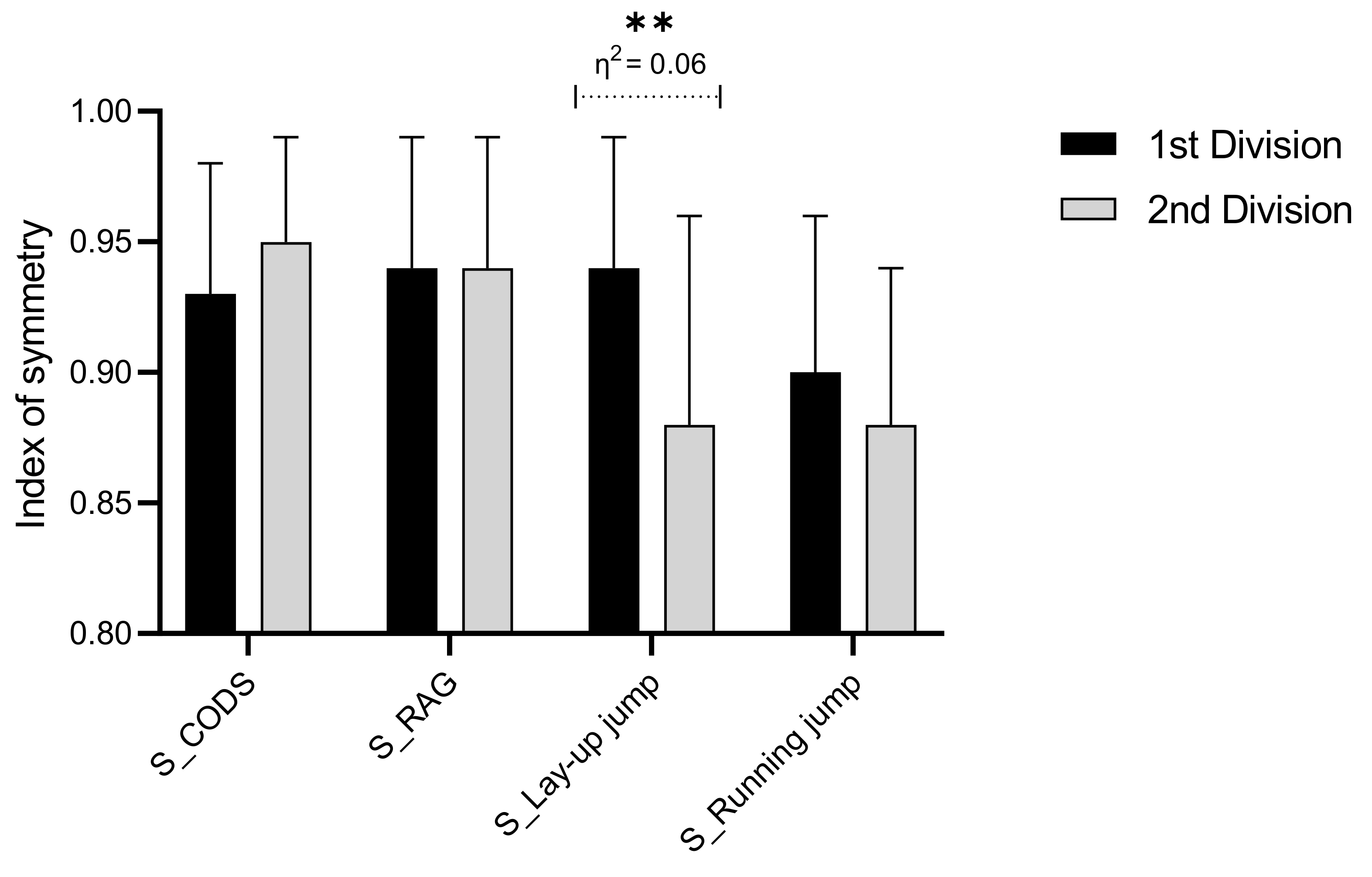
Descriptive statistics for bilateral symmetry of the running jumps and agility performances, with post-hoc differences between performance levels presented in Figure 2. In brief, significant post-hoc differences were found between performance levels in S_Lay-up jump, with better bilateral symmetry for players who were members of the teams competing at a higher competitive level (first-division players).
Figure 2.
Descriptive statistics (means ± standard deviations) for symmetry of jumping and agility performances, and post-hoc differences between performance levels (** p < 0.01).
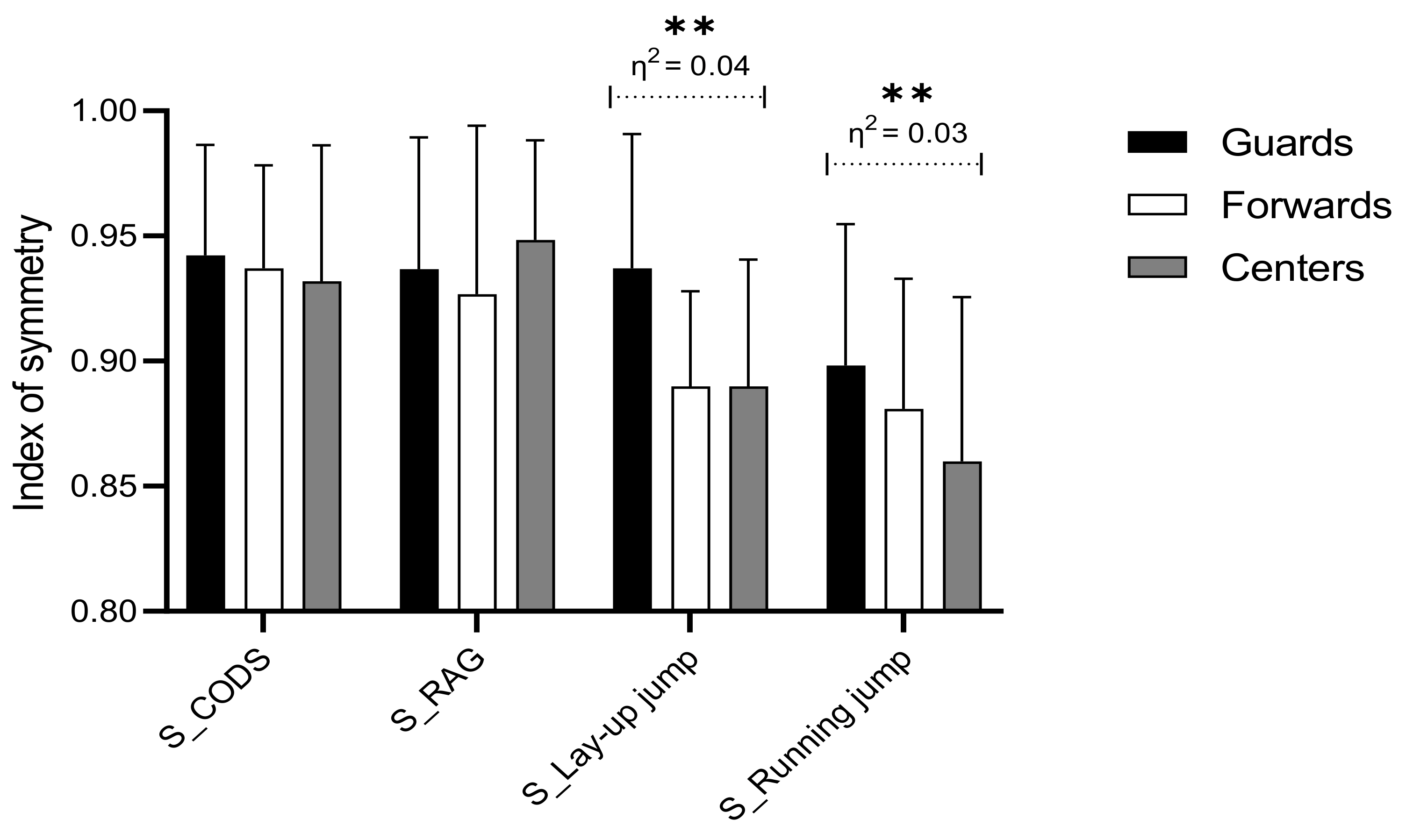
When playing positions were compared at the bilateral symmetry of agility and jumping performances (Figure 3), guards had a better bilateral symmetry of one-leg jumps than centers (for both one-leg jumps, p < 0.01, small ES) and forwards did (for S_Running jump, p < 0.01, small ES).
Figure 3.
Descriptive statistics (means ± standard deviations) for symmetry of jumping and agility performances, and post-hoc differences among playing positions (** p < 0.01).
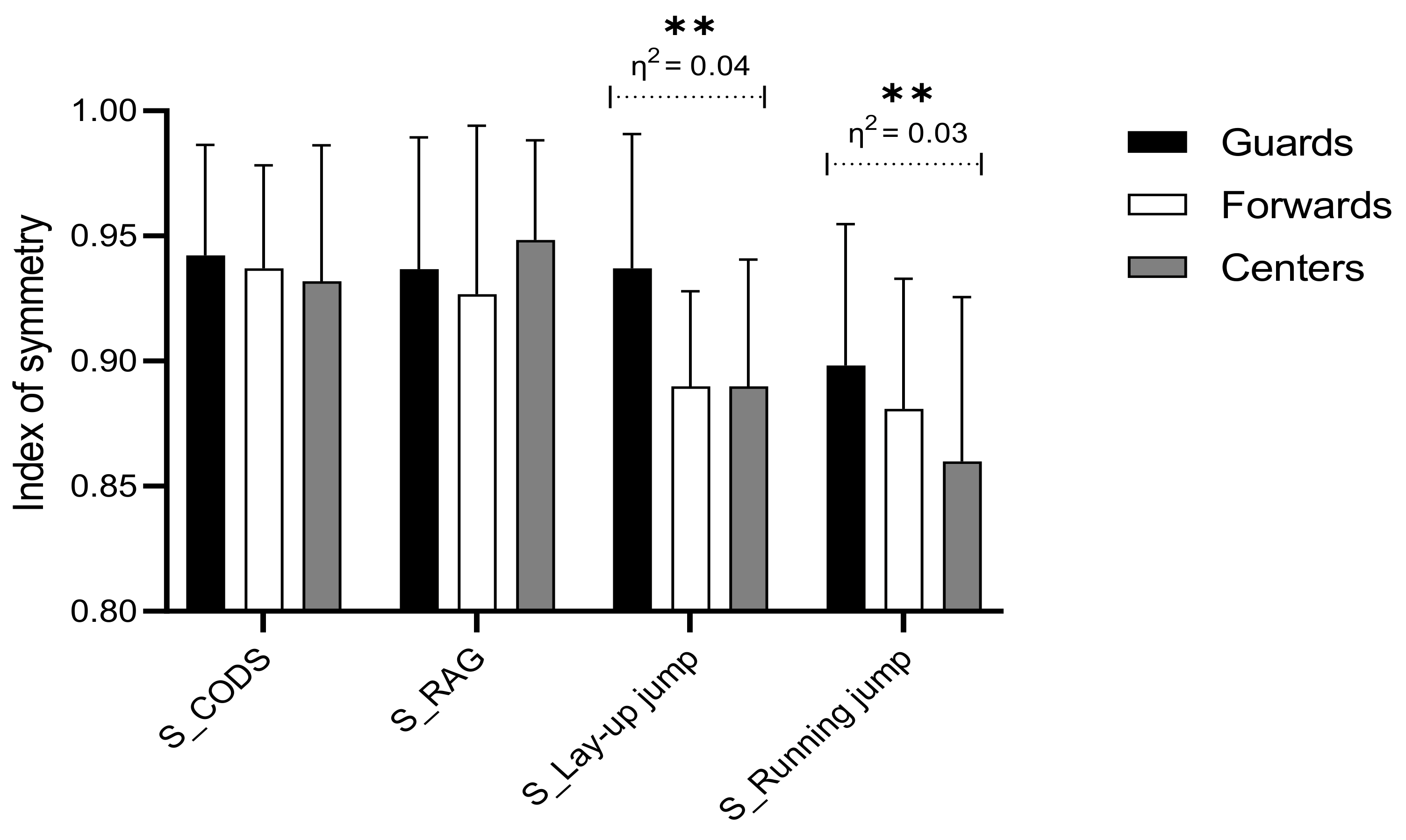
As the ANOVA interaction was significant for the symmetry of lay-up jump (please see Table 2 for details), descriptive statistics and post-hoc differences for this variable are presented in Figure 4. Evidently, significant within-position differences were evidenced solely for guards, with a better bilateral symmetry of lay-up jump in first-division guards than in their second-division peers (p < 0.05, small ES).
Figure 4.
Descriptive statistics (means ± standard deviations) for symmetry of lay-up jumping performance, and post-hoc differences between performance levels for each playing position (** p < 0.01).
4. Discussion
This study revealed several important findings. First, the bilateral symmetry of the observed basketball-specific one-leg jumps differentiated players according to their playing positions, with a better bilateral symmetry among guards than among forwards and centers. Second, the bilateral symmetry differed between performance level, with a better symmetry found for players who compete at a more advanced level, which is mostly related to differences among guards, and a better symmetry in first-division guards. Third, the bilateral symmetry of the CODS and RAG did not differentiate players neither according to their playing positions nor according to performance level. Therefore, our initial study hypothesis can be partially accepted.
4.1. Symmetry of Agility Performances and Playing Positions
The bilateral symmetry of the CODS and RAG performances did not prove to be a factor differentiating playing positions in basketball (guards, forwards, and centers). Although this is one of the first studies to analyze the bilateral symmetry of CODS and RAG as a factor of differentiation between playing positions in professional basketball (and sport in general), the obtained results are comparable to previous research dealing with positional differences in agility performances. In general, while RAG and CODS are generally considered important qualities in basketball, studies dealing with playing position specifics in these performances showed inconsistent results. Specifically, studies on elite Belgian and Turkish basketball players have found the guards as being fastest in CODS tests [12,26]. On the other hand, some studies have noted the absence of positional differences in agility, while in some cases, centers and forwards performed better than guards did [27,28]. Although the cited studies investigated specifically position differences in COD performance, which are under the influence of many factors, the results presented here of nonsignificant differences among positions in the bilateral symmetry of agility performances are not unexpected.
The main reasons for the lack of difference among positions in the bilateral symmetry of CODS and RAG should be found in the (i) characteristics of movement types during the game, the (ii) specifics of the CODS and RAG tests applied here, and the (iii) possibility that strength and conditioning coaches perform assessments to identify asymmetry and organize training with the goal to decrease observed asymmetries. In particular, (i) during the game, basketball players must perform agile maneuvers both on the dominant and nondominant sides. Therefore, irrespective of the playing position, players equally develop their agile performances on both sides. Indeed, throughout their career (training and games), basketball players execute agile scenarios on both sides equally, not only considering the repetitions, but also intensity, precision, and motor proficiency. Of course, performance on the dominant side will always be better (due to neuro-physiological reasons; please see later discussion), but there is no practical cause why bilateral symmetry would be better for some players irrespective of their playing position. This is particularly emphasized if we take into account the fact that (ii) the RAG and CODS tests used here mimic the primary movement of players in defense (e.g., the defensive technique usually called “help-and-recover”) [17]. This technique consists of quick frontal movement and diagonal shuffle, which is, similar to a real-game-scenario, performed semilaterally in zigzag form. Given this fact, it is clear that players who possess better agility will be “equally better” on both sides (dominant and nondominant), and that bilateral symmetry will hardly play a significant role in discriminating playing positions. In addition, (iii) it was possible (although not likely) that strength and conditioning coaches on the professional level perform a battery of tests to evaluate the disbalance in flexibility, mobility, or strength. With information about eventual asymmetry or disbalance, coaches could create additional training programs in order to correct these deficiencies and additionally develop player’s abilities, which consequently led to a lack of differences in the bilateral asymmetry of CODS and RAG in our players.
4.2. Symmetry of Jumping and Playing Positions
Some previous studies reported significant differences in jumping performances among basketball playing positions [13]. On the other hand, to the best of our knowledge, no study has explored the bilateral symmetry of one-leg running vertical jumps as a factor that may differentiate players according to their playing position. Our results showed significant differences among playing positions, with guards having a better bilateral symmetry of one-leg running vertical jumps than forwards and centers do. Most probably, playing position-specific game duties led to such results.
It is known that guards perform more running one-leg jumps than forwards and centers [29] do. Specifically, guards are perimeter players in charge of organizing the game, and one of the most common attacking options is dribble penetration and attacking the rim. In order to execute their game duties successfully, guards must perform one-leg running vertical jumps effectively, and particularly importantly, they must be able to perform them effectively with takeoff from both legs (dominant and nondominant). By contrast, the game duties of the forwards and, especially, the centers are quite different, as most of their jumps are performed in order to achieve a rebound in defense or attack, while these jumps are most often performed with two-leg take off, and from standing position (or with one-step approach) [29].
Because of all of the above, in order to develop specific jumping capacities, the conditioning of the players at different playing positions is structured differently. In brief, forwards and centers rarely perform one-leg jumps during the training, and even if they perform it, they do not pay attention to the nondominant side. Meanwhile, guards are systematically trained to efficiently perform one-leg jumps on both the dominant and nondominant sides (see below for more details). Consequently, this almost certainly resulted in the guards’ better bilateral symmetry in one-leg running vertical jumps.
4.3. Symmetry of Jumping and Performance Levels
Apart from significant differences between playing positions, the bilateral symmetry of running jumps is a factor that successfully differentiated performance levels, and position-stratified analysis revealed that these differences are actually a result of significant differences within guards. Running jumping ability is recognized as an important determinant for achieving high competitive performance in sports [30]. In basketball, many technical and tactical elements are performed with running vertical jumps [29]. Given that defensive and offensive movement templates in basketball are executed in all directions relative to the basket and opponent, it is of utmost importance to perform jumps at the same level, regardless of the dominant and nondominant legs [30].
Considering the previously discussed jumping specifics for different playing positions (i.e., frequency of standing jumps and running vertical jumps), the bilateral symmetry of the jumping performance is particularly important for guards. For this playing position, even a small difference in performance between the dominant and nondominant sides may cause difficulties in players’ technical performance and situational efficacy. In general, technical performance is one of the most important determinants of performance level, and it is known that players of higher competition rank are the most technically trained [2]. Therefore, in our first-division guards, the performance of the nondominant leg is much closer to the dominant leg than in second-division guards. Versatility and ambidexterity, implying the ability to perform equally well when entering the paint and jumping on both sides (i.e., bilateral symmetry of one-leg jumping), will give the player a clear advantage over the opponent and consequently increase the likelihood of a successful completion of the offensive action. Of course, this is particularly the case for guards, because these players penetrate in opponent defense and perform lay-up jumps most frequently.
Our results suggest that guards who possess better bilateral one-leg jumping symmetry could potentially meet the requirements of playing at a higher competitive level. Although this issue was not studied with regard to symmetry in jumping performance, previous studies have suggested that the level of ambidexterity, i.e., a person’s capacity to use both sides of the body for performing some movement with equal skill, positively affects sport performance [31,32,33]. For example, a study on rhythmic gymnastics showed that the capability to perform technical elements equally successfully on both sides affects the rhythmic composition performance [31]. As the bilateral symmetry of one-leg jumping actually means “better ambidexterity,” our results are clearly supportive of previous findings [31,32,33].
The previous discussion overviews the logics of the performance-level differences in bilateral one-leg jumping symmetry, but the context of such results also deserves attention. Being actively involved in the training process of the studied players, the authors of the study are of the opinion that the main reason for the better symmetry of the first-division guards should be found in their training process. Namely, the first-division players generally participate in more structured training processes than their second-division peers do. In addition, first-division players have a higher frequency of training (more training hours per week) and are systematically trained in position-specific technical–tactical performances. For one-leg jumps, the first-division guards are systematically trained in “both sides,” and attention is paid to performances on the dominant and nondominant sides. Meanwhile, mostly because of the smaller training frequency, coaches in the second division are mostly focused on tactics, which does not allow them to pay attention to eventual technical deficits of their players. Training sessions for second-division teams are therefore less structured and mostly based on free play with different numerical ratios. It altogether results in the fact that first-division guards are more able to develop both technical–tactical skills and specific conditioning capacities than their second-division peers simply because of the quality of the training process.
4.4. Symmetry of Agility and Performance Levels
Previous studies have frequently found that basketball players who perform better in agility tests are more successful in terms of competitive achievement [1,12,15,16]. In short, whether it was a comparison of starters and nonstarters, or players of higher and lower rank of the competition, the results of agility tests (CODS or RAG) mostly proved to be an indicator of player quality [12,15,16], and this is supported even in our study (please see significant ANOVA effect for “performance level” in Results section). Considering the agility performance, basketball is a bi-directional sport, and players must perform RAG and CODS scenarios on both sides (dominant and nondominant). Therefore, we initially expected that the bilateral symmetry of RAG and CODS performance would be a factor that would differentiate players of the two performance levels. However, this was not the case, and bilateral symmetry of the RAG and CODS was not a factor that discriminated first- and second-division players.
There are two probable explanations of this finding (i.e., a lack of influence of bilateral symmetry on performance level). The first logical explanation may be that the players who compete at a more advanced level (first-division players) are actually (equally) better in both the dominant and nondominant sides than second-division players are. This could be mostly related to specifics of the basketball game, as players throughout their career perform an equal number of repetitions on both sides (dominant and nondominant) and consequently develop both performances. Of course, better RAG and CODS performance will contribute to game efficacy [12,15,16], but the bilateral symmetry will be similar across performance levels.
However, another explanation, which is based on physiological mechanisms of motor control, also deserves attention. When performing a specific motor act, the predominance of one of the brain hemispheres, right or left (i.e., “laterality”), plays an important role [34]. The “laterality” determines the inequality of the right and left halves of the body when performing some movement [35]. The difference between performances executed on the right and left sides will be smaller when it comes to simple, fundamental activities, while in those involving complex motor structures, such as agility, the difference between performances on the right and left side will be more evident [36,37]. For example, a study on 50 male subjects showed that hand preference had a larger effect in handwriting, which was considered a complex motor activity, compared to hand grip strength, used as an example of a simple motor task [38]. In addition, in the study on young basketball, soccer, and tennis players, the authors showed that sport-specific movement patterns and training routines highly affect symmetry performance in different motoric tasks (i.e., strength, jumping, and COD) [18].
From the perspective of sport performance, it is also important to note that experimental studies showed that the training of complex motor skills on the nondominant sides improves performance on both sides [39]. In a study on professional male soccer players, after an eight-week experiment with an increased volume of soccer training with the nonpreferred (i.e., nondominant) leg, results showed an improvement not only in the nondominant side but also in the dominant side when performing soccer technical tests [40]. The authors explained this with improved generalized motor programs and with the fact that the body can self-organize the motor performance after handling and processing all of the information from the environment [40]. All of the above emphasizes the importance of training different motor skills on both the dominant and nondominant sides in order to improve performance. However, in our case, it actually implies that even if agility was trained specifically on the nondominant side (which is actually expected for high-performance players), an improvement of the dominant side will be also evidenced. One could argue that this would occur even for one-leg jumping capacities. However, such a mechanism of influence will not likely appear in one-leg jumps, simply because the jumping capacity of the professional basketball players is greatly influenced by power capacities [11,13,41]. Therefore, it is not likely that the specific jumping training of one side (one leg) will be transferred to another side, as would be the case for RAG and CODS performances, where performance is clearly more dependent on handling and processing all the information from the environment [40].
4.5. Limitations and Strength of the Study
One of the study limitations is the uneven number of participants in each playing position, with significantly fewer forwards than guards and centers. This could influence the statistical significance of the differences. However, this is to be expected if we look at the usual position distribution in basketball teams. Second, different competition levels and, thus, different training regimes of the study’s participants are study limitations as they could potentially affect the results (please see discussion section for more details). One of the limitations is how the final results in the tests were reported (the best achieved result for each side was considered the final result). This could lead to surprising results in the case of an outstandingly good performance, but given that the participants were professional players, and that the reliability was appropriate, we believe that potential result discrepancies were rare. This is also a cross-sectional study; therefore, a clear causality between the symmetry of performances and players’ positions/levels cannot be interpreted. Meanwhile, further interventional studies that will be directly aimed toward a reduction in dissimilarity in performances are needed for a more profound interpretation of the evidently complex influence of bilateral symmetry on performance in basketball. In the future studies, the sample of variables should certainly be extended, especially to measures of strength of the lower extremities as they can highly impact the manifestation of motor abilities observed here. Finally, as participants in this study were elite, male, professional basketball players, in future studies, it will be necessary to observe positional and performance level differences at other age, gender, and playing level groups.
The sample of participants in this study involved professional players and is highly representative as we measured players from the two highest national divisions in a country where basketball has a long tradition and popularity. Additionally, the sample of variables consisted of extensively studied, reliable, and valid basketball-specific tests that mimic real game situations and therefore have ecological validity. Finally, to the best of our knowledge, this is the first study to evaluate the symmetry of basketball-specific performances as a factor contributing to playing position differences and performance level differences in this sport. Therefore, although not being the final word on a problem, we believe that the study contributed to knowledge on a field and will initiate further research.
4.6. Practical Implications
The results of this study provide guidance to basketball coaches and staff in the process of selecting basketball players and also in organizing the optimal training plan. As mentioned before, the cross-sectional character of the study limits the possibility for clear conclusions regarding causality between symmetry and player’s performance. However, even if the observed differences in symmetry are consequences of specific training regimes, it gives clear guidelines for the necessity of the unilateral development of specific basketball jumping and agility movements in professional basketball players. Certainly, the absolute values achieved on the dominant and nondominant sides will have the greatest impact on performance, but if players would be able to perform specific tasks in the game on both sides efficiently, powerfully, and quickly, they will be generally more successful.
5. Conclusions
The results of this study show that the bilateral symmetry of one-leg vertical jumps differentiates guards from forwards and centers. Additionally, the symmetry of jumping was found to be an indicator of performance level. Therefore, it is clear that the development of jumping capacities in basketball should be positionally specific. In other words, guards should develop both their dominant and nondominant side performance. A smaller difference between the dominant and nondominant sides will generate greater situational efficiency and consequently improve playing performance.
The bilateral symmetry of the CODS and RAG did not differentiate players of different positions or performance level. Most probably, this is a result of the specific basketball movement scenarios, and the fact that both the dominant and nondominant sides are situationally trained similarly (i.e., throughout the career, players perform agility tasks on both sides). However, it is possible that even if some players specifically trained their nondominant side, it actually indirectly improved their dominant side performance, because of the complexity of agility performances, and improved the effectiveness of handling and processing the information from the environment.
The study demonstrated differences in one-leg jumping bilateral symmetry between playing levels. Although cause–effect relationships are still unclear, the potential reason for differences can lie in different training regimes. It can be assumed that symmetry may play an important role in other competitive sports as well. This would be particularly possible in team sports where players compete against each other, and where symmetry of performance on both the dominant and nondominant sides could be observed as a factor of competitive advantage.
Author Contributions
Data curation, M.P., M.S. and O.U.; formal analysis, S.V., M.C., T.S. and D.S.; funding acquisition, V.P. and M.S.; investigation, M.P.; methodology, S.V., M.P., T.M., M.S., M.C. and T.S.; project administration, D.S.; supervision, T.M.; visualization, V.P.; writing—original draft, S.V., V.P., O.U. and D.S.; writing—revision, S.V., D.S., M.P. and T.S. All authors have read and agreed to the published version of the manuscript.
Funding
This research was funded by the Croatian Science Foundation (grant number IP-2018-01-8330 and DOK-2020-01-9298).
Institutional Review Board Statement
The study was conducted according to the guidelines of the Declaration of Helsinki, and approved by the Institutional Ethics Committee of Faculty of Kinesiology, University of Split (protocol code No: 2181-205-02-05-14-001, 8 January 2018).
Informed Consent Statement
Informed consent was obtained from all subjects involved in the study.
Data Availability Statement
Data will be provided to all interested parties upon reasonable request.
Acknowledgments
Support of the Croatian Science Foundation is gratefully acknowledged.
Conflicts of Interest
The authors declare no conflict of interest.
References
- Abdelkrim, N.B.; Chaouachi, A.; Chamari, K.; Chtara, M.; Castagna, C. Positional role and competitive-level differences in elite-level men’s basketball players. J. Strength Cond. Res. 2010, 24, 1346–1355. [Google Scholar] [CrossRef]
- Cui, Y.; Liu, F.; Bao, D.; Liu, H.; Zhang, S.; Gómez, M.-Á. Key anthropometric and physical determinants for different playing positions during National Basketball Association draft combine test. Front. Psychol. 2019, 10, 2359. [Google Scholar] [CrossRef] [PubMed]
- Fort-Vanmeerhaeghe, A.; Montalvo, A.; Latinjak, A.; Unnithan, V. Physical characteristics of elite adolescent female basketball players and their relationship to match performance. J. Hum. Kinet. 2016, 53, 167–178. [Google Scholar] [CrossRef] [PubMed] [Green Version]
- Hoare, D.G. Predicting success in junior elite basketball players—The contribution of anthropometic and physiological attributes. J. Sci. Med. Sport 2000, 3, 391–405. [Google Scholar] [CrossRef]
- Hoffman, J.R.; Tenenbaum, G.; Maresh, C.M.; Kraemer, W.J. Relationship between athletic performance tests and playing time in elite college basketball players. J. Strength Cond. Res. 1996, 10, 67–71. [Google Scholar]
- Chaouachi, A.; Brughelli, M.; Chamari, K.; Levin, G.T.; Abdelkrim, N.B.; Laurencelle, L.; Castagna, C. Lower limb maximal dynamic strength and agility determinants in elite basketball players. J. Strength Cond. Res. 2009, 23, 1570–1577. [Google Scholar] [CrossRef]
- Garcia-Gil, M.; Torres-Unda, J.; Esain, I.; Duñabeitia, I.; Gil, S.M.; Gil, J.; Irazusta, J. Anthropometric parameters, age, and agility as performance predictors in elite female basketball players. J. Strength Cond. Res. 2018, 32, 1723–1730. [Google Scholar] [CrossRef]
- Apostolidis, N.; Emmanouil, Z. The influence of the anthropometric characteristics and handgrip strength on the technical skills of young basketball players. J. Phys. Educ. Sport 2015, 15, 330–337. [Google Scholar]
- Struzik, A.; Pietraszewski, B.; Zawadzki, J. Biomechanical analysis of the jump shot in basketball. J. Hum. Kinet. 2014, 42, 73–79. [Google Scholar] [CrossRef] [Green Version]
- Miura, K.; Yamamoto, M.; Tamaki, H.; Zushi, K. Determinants of the abilities to jump higher and shorten the contact time in a running 1-legged vertical jump in basketball. J. Strength Cond. Res. 2010, 24, 201–206. [Google Scholar] [CrossRef]
- Ziv, G.; Lidor, R. Vertical jump in female and male basketball players--a review of observational and experimental studies. J. Sci. Med. Sport 2010, 13, 332–339. [Google Scholar] [CrossRef]
- Köklü, Y.; Alemdaroğlu, U.; Koçak, F.; Erol, A.E.; Fındıkoğlu, G. Comparison of chosen physical fitness characteristics of Turkish professional basketball players by division and playing position. J. Hum. Kinet 2011, 30, 99–106. [Google Scholar] [CrossRef] [PubMed]
- Pehar, M.; Sekulic, D.; Sisic, N.; Spasic, M.; Uljevic, O.; Krolo, A.; Milanovic, Z.; Sattler, T. Evaluation of different jumping tests in defining position-specific and performance-level differences in high level basketball players. Biol. Sport 2017, 34, 263–272. [Google Scholar] [CrossRef] [PubMed]
- Vukasevic, V.; Mitrovic, M.; Masanovic, B. A comparative study of motor ability between elite basketball players from different regions. Sport Mont 2020, 18, 3–7. [Google Scholar] [CrossRef]
- Scanlan, A.T.; Tucker, P.S.; Dalbo, V.J. The importance of open- and closed-skill agility for team selection of adult male basketball players. J. Sports Med. Phys. Fit. 2015, 55, 390–396. [Google Scholar]
- Sekulic, D.; Pehar, M.; Krolo, A.; Spasic, M.; Uljevic, O.; Calleja-González, J.; Sattler, T. Evaluation of Basketball-Specific Agility: Applicability of Preplanned and Nonplanned Agility Performances for Differentiating Playing Positions and Playing Levels. J. Strength Cond. Res. 2017, 31, 2278–2288. [Google Scholar] [CrossRef] [PubMed]
- Pehar, M.; Sisic, N.; Sekulic, D.; Coh, M.; Uljevic, O.; Spasic, M.; Krolo, A.; Idrizovic, K. Analyzing the relationship between anthropometric and motor indices with basketball specific pre-planned and non-planned agility performances. J. Sports Med. Phys. Fit. 2018, 58, 1037–1044. [Google Scholar] [CrossRef]
- Sarabon, N.; Smajla, D.; Maffiuletti, N.A.; Bishop, C. Strength, Jumping and Change of Direction Speed Asymmetries in Soccer, Basketball and Tennis Players. Symmetry 2020, 12, 1164. [Google Scholar] [CrossRef]
- Arboix-Alio, J.; Busca, B.; Busquets, A.; Aguilera-Castells, J.; de Pablo, B.; Montalvo, A.M.; Fort-Vanmeerhaeghe, A. Relationship between Inter-Limb Asymmetries and Physical Performance in Rink Hockey Players. Symmetry 2020, 12, 35. [Google Scholar] [CrossRef]
- Caraballo, I.; Casado-Rodriguez, F.; Gutierrez-Manzanedo, J.V.; Gonzalez-Montesinos, J.L. Strength Asymmetries in Young Elite Sailors: Windsurfing, Optimist, Laser and 420 Classes. Symmetry 2021, 13, 427. [Google Scholar] [CrossRef]
- Jeličić, M.; Sekulić, D.; Marinović, M. Anthropometric characteristics of high level European junior basketball players. Coll. Antropol. 2002, 26, 69–76. [Google Scholar]
- Weiner, J.S.; Lourie, J.A. Human biology, a guide to field methods. Science 1969, 167, 43. [Google Scholar]
- Bishop, C.; Read, P.; Lake, J.; Chavda, S.; Turner, A. Interlimb asymmetries: Understanding how to calculate differences from bilateral and unilateral tests. Strength Cond. J. 2018, 40, 1–6. [Google Scholar] [CrossRef] [Green Version]
- Ceroni, D.; Martin, X.E.; Delhumeau, C.; Farpour-Lambert, N.J. Bilateral and gender differences during single-legged vertical jump performance in healthy teenagers. J. Strength Cond. Res. 2012, 26, 452–457. [Google Scholar] [CrossRef] [PubMed]
- Bishop, C.; Read, P.; Chavda, S.; Turner, A. Asymmetries of the lower limb: The calculation conundrum in strength training and conditioning. Strength Cond. J. 2016, 38, 27–32. [Google Scholar] [CrossRef] [Green Version]
- Boone, J.; Bourgois, J. Morphological and physiological profile of elite basketball players in Belgium. Int. J. Sports Physiol. Perform. 2013, 8, 630–638. [Google Scholar] [CrossRef] [Green Version]
- Scanlan, A.T.; Tucker, P.S.; Dalbo, V.J. A comparison of linear speed, closed-skill agility, and open-skill agility qualities between backcourt and frontcourt adult semiprofessional male basketball players. J. Strength Cond. Res. 2014, 28, 1319–1327. [Google Scholar] [CrossRef]
- Sisic, N.; Jelicic, M.; Pehar, M.; Spasic, M.; Sekulic, D. Agility performance in high-level junior basketball players: The predictive value of anthropometrics and power qualities. J. Sports Med. Phys. Fit. 2015, 56, 884–893. [Google Scholar]
- Dežman, B.; Trninić, S.; Dizdar, D. Expert model of decision-making system for efficient orientation of basketball players to positions and roles in the game–Empirical verification. Coll. Antropol. 2001, 25, 141–152. [Google Scholar] [PubMed]
- Sugiyama, T.; Kameda, M.; Kageyama, M.; Kiba, K.; Kanehisa, H.; Maeda, A. Asymmetry between the dominant and non-dominant legs in the kinematics of the lower extremities during a running single leg jump in collegiate basketball players. J. Sports Sci. Med. 2014, 13, 951. [Google Scholar]
- Miletić, Đ.; Božanić, A.; Musa, I. Ambidexterity influencing performance in rhythmic composition–Gender differences. Acta Kinesiol. 2009, 3, 38–43. [Google Scholar]
- Grouios, G.; Tsormpatzoudis, C.; Alexandris, K.; Koidou, E. Handedness in sport. J. Hum. Mov. Stud. 2002, 43, 347–361. [Google Scholar]
- Cavill, S.; Bryden, P. Development of handedness: Comparison of questionnaire and performance-based measures of preference. Brain Cogn. 2003, 53, 149–151. [Google Scholar] [CrossRef]
- Grigore, M. Influence of dance sport on the development of the capacity for ambidexterity and laterality of juniors I (12–13 years old). J. Phys. Educ. Sport 2017, 17, 2250–2254. [Google Scholar]
- Epuran, M.; Horghidan, V. Psychology of physical education. Buchar. ANEFS 1994, 1, 88–90. [Google Scholar]
- Sabaté, M.; González, B.; Rodríguez, M. Brain lateralization of motor imagery: Motor planning asymmetry as a cause of movement lateralization. Neuropsychologia 2004, 42, 1041–1049. [Google Scholar] [CrossRef]
- Van Mier, H. Developmental differences in drawing performance of the dominant and non-dominant hand in right-handed boys and girls. Hum. Mov. Sci. 2006, 25, 657–677. [Google Scholar] [CrossRef] [PubMed]
- Provins, K.; Magliaro, J. The measurement of handedness by preference and performance tests. Brain Cogn. 1993, 22, 171–181. [Google Scholar] [CrossRef] [Green Version]
- Stöckel, T.; Weigelt, M. Brain lateralisation and motor learning: Selective effects of dominant and non-dominant hand practice on the early acquisition of throwing skills. Laterality Asymmetries Body Brain Cogn. 2012, 17, 18–37. [Google Scholar] [CrossRef] [PubMed]
- Haaland, E.; Hoff, J. Non-dominant leg training improves the bilateral motor performance of soccer players. Scand. J. Med. Sci. Sports 2003, 13, 179–184. [Google Scholar] [CrossRef]
- Alemdaroğlu, U. The relationship between muscle strength, anaerobic performance, agility, sprint ability and vertical jump performance in professional basketball players. J. Hum. Kinet. 2012, 31, 149. [Google Scholar] [CrossRef] [Green Version]
Publisher’s Note: MDPI stays neutral with regard to jurisdictional claims in published maps and institutional affiliations. |
© 2021 by the authors. Licensee MDPI, Basel, Switzerland. This article is an open access article distributed under the terms and conditions of the Creative Commons Attribution (CC BY) license (https://creativecommons.org/licenses/by/4.0/).



