Abstract
This paper is devoted to the study of the quadruple Roman domination in trees, and it is a contribution to the Special Issue “Theoretical computer science and discrete mathematics” of Symmetry. For any positive integer k, a -Roman dominating function (-RDF) of a simple graph G is a function from the vertex set V of G to the set if for any vertex with , , where is the open neighborhood of u. The weight of a -RDF is the value . The minimum weight of a -RDF is called the -Roman domination number of G. In this paper, we establish sharp upper and lower bounds on for nontrivial trees T and characterize extremal trees.
1. Introduction
For notation and graph theory terminology, we in general follow Haynes et al. [1]. Let G be a simple graph with vertex set and edge set and let be the order of G. The open neighborhood of u is the set and the closed neighborhood of u is the set . Let denote the degree of a vertex u of G. The number of vertices in distance 2 of u is denoted by . The diameter of G is the maximum distance among all pairs of vertices in G. A leaf is a vertex of degree one and a support vertex is a vertex adjacent to a leaf. For any tree T, let and denote the number of leaves and support vertices of T, respectively. For any vertex u in a rooted tree T, the subtree of T induced by u and its descendants is called the maximal subtree at u. For any integer , a star with at most of its edges subdivided is a wounded spider, and we call a vertex of degree s the head vertex and call the leaves at distance two from the head vertex the foot vertices. For any integer , a star with all its edges subdivided is a healthy spider . We let and be the complete graph and the cycle of order n, respectively.
A dominating set of a graph G is a set if . The minimum cardinality of a dominating set of G is called the domination number of G, and a -set of G is a dominating set of G of cardinality . For a real-valued function and , let , and is called the weight of f.
ReVelle [2] and Stewart [3] introduced independently the Roman domination, which is defined formally by Cockayne et al. [4] as follows. A Roman dominating function (RDF) on a graph G is a function satisfying the condition that every vertex v with has a neighbor u with . The minimum weight of an RDF on G is called the Roman domination number of a graph G, denoted by . An RDF on G with weight is a -function. For more details on Roman domination, the readers may refer to two chapter books [5,6] and survey papers [7,8,9].
A generalization of the Roman domination number was introduced by Ahanghar et al. in [10]. For any integer , let . For any function , the active neighborhood of a vertex u of G is the set . A -Roman dominating function (-RDF) is a function if each vertex with satisfies that . The minimum weight of a -RDF on G is called the -Roman domination number of G. A -RDF on G with weight is a -function. The case is the usual Roman domination, the case is called double Roman domination and were studied in several papers [11,12,13,14,15,16,17,18,19,20] while the case is called the triple Roman domination and were studied in several papers [10,21]. The case is called quadruple Roman domination and were studied in [22].
To better understand the definition, we give an example. A regular icosahedron is a convex polyhedron with 20 faces, 30 edges and 12 vertices. It is one of the five Platonic solids, and the one with the most faces. The skeleton of the icosahedron forms a graph (see Figure 1). It is shown in [23] that the regular icosahedron graph is symmetric. It is not hard to see that -Roman domination number of icosahedra is for .
Figure 1.
The regular icosahedron graph.
Every function can be represented by the ordered partition , where for .
In this paper, we first prove that and we characterize the trees achieving these bounds. Then we present bounds on in terms of (Roman) domination number and we give a characterization of extremal trees. The following results will be used in this paper.
Proposition 1
([22]). For any graph G, there exists a -function such that for any .
Let be the family of all trees that can be obtained from paths , where , by adding edges incident with the ’s such that they induce a connected subgraph.
Proposition 2
([22]). For any tree T with order , , and equality holds if and only if .
2. Bound on
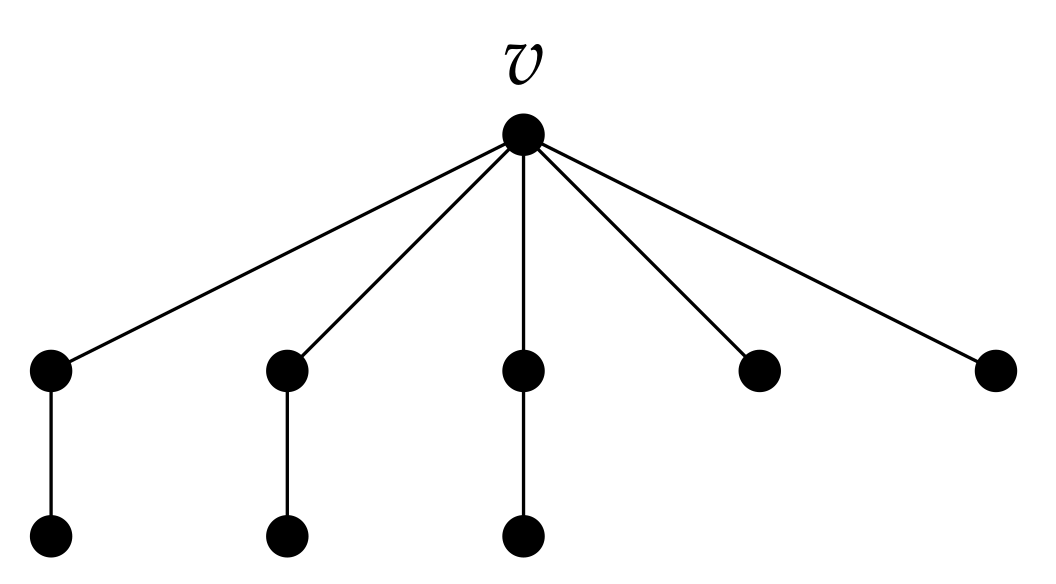
In this section, we establish bounds on the quadruple Roman domination in trees. First, we improve the upper bound of Proposition 2 for trees. Let be the family of all trees that can be built from paths and healthy spiders with vertex set and edge set , where , by adding edges between to connect the graph (for instance see Figure 2).
Figure 2.
A tree in which and .
Lemma 1.
If , then
Proof.
Let be obtained from paths and healthy spiders . If H is an induced subgraph of T that is isomorphic to one copy of , then each -RDF on T assigns a weight of at least 9 to H. On the other hand, if H is an induced subgraph of T that is isomorphic to one copy of healthy spider , then each -RDF on T assigns a weight of at least 20 to H. By the definition of , T has disjoint copies of and disjoint copies of . Hence,
Now define g on T by , for , for and otherwise, is a -RDF on T of weight . As a result, we have □
In the sequel, if T is a tree and is a subtree of T, then denotes the graph .
Theorem 1.
For any tree T with order ,
Equality holds if and only if .
Proof.
The proof is by induction on . The statement is trivial for . Suppose that and assume that the statement is true for any tree of order less than n. If , then statement is trivial. Let . Clearly T is a double star. Thus, and hence with equality if and only if . So, in the following we may assume that . Let be a diametral path in T satisfying that is as large as possible, where . Root T at . First suppose that . Let f be a -function, where . Since and . Define the function by for each and otherwise. Obviously h is a -RDF on T and . By the induction hypothesis, we obtain as desired. Suppose that . By the choice of diametral path, we have that the degree of each child of with depth 1, is 2.
If , then clearly any -function can be extended to a -RDF on T by assigning 0 to and 5 to , and so by the induction hypothesis, Assume that . If is a strong support vertex or is a support vertex and , then by the induction hypothesis, as desired.
Case 1. is a support vertex of degree 3.
If , then by assigning 5 to , 4 to all leaves at distance 2 from and 0 to remaining vertices we obtain a -RDF on T with weight 13, implying that . Thus, let . If , then by assigning 5 to , 4 to and 0 to other vertices of , a -function is extended to a -function and so by induction hypothesis, . Now assume that , it is obvious that and as above . By induction hypothesis on , we have
as desired.
Let the equality hold. Then we must have equality throughout in Equation (1). In particular, we must have . By the induction hypothesis, . Hence can be built from copies and copies by adding edges between to connect the graph. Without loss of generality, we may assume that . First let . If is a leaf of , then there exists a -function that assigns 4 to and 5 to the other support vertex of , and the function h defined by , and otherwise, is a [4]-RDF on T and so which is impossible. Hence is a support vertex. If , then . Suppose that . If , then the function h defined by for , for , , for and otherwise, is a [4]-RDF of T and so , a contradiction. Thus, and so .
Now let . If is a leaf of , say , then the function g defined on T by , for , for , , and otherwise, is a quadruple Roman dominating function of T of weight less than which is a contradiction. If is a support vertex of , say , then the function g defined on T by , for , for , , and otherwise, is a quadruple Roman dominating function of T of weight less than which is a contradiction. Thus, and so
Case 2. is not a support vertex and .
It is clear that is a healthy spider with at least three feet. We first assume that , then and applying the fact and the induction hypothesis, we have . Now, we distinguish two situations.
Subcase 2.1..
First let and let . Then and every -function can be extended to a -function by assigning 5 to , 4 to leaves of except and 0 to remaining vertices. Thus, by induction hypothesis,
Let the equality hold. Then we must have equality throughout in Equation (1). In particular, we must have and that is a leaf in . If , then clearly , which is impossible. By the induction hypothesis, we have . Clearly has a -function h assigning 4 to . Now h can be extended to a -RDF on T by assigning 4 to and any leaf of at distance 2 from and 0 to remaining vertices, implying that which is a contradiction.
Assume now that . Then and each -function can be extended to a -function by assigning 5 to support vertices in and 0 to remaining vertices. Thus, by induction hypothesis, , as desired.
Subcase 2.2..
Assume first that and let . Then and each -function can be extended to a -function by assigning 5 to , 4 to leaves of except and 0 to remaining vertices. Thus, . Therefore, by induction hypothesis,
Assume now that . Then and each -function can be extended to a -function by assigning 5 to support vertices in and 0 to the remaining vertices. Thus, by induction hypothesis,
Let the equality hold. Let . Then we must have equality throughout in Equation (2). Moreover, we must have and that is not a leaf of . By the induction hypothesis, . As a result, can be built from copies and copies by adding edges between to connect the graph. Without loss of generality, we may assume that . First let . Then is a support vertex. If , then . Let . If , then the function h defined by , for each , for , for , for each , and otherwise, is a [4]-RDF on T and so , a contradiction. Thus, and so .
Now let . If is a support vertex of , say , then the function h defined on T by , for , for , , for and otherwise, is a quadruple Roman dominating function of T of weight less than which is a contradiction. Thus, and so .
Case 3. is not a support vertex and .
If , then assigning 5 to support vertices of T and 0 to other vertices, introduces a [4]-RDF on T, implying that , as desired. Let , then , and each -function can be extended to a -function by assigning 5 to support vertices in and 0 to the remaining vertices. Thus, by induction hypothesis, , as desired. □
Now, we provide a lower bound on as follows.
Theorem 2.
For any tree T with order ,
Equality holds if , where .
Proof.
The proof is by induction on n. If , then . If , then .
Suppose that and assume that the statement is true for any tree of order less than n. If , then . If , then . Let and be a diametral path of T such that is as large as possible. We root T at . Now let f be a -function. If , then and so f restricted to is a [4]-RDF. As a result, by induction hypothesis, . Now, let . By the choice of diametral path, the degree of every child of with depth 1, is two.
Case 1. is a strong support vertex or has a child w with depth one different from .
If is a strong support vertex, then as above we have . Assume that w is a child of with depth one different from . Suppose that . Let . Clearly and the function f, restricted to is a [4]-RDF of , implying that . By the above inequality and the induction hypothesis, , as desired.
Case 2. and is a support vertex.
Considering Case 1, we can assume that is a support vertex. Assume that w is a leaf adjacent to . Let . Obviously, . Without loss of generality, we may assume that and . Now the result follows as in Case 1.
Case 3..
Let . Without loss of generality, we may assume that and . Hence the function f restricted to is a [4]-RDF of , implying that . As a result, by the induction hypothesis, , and this completes the proof. □
3. Quadruple Roman Domination vs. Domination and Roman Domination in Trees
In this section, we first prove that and then we present a characterization of trees for which and hold.
Theorem 3.
For any nontrivial tree T, .
Proof.
The proof is by induction on . If T is a star, then the function by assigning 5 to the central vertex and 0 to every leaf, is [4]-RDF on T and hence . Observe that . As a result, . If , then T is the double star where and so and if and if . As a result, . Suppose next that . Please note that .
Suppose that the statement is true for any nontrivial tree of order less than n. We first assume that T has a strong support vertex v adjacent to a leaf u. We observe that if each -RDF f on T assigns a value less than 5 to v, then , where , Thus, each -function assigns 5 to v and 0 to its leaf neighbors. Let . Please note that v is a support vertex of . Thus, and . On the other hand, is nontrivial tree and so by induction hypothesis, . Suppose now that each support vertex is adjacent to exactly one leaf. Choose two leaves u and v of T satisfying that the distance between u and v equals the diameter of T. Now root the tree T at vertex u. Let w be the unique vertex adjacent to v, x be the parent of w and y be the parent of x. Observe that each child of w is a leaf in T. Please note that there are no strong support vertices in T. Thus, . We consider the following cases based on .
Case 1..
Let . Since any leaf or its support vertex must be in any dominating set, we may assume that X is a -set of T that contains all the support vertices of T. Let be the restriction of X on . Clearly, and . By the choice of v, each child of x is a leaf or a support adjacent to a unique leaf. Thus, x or a child of x is in X. Please note that . Then x is dominated by one vertex of . As a result, , implying that . Moreover, each dominating set of can be extended to a dominating set of T be adding w. Thus, . As a result, .
Let f be a -function such that is minimum. Now, consider the following subcases:
Subcase 1.x is a support vertex.
Let z be a leaf adjacent to x. If , then each leaf adjacent to x must be assigned 4 and each child of x with depth 1 is assigned a 5 under f. Let h be a function which assigns 5 to x, 0 to each child of x, 4 to the leaves at distance two from x in and for . Clearly h is a [4]-RDF on T with and , a contradiction to the choice of f. Hence , so we can suppose that for each leaf y adjacent with x, and . This implies that the restriction of f on is a [4]-RDF on and so . By the induction hypothesis, .
Subcase 2.x is not a support vertex.
Clearly every child of x is a support vertex with degree 2. If , then each support vertex adjacent to x is assigned 5. Please note that . Then the restriction of f on is a [4]-RDF of with . Therefore similar to above, , as desired. If , then . Define the function by and for . Clearly h is a [4]-RDF of and hence . Applying our inductive hypothesis, , as desired.
Case 2..
Consider . Since each -set of can be extended to a dominating set of T by adding w, . Observe that we can choose a dominating set X of T that does not contain x and is as small as possible. Thus, is a dominating set of . So . As a result, .
Let f be a -function such that is minimum and is as large as possible. Assume that y is the parent of x. Clearly and . Furthermore, , , or and . Please note that when f is restricted to , the latter has a large weight. We next prove that this case is not occur. Since and , . Define the function by and otherwise. Then h is a -RDF on T with , a contradiction to the choice of f. Therefore , and hence the function f restricted to is a -RDF on . Then . Applying the induction hypothesis, □
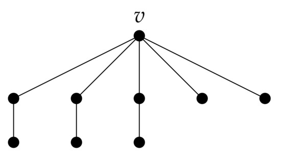
Let denote the family of trees with order n obtained from a star S by subdividing j edges exactly once, where and . The tree is shown in Figure 3. The head vertex of a star S is the central vertex of S.
Figure 3.
The tree , with head vertex v.
Proposition 3.
If , then .
Proof.
If T is a star, then the assertion is trivial. Suppose next that T is not a star. So for some where and . If then result is obvious. Hence, we may assume that . With the assumption, we have . Observe that the function f that assigns 5 to the head vertex, 4 to each of the j leaves at distance 2 from the head, and 0 to all other vertices is a [4]-RDF of T, and so . By Theorem 3, . So . As a result, . □
Theorem 4.
For any nontrivial tree T with order n, if and only if .
Proof.
The sufficiency follows from Proposition 3. Next, we show the necessity.
Suppose that . The proof is by induction on n. If , then clearly . Suppose that and that the statement is true for any nontrivial tree of order less than n. If T is a star, then clearly , as desired. Let .
Assume that , and so T is a double star , where . If , then and , a contradiction to the fact that . Therefore and . Assume now that . Root the tree T at some vertex r at the end of a longest path in T. Necessary, r is a leaf. Let t be a vertex that has the maximum distance from r. Necessary, t is a leaf. Assume that u is the parent of t, v is the parent of u and w is the parent of v. Since t has the maximum distance from r, each child of u is a leaf.
We shall prove that . Suppose, to the contrary, that . Let . Please note that u is a support vertex of T. Then and . It follows from Theorem 3 that . Moreover, since , . Applying the induction hypothesis, . It follows that where v is the head of and . As a result, , a contradiction.
So . Similarly, each child of v with depth 1 has degree two. We now claim v is a support vertex. Suppose, to the contrary, that v is not a support vertex.
Case 1..
Let be a support vertex of T distinct of u, adjacent to v. Then . Let . Since each -set can be extended to a dominating set of T by adding u, we have . Additionally, if X is a -set without leaves, then and so is a dominating set of . Thus, and consequently . Now assume that f is a -function and is the restriction of f on . If , then and . Thus, is a [4]-RDF of and so . Therefore by Proposition 3, , a contradiction. Now assume that . Please note that . Then by Proposition 1, we have and and so is a [4]-RDF of and . Thus, . Since and , we have . Hence, we must have equality throughout this inequality chain. In particular, . By the induction hypothesis, where v is the head of and so is a support vertex, contradicting the assumption that v is not a support vertex.
Case 2..
Let , since each -set can be extended to a dominating set of T by adding u, we have . Additionally, if X is a -set with no leaves, then . If , then is a dominating set of . If , then is a dominating set of . Thus, and consequently . Let f be a -function and be the restriction of f to . Please note that . If , then the function defined by and otherwise, is a [4]-RDF on T with weight at most . Thus, we may assume that , then and . This implies that is a [4]-RDF of with weight , so . Since , we have
a contradiction. Therefore, our claim is true, hence v is a support vertex.
Let , f be a -function and let be the restriction of f on . Since v is a support vertex, we may assume without loss of generality that and . Thus, is a [4]-RDF of and so . Moreover, observe that . Therefore, it follows from Proposition 3 that .
Thus, we must have equality throughout the above inequality chain. Please note that . By the induction hypothesis, . If v is not the head of , then w is the head of , then the function defined by , for and for . It is not difficult to verify that , a contradiction. Hence v is the head of and so . □
Proposition 4.
For any nontrivial tree T, .
Proof.
Let be a -function such that is as large as possible. Since T is nontrivial, we may assume that . Clearly the function defined by for , for and for , is a [4]-RDF on T with . Thus
as desired. □
Now we give a characterization of all trees attaining the equality of Proposition 4.
Theorem 5.
For any nontrivial tree T, if and only if .
Proof.
If , then it follows from Theorem 3 that , and since , . We next prove the necessity.
Suppose that and that is a -function such that is as large as possible. Then all inequalities occurring in Equation (3) must be equalities. In particular we must have . On the other hand, we deduce from the choice of f that is an independent set. Assume that . Clearly every vertex of is adjacent to v. Since is independent, each vertex in is at distance 2 from v, and since is maximized, any vertex of can be adjacent to at most one vertex of . It follows that T is a spider. If T is a healthy spider with at least two feet, then by assigning 4 to v and each leaf of T, and 0 to remaining vertices, we obtain a [4]-RDF of T and so , a contradiction. As a result, T is a wounded spider and so . □
4. Conclusions
The main objective of this paper was to study the quadruple Roman domination number in graphs. We focused on trees and we presented lower and upper bounds on the quadruple Roman domination number of trees and characterized all extremal trees. For further works, one can find Nordhaus–Gaddum-type inequalities for quadruple Roman domination number in graphs.
Author Contributions
Z.K. and S.K. contribute for supervision, methodology, project administration and formal analyzing. J.A., N.K. and S.K. contribute for investigation, resources, some computations and wrote the initial draft of the paper, which was investigated and approved by G.H. who wrote the final draft. All authors have read and agreed to the published version of the manuscript.
Funding
The third author was supported by the National Natural Science Foundation of China (No. 12061007) and the Open Project Program of Research Center of Data Science, Technology and Applications, Minjiang University, China.
Institutional Review Board Statement
Not applicable.
Informed Consent Statement
Not applicable.
Data Availability Statement
Not applicable.
Conflicts of Interest
The authors declare no conflict of interest.
References
- Haynes, T.W.; Hedetniemi, S.T.; Slater, P.J. Fundamentals of Domination in Graphs; Marcel Dekker Inc.: New York, NY, USA, 1998. [Google Scholar]
- ReVelle, C.S.; Rosing, K.E. Defendens imperium romanum: A classical problem in military strategy. Amer. Math. Monthly 2000, 107, 585–594. [Google Scholar] [CrossRef]
- Stewart, I. Defend the Roman empire! Sci. Amer. 1999, 281, 136–139. [Google Scholar] [CrossRef]
- Cockayne, E.J.; Dreyer, P.A.; Hedetniemi, S.M.; Hedetniemi, S.T. Roman domination in graphs. Discrete Math. 2004, 278, 11–22. [Google Scholar] [CrossRef]
- Chellali, M.; Rad, N.J.; Sheikholeslami, S.M.; Volkmann, L. Roman domination in graphs. In Topics in Domination in Graphs; Haynes, T.W., Hedetniemi, S.T., Henning, M.A., Eds.; Springer: Berlin/Heidelberg, Germany, 2020; pp. 365–409. [Google Scholar]
- Chellali, M.; Rad, N.J.; Sheikholeslami, S.M.; Volkmann, L. Varieties of Roman domination. In Structures of Domination in Graphs; Haynes, T.W., Hedetniemi, S.T., Henning, M.A., Eds.; Springer: Berlin/Heidelberg, Germany, 2020; pp. 273–307. [Google Scholar]
- Chellali, M.; Rad, N.J.; Sheikholeslami, S.M.; Volkmann, L. Varieties of Roman domination II. AKCE Int. J. Graphs Comb. 2020, 17, 966–984. [Google Scholar] [CrossRef]
- Chellali, M.; Jafari Rad, N.; Sheikholeslami, S.M.; Volkmann, L. A survey on Roman domination parameters in directed graphs. J. Combin. Math. Combin. Comput. 2020, in press. [Google Scholar]
- Chellali, M.; Jafari Rad, N.; Sheikholeslami, S.M.; Volkmann, L. The Roman domatic problem in graphs and digraphs: A survey. Discuss. Math. Graph Theory 2021, in press. [Google Scholar] [CrossRef]
- Abdollahzadeh Ahangar, H.; Alvarez, M.P.; Chellali, M.; Sheikholeslami, S.M.; Valenzuela-Tripodoro, J.C. Triple Roman domination in graphs. Appl. Math. Comput. 2021, 391, 125444. [Google Scholar] [CrossRef]
- Abdollahzadeh Ahangar, H.; Amjadi, J.; Atapour, M.; Chellali, M.; Sheikholeslami, S.M. Double Roman trees. Ars Combin. 2019, 145, 173–183. [Google Scholar]
- Abdollahzadeh Ahangar, H.; Amjadi, J.; Chellali, M.; Nazari-Moghaddam, S.; Sheikholeslami, S.M. Trees with double Roman domination number twice the domination number plus two. Iran. J. Sci. Technol. Trans. A Sci. 2019, 43, 1081–1088. [Google Scholar] [CrossRef]
- Abdollahzadeh Ahangar, H.; Chellali, M.; Sheikholeslami, S.M. Outer independent double Roman domination. Appl. Math. Comput. 2020, 364, 124617. [Google Scholar] [CrossRef]
- Abdollahzadeh Ahangar, H.; Chellali, M.; Sheikholeslami, S.M. On the double Roman domination in graphs. Discrete Appl. Math. 2019, 103, 1–11. [Google Scholar] [CrossRef]
- Azvin, F.; Rad, N.J.; Volkmann, L. Bounds on the outer-independent double Italian domination number. Commun. Comb. Optim. 2021, 6, 123–136. [Google Scholar]
- Hao, G.; Volkmann, L.; Mojdeh, D.A. Total double Roman domination in graphs. Commun. Comb. Optim. 2020, 5, 27–39. [Google Scholar]
- Hao, G.; Xie, Z.; Sheikholeslami, S.M.; Hajjari, M. Bounds on the total double Roman domination number of graphs. Discuss. Math. Graph Theory 2021, in press. [Google Scholar] [CrossRef]
- Khoeilar, R.; Chellali, M.; Karami, H.; Sheikholeslami, S.M. An improved upper bound on the double Roman domination number of graphs with minimum degree at least two. Discrete Appl. Math. 2019, 270, 159–167. [Google Scholar] [CrossRef]
- Shahbazi, L.; Abdollahzadeh Ahangar, H.; Khoeilar, R.; Sheikholeslami, S.M. Bounds on signed total double Roman domination. Commun. Comb. Optim. 2020, 5, 191–206. [Google Scholar]
- Volkmann, L. Double Roman domination and domatic numbers of graphs. Commun. Comb. Optim. 2018, 3, 71–77. [Google Scholar]
- Ahangar, H.A.; Hajjari, M.; Khoeilar, R.; Shao, Z.; Sheikholeslami, S.M. An upper bound on triple Roman domination. J. Combin. Math. Comput. Combin. 2020, in press. [Google Scholar]
- Amjadi, J.; Khalili, N. Quadruple Roman domination in graphs. Discrete Math. Algorithms Appl. 2021, in press. [Google Scholar] [CrossRef]
- Faradjev, I.A.; Ivanov, A.A.; Ivanov, A.V. Distance-transitive graphs of valency 5, 6 and 7. Eur. J. Combin. 1986, 7, 303–319. [Google Scholar] [CrossRef][Green Version]
Publisher’s Note: MDPI stays neutral with regard to jurisdictional claims in published maps and institutional affiliations. |
© 2021 by the authors. Licensee MDPI, Basel, Switzerland. This article is an open access article distributed under the terms and conditions of the Creative Commons Attribution (CC BY) license (https://creativecommons.org/licenses/by/4.0/).


