Estimating the Variance of Estimator of the Latent Factor Linear Mixed Model Using Supplemented Expectation-Maximization Algorithm
Abstract
:1. Introduction
2. The LFLMM and the EM Algorithm
3. The Supplemented EM
- Select input: and
- Set for . Then take the E step and M step of the LFLMM EM algorithm to produce .
- For rows :
- (i)
- Set be equal to , except for the th element:
- (ii)
- Run the LFLMM EM algorithm with as the current estimate of to obtain .
- (iii)
- Calculate the th row of as
4. Simulation
5. Real Data Example
6. Conclusions
Author Contributions
Funding
Institutional Review Board Statement
Informed Consent Statement
Data Availability Statement
Conflicts of Interest
References
- An, X.; Yang, Q.; Bentler, P.M. A latent factor linear mixed model for high-dimensional longitudinal data analysis. Stat. Med. 2013, 32, 4229–4239. [Google Scholar] [CrossRef] [PubMed]
- Kondaurova, M.V.; Bergeson, R.R.; Xu, H.; Kitamura, C. Affective Properties of Mothers’ Speech to Infants with Hearing Impairment and Cochlear Implants. J. Speech Lang. Hear. Res. 2015, 58, 590–600. [Google Scholar] [CrossRef] [Green Version]
- Wang, J.; Luo, S. Multidimensional latent trait linear mixed model: An application in clinical studies with multivariate longitudinal outcomes. Stat. Med. 2017, 36, 3244–3256. [Google Scholar] [CrossRef]
- Ng, S.K.; Krishnan, T.; McLachlan, G. The EM algorithm. In Handbook of Computational Statistics; Springer: Berlin, Germany, 2004; pp. 137–168. ISBN 9783642215513. [Google Scholar]
- Mclachlan, G.J.; Krishnan, T. The EM Algorithm and Extensions Second Edition, 2nd ed.; Wiley: New York, NY, USA, 2007; ISBN 9780471201700. [Google Scholar]
- Meng, A.X.; Rubin, D.B. Using EM to Obtain Asymptotic Variance-Covariance Matrices: The SEM Algorithm. J. Am. Stat. Assoc. 1991, 86, 899–909. [Google Scholar] [CrossRef]
- Cai, L. SEM of another flavour: Two new applications of the supplemented EM algorithm. Br. J. Math. Stat. Psychol. 2008, 61, 309–329. [Google Scholar] [CrossRef] [PubMed]
- Cai, L.; Lee, T.; Lee, T. Covariance Structure Model Fit Testing Under Missing Data: An Application of the Supplemented EM Algorithm Covariance Structure Model Fit Testing Under Missing Data: An Application of the Supplemented EM Algorithm. Multivar. Behav. Res. 2009, 44, 281–304. [Google Scholar] [CrossRef] [PubMed]
- Tian, W.; Cai, L.; Thissen, D.; Xin, T. Numerical Differentiation Methods for Computing Error Covariance Matrices in Item Response Theory Modeling: An Evaluation and a New Proposal. Educ. Psychol. Meas 2012, 73, 412–439. [Google Scholar] [CrossRef]
- Caraka, R.E.; Noh, M.; Chen, R.C.; Lee, Y.; Gio, P.U.; Pardamean, B. Connecting climate and communicable disease to penta helix using hierarchical likelihood structural equation modelling. Symmetry 2021, 13, 657. [Google Scholar] [CrossRef]
- Pritikin, J.N. A comparison of parameter covariance estimation methods for item response models in an expectation-maximization framework. Cogent Psychol. 2017, 4, 1–11. [Google Scholar] [CrossRef]
- Orchard, T.; Woodbury, M. A Missing Information Principle: Theory and Applications. In Theory of Statistics; University of California Press: Berkeley, CA, USA, 1972; Volume 1, pp. 697–715. Available online: https://projecteuclid.org/download/pdf_1/euclid.bsmsp/1200514117 (accessed on 1 June 2021).
- Dempster, A.P.; Laird, N.M.; Rubin, D.B. Maximum Likelihood from Incomplete Data via the EM Algorithm A. J. R. Stat. Soc. Ser. B 1977, 39, 1–38. [Google Scholar]
- Little, R.J.A.; Rubin, D.B. Statistical Analysis with Missing; Wiley: New York, NY, USA, 2002; ISBN 3175723993. [Google Scholar]
- Abel, G.J. International Migration Flow Table Estimation. Ph.D. Thesis, University of Southampton, Southampton, UK, 2009. [Google Scholar]
- Interuniversitair Steunpunt Politieke-Opinieonderzoek. General Election Study: Codebook and Questionnaire; ISPO: Leuven, Belgium, 1991; ISBN 9067841161. [Google Scholar]
- Interuniversitair Steunpunt Politieke-Opinieonderzoek. General Election Study: Codebook and Questionnaire; ISPO: Leuven, Belgium, 1995; ISBN 9067841366. [Google Scholar]
- Interuniversitair Steunpunt Politieke-Opinieonderzoek. General Election Study: Codebook and Questionnaire; ISPO: Leuven, Belgium, 1999. [Google Scholar]
- Billiet, J. Church Involvement, Individualism, and Ethnic Prejudice among Flemish Roman Catholics: New Evidence of a Moderating Effect. J. Sci. Study Relig. 1995, 34, 224–233. [Google Scholar] [CrossRef]
- Billiet, J.; Coffe, H.; Maddens, B. Een Vlaams-nationale identiteit en de houding tegenover allochtonen in een longitudinaal perspectief. In Proceedings of the Paper Presented at the Marktdag Sociologie; Universitaire Pers Leuven: Leuven, Belgium, 2005. [Google Scholar]
- Toharudin, T.; Oud, J.H.L.; Billiet, J.B. Assessing the relationships between Nationalism, Ethnocentrism, and Individualism in Flanders using Bergstrom’s approximate discrete model. Stat. Neerl. 2008, 62, 83–103. [Google Scholar] [CrossRef]
- Toharudin, T.; Oud, J.H.L.; Billiet, J.; Folmer, H. Measuring Authoritarianism with Different Sets of Items in a Longitudinal Study. In Methods, Theories, Andempirical Applications in the Social Sciences; Salzborn, S., Davidov, E., Reinecke, J., Eds.; Springer: Heidelberg, Germany, 2012; pp. 193–200. ISBN 9783531188980. [Google Scholar]
- Angraini, Y.; Toharudin, T.; Folmer, H.; Oud, J.H.L. The Relationships between Individualism, Nationalism, Ethnocentrism, and Authoritarianism in Flanders: A Continuous Time-Structural Equation Modeling Approach. Multivar. Behav. Res. 2014, 49, 41–53. [Google Scholar] [CrossRef] [PubMed]
- Meng, X.; Rubin, D.B. Maximum likelihood estimation via the ECM algorithm: A general framework. Biometrika 1993, 80, 267–278. [Google Scholar] [CrossRef]
- Van Dyk, D.A.; Meng, X.; Rubin, D.B. Maximum Likelihood Estimation via the ECM Algorithm: Computing The Asymptotic Variance. Stat. Sin. 1995, 5, 55–75. [Google Scholar]
- Li, H.; Tian, W. Slashed lomax distribution and regression model. Symmetry 2020, 12, 1877. [Google Scholar] [CrossRef]
- Liu, B.Y.C.; Rubin, D.B. The ECME algorithm: A simple extension of EM and ECM with faster monotone convergence. Biometrika 1994, 81, 633–648. [Google Scholar] [CrossRef]
- Liu, C.; Rubin, D.B.; Wu, Y.N. Parameter Expansion to Accelerate EM: The PX-EM Algorithm. Biometrika 1998, 85, 755–770. [Google Scholar] [CrossRef] [Green Version]



| No | Para | True | SEM | No | Para | True | SEM | ||||||||||
|---|---|---|---|---|---|---|---|---|---|---|---|---|---|---|---|---|---|
| 500 | 1000 | 1500 | 500 | 1000 | 1500 | ||||||||||||
| 50 | 250 | 50 | 250 | 50 | 250 | 50 | 250 | 50 | 250 | 50 | 250 | ||||||
| 1 | 1 | 0.0013 | 0.0012 | 0.0010 | 0.0009 | 0.0009 | 0.0009 | 23 | 1 | 0.0040 | 0.0036 | 0.0032 | 0.0004 | 0.0018 | 0.0007 | ||
| 2 | 1 | 0.0019 | 0.0015 | 0.0013 | 0.0009 | 0.0012 | 0.0009 | 24 | −1 | 0.0111 | 0.0079 | 0.0008 | 0.0008 | 0.0034 | 0.0017 | ||
| 3 | 1 | 0.0015 | 0.0009 | 0.0005 | 0.0009 | 0.0012 | 0.0010 | 25 | 0 | 0.0038 | 0.0018 | 0.0012 | 0.0007 | 0.0016 | 0.0003 | ||
| 4 | 1 | 0.0014 | 0.0016 | 0.0007 | 0.0009 | 0.0007 | 0.0009 | 26 | 0 | 0.0031 | 0.0039 | 0.0014 | 0.0021 | 0.0044 | 0.0006 | ||
| 5 | 1 | 0.0016 | 0.0014 | 0.0011 | 0.0009 | 0.0013 | 0.0010 | 27 | 1 | 0.0012 | 0.0016 | 0.0008 | 0.0003 | 0.0007 | 0.0004 | ||
| 6 | 1 | 0.0021 | 0.0018 | 0.0013 | 0.0014 | 0.0016 | 0.0013 | 28 | 1 | 0.0016 | 0.0010 | 0.0002 | 0.0004 | 0.0000 | 0.0005 | ||
| 7 | 1 | 0.0015 | 0.0016 | 0.0017 | 0.0014 | 0.0010 | 0.0013 | 29 | 1 | 0.0025 | 0.0027 | 0.0002 | 0.0001 | 0.0007 | 0.0002 | ||
| 8 | 1 | 0.0020 | 0.0015 | 0.0015 | 0.0014 | 0.0019 | 0.0013 | 30 | −1 | 0.0018 | 0.0025 | 0.0004 | 0.0001 | 0.0003 | 0.0001 | ||
| 9 | 1 | 0.0015 | 0.0015 | 0.0015 | 0.0014 | 0.0022 | 0.0017 | 31 | 3 | 0.0332 | 0.0444 | 0.0152 | 0.0154 | 0.0039 | 0.0160 | ||
| 10 | 1 | 0.0019 | 0.0012 | 0.0017 | 0.0017 | 0.0016 | 0.0016 | 32 | 1 | 0.0410 | 0.0120 | 0.0024 | 0.0057 | 0.0265 | 0.0085 | ||
| 11 | 0.5 | 0.0007 | 0.0001 | 0.0006 | 0.0004 | 0.0009 | 0.0004 | 33 | 1.5 | 0.0289 | 0.0200 | 0.0218 | 0.0141 | 0.0229 | 0.0133 | ||
| 12 | 0.5 | 0.0003 | 0.0006 | 0.0000 | 0.0011 | 0.0019 | 0.0006 | 34 | 1 | 0.0286 | 0.0131 | 0.0077 | 0.0083 | 0.0169 | 0.0094 | ||
| 13 | 0.5 | 0.0027 | 0.0001 | 0.0021 | 0.0001 | 0.0005 | 0.0007 | 35 | 3 | 0.0233 | 0.0105 | 0.0247 | 0.0017 | 0.0276 | 0.0150 | ||
| 14 | 0.5 | 0.0007 | 0.0009 | 0.0002 | 0.0002 | 0.0005 | 0.0008 | 36 | 1 | 0.0003 | 0.0045 | 0.0158 | 0.0042 | 0.0124 | 0.0051 | ||
| 15 | 0.5 | 0.0002 | 0.0006 | 0.0010 | 0.0013 | 0.0010 | 0.0006 | 37 | 2 | 0.0073 | 0.0020 | 0.0057 | 0.0004 | 0.0126 | 0.0089 | ||
| 16 | 0.5 | 0.0044 | 0.0010 | 0.0017 | 0.0005 | 0.0004 | 0.0004 | 38 | 3 | 0.0014 | 0.0125 | 0.0383 | 0.0260 | 0.0387 | 0.0274 | ||
| 17 | 0.5 | 0.0005 | 0.0008 | 0.0016 | 0.0021 | 0.0017 | 0.0004 | 39 | 1 | 0.0080 | 0.0075 | 0.0236 | 0.0069 | 0.0043 | 0.0022 | ||
| 18 | 0.5 | 0.0027 | 0.0012 | 0.0006 | 0.0006 | 0.0011 | 0.0009 | 40 | 3 | 0.0021 | 0.0015 | 0.0215 | 0.0020 | 0.0148 | 0.0094 | ||
| 19 | 0.5 | 0.0016 | 0.0010 | 0.0004 | 0.0009 | 0.0001 | 0.0004 | 41 | 0.5 | 0.0020 | 0.0013 | 0.0028 | 0.0005 | 0.0015 | 0.0013 | ||
| 20 | 0.5 | 0.0009 | 0.0012 | 0.0012 | 0.0005 | 0.0003 | 0.0008 | 42 | 0.2 | 0.0017 | 0.0006 | 0.0006 | 0.0003 | 0.0006 | 0.0001 | ||
| 21 | 0.5 | 0.0001 | 0.0001 | 0.0013 | 0.0000 | 0.0012 | 0.0001 | 43 | 0.5 | 0.0021 | 0.0033 | 0.0027 | 0.0029 | 0.0028 | 0.0023 | ||
| 22 | 0.5 | 0.0011 | 0.0012 | 0.0001 | 0.0002 | 0.0011 | 0.0002 | ||||||||||
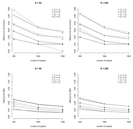
| Number of Subjects | Parameter | The 2nd Moment | SEM | ||
|---|---|---|---|---|---|
| 50 | 250 | 50 | 250 | ||
| 500 | 0.0512 | 0.0528 | 0.0249 | 0.0251 | |
| 0.0587 | 0.0530 | 0.0187 | 0.0195 | ||
| 0.0378 | 0.0392 | 0.0110 | 0.0126 | ||
| 0.0391 | 0.0379 | 0.0164 | 0.0158 | ||
| 0.0184 | 0.0190 | 0.0245 | 0.0268 | ||
| 0.0184 | 0.0190 | 0.0212 | 0.0200 | ||
| 0.0283 | 0.0283 | 0.0105 | 0.0105 | ||
| 0.0288 | 0.0308 | 0.0145 | 0.0145 | ||
| 1000 | 0.0338 | 0.0327 | 0.0179 | 0.0184 | |
| 0.0342 | 0.0339 | 0.0138 | 0.0134 | ||
| 0.0232 | 0.0232 | 0.0071 | 0.0077 | ||
| 0.0253 | 0.0232 | 0.0105 | 0.0100 | ||
| 0.0095 | 0.0100 | 0.0176 | 0.0184 | ||
| 0.0089 | 0.0095 | 0.0130 | 0.0130 | ||
| 0.0141 | 0.0130 | 0.0077 | 0.0077 | ||
| 0.0130 | 0.0130 | 0.0110 | 0.0105 | ||
| 1500 | 0.0276 | 0.0253 | 0.0152 | 0.0152 | |
| 0.0270 | 0.0265 | 0.0105 | 0.0110 | ||
| 0.0187 | 0.0182 | 0.0063 | 0.0063 | ||
| 0.0164 | 0.0192 | 0.0084 | 0.0084 | ||
| 0.0071 | 0.0071 | 0.0145 | 0.0152 | ||
| 0.0063 | 0.0071 | 0.0105 | 0.0105 | ||
| 0.0110 | 0.0105 | 0.0063 | 0.0063 | ||
| 0.0110 | 0.0105 | 0.0084 | 0.0084 | ||
| Random Effects | I | N | E | A | |||||
|---|---|---|---|---|---|---|---|---|---|
| I | 1 | 0.892 | 0.832 | 0.903 | 0.966 | 0.930 | 0.956 | 0.880 | |
| 0.892 | 1 | 0.854 | 0.878 | 0.937 | 0.931 | 0.913 | 0.895 | ||
| N | 0.832 | 0.854 | 1 | 0.311 | 0.864 | 0.883 | 0.856 | 0.835 | |
| 0.903 | 0.878 | 0.311 | 1 | 0.918 | 0.893 | 0.899 | 0.861 | ||
| E | 0.966 | 0.937 | 0.864 | 0.918 | 1 | 0.946 | 0.973 | 0.919 | |
| 0.930 | 0.931 | 0.883 | 0.893 | 0.946 | 1 | 0.946 | 0.918 | ||
| A | 0.956 | 0.913 | 0.856 | 0.899 | 0.973 | 0.946 | 1 | 0.873 | |
| 0.880 | 0.895 | 0.835 | 0.861 | 0.919 | 0.918 | 0.873 | 1 | ||
| Parameter | Estimate | Lower | Upper | |
|---|---|---|---|---|
| Individualism | −0.195 | 0.004 | −0.203 | −0.187 |
| Nationalism | −0.177 | 0.028 | −0.231 | −0.123 |
| Ethnocentrism | −0.252 | 0.011 | −0.273 | −0.231 |
| Authoritarianism | −0.186 | 0.002 | −0.190 | −0.182 |
| Slope of Male on Individualism | 0.110 | 0.010 | 0.091 | 0.129 |
| Slope of Male on Nationalism | 0.219 | 0.017 | 0.185 | 0.253 |
| Slope of Male on Ethnocentrism | −0.038 | 0.003 | −0.045 | −0.031 |
| Slope of Male on Authoritarianism | 0.022 | 0.017 | −0.011 | 0.055 |
Publisher’s Note: MDPI stays neutral with regard to jurisdictional claims in published maps and institutional affiliations. |
© 2021 by the authors. Licensee MDPI, Basel, Switzerland. This article is an open access article distributed under the terms and conditions of the Creative Commons Attribution (CC BY) license (https://creativecommons.org/licenses/by/4.0/).
Share and Cite
Angraini, Y.; Notodiputro, K.A.; Folmer, H.; Saefuddin, A.; Toharudin, T. Estimating the Variance of Estimator of the Latent Factor Linear Mixed Model Using Supplemented Expectation-Maximization Algorithm. Symmetry 2021, 13, 1286. https://doi.org/10.3390/sym13071286
Angraini Y, Notodiputro KA, Folmer H, Saefuddin A, Toharudin T. Estimating the Variance of Estimator of the Latent Factor Linear Mixed Model Using Supplemented Expectation-Maximization Algorithm. Symmetry. 2021; 13(7):1286. https://doi.org/10.3390/sym13071286
Chicago/Turabian StyleAngraini, Yenni, Khairil Anwar Notodiputro, Henk Folmer, Asep Saefuddin, and Toni Toharudin. 2021. "Estimating the Variance of Estimator of the Latent Factor Linear Mixed Model Using Supplemented Expectation-Maximization Algorithm" Symmetry 13, no. 7: 1286. https://doi.org/10.3390/sym13071286
APA StyleAngraini, Y., Notodiputro, K. A., Folmer, H., Saefuddin, A., & Toharudin, T. (2021). Estimating the Variance of Estimator of the Latent Factor Linear Mixed Model Using Supplemented Expectation-Maximization Algorithm. Symmetry, 13(7), 1286. https://doi.org/10.3390/sym13071286

