Abstract
In this article, we begin by introducing two classes of lacunary fractional spline functions by using the Liouville–Caputo fractional Taylor expansion. We then introduce a new higher-order lacunary fractional spline method. We not only derive the existence and uniqueness of the method, but we also provide the error bounds for approximating the unique positive solution. As applications of our fundamental findings, we offer some Liouville–Caputo fractional differential equations (FDEs) to illustrate the practicability and effectiveness of the proposed method. Several recent developments on the the theory and applications of FDEs in (for example) real-life situations are also indicated.
1. Introduction
In recent years, the subject of fractional calculus (that is, the calculus of integrals and derivatives of any arbitrary real or complex order) has gained considerable popularity and importance due mainly to its demonstrated applications in the mathematical modelling of numerous seemingly diverse and widespread real-life problems in the fields of mathematical, physical, engineering and statistical sciences. Such operators of fractional-order derivatives as (for example) the Riemann–Liouville fractional derivative and the Liouville–Caputo fractional derivative are found to be potentially useful in the mathematical modelling of many of these problems (see, for example, [,,,,,,]).
Motivated essentially by some recent developments (see, for example, []; see also [,] as well as the references to the related earlier works cited therein), we introduce and investigate here two classes of higher-order lacunary fractional spline functions based upon the Liouville–Caputo fractional derivative. For this purpose, we make use of a (presumably new) lacunary fractional spline method in order to investigate the above-mentioned classes of higher-order lacunary fractional spline functions by applying the Liouville–Caputo fractional Taylor expansion. We not only prove the existence and uniqueness of the method on each of the classes, but we also find the error bounds of the method via the modulus of continuity. Furthermore, with a view to illustrating our theoretical results, we successfully solve several Liouville–Caputo fractional differential eauations (FDEs) by using the method which we have introduced in this paper. Furthermore, finally, we graphically illustrate the numerical solutions which are presented here.
2. Definitions and Preliminaries
In this section, we revisit and recall all of the needed concepts and results involving fractional calculus and integral equations. We choose to divide this section into the following subsections.
2.1. Fractional Calculus
There are many definitions of fractional integrals and fractional derivatives, so it is always necessary to specify which definition is being used by us. In this article, we need the left Riemann–Liouville (L-RL) fractional integral and fractional derivative, as well as the left Liouville–Caputo (L-LC) derivative, which are defined as follows.
Definition 1
([,,]). For any function Υ defined on , the νth L-RL fractional integral of is defined for as follows:
For any function Υ defined on , the νth L-RL and L-LC fractional derivatives of are defined for as follows:
and
respectively, being the set of positive integers.
Lemma 1
(see [,,,]). Let and .Then the L-RL fractional integral of the power function satisfies the following result:
Moreover, the L-RL and L-LC fractional derivatives of a constant are given by
and
respectively.
Definition 2
(see [,]). Let denote an interval with and for all . Furthermore, let . We then define the sets and of functions as follows:
and
Theorem 1
(see [,]). Let and . Furthermore, let be a continuous function on satisfying the following conditions:
- (1)
- and for all .
- (2)
- is continuous on .
Then, for each
where
Definition 3.
(see []). Let be a continuous function. Then, the modulus of a continuity of Υ is defined by
2.2. Formulation of the Problem
Given the mesh points: , with , and the real numbers associated with the knots, our problem is to find s in a suitable class such that
3. The First Class of Lacunary Fractional Spline
This section is being divided into the following subsections.
3.1. Existence and Uniqueness
Here, in this subsection, we define the class of lacunary fractional spline functions as detailed below.
Definition 4.
We say that in if the following conditions are fulfilled:
and
We construct in order that it is a solution of (4) for functions for and . For this purpose, we set
Then the coefficients are determined by
where
and
Hence, clearly, we have proved Theorem 2 below.
Theorem 2.
For a uniform partition Δ of the interval there exists a unique fractional spline function which is a solution of the problem involving (4).
3.2. Error Bounds
In this subsection, we first give the following main lemmas to work on our error bound theorem.
Lemma 2.
Assume that Υ satisfies the hypothesis of Theorem 1 for . For each it is asserted that
where
and
Proof.
Suppose that . Then, by using Theorem 1, we have
and
where for . We thus find that
and, finally, we get
The proof of Lemma 2 is completed. □
Lemma 3.
Assume that Υ satisfies the hypothesis of Theorem 1 for . The following estimates are valid:
where
and
Proof.
Let for . Then, by applying Theorem 1, we obtain
and
where . We thus find that
and, finally, we get
This completes the proof of Lemma 3. □
We now state and proof our result on the error bound.
Theorem 3
(Error bound). Let be the solution of the problem involving (4). Then, for any
the following error bound holds true:
where is the modulus of continuity of and the constants are given in Table 1.

Table 1.
The constants .
Proof.
Let us first assume that for . Then, from Equation (7) and by using Theorem 1, we have
Now, by making use of the estimates asserted by Lemma 2, we can obtain the result for . In addition, by making use of Lemma 3, we can similarly obtain the rest of the results for . This completes the proof of Theorem 3. □
4. The Second Class of Lacunary Fractional Spline
Here, in this connection, we consider the class of the lacunary fractional spline functions and we denote this class of functions by such that
We construct such that it is a solution of the problem involving (4) for
For this purpose, we set
One can now observe that is a unique element of which is the solution of the interpolation problem (4). Then, by following the same technique which we used for the previous class, we are easily led the following theorem.
5. Applications
In what follows, we provide some numerical examples to verify the validity of the proposed method.
Example 1.
Consider the following FDE []:
subject to the initial condition given by
It is easily verified that the exact solution of this problem is
The maximal absolute errors and their fractional derivatives, which are obtained for , are shown in Table 3. We note that

Table 3.
The observed maximum absolute errors for Example 1.
where
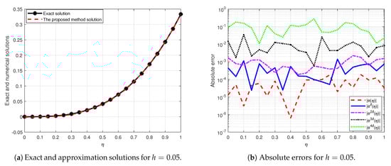
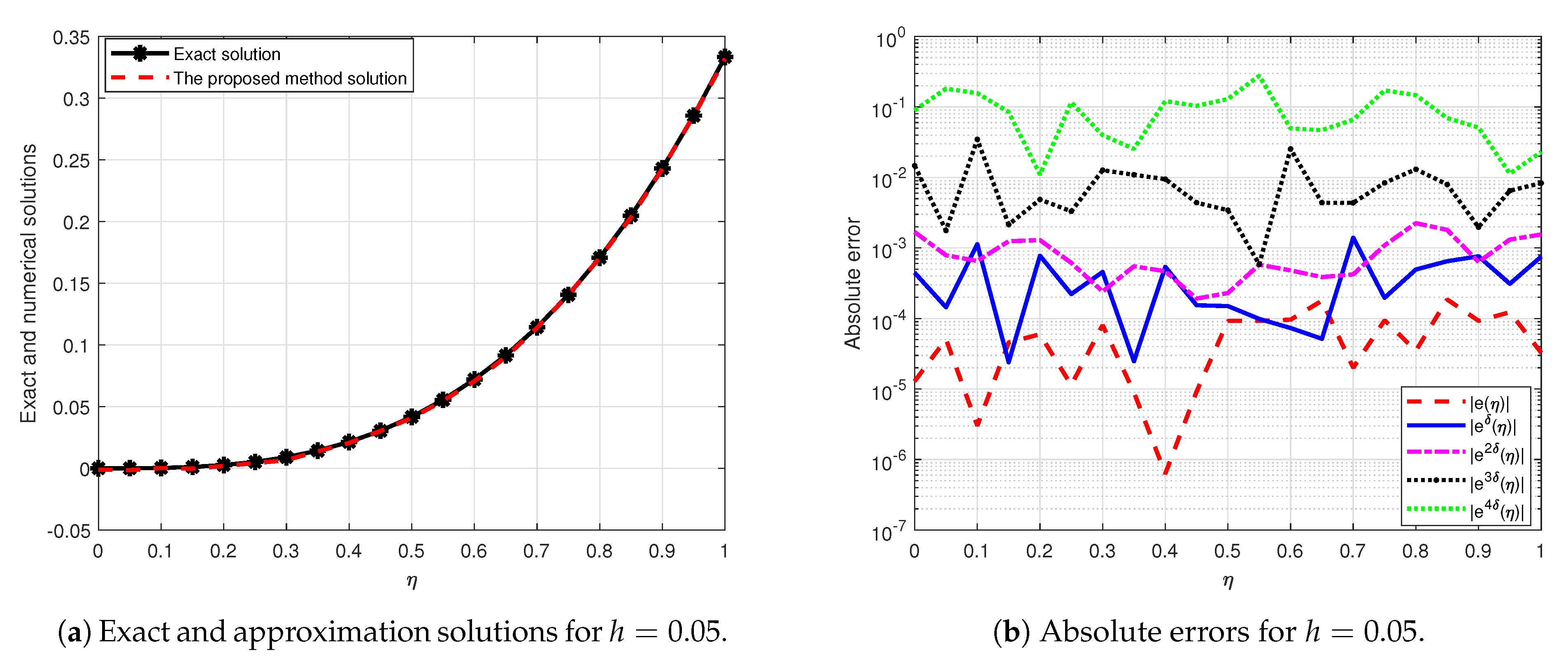
Figure 1a shows the exact and approximation solutions for . Also, the absolute error is shown in Figure 1b for .

Figure 1.
Plot illustrations for Example 1.
Example 2.
Consider the following FDE []:
With the initial condition . The exact solution is given by
Together with
where
we have derived the maximal absolute errors and their fractional derivatives. These results are shown in Table 4.

Table 4.
The observed maximum absolute errors for Example 2.
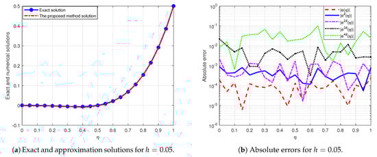
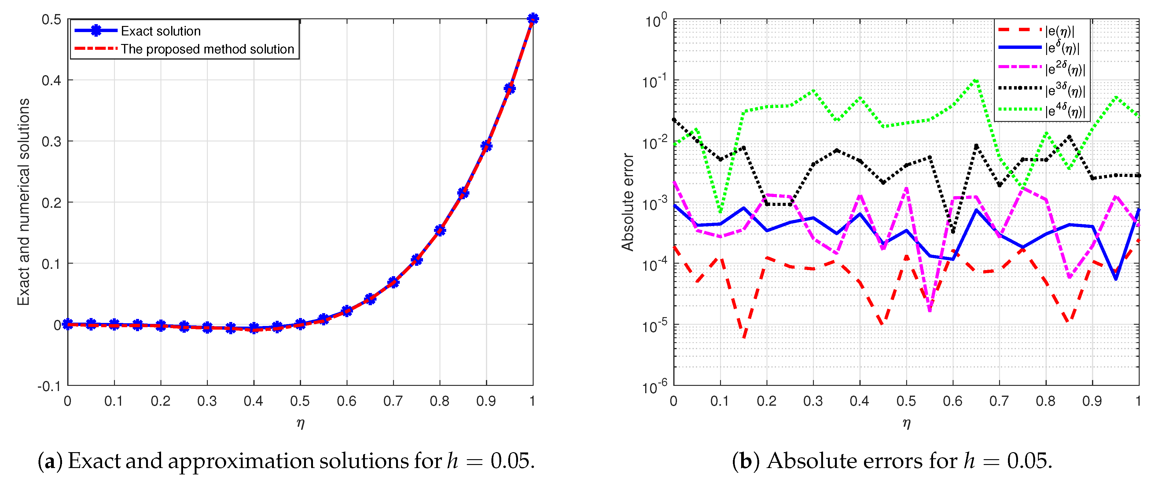
Figure 2a shows the exact and approximation solutions for . Also, the absolute error is shown in Figure 2b for .

Figure 2.
Plot illustrations for Example 2.
All of the tables, which we have presented in this paper, show that our method is more accurate than the existing fractional spline methods.
6. Conclusions
The content of this article can be summarized as follows:
- Two classes of higher-order lacunary fractional spline functions are introduced.
- A new lacunary fractional spline method is obtained for the above-mentioned classes by using the Liouville–Caputo fractional Taylor expansion.
- The existence and uniqueness of the method on each of the classes is proved.
- The error bounds of the method is shown via the modulus of continuity.
- Some Liouville–Caputo FDEs are solved by using the new method in order to illustrate our theoretical results.
- The numerical solutions are also illustrated graphically.
In conclusion, we remark that we have chosen to include some recent works (see, for example, [,,,,,] which will attract researchers and motivate them for further developments along these lines.
Author Contributions
Conceptualization, H.M.S., P.O.M. and Y.S.H.; methodology, H.M.S., P.O.M. and J.L.G.G.; software, P.O.M., J.L.G.G. and Y.S.H.; validation, H.M.S., P.O.M. and J.L.G.G.; formal analysis, P.O.M. and J.L.G.G.; investigation, P.O.M.; resources, H.M.S., P.O.M. and Y.S.H.; data curation, P.O.M. and J.L.G.G.; writing–original draft preparation, J.L.G.G.; writing–review and editing, H.M.S., J.L.G.G. and P.O.M.; visualization, H.M.S. and J.L.G.G.; supervision, H.M.S., P.O.M., J.L.G.G. and Y.S.H. All authors have read and agreed to the published version of the manuscript.
Funding
This research received no external funding.
Institutional Review Board Statement
Not applicable.
Informed Consent Statement
Not applicable.
Data Availability Statement
Not applicable.
Acknowledgments
This work was supported by the Taif University Researchers Supporting Project (No. TURSP-2020/155), Taif University, Taif, Saudi Arabia, and it is partially supported by Ministerio de Ciencia, Innovación y Universidades grant number PGC2018-097198-B-I00 and Fundación Séneca de la Región de Murcia grant number 20783/PI/18.
Conflicts of Interest
The authors declare no conflict of interest.
References
- Mainardi, F. Fractional Calculus and Waves in Linear Viscoelasticity: An Introduction to Mathematical Models; Imperial College Press: Singapore, 2010. [Google Scholar]
- Magin, R.L. Fractional Calculus in Bioengineering; Begell House Publishers Incorporated: Danbury, CT, USA, 2006. [Google Scholar]
- Mohammed, P.O. A Generalized Uncertain Fractional Forward Difference Equations of Riemann–Liouville Type. J. Math. Res. 2019, 11, 43–50. [Google Scholar] [CrossRef]
- Mohammed, P.O.; Abdeljawad, T. Discrete generalized fractional operators defined using h-discrete Mittag-Leffler kernels and applications to AB fractional difference systems. Math. Meth. Appl. Sci. 2020, 1–26. [Google Scholar] [CrossRef]
- Mohammed, P.O.; Abdeljawad, T.; Jarad, F.; Chu, Y.-M. Existence and uniqueness of uncertain fractional backward difference equations of Riemann–Liouville type. Math. Prob. Eng. 2020, 2020, 6598682. [Google Scholar] [CrossRef]
- Alqudah, M.A.; Mohammed, P.O.; Abdeljawad, T. Solution of singular integral equations via Riemann–Liouville fractional integrals. Math. Prob. Eng. 2020, 2020, 1250970. [Google Scholar] [CrossRef]
- Martinez, M.; Mohammed, P.O.; Valdes, J.E.N. Non-conformable fractional Laplace transform. Kragujevac J. Math. 2020, 46, 341–354. [Google Scholar]
- Hamasalh, F.K.; Mohammed, P.O. Generalized quartic fractional spline interpolation with applications. Internat. J. Open Probl. Compt. Math. 2015, 8, 67–80. [Google Scholar] [CrossRef]
- Tassaddiq1, A.; Yaseen, M.; Yousaf, A.; Srivastava, R. A cubic B-spline collocation method with new approximation for the numerical treatment of the heat equation with classical and non-classical boundary conditions. Phys. Scr. 2021, 96, 045212. [Google Scholar] [CrossRef]
- Khabir, M.H.; Farah, R.A. 2017 Cubic B-spline collocation method for one-dimensional heat equation. Pure Appl. Math. 2017, 6, 51–58. [Google Scholar] [CrossRef]
- Kilbas, A.A.; Srivastava, H.M.; Trujillo, J.J. Theory and Applications of Fractional Differential Equations; North-Holland Mathematics Studies; Elsevier Sci. B.V.: Amsterdam, The Netherlands, 2006; Volume 204. [Google Scholar]
- Hilfer, R. Applications of Fractional Calculus in Physics; World Scientific Publishing Company: Singapore, 2000. [Google Scholar]
- Podlubny, I. Fractional Differential Equations: An Introduction to Fractional Derivatives, Fractional Differential Equations, to Methods of Their Solution and Some of Their Applications; Mathematics in Science and Engineering; Academic Press: New York, NY, USA, 1999; Volume 198. [Google Scholar]
- Srivastava, H.M. Fractional-order derivatives and integrals: Introductory overview and recent developments. Kyungpook Math. J. 2020, 60, 73–116. [Google Scholar]
- Usero, D. Fractional Taylor Series for Caputo Fractional Derivatives: Construction of Numerical Schemes. Preprint 2008. Available online: http://www.fdi.ucm.es/profesor/lvazquez/calcfrac/docs/paper_Usero.pdf (accessed on 2 March 2018).
- Fernandez, A.; Baleanu, D. The mean value theorem and Taylor’s theorem for fractional derivatives with Mittag–Leffler kernel. Adv. Differ. Equ. 2018, 2018, 86. [Google Scholar] [CrossRef] [PubMed]
- Steffens, K.G. The History of Approximation Theory; Birkhäuser: Basel, Switzerland, 2006. [Google Scholar]
- Srivastava, H.M. Diabetes and its resulting complications: Mathematical modeling via fractional calculus. Public Health Open Access 2020, 4, 1–5. [Google Scholar]
- Srivastava, H.M.; Deniz, D.; Saad, K.M. An efficient semi-analytical method for solving the generalized regularized long wave equations with a new fractional derivative operator. J. King Saud Univ. Sci. 2021, 33, 101345. [Google Scholar] [CrossRef]
- Singh, H.; Srivastava, H.M.; Hammouch, Z.; Nisar, K.S. Numerical simulation and stability analysis for the fractional-order dynamics of COVID-19. Results Phys. 2021, 20, 103722. [Google Scholar] [CrossRef] [PubMed]
- Srivastava, H.M.; Mohammed, P.O. A correlation between solutions of uncertain fractional forward difference equations and their paths. Front. Phys. 2020, 8, 280. [Google Scholar] [CrossRef]
Publisher’s Note: MDPI stays neutral with regard to jurisdictional claims in published maps and institutional affiliations. |
© 2021 by the authors. Licensee MDPI, Basel, Switzerland. This article is an open access article distributed under the terms and conditions of the Creative Commons Attribution (CC BY) license (http://creativecommons.org/licenses/by/4.0/).