Self-Similar Solutions in the Theory of Nonstationary Radiative Transfer in Spectral Lines in Plasmas and Gases
Abstract
1. Introduction
2. Materials and Methods
2.1. Approximate Self-Similar Solution of the Biberman–Holstein (BH) Equation (BH Step-Length PDF, , 3D Case)
2.1.1. Biberman–Holstein Equation and Its General Solution
2.1.2. Propagation Front and Asymptotics of Biberman–Holstein Equation Green’s Function
2.1.3. Approximate Self-Similar Solution
2.2. A Method of Deriving an Self-similar Green’s Function for Lévy Flights (Simple Step-Length PDF, C = ∞, 1D Case)
2.3. A Method of Deriving a Self-Similar Green’s Function for Lévy Walks (Simple Step-Length PDF, , 1D, 2D and 3D Cases)
2.3.1. General Solution of the Time-Dependent Superdiffusive Transport Equation
2.3.2. Asymptotics of the Green’s Function Far Ahead and Far behind the Perturbation Front
2.3.3. Integral Characteristics of Green’s Function
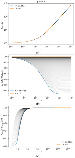
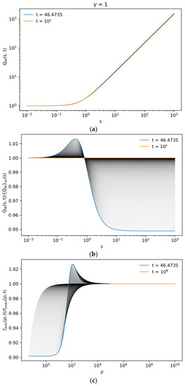
2.3.4. Approximate Self-Similar Solution and Test of Its Accuracy
2.4. Distributed Computing Parameters and Implementation for Verification for Accuracy of the Approximate Self-Similar Solution
2.4.1. A Test of the Proposed Self-Similar Solution for a Simple Model PDF, 1D Case
2.4.2. A Test of the Self-Similar Solution of Biberman–Holstein Equation
3. Results
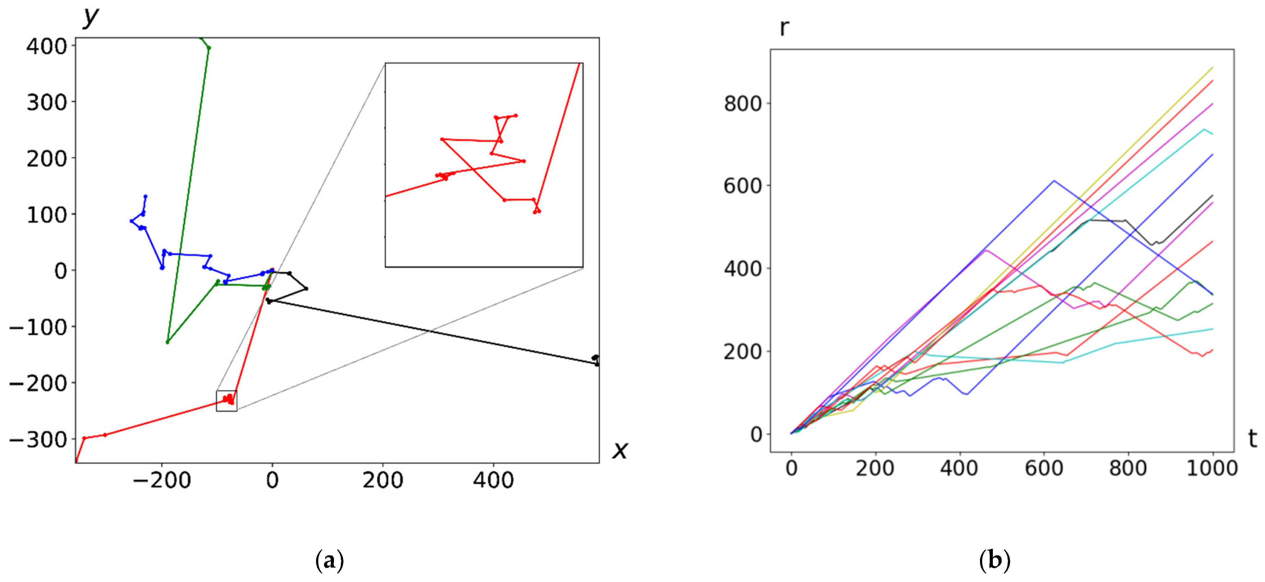
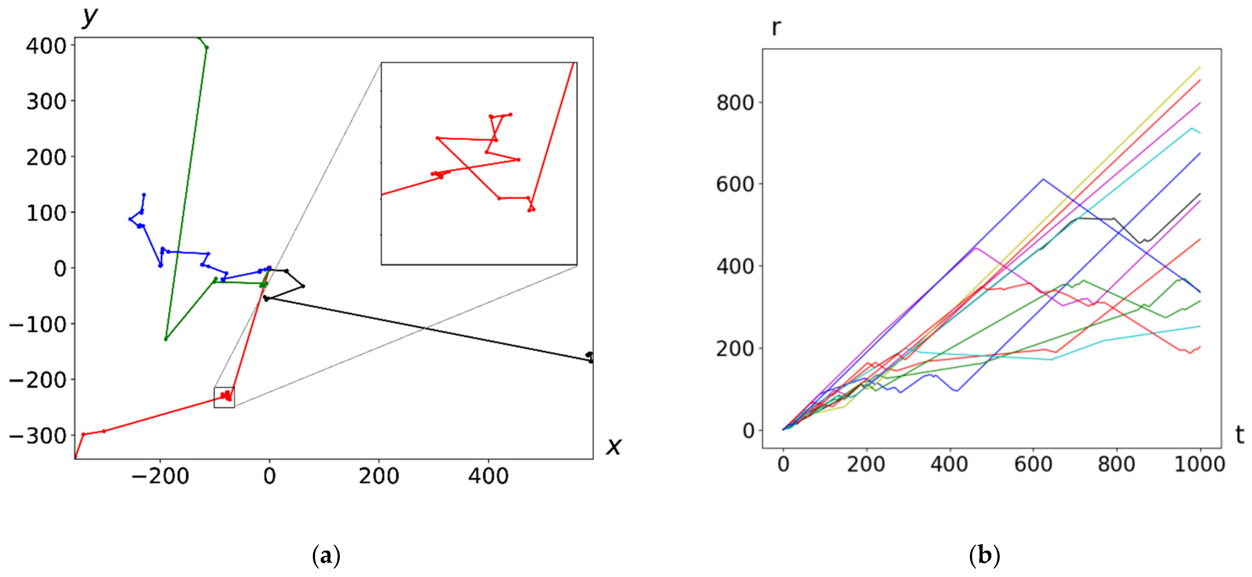
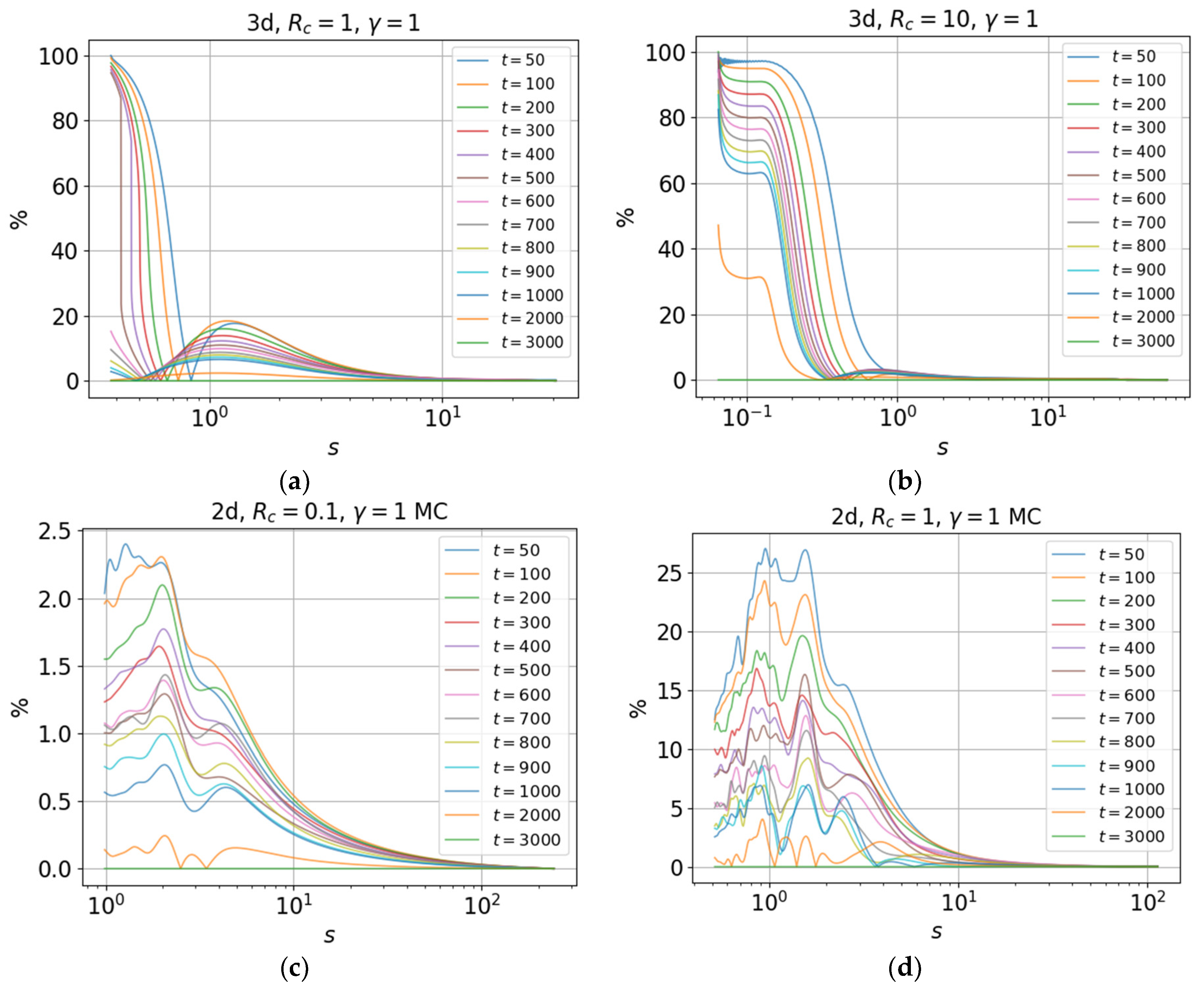
3.1. Illustration of Nonlocality by Monte Carlo Calculations of Trajectories
3.2. A Test of the Proposed Self-Similar Solution (Simple Step-Length PDF, , 1D Case)
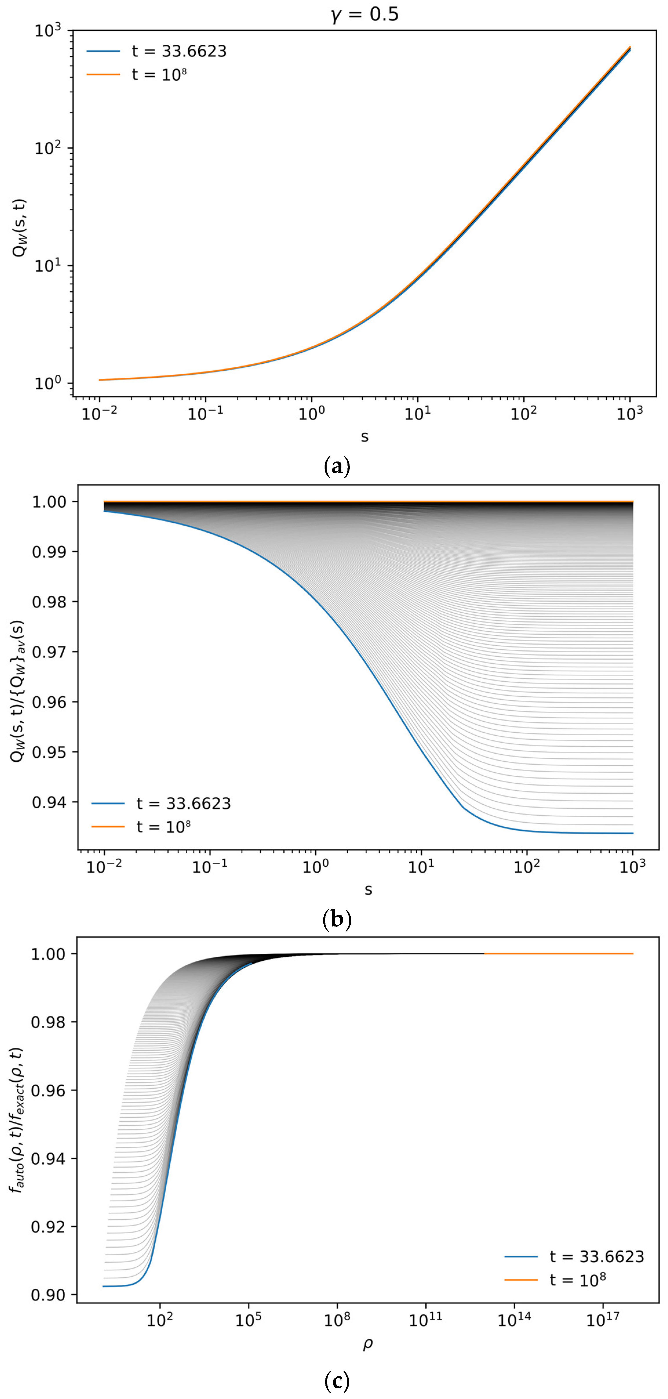
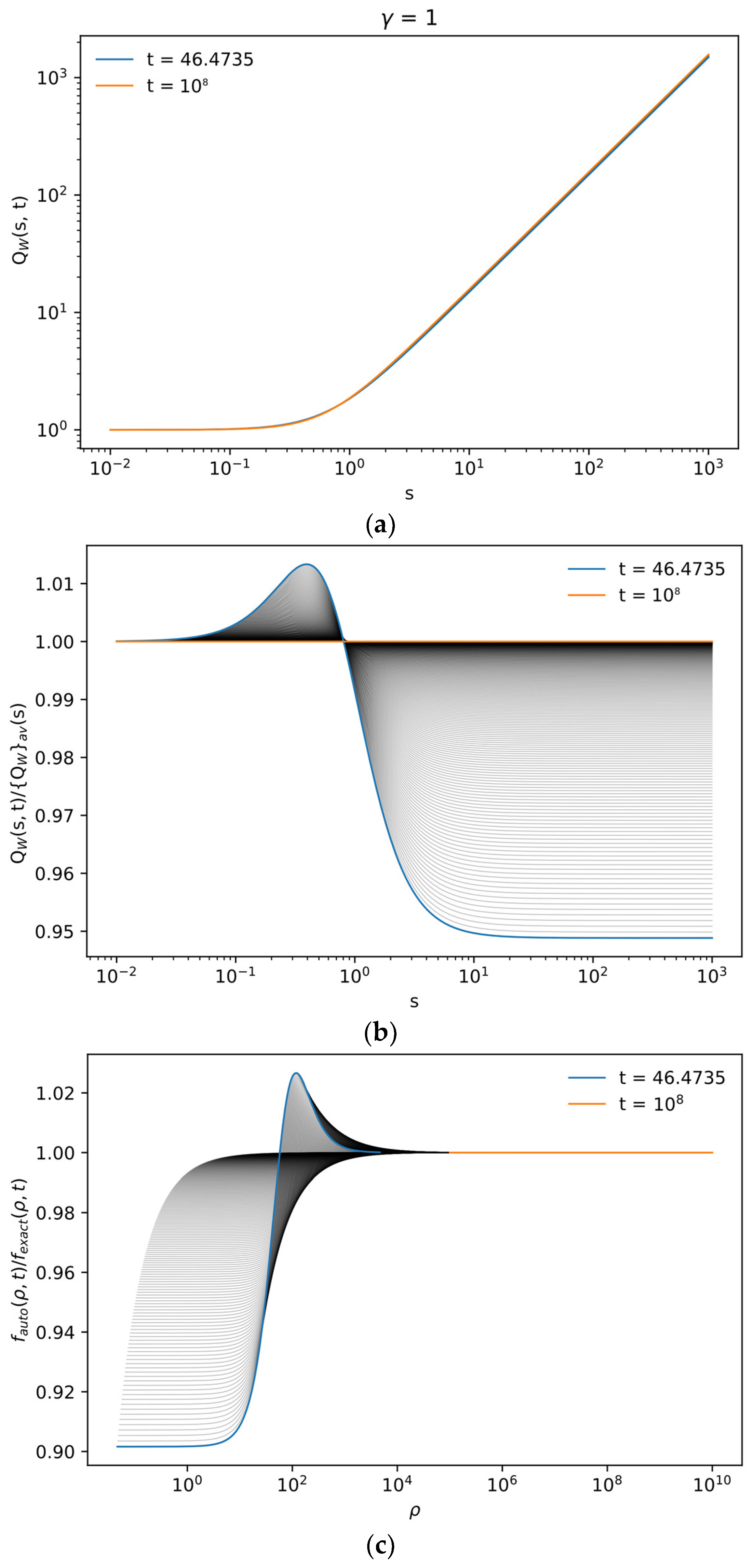
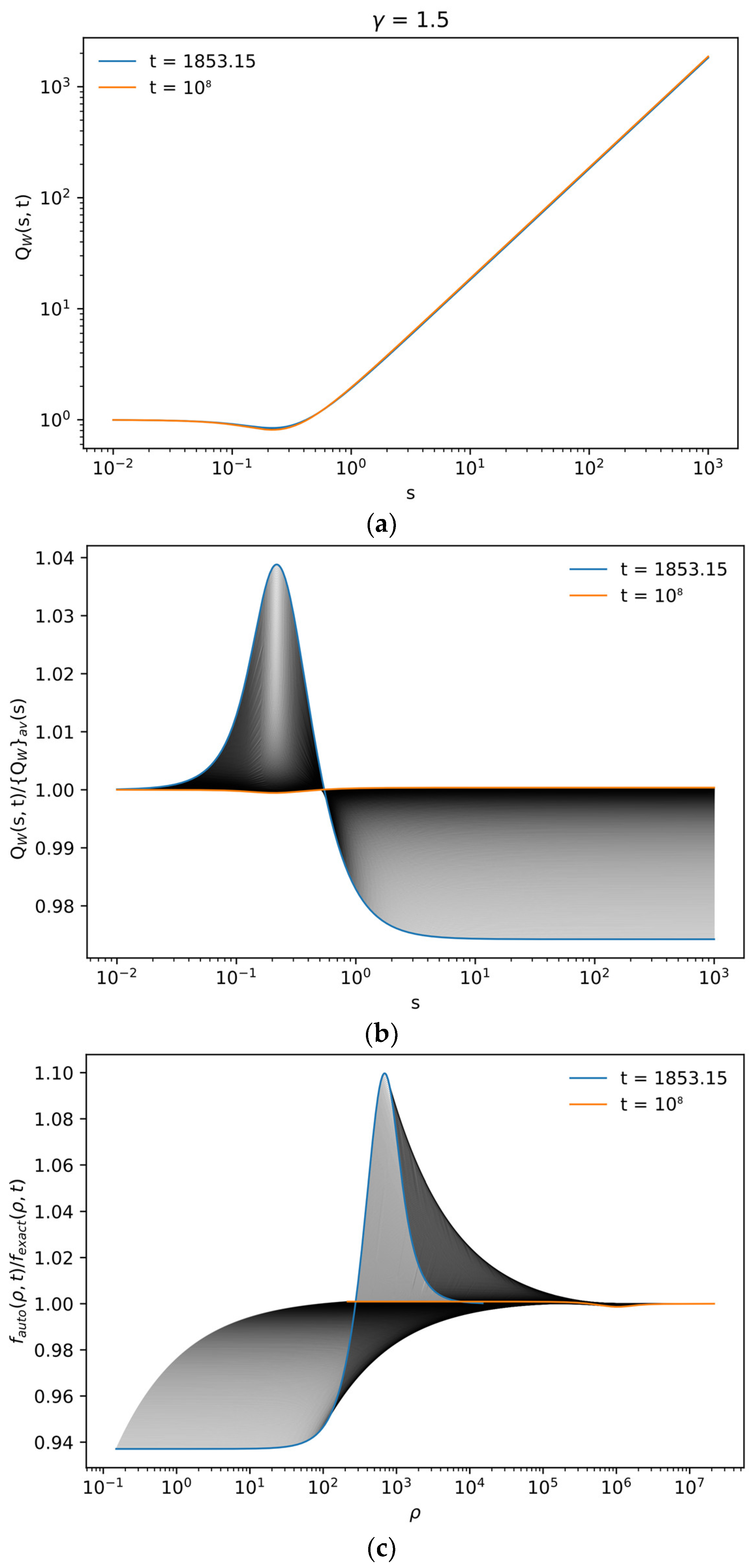
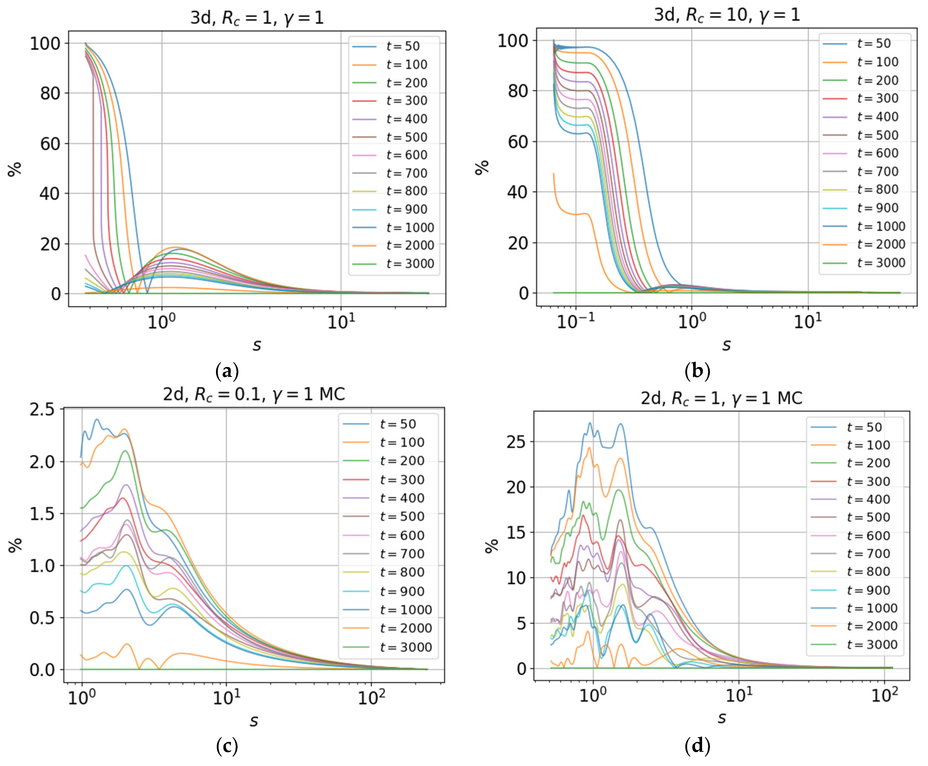
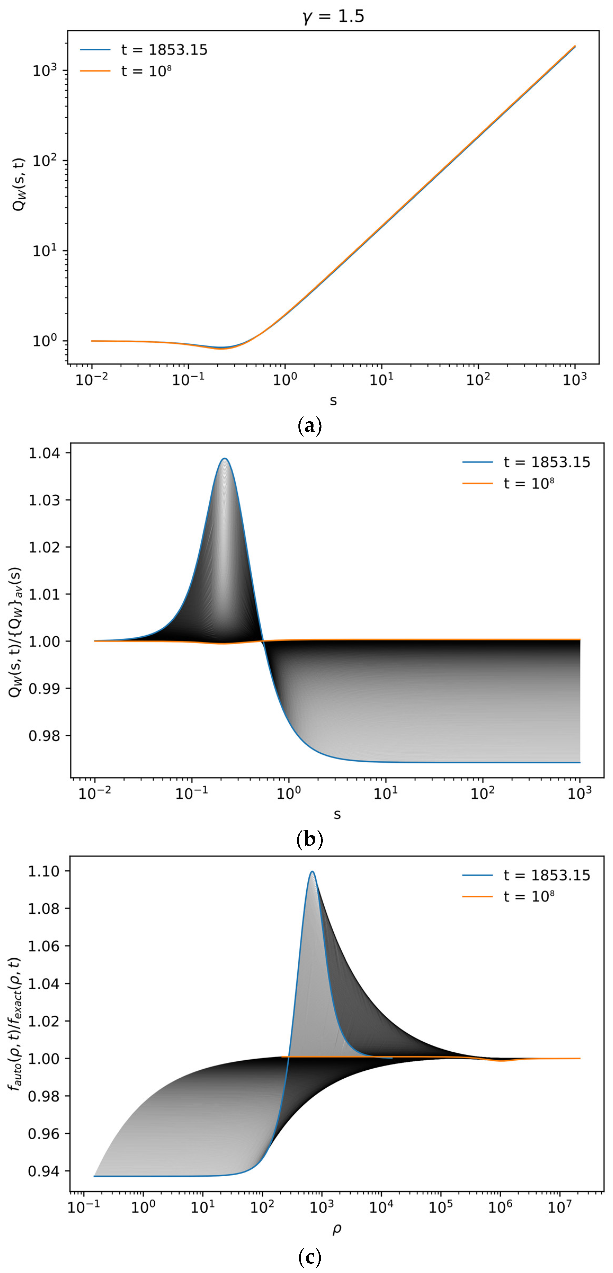
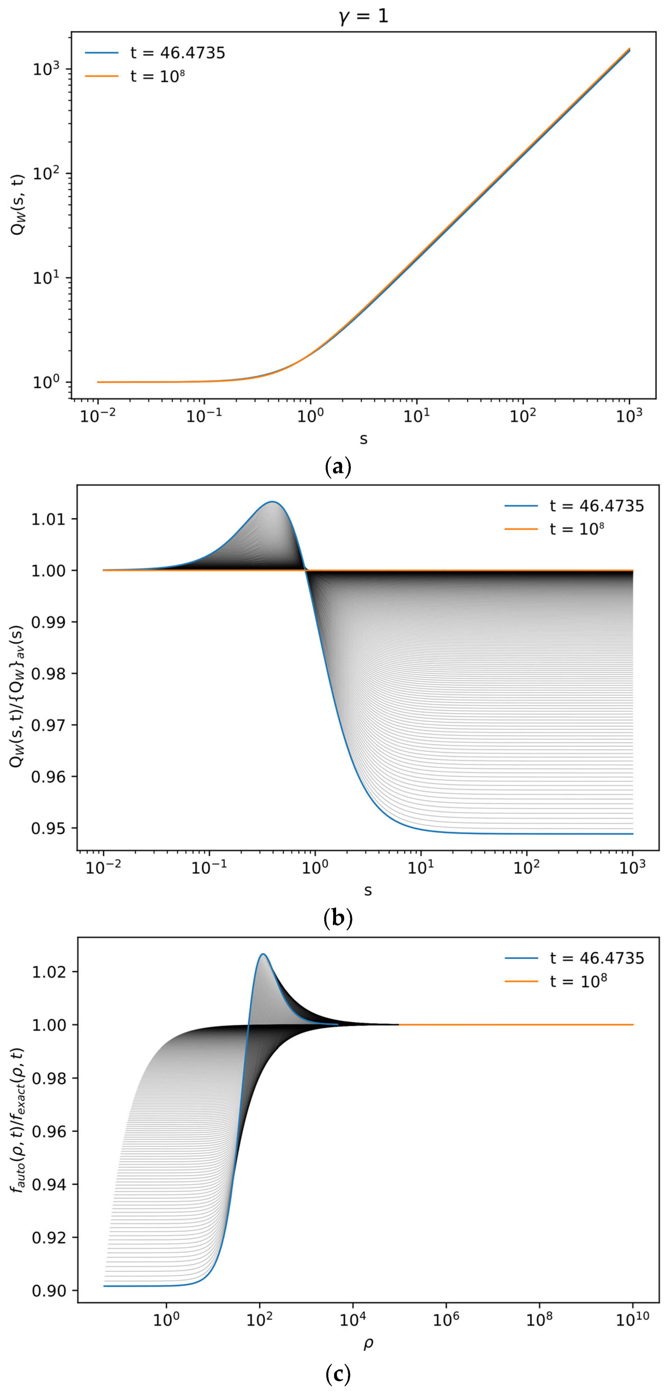
3.3. Verification for Accuracy of the Approximate Self-Similar Solution for Various Spectral Line Shapes (Biberman–Holstein Step-Length PDF, , 3D Case)
3.3.1. Lorentz Spectral Line Shape
3.3.2. Doppler Spectral Line Shape
3.3.3. Voigt Spectral Line Shape
3.3.4. Holtsmark Spectral Line Shape
3.4. Verification for Accuracy of the Approximate Self-Similar Solution for Lévy Walks (Simple Step-Length PDF, , 1D, 2D and 3D Cases)
4. Discussion
Author Contributions
Funding
Institutional Review Board Statement
Informed Consent Statement
Data Availability Statement
Acknowledgments
Conflicts of Interest
References
- Shlesinger, M.; Zaslavsky, G.M.; Frisch, U. (Eds.) Lévy Flights and Related Topics in Physics; Springer: Berlin, Germany, 1995; ISBN 978-3-662-14048-2. [Google Scholar]
- Dubkov, A.A.; Spagnolo, B.; Uchaikin, V.V. Lévy flight superdiffusion: An introduction. Int. J. Bifurc. Chaos 2008, 18, 2649–2672. [Google Scholar] [CrossRef]
- Klafter, J.; Sokolov, I.M. Anomalous diffusion spreads its wings. Phys. World 2005, 18, 29–32. [Google Scholar] [CrossRef]
- Eliazar, I.I.; Shlesinger, M.F. Fractional motions. Phys. Rep. 2013, 527, 101–129. [Google Scholar] [CrossRef]
- Shlesinger, M.F.; Klafter, J.; Wong, Y.M. Random walks with infinite spatial and temporal moments. J. Stat. Phys. 1982, 27, 499–512. [Google Scholar] [CrossRef]
- Zaburdaev, V.Y.; Chukbar, K.V. Enhanced superdiffusion and finite velocity of Lévy flights. J. Exp. Theor. Phys. 2002, 94, 252–259. [Google Scholar] [CrossRef]
- Zaburdaev, V.; Denisov, S.; Klafter, J. Lévy walks. Rev. Mod. Phys. 2015, 87, 483. [Google Scholar] [CrossRef]
- Mandelbrot, B.B. The Fractal Geometry of Nature; W. H. Freeman: New York, NY, USA, 1982; ISBN 0-7167-1186-1189. [Google Scholar]
- Biberman, L.M. On the diffusion theory of resonance radiation. Zh. Eksp. Teor. Fiz. 1947, 17, 416. [Google Scholar]
- Holstein, T. Imprisonment of Resonance Radiation in Gases. Phys. Rev. 1947, 72, 1212–1233. [Google Scholar] [CrossRef]
- Biberman, L.M.; Vorob’ev, V.S.; Yakubov, I.T. Kinetics of Nonequilibrium Low Temperature Plasmas; Consultants Bureau: New York, NY, USA, 1987; ISBN 978-1-4684-1667-1. [Google Scholar]
- Veklenko, B.A. Green’s Function for the Resonance Radiation Diffusion Equation. Sov. Phys. JETP 1959, 36, 138–142. [Google Scholar]
- Biberman, L.M. Approximate method of describing the diffusion of resonance radiation. Dokl. Akad. Nauk. SSSR Ser. Phys. 1948, 59, 659. (In Russian) [Google Scholar]
- Kogan, V.I. A Survey of Phenomena in Ionized Gases (Invited Papers). In Proceedings of the ICPIG’67, Vienna, Austria, 27 August–2 September 1968; p. 583. (In Russian). [Google Scholar]
- Kogan, V.I. Encyclopedia of Low Temperature Plasma. Introduction Volume; Fortov, V.E., Ed.; Nauka/Interperiodika: Moscow, Russia, 2000; Volume 1, p. 481. (In Russian) [Google Scholar]
- Abramov, V.A.; Kogan, V.I.; Lisitsa, V.S. Radiative transfer in plasmas. In Reviews of Plasma Physics; Leontovich, M.A., Kadomtsev, B.B., Eds.; Consultants Bureau: New York, NY, USA, 1987; Volume 12, p. 151. [Google Scholar]
- Kalkofen, W. (Ed.) Methods in Radiative Transfer; Cambridge University Press: Cambridge, UK, 1984; ISBN 0-521-25620-8. [Google Scholar]
- Rybicki, G.B. Escape Probability Methods. In Methods in Radiative Transfer; Kalkofen, W., Ed.; Cambridge University Press: Cambridge, UK, 1984; Chapter 1; ISBN 0-521-25620-8. [Google Scholar]
- Napartovich, A.P. On the τeff method in the radiative transfer theory. High. Temp. 1971, 9, 23–26. [Google Scholar]
- Biberman, L.M.; Vorob’ev, V.S.; Lagar’kov, A.N. Radiative transfer in ionization continuum. Opt. Spectrosc. 1965, 19, 326. (In Russian) [Google Scholar]
- Kukushkin, A.B.; Lisitsa, V.S.; Savel’ev, Y.A. Nonlocal transport of thermal perturbations in a plasma. JETP Lett. 1987, 46, 448–451. Available online: http://www.jetpletters.ac.ru/ps/1232/article_18610.pdf (accessed on 26 February 2021).
- Rosenbluth, M.N.; Liu, C.S. Cross-field energy transport by plasma waves. Phys. Fluids 1976, 19, 815–818. [Google Scholar] [CrossRef]
- Kukushkin, A.B. Analytic description of energy loss by a bounded inhomogeneous hot plasma due to the emission of electromagnetic waves. JETP Lett. 1992, 56, 487–491. Available online: http://www.jetpletters.ac.ru/ps/1293/article_19528.pdf (accessed on 26 February 2021).
- Kukushkin, A.B. Heat transport by cyclotron waves in plasmas with strong magnetic field and highly reflecting walls. In Proceedings of the 14th IAEA Conference on Plasma Physics and Controlled Nuclear Fusion Research, Wuerzburg, Germany, 30 September–7 October 1992; International Atomic Energy Agency: Vienna, Austria, 1993; Volume 2, p. 35. [Google Scholar]
- Kukushkin, A.B. Generalized Escape-Probability Method in the Theory of High-Intensity Radiative Transfer in Continuous Spectra. In Proceedings of the AIP Conference Proceedings 299, Dense Z-pinches 3rd International Conference, London, UK, 19–23 April 1993; Haines, M., Knight, A., Eds.; AIP Press: New York, NY, USA, 1994; p. 519. [Google Scholar] [CrossRef]
- Tamor, S. Calculation of Energy Transport by Cyclotron Radiation in Fusion Plasmas. Fusion. Technol. 1983, 3, 293–303. [Google Scholar] [CrossRef]
- Tamor, S. Synchrotron radiation loss from hot plasma. Nucl. Instr. Meth. Phys. Res. 1988, A271, 37–40. [Google Scholar] [CrossRef]
- Tamor, S. A Simple Fast Routine for Computation of Energy Transport by Synchrotron Radiation in Tokamaks and Similar Geometries; Science Applications, Inc.: La Jolla, CA, USA, 1981; Lab. for Applied Plasma Studies Report SAI-023-81-189 LJ0LAPS-72, Science Applications. [Google Scholar]
- Abramov, Y.Y.; Napartovich, A.P. Transfer of resonance line radiation from a point source in the half-space. Astrofizika 1969, 5, 187–202. (In Russian) [Google Scholar]
- Abramov, Y.Y.; Napartovich, A.P. The excitation wave caused by a light flare. Astrofizika 1968, 4, 195–206. (In Russian) [Google Scholar]
- Levinson, I.B. Resonant-radiation transfer and nonequilibrium phonons in ruby. Zh. Eksp. Teor. Fiz. 1978, 75, 234–248. [Google Scholar]
- Subashiev, A.V.; Semyonov, O.; Chen, Z.; Luryi, S. Temperature controlled Lévy flights of minority carriers in photoexcited bulk n-InP. Phys. Lett. A 2014, 378, 266–269. [Google Scholar] [CrossRef]
- Luryi, S.; Semyonov, O.; Subashiev, A.V.; Chen, Z. Direct observation of Lévy flights of holes in bulk n-doped InP. Phys. Rev. B 2012, 86, 201201(R). [Google Scholar] [CrossRef]
- Ivanov, V. Transfer of Radiation in Spectral Lines; NBS Special Publication no 385; US Govt Printing Office: Washington, DC, USA, 1973.
- Mihalas, D. Stellar Atmospheres; Freeman: San Francisco, CA, USA, 1970; p. 399. [Google Scholar]
- Barthelemy, P.; Bertolotti, J.; Wiersma, D.S. A Lévy flight for light. Nature 2008, 453, 495–498. [Google Scholar] [CrossRef] [PubMed]
- Mercadier, N.; Chevrollier, M.; Guerin, W.; Kaiser, R. Microscopic characterization of Lévy flights of light in atomic vapors. Phys. Rev. A 2013, 87, 063837. [Google Scholar] [CrossRef]
- Pereira, E.; Martinho, J.; Berberan-Santos, M. Photon Trajectories in Incoherent Atomic Radiation Trapping as Lévy Flights. Phys. Rev. Lett. 2004, 93, 120201. [Google Scholar] [CrossRef] [PubMed]
- Uchaikin, V.V. Self–similar anomalous diffusion and Lévy–stable laws. Phys. Usp. 2003, 46, 821–849. [Google Scholar] [CrossRef]
- Chukbar, K.V. Stochastic transport and fractional derivatives. JETP 1995, 81, 1025. [Google Scholar]
- Kukushkin, A.B.; Sdvizhenskii, P.A. Automodel solutions for Lévy flight-based transport on a uniform background. J. Phys. A Math. Theor. 2016, 49, 255002. [Google Scholar] [CrossRef]
- Kukushkin, A.B.; Sdvizhenskii, P.A. Accuracy analysis of automodel solutions for Lévy flight-based transport: From resonance radiative transfer to a simple general model. J. Phys. Conf. Series 2017, 941, 012050. [Google Scholar] [CrossRef]
- Kukushkin, A.B.; Sdvizhenskii, P.A. Scaling Laws for Non-Stationary Biberman-Holstein Radiative Transfer. In Proceedings of the 2014 41st EPS Conference on Plasma Physics, Berlin, Germany, 23–27 June 2014; European Conference Abstracts. Volume 38F. P4.133. Available online: http://ocs.ciemat.es/EPS2014PAP/pdf/P4.133.pdf (accessed on 26 February 2021).
- Kukushkin, A.B.; Sdvizhenskii, P.A.; Voloshinov, V.V.; Tarasov, A.S. Scaling laws of Biberman-Holstein equation Green function and implications for superdiffusion transport algorithms. Int. Rev. Atom. Mol. Phys. 2015, 6, 31–41. [Google Scholar]
- Kukushkin, A.B.; Neverov, V.S.; Sdvizhenskii, P.A.; Voloshinov, V.V. 2018 Automodel Solutions of Biberman-Holstein Equation for Stark Broadening of Spectral Lines. Atoms 2018, 6, 43. [Google Scholar] [CrossRef]
- Kulichenko, A.A.; Kukushkin, A.B. Superdiffusive Transport of Biberman-Holstein Type for a Finite Velocity of Carriers: General Solution and the Problem of Automodel Solutions. Int. Rev. Atom. Mol. Phys. 2017, 8, 5–14. Available online: http://www.auburn.edu/cosam/departments/physics/iramp/8_1/Kulichenko_Kukushkin.pdf (accessed on 26 February 2021).
- Kukushkin, A.B.; Neverov, V.S.; Sdvizhenskii, P.A.; Voloshinov, V.V. Numerical Analysis of Automodel Solutions for Superdiffusive Transport. Int. J. Open Inf. Technol. 2018, 6, 38–42. [Google Scholar]
- Kukushkin, A.B.; Kulichenko, A.A. Automodel solutions for superdiffusive transport by Lévy walks. Phys. Scripta 2019, 94, 115009. [Google Scholar] [CrossRef]
- Kulichenko, A.A.; Kukushkin, A.B. Superdiffusive Transport Based on Lévy Walks in a Homogeneous Medium: General and Approximate Self-Similar Solutions. J. Exp. Theor. Phys. 2020, 130, 873–885. [Google Scholar] [CrossRef]
- Kukushkin, A.B.; Kulichenko, A.A.; Sokolov, A.V. Optimization identification of superdiffusion processes in biology: An algorithm for processing observational data and a self-similar solution of the kinetic equation. arXiv 2020, arXiv:2007.06064. [Google Scholar]
- Frish, S.E. Optical Spectra of Atoms; Fizmatgiz: Moscow-Leningrad, Russia, 1963. (In Russian) [Google Scholar]
- Griem, H.R. Principles of Plasma Spectroscopy; Cambridge University Press: Cambridge, UK, 1997. [Google Scholar]
- Sobel’man, I.I. Introduction to the Theory of Atomic Spectra; Pergamon Press: Oxford, UK, 1972. [Google Scholar]
- Kogan, V.I.; Lisitsa, V.S.; Sholin, G.V. Broadening of spectral lines in plasmas. In Reviews of Plasma Physics; Kadomtsev, B.B., Ed.; Consultants Bureau: New York, NY, USA, 1987; Volume 13, pp. 261–334. [Google Scholar]
- Bureyeva, L.A.; Lisitsa, V.S. A Perturbed Atom.; CRC Press: Boca Raton, FL, USA, 2000; ISBN 978-9058231383. [Google Scholar]
- Oks, E. Diagnostics Of Laboratory And Astrophysical Plasmas Using Spectral Lines Of One-, Two-, and Three-Electron. Systems; World Scientific: Hackensack, NJ, USA, 2017; ISBN 978-981-4699-07-5. [Google Scholar] [CrossRef]
- Demura, A.V. Beyond the Linear Stark Effect: A Retrospective. Atoms 2018, 6, 33. [Google Scholar] [CrossRef]
- Sukhoroslov, O.; Volkov, S.; Afanasiev, A.A. Web-Based Platform for Publication and Distributed Execution of Computing Applications. In Proceedings of the 14th International Symposium on Parallel and Distributed Computing (ISPDC), Limassol, Cyprus, 29 June–2 July 2015; pp. 175–184. [Google Scholar]
- Volkov, S.; Sukhoroslov, O. A Generic Web Service for Running Parameter Sweep Experiments in Distributed Computing Environment. Procedia Comput. Sci. 2015, 66, 477–486. [Google Scholar] [CrossRef]




















Publisher’s Note: MDPI stays neutral with regard to jurisdictional claims in published maps and institutional affiliations. |
© 2021 by the authors. Licensee MDPI, Basel, Switzerland. This article is an open access article distributed under the terms and conditions of the Creative Commons Attribution (CC BY) license (http://creativecommons.org/licenses/by/4.0/).
Share and Cite
Kukushkin, A.B.; Kulichenko, A.A.; Neverov, V.S.; Sdvizhenskii, P.A.; Sokolov, A.V.; Voloshinov, V.V. Self-Similar Solutions in the Theory of Nonstationary Radiative Transfer in Spectral Lines in Plasmas and Gases. Symmetry 2021, 13, 394. https://doi.org/10.3390/sym13030394
Kukushkin AB, Kulichenko AA, Neverov VS, Sdvizhenskii PA, Sokolov AV, Voloshinov VV. Self-Similar Solutions in the Theory of Nonstationary Radiative Transfer in Spectral Lines in Plasmas and Gases. Symmetry. 2021; 13(3):394. https://doi.org/10.3390/sym13030394
Chicago/Turabian StyleKukushkin, Alexander B., Andrei A. Kulichenko, Vladislav S. Neverov, Petr A. Sdvizhenskii, Alexander V. Sokolov, and Vladimir V. Voloshinov. 2021. "Self-Similar Solutions in the Theory of Nonstationary Radiative Transfer in Spectral Lines in Plasmas and Gases" Symmetry 13, no. 3: 394. https://doi.org/10.3390/sym13030394
APA StyleKukushkin, A. B., Kulichenko, A. A., Neverov, V. S., Sdvizhenskii, P. A., Sokolov, A. V., & Voloshinov, V. V. (2021). Self-Similar Solutions in the Theory of Nonstationary Radiative Transfer in Spectral Lines in Plasmas and Gases. Symmetry, 13(3), 394. https://doi.org/10.3390/sym13030394

