Unusual Temperature Evolution of Quasiparticle Band Dispersion in Electron-Doped FeSe Films
Abstract
1. Introduction
2. Materials and Methods
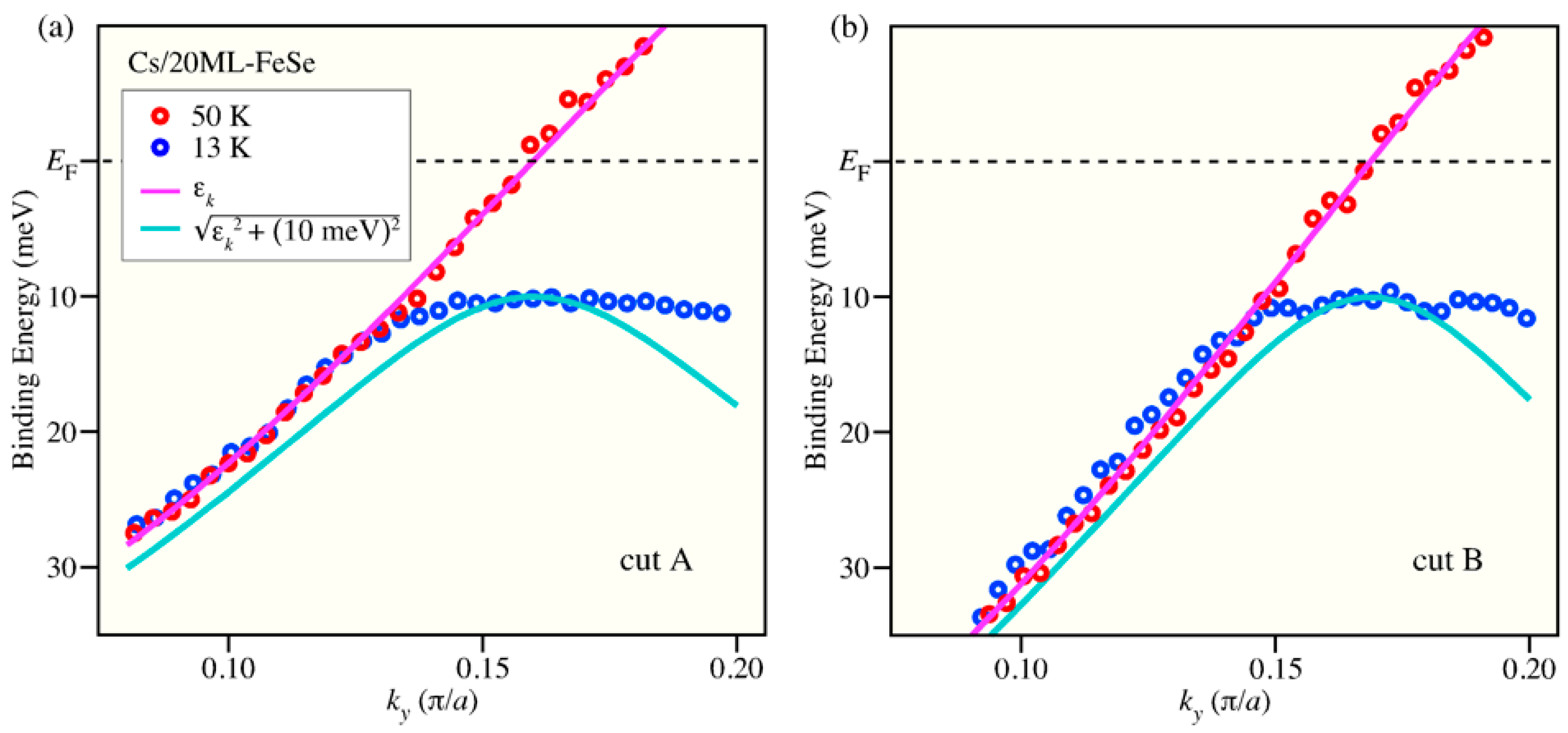
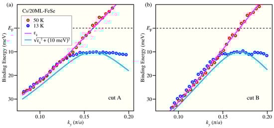
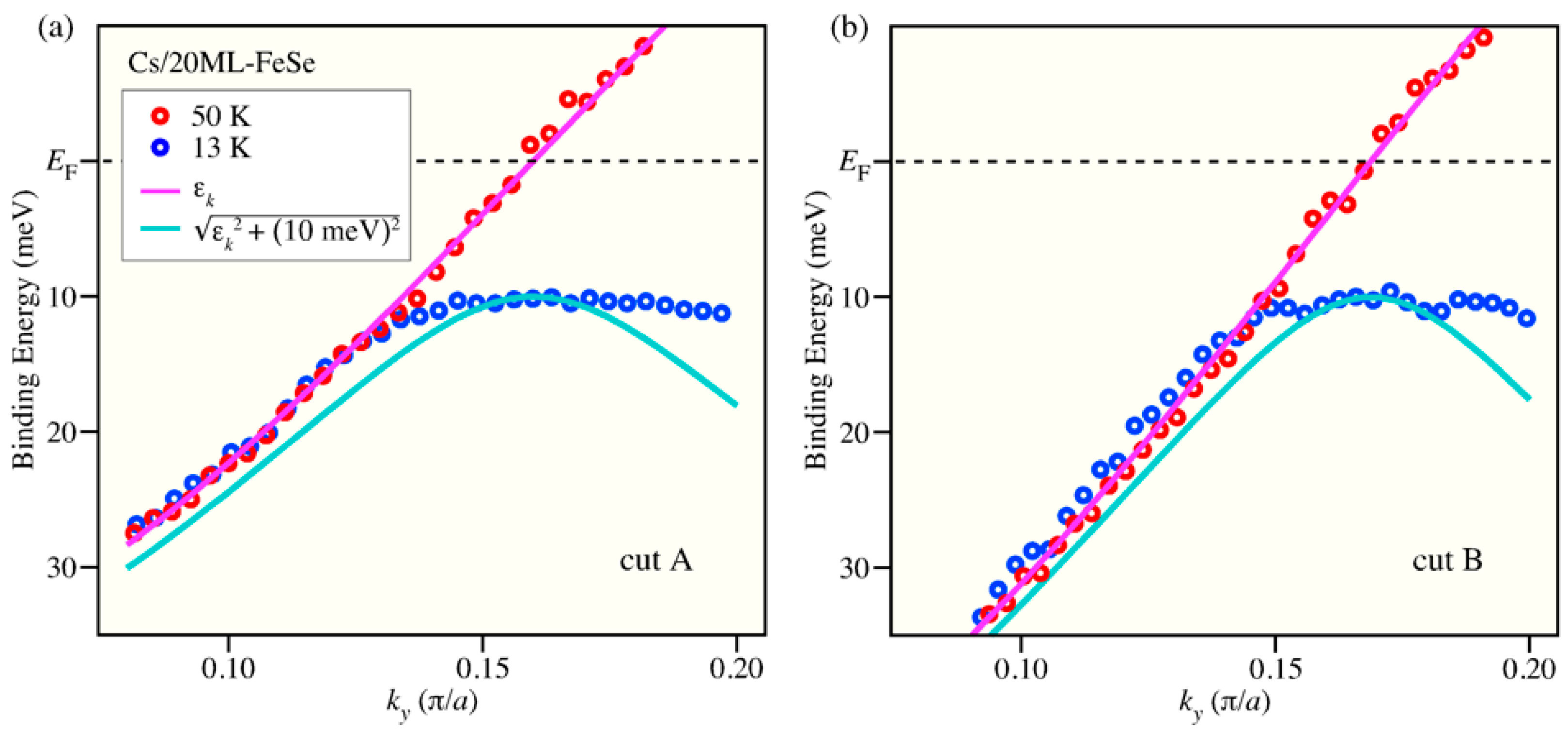
3. Results
4. Discussion and Conclusions
Author Contributions
Funding
Institutional Review Board Statement
Informed Consent Statement
Data Availability Statement
Acknowledgments
Conflicts of Interest
References
- Hsu, F.C.; Luo, J.-Y.; Yeh, K.-W.; Chen, T.-K.; Huang, T.-W.; Wu, P.M.; Lee, Y.-C.; Huang, Y.-L.; Chu, Y.-Y.; Yan, D.-C.; et al. Superconductivity in the PbO-type structure α-FeSe. Proc. Natl. Acad. Sci. USA 2009, 105, 14262–14264. [Google Scholar] [CrossRef] [PubMed]
- Wang, Q.Y.; Wang, Q.-Y.; Li, Z.; Zhang, W.-H.; Zhang, Z.-C.; Zhang, J.-S.; Li, W.; Ding, H.; Ou, Y.-B.; Deng, P.; et al. Interface-induced high-temperature superconductivity in single unit-cell FeSe films on SrTiO3. Chin. Phys. Lett. 2012, 29, 037402. [Google Scholar] [CrossRef]
- Sun, Y.; Zhang, W.; Xing, Y.; Li, F.; Zhao, Y.; Xia, Z.; Wang, L.; Ma, X.; Xue, Q.-K.; Wang, J. High temperature superconducting FeSe films on SrTiO3 substrates. Sci. Rep. 2014, 4, 6040. [Google Scholar] [CrossRef] [PubMed]
- He, S.L.; He, S.; Zhang, W.; Zhao, L.; Liu, D.; Liu, X.; Mou, D.; Ou, Y.-B.; Wang, Q.-Y.; Li, Z.; et al. Phase diagram and electronic indication of high-temperature superconductivity at 65 K in single-layer FeSe films. Nat. Mater. 2013, 12, 605–610. [Google Scholar] [CrossRef]
- Tan, S.Y.; Zhang, Y.; Xia, M.; Ye, Z.; Chen, F.; Xie, X.; Peng, R.; Xu, D.; Fan, Q.; Xu, H.; et al. Interface-induced superconductivity and strain-dependent spin density wave in FeSe/SrTiO3 thin films. Nat. Mater. 2013, 12, 634–640. [Google Scholar] [CrossRef]
- Peng, R.; Xu, H.C.; Tan, S.Y.; Cao, H.Y.; Xia, M.; Shen, X.P.; Huang, Z.C.; Wen, C.H.P.; Song, Q.; Zhang, T.; et al. Tuning the band structure and superconductivity in single-layer FeSe by interface engineering. Nat. Commun. 2014, 5, 5044. [Google Scholar] [CrossRef]
- Peng, R.; Shen, X.P.; Xie, X.; Xu, H.C.; Tan, S.Y.; Xia, M.; Zhang, T.; Cao, H.Y.; Gong, X.G.; Hu, J.P.; et al. Measurement of an Enhanced Superconducting Phase and a Pronounced Anisotropy of the Energy Gap of a Strained FeSe Single Layer in FeSe/Nb:SrTiO3/KTaO3 Heterostructures Using Photoemission Spectroscopy. Phys. Rev. Lett. 2014, 112, 107001. [Google Scholar] [CrossRef]
- Zhang, Z.; Wang, Y.-H.; Song, Q.; Liu, C.; Peng, R.; Moler, K.A.; Feng, D.; Wang, Y. Onset of the Meissner effect at 65 K in FeSe thin film grown on Nb-doped SrTiO3 substrate. Sci. Bull. 2015, 60, 1301–1304. [Google Scholar] [CrossRef]
- Lee, J.J.; Schmitt, F.T.; Moore, R.G.; Johnston, S.; Cui, Y.-T.; Li, W.; Yi, M.; Liu, Z.K.; Hashimoto, M.; Zhang, Y.; et al. Interfacial mode coupling as the origin of the enhancement of Tc in FeSe films on SrTiO3. Nature 2014, 515, 245. [Google Scholar] [CrossRef]
- Xiang, Y.Y.; Wang, F.; Wang, D.; Wang, Q.H.; Lee, D.H. High-temperature superconductivity at the FeSe/SrTiO3 interface. Phys. Rev. B 2012, 86, 134508. [Google Scholar] [CrossRef]
- Song, Q.; Yu, T.L.; Lou, X.; Xie, B.P.; Xu, H.C.; Wen, C.H.P.; Yao, Q.; Zhang, S.Y.; Zhu, X.T.; Guo, J.D.; et al. Evidence of cooperative effect on the enhanced superconducting transition temperature at the FeSe/SrTiO3 interface. Nat. Commun. 2019, 10, 758. [Google Scholar] [CrossRef] [PubMed]
- Rebec, S.N.; Jia, T.; Zhang, C.; Hashimoto, M.; Lu, D.-H.; Moore, R.G.; Shen, Z.-X. Coexistence of Replica Bands and Superconductivity in FeSe Monolayer Films. Phys. Rev. Lett. 2017, 118, 067002. [Google Scholar] [CrossRef] [PubMed]
- Li, F.; Ding, H.; Tang, C.; Peng, J.; Zhang, Q.; Zhang, W.; Zhou, G.; Zhang, D.; Song, C.-L.; He, K.; et al. Interface-enhanced high-temperature superconductivity in single-unit-cell FeTe1−xSex films on SrTiO3. Phys. Rev. B 2015, 91, 220503. [Google Scholar] [CrossRef]
- Shi, X.; Han, Z.-Q.; Richard, P.; Wu, X.-X.; Peng, X.-L.; Qian, T.; Wang, S.-C.; Hu, J.-P.; Sun, Y.-J.; Ding, H. FeTe1−xSex monolayer films: Towards the realization of high-temperature connate topological superconductivity. Sci. Bull. 2017, 62, 503–507. [Google Scholar] [CrossRef]
- Shigekawa, K.; Nakayama, K.; Kuno, M.; Phan, G.N.; Owada, K.; Sugawara, K.; Takahashi, T.; Sato, T. Dichotomy of superconductivity between monolayer FeS and FeSe. Proc. Natl. Acad. Sci. USA 2019, 116, 24470–24474. [Google Scholar] [CrossRef]
- Liu, D.F.; Zhang, W.; Mou, D.; He, J.; Ou, Y.-B.; Wang, Q.-Y.; Li, Z.; Wang, L.; Zhao, L.; He, S.; et al. Electronic origin of high-temperature superconductivity in single-layer FeSe superconductor. Nat. Commun. 2012, 3, 931. [Google Scholar] [CrossRef]
- Maletz, J.; Zabolotnyy, V.B.; Evtushinsky, D.V.; Thirupathaiah, S.; Wolter, A.U.B.; Harnagea, L.; Yaresko, A.N.; Vasiliev, A.N.; Chareev, D.A.; Böhmer, A.E.; et al. Unusual band renormalization in the simplest iron-based superconductor FeSe1−x. Phys. Rev. B 2014, 89, 220506. [Google Scholar] [CrossRef]
- Nakayama, K.; Miyata, Y.; Phan, G.N.; Sato, T.; Tanabe, Y.; Urata, T.; Tanigaki, K.; Takahashi, T. Reconstruction of Band Structure Induced by Electronic Nematicity in an FeSe Superconductor. Phys. Rev. Lett. 2014, 113, 237001. [Google Scholar] [CrossRef]
- Miyata, Y.; Nakayama, K.; Sugawara, K.; Sato, T.; Takahashi, T. High-temperature superconductivity in potassium-coated multilayer FeSe thin films. Nat. Mater. 2015, 14, 775–779. [Google Scholar] [CrossRef]
- Wen, C.H.P.; Xu, H.C.; Chen, C.; Huang, Z.C.; Lou, X.; Pu, Y.J.; Song, Q.; Xie, B.P.; Abdel-Hafiez, M.; Chareev, D.A.; et al. Anomalous correlation effects and unique phase diagram of electron-doped FeSe revealed by photoemission spectroscopy. Nat. Commun. 2016, 7, 10840. [Google Scholar] [CrossRef]
- Shiogai, J.; Ito, Y.; Mitsuhashi, T.; Nojima, T.; Tsukazaki, A. Electric-field-induced superconductivity in electrochemically etched ultrathin FeSe films on SrTiO3 and MgO. Nat. Phys. 2016, 12, 42–46. [Google Scholar] [CrossRef]
- Phan, G.N.; Nakayama, K.; Kanayama, S.; Kuno, M.; Sugawara, K.; Sato, T.; Takahashi, T. ARPES study of cesium-coated FeSe thin films on SrTiO3. J. Phys. Conf. Ser. 2017, 871, 012017. [Google Scholar] [CrossRef]
- Norman, M.R.; Randeria, M.; Ding, H.; Campuzano, J.C. Phenomenology of the low-energy spectral function in high-Tc superconductors. Phys. Rev. B 1998, 57, R11093–R11096. [Google Scholar] [CrossRef]
- Matsui, H.; Sato, T.; Takahashi, T.; Wang, S.-C.; Yang, H.-B.; Ding, H.; Fujii, T.; Watanabe, T.; Matsuda, A. BCS-Like Bogoliubov Quasiparticles in High-Tc Superconductors Observed by Angle-Resolved Photoemission Spectroscopy. Phys. Rev. Lett. 2003, 90, 217002. [Google Scholar] [CrossRef] [PubMed]
- Wang, Y.; Nakatsukasa, K.; Rademaker, L.; Berlijn, T.; Johnston, S. Aspects of electron–phonon interactions with strong forward scattering in FeSe Thin Films on SrTiO3 substrates. Supercond. Sci. Technol. 2016, 29, 054009. [Google Scholar] [CrossRef]
- Yamase, H.; Zeyher, R. Superconductivity from orbital nematic fluctuations. Phys. Rev. B 2013, 88, 180502. [Google Scholar] [CrossRef]
- Agatsuma, T.; Yamase, H. Structure of the pairing gap from orbital nematic fluctuations. Phys. Rev. B 2016, 94, 214505. [Google Scholar] [CrossRef]
- Norman, M.R.; Ding, H.; Campuzano, J.C.; Takeuchi, T.; Randeria, M.; Yokoya, T.; Takahashi, T.; Mochiku, T.; Kadowaki, K. Unusual Dispersion and Line Shape of the Superconducting State Spectra of Bi2Sr2CaCu2O8+δ. Phys. Rev. Lett. 1997, 79, 3506–3509. [Google Scholar] [CrossRef]
- Valla, T.; Fedorov, A.V.; Johnson, P.D.; Wells, B.O.; Hulbert, S.L.; Li, Q.; Gu, G.D.; Koshizuka, N. Evidence for Quantum Critical Behavior in the Optimally Doped Cuprate Bi2Sr2CaCu2O8+δ. Science 1999, 285, 2110. [Google Scholar] [CrossRef]
- Kaminski, A.; Randeria, M.; Campuzano, J.C.; Norman, M.R.; Fretwell, H.; Mesot, J.; Sato, T.; Takahashi, T.; Kadowaki, K. Renormalization of Spectral Line Shape and Dispersion below Tc in Bi2Sr2CaCu2O8+δ. Phys. Rev. Lett. 2001, 86, 1070. [Google Scholar] [CrossRef]
- Lanzara, A.; Bogdanov, P.V.; Zhou, X.J.; Kellar, S.A.; Feng, D.L.; Lu, E.D.; Yoshida, T.; Eisaki, H.; Fujimori, A.; Kishio, K.; et al. Evidence for ubiquitous strong electron–phonon coupling in high-temperature superconductors. Nature 2001, 412, 510. [Google Scholar] [CrossRef] [PubMed]
- Richard, P.; Sato, T.; Nakayama, K.; Souma, S.; Takahashi, T.; Xu, Y.-M.; Chen, G.F.; Luo, J.L.; Wang, N.L.; Ding, H. Angle-Resolved Photoemission Spectroscopy of the Fe-Based Ba0.6K0.4Fe2As2 High Temperature Superconductor: Evidence for an Orbital Selective Electron-Mode Coupling. Phys. Rev. Lett. 2009, 102, 047003. [Google Scholar] [CrossRef] [PubMed]
- Koitzsch, A.; Inosov, D.S.; Evtushinsky, D.V.; Zabolotnyy, V.B.; Kordyuk, A.A.; Kondrat, A.; Hess, C.; Knupfer, M.; Büchner, B.; Sun, G.L.; et al. Temperature and Doping-Dependent Renormalization Effects of the Low Energy Electronic Structure of Ba1−xKxFe2As2 Single Crystals. Phys. Rev. Lett. 2009, 102, 167001. [Google Scholar] [CrossRef] [PubMed]
- Tang, C.; Liu, C.; Zhou, G.; Li, F.; Ding, H.; Li, Z.; Zhang, D.; Li, Z.; Song, C.; Ji, S.; et al. Interface-enhanced electron-phonon coupling and high-temperature superconductivity in potassium-coated ultrathin FeSe films on SrTiO3. Phys. Rev. B 2016, 93, 020507. [Google Scholar] [CrossRef]
- Ma, M.; Bourges, P.; Sidis, Y.; Xu, Y.; Li, S.; Hu, B.; Li, J.; Wang, F.; Li, Y. Prominent Role of Spin-Orbit Coupling in FeSe Revealed by Inelastic Neutron Scattering. Phys. Rev. X 2017, 7, 021025. [Google Scholar] [CrossRef]




Publisher’s Note: MDPI stays neutral with regard to jurisdictional claims in published maps and institutional affiliations. |
© 2021 by the authors. Licensee MDPI, Basel, Switzerland. This article is an open access article distributed under the terms and conditions of the Creative Commons Attribution (CC BY) license (http://creativecommons.org/licenses/by/4.0/).
Share and Cite
Nakayama, K.; Shigekawa, K.; Sugawara, K.; Takahashi, T.; Sato, T. Unusual Temperature Evolution of Quasiparticle Band Dispersion in Electron-Doped FeSe Films. Symmetry 2021, 13, 155. https://doi.org/10.3390/sym13020155
Nakayama K, Shigekawa K, Sugawara K, Takahashi T, Sato T. Unusual Temperature Evolution of Quasiparticle Band Dispersion in Electron-Doped FeSe Films. Symmetry. 2021; 13(2):155. https://doi.org/10.3390/sym13020155
Chicago/Turabian StyleNakayama, Kosuke, Koshin Shigekawa, Katsuaki Sugawara, Takashi Takahashi, and Takafumi Sato. 2021. "Unusual Temperature Evolution of Quasiparticle Band Dispersion in Electron-Doped FeSe Films" Symmetry 13, no. 2: 155. https://doi.org/10.3390/sym13020155
APA StyleNakayama, K., Shigekawa, K., Sugawara, K., Takahashi, T., & Sato, T. (2021). Unusual Temperature Evolution of Quasiparticle Band Dispersion in Electron-Doped FeSe Films. Symmetry, 13(2), 155. https://doi.org/10.3390/sym13020155

