Symmetric Mass Generation in Lattice Gauge Theory
Abstract
:1. Introduction
2. Staggered Fermion Model
3. Numerical Results
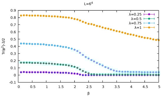
3.1. The Yukawa Theory Limit
3.2. The Gauge Theory Limit
4. Conclusions
Author Contributions
Funding
Institutional Review Board Statement
Informed Consent Statement
Data Availability Statement
Conflicts of Interest
References
- Razamat, S.S.; Tong, D. Gapped Chiral Fermions. Phys. Rev. X 2021, 11, 011063. [Google Scholar] [CrossRef]
- Tong, D. Comments on Symmetric Mass Generation in 2d and 4d. arXiv 2021, arXiv:2104.03997. [Google Scholar]
- Butt, N.; Catterall, S.; Schaich, D. SO(4) invariant Higgs–Yukawa model with reduced staggered fermions. Phys. Rev. D 2018, 98, 114514. [Google Scholar] [CrossRef] [Green Version]
- Ayyar, V.; Chandrasekharan, S. Massive fermions without fermion bilinear condensates. Phys. Rev. D 2015, 91, 065035. [Google Scholar] [CrossRef] [Green Version]
- Catterall, S. Fermion mass without symmetry breaking. JHEP 2016, 1, 121. [Google Scholar] [CrossRef] [Green Version]
- Ayyar, V.; Chandrasekharan, S. Origin of fermion masses without spontaneous symmetry breaking. Phys. Rev. D 2016, 93, 081701. [Google Scholar] [CrossRef] [Green Version]
- Ayyar, V.; Chandrasekharan, S. Fermion masses through four-fermion condensates. JHEP 2016, 10, 58. [Google Scholar] [CrossRef] [Green Version]
- Ayyar, V.; Chandrasekharan, S. Generating a nonperturbative mass gap using Feynman diagrams in an asymptotically free theory. Phys. Rev. D 2017, 96, 114506. [Google Scholar] [CrossRef] [Green Version]
- Catterall, S. Chiral lattice fermions from staggered fields. Phys. Rev. D 2021, 104, 014503. [Google Scholar] [CrossRef]
- Butt, N.; Catterall, S.; Pradhan, A.; Toga, G.C. Anomalies and symmetric mass generation for Kaehler-Dirac fermions. arXiv 2021, arXiv:2101.01026. [Google Scholar]
- Grinenko, V.; Weston, D.; Caglieris, F.; Wuttke, C.; Hess, C.; Gottschall, T.; Maccari, I.; Gorbunov, D.; Zherlitsyn, S.; Wosnitza, J.; et al. State with spontaneously broken time-reversal symmetry above the superconducting phase transition. Nat. Phys. 2021, 17, 1254–1259. [Google Scholar] [CrossRef]
- Herland, E.V.; Babaev, E.; Sudbø, A. Phase transitions in a three dimensional U(1)×U(1) lattice London superconductor: Metallic superfluid and charge-4e superconducting states. Phys. Rev. B 2010, 82, 134511. [Google Scholar] [CrossRef] [Green Version]
- Weston, D.; Babaev, E. Composite order in SU(N) theories coupled to an Abelian gauge field. Phys. Rev. B 2021, 104, 075116. [Google Scholar] [CrossRef]
- You, Y.Z.; He, Y.C.; Xu, C.; Vishwanath, A. Symmetric Fermion Mass Generation as Deconfined Quantum Criticality. Phys. Rev. X 2018, 8, 011026. [Google Scholar] [CrossRef] [Green Version]
- Wang, C.; Senthil, T. Interacting fermionic topological insulators/superconductors in three dimensions. Phys. Rev. B 2014, 89, 195124. [Google Scholar] [CrossRef] [Green Version]
- Fidkowski, L.; Kitaev, A. The effects of interactions on the topological classification of free fermion systems. Phys. Rev. B 2010, 81, 134509. [Google Scholar] [CrossRef] [Green Version]
- You, Y.Z.; He, Y.C.; Vishwanath, A.; Xu, C. From Bosonic Topological Transition to Symmetric Fermion Mass Generation. Phys. Rev. B 2018, 97, 125112. [Google Scholar] [CrossRef] [Green Version]
- Catterall, S.; Veernala, A. Dynamical Gauge Symmetry Breaking in Strongly Coupled Lattice Theories. Phys. Rev. D 2013, 88, 114510. [Google Scholar] [CrossRef] [Green Version]
- Catterall, S.; Butt, N. Simulations of SU(2) lattice gauge theory with dynamical reduced staggered fermions. Phys. Rev. D 2019, 99, 014505. [Google Scholar] [CrossRef] [Green Version]
- van den Doel, C.; Smit, J. Dynamical Symmetry Breaking in Two Flavor SU(N) and SO(N) Lattice Gauge Theories. Nucl. Phys. B 1983, 228, 122–144. [Google Scholar] [CrossRef]
- Golterman, M.F.; Smit, J. Selfenergy and Flavor Interpretation of Staggered Fermions. Nucl. Phys. B 1984, 245, 61–88. [Google Scholar] [CrossRef]
- García-Etxebarria, I.n.; Montero, M. Dai-Freed anomalies in particle physics. JHEP 2019, 8, 3. [Google Scholar] [CrossRef] [Green Version]
- Dai, X.z.; Freed, D.S. eta invariants and determinant lines. J. Math. Phys. 1994, 35, 5155–5194. [Google Scholar] [CrossRef] [Green Version]
- Kapustin, A.; Thorngren, R.; Turzillo, A.; Wang, Z. Fermionic Symmetry Protected Topological Phases and Cobordisms. JHEP 2015, 12, 52. [Google Scholar] [CrossRef] [Green Version]








Publisher’s Note: MDPI stays neutral with regard to jurisdictional claims in published maps and institutional affiliations. |
© 2021 by the authors. Licensee MDPI, Basel, Switzerland. This article is an open access article distributed under the terms and conditions of the Creative Commons Attribution (CC BY) license (https://creativecommons.org/licenses/by/4.0/).
Share and Cite
Butt, N.; Catterall, S.; Toga, G.C. Symmetric Mass Generation in Lattice Gauge Theory. Symmetry 2021, 13, 2276. https://doi.org/10.3390/sym13122276
Butt N, Catterall S, Toga GC. Symmetric Mass Generation in Lattice Gauge Theory. Symmetry. 2021; 13(12):2276. https://doi.org/10.3390/sym13122276
Chicago/Turabian StyleButt, Nouman, Simon Catterall, and Goksu Can Toga. 2021. "Symmetric Mass Generation in Lattice Gauge Theory" Symmetry 13, no. 12: 2276. https://doi.org/10.3390/sym13122276
APA StyleButt, N., Catterall, S., & Toga, G. C. (2021). Symmetric Mass Generation in Lattice Gauge Theory. Symmetry, 13(12), 2276. https://doi.org/10.3390/sym13122276

