Does the Presence of a Bond Path Really Mean Interatomic Stabilization? The Case of the Ng@Superphane (Ng = He, Ne, Ar, and Kr) Endohedral Complexes
Abstract
:1. Introduction
2. Methodology
3. Results and Discussion
3.1. Methodological Stability of the Results
3.2. Is the Ng⋯Superphane Interaction in the Ng@Superphane Complex Stabilizing?
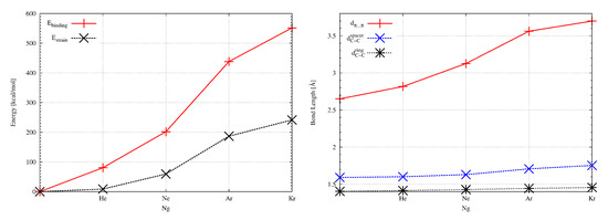
3.2.1. Energy and Structural Arguments
3.2.2. About How Krypton Escapes from the Cage
3.2.3. On Whether a Bond Path Really Is Evidence of a Stabilizing Interatomic Interaction
3.2.4. Negative Mayer Bond Orders
3.3. Metastable Systems vs. Endohedral Complexes: Repulsion in a Chemical Bond?
4. Conclusions
Funding
Conflicts of Interest
Abbreviations
References
- Bader, R.F.W. Atoms in Molecules: A Quantum Theory; Oxford University Press: New York, NY, USA, 1990. [Google Scholar]
- Popelier, P.L.A. Atoms in Molecules. An Introduction; Longman: Singapore, 2000. [Google Scholar]
- Matta, C.F.; Boyd, R.J. The Quantum Theory of Atoms in Molecules; Wiley-VCH: Weinheim, Germany, 2007. [Google Scholar]
- Bader, R.F.W. A Bond Path: A Universal Indicator of Bonded Interactions. J. Phys. Chem. A 1998, 102, 7314–7323. [Google Scholar] [CrossRef]
- Bader, R.F.W. A Quantum Theory of Molecular Structure and Its Appllcatlons. Chem. Rev. 1991, 91, 893–928. [Google Scholar] [CrossRef]
- Cioslowski, J.; Mixon, S.T.; Edwards, W.D. Weak Bonds in the Topological Theory of Atoms in Molecules. J. Am. Chem. Soc. 1991, 113, 1083–1085. [Google Scholar] [CrossRef]
- Cioslowski, J.; Mixon, S.T. Topological Properties of Electron Density in Search of Steric Interactions in Molecules: Electronic Structure Calculations on Ortho-Substituted Biphenyls. J. Am. Chem. Soc. 1992, 114, 4382–4387. [Google Scholar] [CrossRef]
- Cioslowski, J.; Mixon, S.T. Universality among topological properties of electron density associated with the hydrogen–hydrogen nonbonding interactions. Can. J. Chem. 1992, 70, 443–449. [Google Scholar] [CrossRef]
- Cioslowski, J.; Edgington, L.; Stefanov, B.B. Steric Overcrowding in Perhalogenated Cyclohexanes, Dodecahedranes, and [60]Fulleranes. J. Am. Chem. Soc. 1995, 117, 10381–10384. [Google Scholar] [CrossRef]
- Haaland, A.; Shorokhov, D.J.; Tverdova, N.V. Topological Analysis of Electron Densities: Is the Presence of an Atomic Interaction Line in an Equilibrium Geometry a Sufficient Condition for the Existence of a Chemical Bond? Chem. Eur. J. 2004, 10, 4416–4421. [Google Scholar] [CrossRef]
- Strenalyuk, T.; Haaland, A. Chemical Bonding in the Inclusion Complex of He in Adamantane (He@adam): The Origin of the Barrier to Dissociation. Chem. Eur. J. 2008, 14, 10223–10226. [Google Scholar] [CrossRef] [PubMed]
- Cerpa, E.; Krapp, A.; Vela, A.; Merino, G. The Implications of Symmetry of the External Potential on Bond Paths. Chem. Eur. J. 2008, 14, 10232–10234. [Google Scholar] [CrossRef] [PubMed]
- Cerpa, E.; Krapp, A.; Flores-Moreno, R.; Donald, K.J.; Merino, G. Influence of Endohedral Confinement on the Electronic Interaction between He atoms: A He2@C20H20 Case Study. Chem. Eur. J. 2009, 15, 1985–1990. [Google Scholar] [CrossRef]
- Tsirelson, V.G.; Zou, P.F.; Tang, T.-H.; Bader, R.F.W. Topological Definition of Crystal Structure: Determination of the Bonded Interactions in Solid Molecular Chlorine. Acta Cryst. 1995, A51, 143–153. [Google Scholar] [CrossRef]
- Bone, R.G.A.; Bader, R.F.W. Identifying and Analyzing Intermolecular Bonding Interactions in van der Waals Molecules. J. Phys. Chem. 1996, 100, 10892–10911. [Google Scholar] [CrossRef]
- Abramov, Y.A. Secondary Interactions and Bond Critical Points in Ionic Crystals. J. Phys. Chem. A 1997, 101, 5725–5728. [Google Scholar] [CrossRef]
- Vila, A.; Mosquera, R.A. On the perfluorination of alkyl ethers. An electron density study under the AIM approach. J. Mol. Struct. (Theochem) 2001, 546, 63–72. [Google Scholar] [CrossRef]
- Luaña, V.; Costales, A.; Mori-Sánchez, P.; Pendás, A.M. Ions in Crystals: The Topology of the Electron Density in Ionic Materials. 4. The Danburite (CaB2Si2O8) Case and the Occurrence of Oxide–Oxide Bond Paths in Crystals. J. Phys. Chem. B 2003, 107, 4912–4921. [Google Scholar] [CrossRef]
- Matta, C.F.; Castillo, N.; Boyd, R.J. Characterization of a Closed-Shell Fluorine–Fluorine Bonding Interaction in Aromatic Compounds on the Basis of the Electron Density. J. Phys. Chem. A 2005, 109, 3669–3681. [Google Scholar] [CrossRef] [PubMed]
- Pakiari, A.H.; Eskandari, K. Closed shell oxygen–oxygen bonding interaction based on electron density analysis. J. Mol. Struct. THEOCHEM 2007, 806, 1–7. [Google Scholar] [CrossRef]
- Palusiak, M.; Grabowski, S.J. Do intramolecular halogen bonds exist? Ab initio calculations and crystal structures’ evidences. Struct. Chem. 2007, 18, 859–865. [Google Scholar] [CrossRef]
- Jabłoński, M. Energetic and Geometrical Evidence of Nonbonding Character of Some Intramolecular Halogen⋯Oxygen and Other Y⋯Y Interactions. J. Phys. Chem. A 2012, 116, 3753–3764. [Google Scholar] [CrossRef] [PubMed]
- Jabłoński, M.; Palusiak, M. The halogen⋯oxygen interaction in 3-halogenopropenal revisited—The dimer model vs. QTAIM indications. Chem. Phys. 2013, 415, 207–213. [Google Scholar] [CrossRef]
- Dem’yanov, P.; Polestshuk, P. A Bond Path and an Attractive Ehrenfest Force Do Not Necessarily Indicate Bonding Interactions: Case Study on M2X2 (M = Li, Na, K; X = H, OH, F, Cl). Chem. Eur. J. 2012, 18, 4982–4993. [Google Scholar] [CrossRef]
- Tognetti, V.; Joubert, L. On the physical role of exchange in the formation of an intramolecular bond path between two electronegative atoms. J. Chem. Phys. 2013, 138, 024102. [Google Scholar] [CrossRef]
- Tognetti, V.; Joubert, L. On critical points and exchange-related properties of intramolecular bonds between two electronegative atoms. Chem. Phys. Lett. 2013, 579, 122–126. [Google Scholar] [CrossRef]
- Jabłoński, M. Hydride-Triel Bonds. J. Comput. Chem. 2018, 39, 1177–1191. [Google Scholar] [CrossRef]
- Jabłoński, M. Bond Paths Between Distant Atoms Do Not Necessarily Indicate Dominant Interactions. J. Comput. Chem. 2018, 39, 2183–2195. [Google Scholar] [CrossRef] [PubMed]
- Jabłoński, M. On the Uselessness of Bond Paths Linking Distant Atoms and on the Violation of the Concept of Privileged Exchange Channels. ChemistryOpen 2019, 8, 497–507. [Google Scholar] [CrossRef] [PubMed]
- Jabłoński, M. Counterintuitive bond paths: An intriguing case of the ion. Chem. Phys. Lett. 2020, 759, 137946. [Google Scholar] [CrossRef]
- Matta, C.F.; Hernández-Trujillo, J.; Tang, T.-H.; Bader, R.F.W. Hydrogen-Hydrogen Bonding: A Stabilizing Interaction in Molecules and Crystals. Chem. Eur. J. 2003, 9, 1940–1951. [Google Scholar] [CrossRef] [PubMed]
- Poater, J.; Solà, M.; Bickelhaupt, F.M. Hydrogen–Hydrogen Bonding in Planar Biphenyl, Predicted by Atoms-in-Molecules Theory, Does Not Exist. Chem. Eur. J. 2006, 12, 2889–2895. [Google Scholar] [CrossRef] [PubMed]
- Poater, J.; Solà, M.; Bickelhaupt, F.M. A Model of the Chemical Bond Must Be Rooted in Quantum Mechanics, Provide Insight, and Possess Predictive Power. Chem. Eur. J. 2006, 12, 2902–2905. [Google Scholar] [CrossRef]
- Dillen, J. Congested Molecules. Where is the Steric Repulsion? An Analysis of the Electron Density by the Method of Interacting Quantum Atoms. Int. J. Quantum Chem. 2013, 113, 2143–2153. [Google Scholar] [CrossRef]
- Keyvani, Z.A.; Shahbazian, S.; Zahedi, M. To What Extent are “Atoms in Molecules” Structures of Hydrocarbons Reproducible from the Promolecule Electron Densities? Chem. Eur. J. 2016, 22, 5003–5009. [Google Scholar] [CrossRef] [PubMed]
- Moran, D.; Woodcock, H.L.; Chen, Z.; Schaefer, H.F., III; Schleyer, P.V.R. On the Viability of Small Endohedral Hydrocarbon Cage Complexes: X@C4H4, X@C8H8, X@C8H14, X@C10H16, X@C12H12, and X@C16H16. J. Am. Chem. Soc. 2003, 125, 11442–11451. [Google Scholar] [CrossRef]
- Darzynkiewicz, R.B.; Scuseria, G.E. Noble Gas Endohedral Complexes of C60 Buckminsterfullerene. J. Phys. Chem. A 1997, 101, 7141–7144. [Google Scholar] [CrossRef]
- Schirch, P.F.T.; Boekelheide, V. [2.2.2.2.2](1,2,3,4,5)Cyclophane. J. Am. Chem. Soc. 1979, 101, 3126–3127. [Google Scholar] [CrossRef]
- Sekine, Y.; Boekelheide, V. A Study of the Synthesis and Properties of [26](1,2,3,4,5,6)Cyclophane (Superphane). J. Am. Chem. Soc. 1981, 103, 1777–1785. [Google Scholar] [CrossRef]
- Gleiter, R.; Hopf, H. (Eds.) Modern Cyclophane Chemistry; Wiley-VCH: Weinheim, Germany, 2004. [Google Scholar]
- Szabo, A.; Ostlund, N.S. Modern Quantum Chemistry. Introduction to Advanced Electronic Structure Theory; Dover Publications, Inc.: Mineola, NY, USA, 1982. [Google Scholar]
- Becke, A.D. Density-functional exchange-energy approximation with correct asymptotic behavior. Phys. Rev. A 1988, 38, 3098–3100. [Google Scholar] [CrossRef]
- Lee, C.; Yang, W.; Parr, R.G. Development of the Colle-Salvetti correlation-energy formula into a functional of the electron density. Phys. Rev. B 1988, 37, 785–789. [Google Scholar] [CrossRef] [Green Version]
- Grimme, S.; Antony, J.; Ehrlich, S.; Krieg, H. A consistent and accurate ab initio parameterization of density functional dispersion correction (DFT-D) for the 94 elements H-Pu. J. Chem. Phys. 2010, 132, 154104. [Google Scholar] [CrossRef] [Green Version]
- Zhao, Y.; Truhlar, D.G. The M06 suite of density functionals for main group thermochemistry, thermochemical kinetics, noncovalent interactions, excited states, and transition elements: Two new functionals and systematic testing of four M06-class functionals and 12 other functionals. Theor. Chem. Acc. 2008, 120, 215–241. [Google Scholar]
- Zhao, Y.; Truhlar, D.G. Density Functional for Spectroscopy: No Long-Range Self-Interaction Error, Good Performance for Rydberg and Charge-Transfer States, and Better Performance on Average than B3LYP for Ground States. J. Phys. Chem. A 2006, 110, 13126–13130. [Google Scholar] [CrossRef]
- Chai, J.-D.; Head-Gordon, M. Long-range corrected hybrid density functionals with damped atom–atom dispersion corrections. Phys. Chem. Chem. Phys. 2008, 10, 6615–6620. [Google Scholar] [CrossRef] [Green Version]
- Jensen, F. Introduction to Computational Chemistry; John Wiley & Sons Ltd.: Chichester, England, 2007. [Google Scholar]
- Pritchard, B.P.; Altarawy, D.; Didier, B.; Gibson, T.D.; Windus, T.L. New Basis Set Exchange: An Open, Up-to-Date Resource for the Molecular Sciences Community. J. Chem. Inf. Model. 2019, 59, 4814–4820. [Google Scholar] [CrossRef] [PubMed]
- Frisch, M.J.; Trucks, G.W.; Schlegel, H.B.; Scuseria, G.E.; Robb, M.A.; Cheeseman, J.R.; Scalmani, G.; Barone, V.; Petersson, G.A.; Nakatsuji, H.; et al. Gaussian 16, Revision C.01; Gaussian, Inc.: Wallingford, CT, USA, 2019. [Google Scholar]
- Dennington, R.; Keith, T.; Millam, J. (Eds.) GaussView, Version 6; Semichem Inc.: Shawnee Mission, KS, USA, 2019. [Google Scholar]
- Keith, T.A. AIMAll (Version 15.05.18); TK Gristmill Software: Overland Park, KS, USA, 2015; Available online: aim.tkgristmill.com (accessed on 25 October 2021).
- Jabłoński, M. A Critical Overview of Current Theoretical Methods of Estimating the Energy of Intramolecular Interactions. Molecules 2020, 25, 5512. [Google Scholar] [CrossRef] [PubMed]
- Pauling, L. Atomic Radii and Interatomic Distances in Metals. J. Am. Chem. Soc. 1947, 69, 542–553. [Google Scholar] [CrossRef]
- Wiberg, K.B. Application of the Pople-Santry-Segal CNDO Method to the Cyclopropylcarbinyl and Cyclobutyl Cation and to Bicyclobutane. Tetrahedron 1968, 24, 1083–1096. [Google Scholar] [CrossRef]
- Mayer, I. Charge, bond order and valence in the AB initio SCF theory. Chem. Phys. Lett. 1983, 97, 270–274. [Google Scholar] [CrossRef]
- Mayer, I. Bond order and valence: Relations to Mulliken’s population analysis. Int. J. Quantum Chem. 1984, 26, 151–154. [Google Scholar] [CrossRef]
- Mayer, I. Bond Order and Valence Indices: A Personal Account. J. Comput. Chem. 2007, 28, 204–221. [Google Scholar] [CrossRef] [PubMed]
- Bridgeman, A.J.; Cavigliasso, G.; Ireland, L.R.; Rothery, J. The Mayer bond order as a tool in inorganic chemistry. J. Chem. Soc. Dalton Trans. 2001, 2095–2108. [Google Scholar] [CrossRef]
- Hohenberg, P.; Kohn, W. Inhomogeneous Electron Gas. Phys. Rev. 1964, 136, B864–B871. [Google Scholar] [CrossRef] [Green Version]
- Parr, R.G.; Yang, W. Density-Functional Theory of Atoms and Molecules; Oxford University Press: New York, NY, USA, 1989. [Google Scholar]
- Mardirossian, N.; Head-Gordon, M. Thirty years of density functional theory in computational chemistry: An overview and extensive assessment of 200 density functionals. Mol. Phys. 2017, 115, 2315–2372. [Google Scholar] [CrossRef]
- Schreiner, P.R.; Chernish, L.V.; Gunchenko, P.A.; Tikhonchuk, E.Y.; Hausmann, H.; Serafin, M.; Schlecht, S.; Dahl, J.E.P.; Carlson, R.M.K.; Fokin, A.A. Overcoming lability of extremely long alkane carbon–carbon bonds through dispersion forces. Nature 2011, 477, 308–311. [Google Scholar] [CrossRef] [PubMed]
- Fokin, A.A.; Chernish, L.V.; Gunchenko, P.A.; Tikhonchuk, E.Y.; Hausmann, H.; Serafin, M.; Dahl, J.E.P.; Carlson, R.M.K.; Schreiner, P.R. Stable Alkanes Containing Very Long Carbon–Carbon Bonds. J. Am. Chem. Soc. 2012, 134, 13641–13650. [Google Scholar] [CrossRef] [PubMed]
- Ishigaki, Y.; Shimajiri, T.; Takeda, T.; Katoono, R.; Suzuki, T. Longest C–C Single Bond among Neutral Hydrocarbons with a Bond Length beyond 1.8 Å. Chem 2018, 4, 795–806. [Google Scholar] [CrossRef] [Green Version]
- Brown, D.A.; Clegg, W.; Colquhoun, H.M.; Daniels, J.A.; Stephenson, I.R.; Wade, K. A pentuply-bridging carbonyl group: Crystal and molecular structure of a salt of the 1-oxo-2-phenyl-1,2-dicarbadodecaborate(12) anion, [LH]+[O(Ph)C2B10H10]- (L = 1,8-N,N,N’,N’-tetramethylnaphthalenediamine). J. Chem. Soc. Chem. Commun. 1987, 889–891. [Google Scholar] [CrossRef]
- Llop, J.; Viñas, C.; Teixidor, F.; Victori, L.; Kivekäs, R.; Sillanpää, R. Redox Potential Modulation in Mixed Sandwich Pyrrolyl/Dicarbollide Complexes. Inorg. Chem. 2002, 41, 3347–3352. [Google Scholar] [CrossRef] [PubMed]
- Li, J.; Pang, R.; Li, Z.; Lai, G.; Xiao, X.-Q.; Müller, T. Exceptionally Long C–C Single Bonds in Diamino-o-carborane as Induced by Negative Hyperconjugation. Angew. Chem. Int. Ed. 2019, 58, 1397–1401. [Google Scholar] [CrossRef] [PubMed]
- Novoa, J.J.; Lafuente, P.; Del Sesto, R.E.; Miller, J.S. Exceptionally Long (≥ 2.9 Å) C–C Bonds between [TCNE]− Ions: Two-Electron, Four-Center π⋆-π⋆ C–C Bonding in π-. Angew. Chem. Int. Ed. 2001, 40, 2540–2545. [Google Scholar] [CrossRef]
- Novoa, J.J.; Stephens, P.W.; Weerasekare, M.; Shum, W.W.; Miller, J.S. The Tetracyanopyrazinide Dimer Dianion, . 2-Electron 8-Center Bonding. J. Am. Chem. Soc. 2009, 131, 9070–9075. [Google Scholar] [CrossRef]
- Jabłoński, M. The first theoretical proof of the existence of a hydride-carbene bond. Chem. Phys. Lett. 2018, 710, 78–83. [Google Scholar] [CrossRef]
- Møller, C.; Plesset, M.S. Note on an Approximation Treatment for Many-Electron Systems. Phys. Rev. 1934, 46, 618–622. [Google Scholar] [CrossRef] [Green Version]
- Krapp, A.; Frenking, G. Is This a Chemical Bond? A Theoretical Study of Ng2@C60 (Ng = He, Ne, Ar, Kr, Xe). Chem. Eur. J. 2007, 13, 8256–8270. [Google Scholar] [CrossRef] [PubMed]
- McNaught, A.D.; Wilkinson, A. IUPAC Compedium of Chemical Terminology; IUPAC: Research Triangle Park, NC, USA, 1997. [Google Scholar]
- Belkacem, A.; Kanter, E.P.; Mitchell, R.E.; Wager, Z.; Zabransky, B.J. Measurement of the Ultrashort Bond Length in . Phys. Rev. Lett. 1989, 63, 2555–2558. [Google Scholar] [CrossRef] [PubMed]
- Ackermann, J.; Hogreve, H. On the metastability of the ground state of and : A case study of binding metamorphosis. J. Phys. B At. Mol. Opt. Phys. 1992, 25, 4069–4098. [Google Scholar] [CrossRef]
- Kolbuszewski, M.; Gu, J.-P. Adiabatic and strictly diabatic potential curves of . J. Chem. Phys. 1995, 103, 7649–7650. [Google Scholar] [CrossRef]
- Basch, H.; Aped, P.; Hoz, S. Valence bond energy curves for . Chem. Phys. Lett. 1996, 255, 336–340. [Google Scholar] [CrossRef]





| Ng | Basis Set | HF | B3LYP | B3LYP-D3 | M06 | M06-HF | M06-2X | B97X-D |
|---|---|---|---|---|---|---|---|---|
| He | 6-31G | 94.0 | 81.5 | 79.3 | 79.9 | 80.0 | 77.7 | 82.5 |
| 6-31G(d) | 93.9 | 82.2 | 79.9 | 80.8 | 80.8 | 78.1 | 83.1 | |
| 6-311G | 94.0 | 81.8 | 79.6 | 80.1 | 80.1 | 77.4 | 82.8 | |
| Ne | 6-31G | 230.2 | 192.8 | 189.3 | 193.5 | 193.5 | 190.4 | 199.4 |
| 6-31G(d) | 225.4 | 188.6 | 185.1 | 189.8 | 189.8 | 186.7 | 195.0 | |
| 6-311G | 229.8 | 196.1 | 192.6 | 195.6 | 195.6 | 192.5 | 201.0 | |
| Ar | 6-31G | 527.7 | 454.0 | 451.8 | 445.5 | 445.5 | 448.1 | 459.7 |
| 6-31G(d) | 510.4 | 438.2 | 436.3 | 431.0 | 431.0 | 432.6 | 443.1 | |
| 6-311G | 523.1 | 450,5 | 448.4 | 443.7 | 443.7 | 444.3 | 456.6 | |
| Kr | 6-31G | 638.7 | 545.6 | 544.8 | 534.1 | 534.1 | 541.8 | 551.4 |
| 6-31G(d) | 624.8 | out | out | out | out | 530.0 | 538.7 | |
| 6-311G | 654.4 | 561.7 | 561.1 | 552.2 | 552.1 | 559.4 | 569.5 |
| Ng | Basis Set | HF | B3LYP | B3LYP-D3 | M06 | M06-HF | M06-2X | B97X-D |
|---|---|---|---|---|---|---|---|---|
| 6-31G | 2.656 | 2.666 | 2.669 | 2.647 | 2.648 | 2.659 | 2.657 | |
| 6-31G(d) | 2.663 | 2.662 | 2.666 | 2.648 | 2.648 | 2.658 | 2.655 | |
| 6-311G | 2.659 | 2.667 | 2.670 | 2.645 | 2.646 | 2.659 | 2.657 | |
| He | 6-31G | 2.814 | 2.834 | 2.838 | 2.819 | 2.819 | 2.821 | 2.820 |
| 6-31G(d) | 2.826 | 2.836 | 2.841 | 2.823 | 2.823 | 2.827 | 2.825 | |
| 6-311G | 2.818 | 2.836 | 2.840 | 2.816 | 2.816 | 2.823 | 2.820 | |
| Ne | 6-31G | 3.114 | 3.140 | 3.144 | 3.128 | 3.128 | 3.134 | 3.120 |
| 6-31G(d) | 3.123 | 3.139 | 3.148 | 3.127 | 3.128 | 3.137 | 3.123 | |
| 6-311G | 3.118 | 3.142 | 3.146 | 3.129 | 3.130 | 3.136 | 3.122 | |
| Ar | 6-31G | 3.594 | 3.621 | 3.627 | 3.597 | 3.597 | 3.611 | 3.596 |
| 6-31G(d) | 3.569 | 3.591 | 3.595 | 3.567 | 3.568 | 3.590 | 3.571 | |
| 6-311G | 3.591 | 3.620 | 3.625 | 3.594 | 3.594 | 3.612 | 3.593 | |
| Kr | 6-31G | 3.719 | 3.766 | 3.765 | 3.735 | 3.735 | 3.751 | 3.734 |
| 6-31G(d) | 3.690 | out | out | out | out | 3.724 | 3.700 | |
| 6-311G | 3.720 | 3.766 | 3.765 | 3.733 | 3.732 | 3.752 | 3.731 |
| Basis Set | |||||||||
|---|---|---|---|---|---|---|---|---|---|
| He | Ne | Ar | Kr | ∅ | He | Ne | Ar | Kr | |
| 6-31G | 82.5 | 199.4 | 459.7 | 551.4 | 2.657 | 2.820 | 3.120 | 3.596 | 3.734 |
| 6-31G(d) | 83.1 | 195.0 | 443.1 | 538.7 | 2.655 | 2.825 | 3.123 | 3.571 | 3.700 |
| 6-311G | 82.8 | 201.0 | 456.6 | 569.5 | 2.657 | 2.820 | 3.122 | 3.593 | 3.731 |
| 6-311G(d) | 83.4 | 199.0 | 440.4 | 553.7 | 2.656 | 2.826 | 3.132 | 3.574 | 3.706 |
| 6-311G(d,p) | 80.8 | 199.4 | 440.8 | 553.9 | 2.654 | 2.818 | 3.130 | 3.574 | 3.706 |
| 6-311+G(d) | 83.0 | 201.7 | 437.9 | 551.2 | 2.655 | 2.826 | 3.131 | 3.568 | 3.703 |
| 6-311+G(d,p) | 80.6 | 202.0 | 438.4 | 551.5 | 2.653 | 2.818 | 3.130 | 3.569 | 3.703 |
| 6-311++G(d,p) | 80.7 | 202.1 | 438.4 | 551.5 | 2.654 | 2.819 | 3.130 | 3.568 | 3.703 |
| 6-311++G(2d,p) | 81.3 | 201.4 | 436.5 | 551.6 | 2.650 | 2.817 | 3.126 | 3.562 | 3.698 |
| Range | 2.8 | 7.1 | 23.2 | 30.8 | 0.007 | 0.009 | 0.012 | 0.034 | 0.036 |
| % | 3.4 | 3.5 | 5.2 | 5.6 | 0.3 | 0.3 | 0.4 | 1.0 | 1.0 |
| Ng | ||||||||
|---|---|---|---|---|---|---|---|---|
| ∅ | n/a | 0.0 | n/a | 2.650 | 1.591 | 1.404 | 110.3 | 6.3 |
| He | 81.3 | 8.7 | 10.7 | 2.817 | 1.601 | 1.415 | 113.3 | 7.7 |
| Ne | 201.4 | 59.5 | 29.5 | 3.126 | 1.630 | 1.428 | 118.8 | 9.3 |
| Ar | 436.5 | 186.8 | 42.8 | 3.562 | 1.707 | 1.444 | 126.0 | 7.9 |
| Kr | 551.6 | 241.6 | 43.8 | 3.698 | 1.753 | 1.429 | 127.8 | 2.0 |
| 1.482 | 4.0 |
| Basis Set | HF | B3LYP | M06-2X | B97X-D | MP2 |
|---|---|---|---|---|---|
| 6-31G | YES | YES | YES | YES | NO |
| 6-31G(d,p) | YES | YES | YES | YES | YES |
| 6-311G(d,p) | YES | YES | YES | YES | YES |
| 6-311++G(d,p) | YES | YES | YES | YES | NO |
| 6-311++G(2df,2pd) | YES | NO | YES | NO | NO |
| cc-pVDZ | YES | YES | YES | YES | YES |
| cc-pVTZ | YES | NO | YES | NO | NO |
| cc-pVQZ | YES | NO | YES | NO | NO |
| aug-cc-pVDZ | YES | YES | YES | YES | YES |
| aug-cc-pVTZ | YES | NO | YES | NO | NO |
| aug-cc-pVQZ | YES | NO | YES | NO | n/c |
| WBI | MBO | |||||
|---|---|---|---|---|---|---|
| Ng | Ng⋯C | C-C | C-C | Ng⋯C | C-C | C-C |
| ∅ | – | 0.96 | 1.37 | – | 0.98 | 1.40 |
| He | 0.007 | 0.97 | 1.37 | −0.001 | 1.00 | 1.43 |
| Ne | 0.012 | 0.97 | 1.37 | −0.065 | 1.01 | 1.58 |
| Ar | 0.016 | 0.95 | 1.38 | −0.180 | 1.04 | 1.54 |
| Kr | 0.020 | 0.94 | 1.26 | −0.902 | 1.15 | 1.57 |
| 1.49 | 1.67 | |||||
Publisher’s Note: MDPI stays neutral with regard to jurisdictional claims in published maps and institutional affiliations. |
© 2021 by the author. Licensee MDPI, Basel, Switzerland. This article is an open access article distributed under the terms and conditions of the Creative Commons Attribution (CC BY) license (https://creativecommons.org/licenses/by/4.0/).
Share and Cite
Jabłoński, M. Does the Presence of a Bond Path Really Mean Interatomic Stabilization? The Case of the Ng@Superphane (Ng = He, Ne, Ar, and Kr) Endohedral Complexes. Symmetry 2021, 13, 2241. https://doi.org/10.3390/sym13122241
Jabłoński M. Does the Presence of a Bond Path Really Mean Interatomic Stabilization? The Case of the Ng@Superphane (Ng = He, Ne, Ar, and Kr) Endohedral Complexes. Symmetry. 2021; 13(12):2241. https://doi.org/10.3390/sym13122241
Chicago/Turabian StyleJabłoński, Mirosław. 2021. "Does the Presence of a Bond Path Really Mean Interatomic Stabilization? The Case of the Ng@Superphane (Ng = He, Ne, Ar, and Kr) Endohedral Complexes" Symmetry 13, no. 12: 2241. https://doi.org/10.3390/sym13122241
APA StyleJabłoński, M. (2021). Does the Presence of a Bond Path Really Mean Interatomic Stabilization? The Case of the Ng@Superphane (Ng = He, Ne, Ar, and Kr) Endohedral Complexes. Symmetry, 13(12), 2241. https://doi.org/10.3390/sym13122241
