New Non-Toxic N-alkyl Cholinium-Based Ionic Liquids as Excipients to Improve the Solubility of Poorly Water-Soluble Drugs
Abstract
:1. Introduction
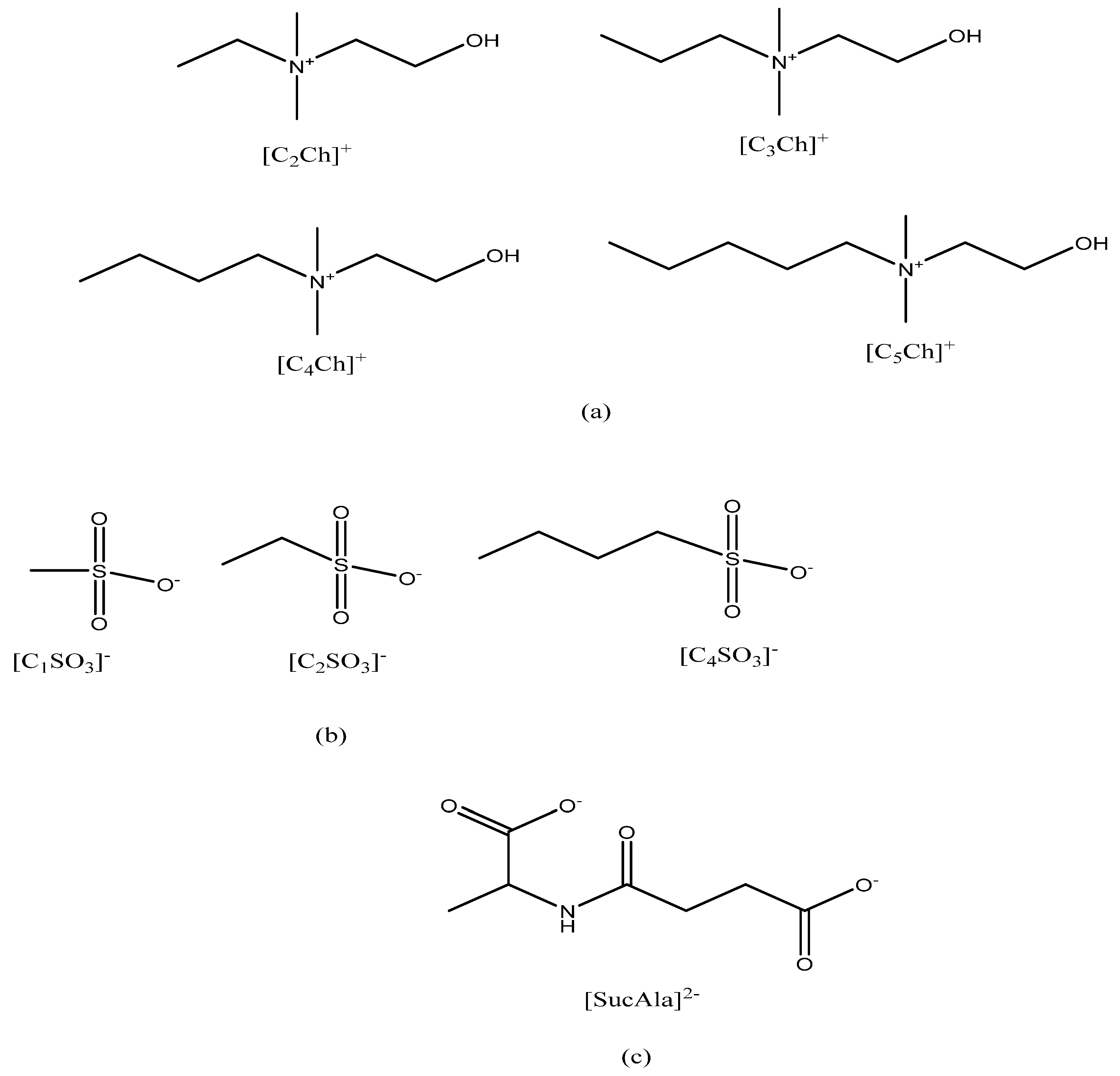
2. Materials and Methods
3. Results and Discussion
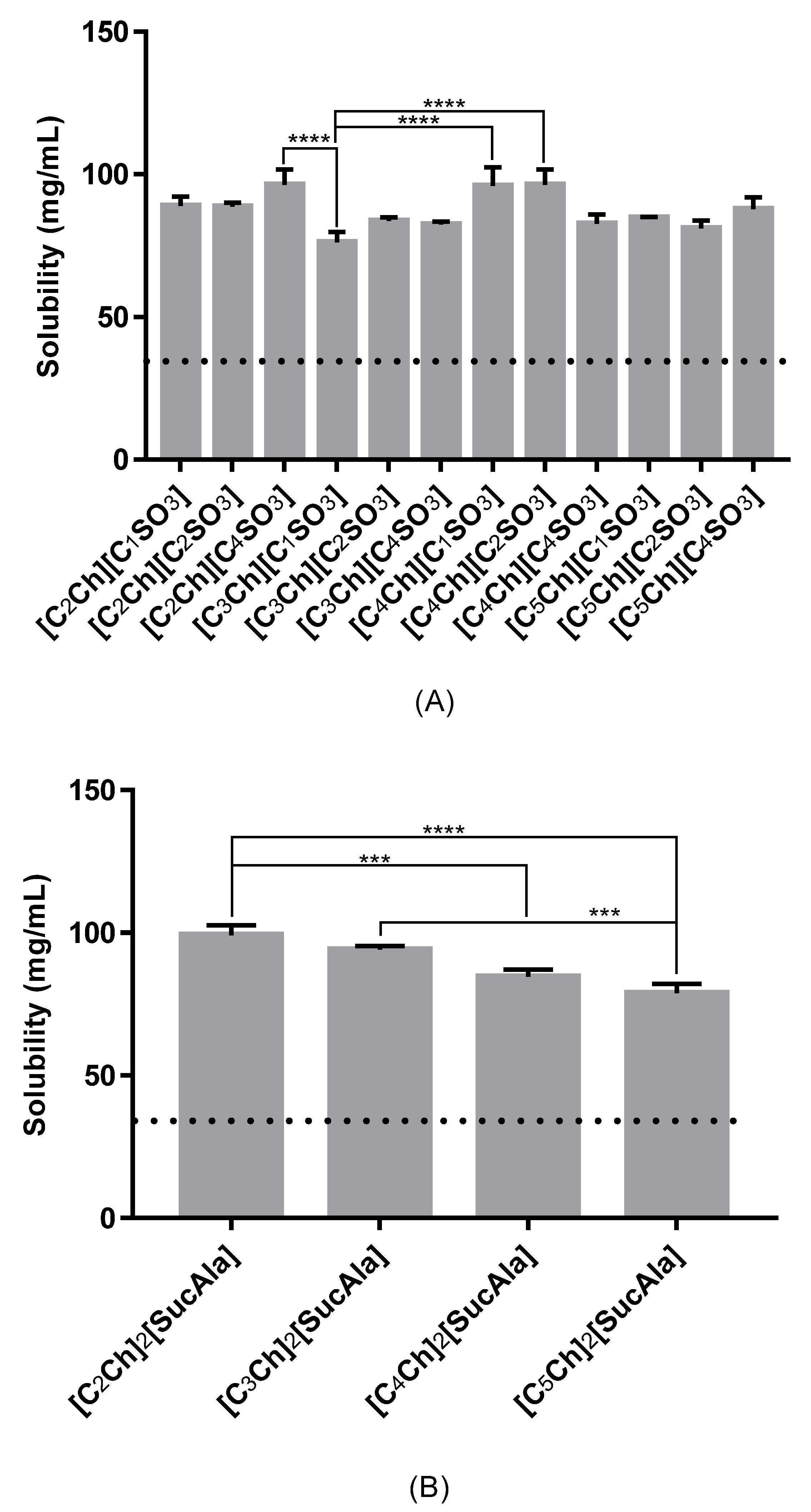
3.1. Solubility Assays
3.2. Two Dimensional 1H/1H NOESY
3.3. Octanol-Water Partition Coefficient and Log p
3.4. Cell Viability Evaluation
4. Conclusions
Supplementary Materials
Author Contributions
Funding
Institutional Review Board Statement
Informed Consent Statement
Data Availability Statement
Conflicts of Interest
References
- Gupta, S.; Kesarla, R.; Omri, A. Formulation Strategies to Improve the Bioavailability of Poorly Absorbed Drugs with Special Emphasis on Self-Emulsifying Systems. ISRN Pharm. 2013, 2013, 1–16. [Google Scholar] [CrossRef] [PubMed] [Green Version]
- Adawiyah, N.; Moniruzzaman, M.; Hawatulaila, S.; Goto, M. Ionic liquids as a potential tool for drug delivery systems. MedChemComm 2016, 7, 1881–1897. [Google Scholar] [CrossRef]
- Balk, A.; Wiest, J.; Widmer, T.; Galli, B.; Holzgrabe, U.; Meinel, L. Transformation of acidic poorly water soluble drugs into ionic liquids. Eur. J. Pharm. Biopharm. 2015, 94, 73–82. [Google Scholar] [CrossRef] [PubMed]
- Viau, L.; Tourné-Péteilh, C.; Devoisselle, J.-M.; Vioux, A. Ionogels as drug delivery system: One-step sol–gel synthesis using imidazolium ibuprofenate ionic liquid. Chem. Commun. 2009, 46, 228–230. [Google Scholar] [CrossRef] [PubMed]
- Balk, A.; Holzgrabe, U.; Meinel, L. ‘Pro et contra’ ionic liquid drugs-Challenges and opportunities for pharmaceutical translation. Eur. J. Pharm. Biopharm. 2015, 94, 291–304. [Google Scholar] [CrossRef]
- Balk, A.; Widmer, T.; Wiest, J.; Bruhn, H.; Rybak, J.-C.; Matthes, P.; Müller-Buschbaum, K.; Sakalis, A.; Lühmann, T.; Berghausen, J.; et al. Ionic Liquid Versus Prodrug Strategy to Address Formulation Challenges. Pharm. Res. 2015, 32, 2154–2167. [Google Scholar] [CrossRef]
- Sidat, Z.; Marimuthu, T.; Kumar, P.; du Toit, L.C.; Kondiah, P.P.D.; Choonara, Y.E.; Pillay, V. Ionic Liquids as Potential and Synergistic Permeation Enhancers for Transdermal Drug Delivery. Pharmaceutics 2019, 11, 96. [Google Scholar] [CrossRef] [Green Version]
- Agatemor, C.; Ibsen, K.N.; Tanner, E.E.L.; Mitragotri, S. Ionic liquids for addressing unmet needs in healthcare. Bioeng. Transl. Med. 2018, 3, 7–25. [Google Scholar] [CrossRef] [Green Version]
- Sahbaz, Y.; Nguyen, T.-H.; Ford, L.; McEvoy, C.L.; Williams, H.D.; Scammells, P.J.; Porter, C.J.H. Ionic Liquid Forms of Weakly Acidic Drugs in Oral Lipid Formulations: Preparation, Characterization, in Vitro Digestion, and in Vivo Absorption Studies. Mol. Pharm. 2017, 14, 3669–3683. [Google Scholar] [CrossRef]
- Santos, M.; Raposo, L.; Carrera, G.; Costa, A.; Dionísio, M.; Baptista, P.; Fernandes, A.; Branco, L.C. Ionic Liquids and Salts from Ibuprofen as Promising Innovative Formulations of an Old Drug. ChemMedChem 2019, 14, 907–911. [Google Scholar] [CrossRef]
- Sintra, T.E.; Shimizu, K.; Ventura, S.P.M.; Lopes, J.N.C.; Coutinho, J.A.P. Enhanced dissolution of ibuprofen using ionic liquids as catanionic hydrotropes. Phys. Chem. Chem. Phys. 2018, 20, 2094–2103. [Google Scholar] [CrossRef] [PubMed]
- Jesus, A.R.; Soromenho, M.R.C.; Raposo, L.R.; Esperança, J.M.S.S.; Baptista, P.V.; Fernandes, A.R.; Reis, P.M. Enhancement of water solubility of poorly water-soluble drugs by new biocompatible N-acetyl amino acid N-alkyl cholinium-based ionic liquids. Eur. J. Pharm. Biopharm. 2019, 137, 227–232. [Google Scholar] [CrossRef] [PubMed]
- Gadilohar, B.; Shankarling, G. Choline based ionic liquids and their applications in organic transformation. J. Mol. Liq. 2017, 227, 234–261. [Google Scholar] [CrossRef]
- Ventura, S.; Silva, F.; Gonçalves, A.M.; Pereira, J.; Gonçalves, F.J.M.; Coutinho, J.A. Ecotoxicity analysis of cholinium-based ionic liquids to Vibrio fischeri marine bacteria. Ecotoxicol. Environ. Saf. 2014, 102, 48–54. [Google Scholar] [CrossRef]
- Gouveia, W.; Jorge, T.; Martins, S.; Meireles, M.; Carolino, M.; Cruz, C.; de Almeida, T.S.; Araújo, M. Toxicity of ionic liquids prepared from biomaterials. Chemosphere 2014, 104, 51–56. [Google Scholar] [CrossRef] [PubMed]
- Hou, X.-D.; Liu, Q.-P.; Smith, T.; Li, N.; Zong, M.-H. Evaluation of Toxicity and Biodegradability of Cholinium Amino Acids Ionic Liquids. PLoS ONE 2013, 8, e59145. [Google Scholar] [CrossRef]
- Petkovic, M.; Ferguson, J.L.; Gunaratne, H.Q.N.; Ferreira, R.; Leitão, M.C.; Seddon, K.R.; Rebelo, L.P.N.; Pereira, C.S. Novel biocompatible cholinium-based ionic liquids-toxicity and biodegradability. Green Chem. 2010, 12, 643–649. [Google Scholar] [CrossRef]
- Nockemann, P.; Thijs, B.; Driesen, K.; Janssen, C.; Van Hecke, K.; Van Meervelt, L.; Kossmann, S.; Kirchner, B.; Binnemans, K. Choline Saccharinate and Choline Acesulfamate: Ionic Liquids with Low Toxicities. J. Phys. Chem. B 2007, 111, 5254–5263. [Google Scholar] [CrossRef] [PubMed] [Green Version]
- Gupta, S.; Moulik, S.P. Biocompatible Microemulsions and Their Prospective Uses in Drug Delivery. J. Pharm. Sci. 2008, 97, 22–45. [Google Scholar] [CrossRef]
- He, Q.-X.; Tang, L.; Fu, T.; Shi, Y.-Q.; Wang, X.-L.; Wang, Y.-Z. Novel phosphorus-containing halogen-free ionic liquids: Effect of sulfonate anion size on physical properties, biocompatibility, and flame retardancy. RSC Adv. 2016, 6, 52485–52494. [Google Scholar] [CrossRef]
- Gomes, J.M.; Silva, S.S.; Reis, R.L. Biocompatible ionic liquids: Fundamental behaviours and applications. Chem. Soc. Rev. 2019, 48, 4317–4335. [Google Scholar] [CrossRef]
- Agostinho, D.A.S.; Jesus, A.R.; Silva, A.B.P.; Esperança, J.M.S.S.; Paiva, A.; Duarte, A.R.C.; Reis, P.M. Improvement of New Dianionic Ionic Liquids vs Monoanionic in Solubility of Poorly Water-Soluble Drugs. J. Pharm. Sci. 2021, 110, 2489–2500. [Google Scholar] [CrossRef] [PubMed]
- Agostinho, D.A.S.; Santos, F.; Esperança, J.M.S.S.; Duarte, A.R.C.; Reis, P.M. New non-toxic biocompatible dianionic ionic liquids that enhance solubility of oral drugs from BCS class II. J. Ionic Liq. 2021, 1, 100003. [Google Scholar] [CrossRef]
- Caparica, R.; Júlio, A.; Baby, A.R.; Araújo, M.E.M.; Fernandes, A.S.; Costa, J.G.; De Almeida, T.S. Choline-Amino Acid Ionic Liquids as Green Functional Excipients to Enhance Drug Solubility. Pharmaceutics 2018, 10, 288. [Google Scholar] [CrossRef] [Green Version]
- Júlio, A.; Antunes, C.; Mineiro, R.; Raposo, M.; Caparica, R.; Araújo, M.E.; Rosado, C.; Fonte, P.; De Almeida, T.S. Influence of two choline-based ionic liquids on the solubility of caffeine. J. Biomed. Biopharm. Res. 2018, 15, 96–102. [Google Scholar] [CrossRef]
- Blesic, M.; Swadźba-Kwaśny, M.; Belhocine, T.; Gunaratne, H.Q.N.; Lopes, J.N.C.; Gomes, M.F.C.; Pádua, A.A.H.; Seddon, K.R.; Rebelo, L.P.N. 1-Alkyl-3-methylimidazolium alkanesulfonate ionic liquids, [CnH2n+1mim][CkH2k+1SO3]: Synthesis and physicochemical properties. Phys. Chem. Chem. Phys. 2009, 11, 8939–8948. [Google Scholar] [CrossRef]
- Costa, A.J.L.; Soromenho, M.R.C.; Shimizu, K.; Marrucho, I.M.; Esperança, J.M.S.S.; Lopes, J.N.C.; Rebelo, L.P.N. Density, Thermal Expansion and Viscosity of Cholinium-Derived Ionic Liquids. ChemPhysChem 2012, 13, 1902–1909. [Google Scholar] [CrossRef]
- Maroń, A.; Czerwińska, K.; Machura, B.; Raposo, L.; Roma-Rodrigues, C.; Fernandes, A.R.; Małecki, J.G.; Szlapa-Kula, A.; Kula, S.; Krompiec, S. Spectroscopy, electrochemistry and antiproliferative properties of Au(iii), Pt(ii) and Cu(ii) complexes bearing modified 2,2′:6′,2′′-terpyridine ligands. Dalton Trans. 2018, 47, 6444–6463. [Google Scholar] [CrossRef] [PubMed]
- Žilnik, L.; Jazbinšek, A.; Hvala, A.; Vrečer, F.; Klamt, A. Solubility of sodium diclofenac in different solvents. Fluid Phase Equilibria 2007, 261, 140–145. [Google Scholar] [CrossRef]
- Somani, A.A.; Thelen, K.; Zheng, S.; Trame, M.N.; Coboeken, K.; Meyer, M.; Schnizler, K.; Ince, I.; Willmann, S.; Schmidt, S. Evaluation of changes in oral drug absorption in preterm and term neonates for Biopharmaceutics Classification System (BCS) class I and II compounds. Br. J. Clin. Pharmacol. 2015, 81, 137–147. [Google Scholar] [CrossRef] [Green Version]
- Chuasuwan, B.; Binjesoh, V.; Polli, J.; Zhang, H.; Amidon, G.; Junginger, H.; Midha, K.; Shah, V.; Stavchansky, S.; Dressman, J.; et al. Biowaiver Monographs for Immediate Release Solid Oral Dosage Forms: Diclofenac Sodium and Diclofenac Potassium. J. Pharm. Sci. 2009, 98, 1206–1219. [Google Scholar] [CrossRef] [PubMed]
- Avdeef, A.; Box, K.J.; Comer, J.E.A.; Hibbert, C.; Tam, K. pH-Metric logP 10. Determination of Liposomal Membrane-Water Partition Coefficients of lonizable Drugs. Pharm. Res. 1998, 15, 209–215. [Google Scholar] [CrossRef] [PubMed]











| System/Media | Log p |
|---|---|
| Paracetamol/water | 0.42 ± 0.02 |
| Sodium diclofenac/water | - |
| Paracetamol/ water + 1 mol% [C4Ch][C4SO3] | −0.35 ± 0.08 |
| Paracetamol/water + 1 mol% [C2Ch]2[SucAla] | −0.16 ± 0.06 |
| Paracetamol/water + 1 mol% [C5Ch]2[SucAla] | 0.004 ± 0.035 |
| Sodium diclofenac/water + 0.2 mol% [C4Ch][C1SO3] | 1.65 ± 0.03 |
| Sodium diclofenac/water + 0.2 mol% [C4Ch][C2SO3] | 1.58 ± 0.05 |
| Sodium diclofenac/water + 0.2 mol% [C2Ch]2[SucAla] | 1.03 ± 0.07 |
| Sodium diclofenac/water + 0.2 mol% [C5Ch]2[SucAla] | 2.19 ± 0.09 |
| Ils | IC50 (mM) |
|---|---|
| [C4Ch][C1SO3] | 29.5 ± 2 |
| [C4Ch][C2SO3] | 39.3 ± 3 |
| [C4Ch][C4SO3] | 19.7 ± 1.5 |
| [C5Ch][C4SO3] | 22.4 ± 2 |
| [C2Ch]2[SucAla] | >500 |
| [C5Ch]2[SucAla] | 10.7 ± 1 |
Publisher’s Note: MDPI stays neutral with regard to jurisdictional claims in published maps and institutional affiliations. |
© 2021 by the authors. Licensee MDPI, Basel, Switzerland. This article is an open access article distributed under the terms and conditions of the Creative Commons Attribution (CC BY) license (https://creativecommons.org/licenses/by/4.0/).
Share and Cite
Jesus, A.R.; Raposo, L.R.; Soromenho, M.R.C.; Agostinho, D.A.S.; Esperança, J.M.S.S.; Baptista, P.V.; Fernandes, A.R.; Reis, P.M. New Non-Toxic N-alkyl Cholinium-Based Ionic Liquids as Excipients to Improve the Solubility of Poorly Water-Soluble Drugs. Symmetry 2021, 13, 2053. https://doi.org/10.3390/sym13112053
Jesus AR, Raposo LR, Soromenho MRC, Agostinho DAS, Esperança JMSS, Baptista PV, Fernandes AR, Reis PM. New Non-Toxic N-alkyl Cholinium-Based Ionic Liquids as Excipients to Improve the Solubility of Poorly Water-Soluble Drugs. Symmetry. 2021; 13(11):2053. https://doi.org/10.3390/sym13112053
Chicago/Turabian StyleJesus, Ana R., Luís R. Raposo, Mário R. C. Soromenho, Daniela A. S. Agostinho, José M. S. S. Esperança, Pedro V. Baptista, Alexandra R. Fernandes, and Patrícia M. Reis. 2021. "New Non-Toxic N-alkyl Cholinium-Based Ionic Liquids as Excipients to Improve the Solubility of Poorly Water-Soluble Drugs" Symmetry 13, no. 11: 2053. https://doi.org/10.3390/sym13112053
APA StyleJesus, A. R., Raposo, L. R., Soromenho, M. R. C., Agostinho, D. A. S., Esperança, J. M. S. S., Baptista, P. V., Fernandes, A. R., & Reis, P. M. (2021). New Non-Toxic N-alkyl Cholinium-Based Ionic Liquids as Excipients to Improve the Solubility of Poorly Water-Soluble Drugs. Symmetry, 13(11), 2053. https://doi.org/10.3390/sym13112053

