Optimized Design for NB-LDPC-Coded High-Order CPM: Power and Iterative Efficiencies
Abstract
1. Introduction
2. System Description
3. Competitive CPM
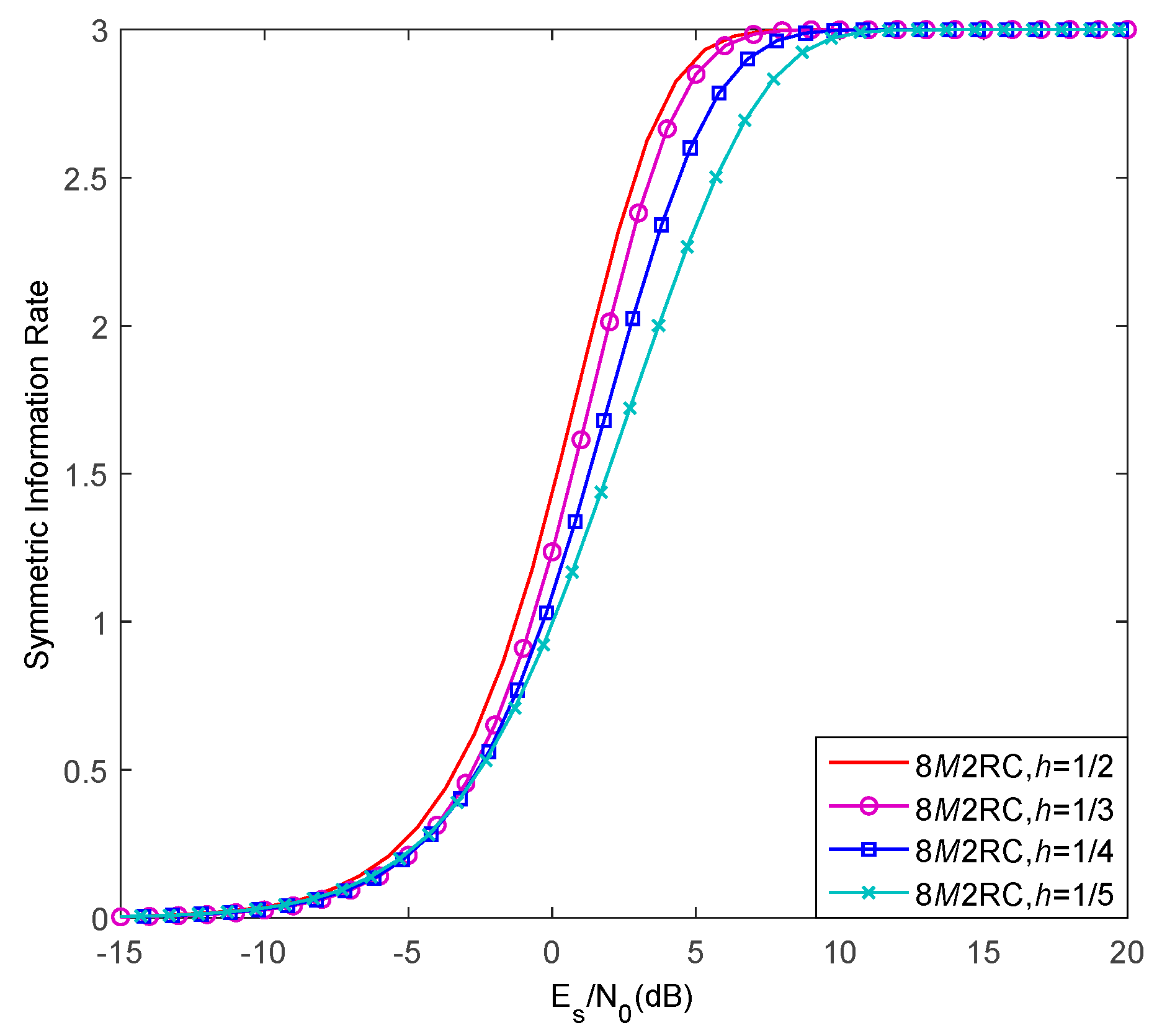
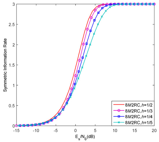
3.1. SIR
3.2. Design Criterion
4. Code Design and Advantages
4.1. EXIT Technique
4.2. NB-LDPC Code Design
- (1)
- Optimization of degree distribution based on binary parity-matrix using the EXIT technique. The NB-LDPC code has the same Tanner graph and degree distribution property as its corresponding binary representation, except for non-zero values; thus, the EXIT chart was used to explore a binary sparse matrix with acceptable degree distribution. Figure 5 provides the EXIT characteristics of different variable node (VN) and check node (CN) degrees.
- (2)
- Construction of a parity-check matrix with a large girth. After determining the degree distribution, the positions of non-zero elements in binary parity-check matrix must be ascertained. A girth optimization tool, called progressive edge growth [37], is adopted to avoid small circles and achieve good girth properties when using the BP-like algorithm on the Tanner graph.
- (3)
- Choice of non-zero elements over GF(Q). Generally, this step can be performed by substituting the “1” elements of with random non-zero elements over GF(Q), which can provide acceptable performance in most cases. Entropy theory, which is the appropriate measure for uncertainty, is introduced to improve the uncertainty or randomness of cycles located at the Tanner graph, which helps obtain a low error rate. First, the cycle-searching algorithm proposed in [38] is applied to search all small circles of with lengths l = 4, 6, and even 8 if necessary, and record the corresponding positions of non-zero elements in each circle. Next, a general method for constructing the NB-LDPC code is employed to randomly replace all the “1” elements of with non-zero elements of GF(Q). Eventually, the entropy of each previously recorded circle is calculated and maximized when each element takes various non-zero values over GF(Q), that is:where and denote the appearance times of in each circle with .
4.3. Additional Advantages
- (1)
- Each edge of the binary LDPC code in the Tanner graph carries bit messages, but the NB-LDPC code carries Q-ary symbol messages, thus, short girths are avoided in the Tanner graph. This reduces the influence of short girths and stopping set on decoding convergence. Therefore, the BP algorithm becomes closer to the maximum likelihood decoding algorithm. The NB-LDPC code, as an outer code in coded modulation systems, provides an alternative solution in enhancing BER performance in practical applications.
- (2)
- In comparison with the traditional BICM, the interleaver of the NB-LDPC-coded high-order CPM works at the symbol level, which always yields a lower convergence threshold than bit level. This advantage is rather significant in a serial concatenation [22].
- (3)
- As the NB-LDPC code and CPM select the uniform M-ary in the investigated systems, the symbol mapping issue that is likely to result in conversion information loss from bit to symbol may be ignored. This phenomenon usually occurs in the case of . Thus, more possible input code symbols exist between the current and next phase states in the trellis diagrams. For an example of the CPM scheme with 8M2RC using h = 1/2, the corresponding transfer diagram of the phase states using Gray and natural mappings is shown in Figure 7.
5. Positive Feedback Issue
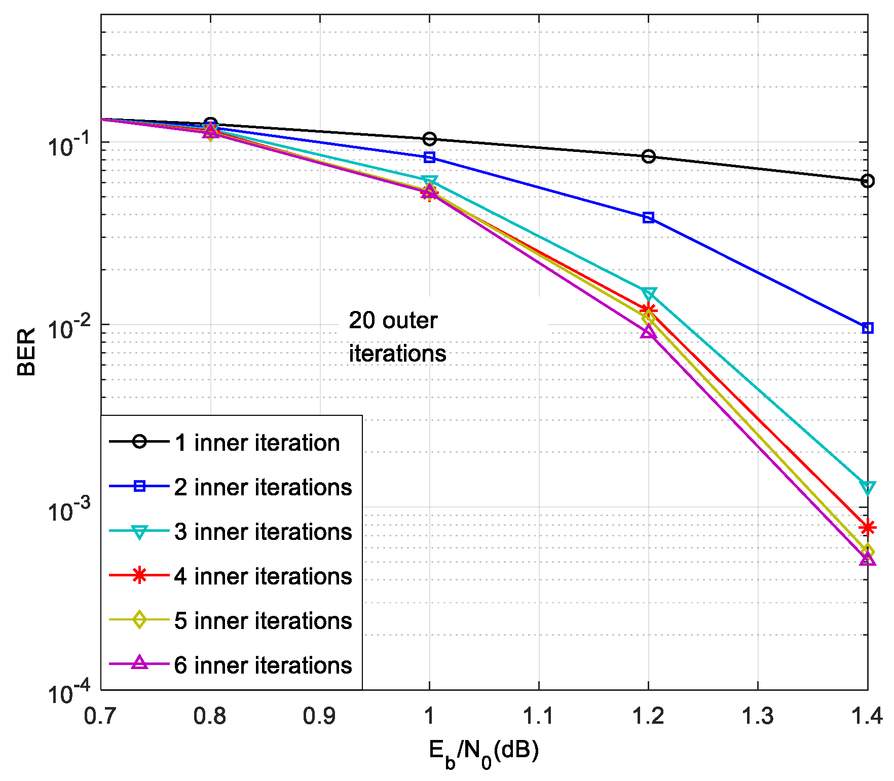
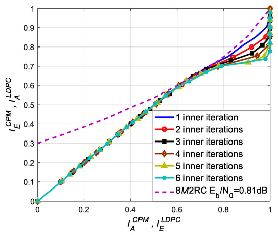
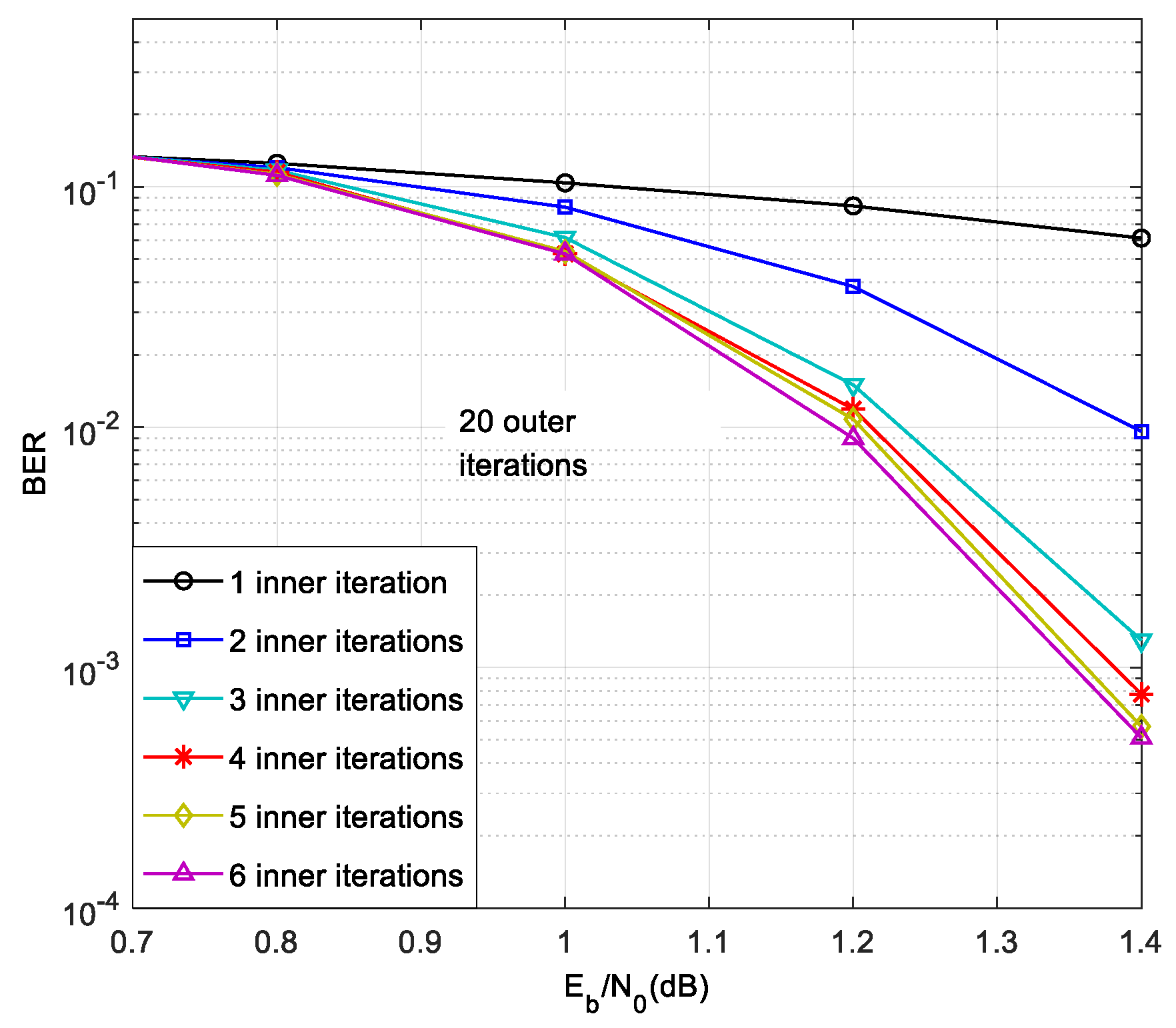
6. Optimization Design for Iterative Efficiency
7. Simulation Results
8. Conclusions
Author Contributions
Acknowledgments
Conflicts of Interest
References
- Wang, W.; Abeysekera, S.S. Joint data detection and channel estimation for coded and uncoded continuous phase modulation signals. Wirel. Commun. Mob. Comput. 2016, 16, 223–235. [Google Scholar] [CrossRef]
- Qi, J.W.; Makarov, S.B.; Liu, M.X.; Li, B.M.; Xue, W. Research on an Optimization Method for a Partially Responsive Continuous Phase Modulated (CPM) Signal Based on an Optimal Generic Function. Symmetry 2019, 11, 1114. [Google Scholar] [CrossRef]
- Xia, X.; Tang, Z.; Wei, J.; Zhou, Z. Spectrally Efficient Constant Envelope Modulation for GNSS Signals. Radioengineering 2018, 27, 813–818. [Google Scholar] [CrossRef]
- Xue, R.; Sun, Y.B.; Zhao, D.F. CPM Signals for Satellite Navigation in the S and C Bands. Sensors 2015, 15, 13184–13200. [Google Scholar] [CrossRef] [PubMed]
- Xue, R.; Cao, Q.M.; Wei, Q. A Flexible Modulation Scheme Design for C-Band GNSS Signals. Math. Probl. Eng. 2015, 7, 1–8. [Google Scholar] [CrossRef]
- Suffritti, R.; Lombardo, F.; Piemontese, A.; Coralli, A.V. Energy efficient CPM waveforms for satellite mesh networks. In Proceedings of the 2012 IEEE Global Communications Conference, Anaheim, CA, USA, 3–7 December 2012; pp. 3317–3321. [Google Scholar]
- Remlein, P. Energy efficient continuous phase modulation signals for satellite intelligent transportation systems. IET Circuits Devices Syst. 2014, 8, 3255–3259. [Google Scholar] [CrossRef]
- Amat, A.G.; Nour, C.A.; Douillard, C. Serially concatenated continuous phase modulation for satellite communications. IEEE Trans. Wirel. Commun. 2009, 8, 3260–3269. [Google Scholar] [CrossRef]
- Xue, R.; Yu, H.; Cheng, Q.L. Adaptive coded modulation based on continuous phase modulation for inter-satellite links of global navigation satellite systems. IEEE Access 2018, 6, 20652–20662. [Google Scholar] [CrossRef]
- Sha, N.; Chen, L.H.; Gao, Y.Y.; Guo, M.X. Serially Concatenated CPM in Two-Way Relay Channels with Physical-Layer Network Coding. IEICE Trans. Fundam. Electron. Commun. Comput. Sci. 2019, 102, 934–937. [Google Scholar] [CrossRef]
- Su, L.B.; Wang, N.Y.; Zhang, Y.N.; Xia, G.J.; Xue, Y.H.; Lv, J.K. Serially concatenated extended CPM scheme based on TDRSS. In Proceedings of the Journal of Physics: Conference Series, Chengdu, China, 13–15 December 2019. [Google Scholar]
- Norris, J.A.; Nieto, J.W. Quasi-coherent performance of convolutionally-coded continuous phase modulation. In Proceedings of the SPIE Defense, Security, and Sensing, Baltimore, MD, USA, 28 May 2013. [Google Scholar]
- Schuh, F.; Huber, J.B. Nonlinear Trellis Description for Convolutionally Encoded Transmission Over ISI-channels with Applications for CPM. In Proceedings of the 9th International ITG Conference on Systems, Communication and Coding, München, Germany, 21–24 January 2013. [Google Scholar]
- Alencar, R.R.M.D.; Landau, L.; Lamare, R.D. Continuous Phase Modulation With 1-Bit Quantization and Oversampling Using Iterative Detection and Decoding. In Proceedings of the Asilomar Conference on Signals, Systems, and Computers, Pacific Grove, CA, USA, 3–6 November 2019. [Google Scholar]
- Yan, Q.; Li, Q.; Luo, S.; Li, S.Q. Symbol-Spaced Turbo Frequency Domain Equalization for Precoded Continuous Phase Modulation. IEICE Trans. Commun. 2012, 6, 2065–2073. [Google Scholar] [CrossRef]
- Ngo, H.A.; Maunder, R.G.; Hanzo, L. Extrinsic Information Transfer Charts for Characterizing the Iterative Decoding Convergence of Fully Parallel Turbo Decoders. IEEE Access 2017, 3, 2100–2110. [Google Scholar] [CrossRef]
- Wang, D.D.; Sun, C.H.; Wang, L.Q.; Chen, X. Low complexity multi-level NB-QC-LDPC coded modulation scheme for optical communication systems. In Proceedings of the 17th International Conference on Optical Communications and Networks (ICOCN2018), Zhuhai, China, 16–19 November 2018. [Google Scholar]
- Yang, J.C.; Gao, J.P.; Liu, X.L. Code-aided carrier phase synchronization algorithm for non-binary LDPC-CPM system. In Proceedings of the Eleventh International Conference on Graphics and Image Processing (ICGIP 2019), Hangzhou, China, 12–14 October 2019. [Google Scholar]
- Benaddi, T.; Poulliat, C.; Boucheret, M.L.; Gadat, B.; Lesthievent, G. Asymptotic analysis and design of LDPC codes for laurent-based optimal and suboptimal CPM receivers. In Proceedings of the 2014 IEEE International Conference on Acoustics, Speech and Signal Processing (ICASSP), Florence, Italy, 4–9 May 2014. [Google Scholar]
- Foruhandeh, M.; Uysal, M.; Altunbas, I.; Guven, T.; Gercek, A. Optimal choice of transmission parameters for LDPC-Coded CPM. In Proceedings of the 2014 IEEE Military Communications Conference (MILCOM), Baltimore, MD, USA, 6–8 October 2014. [Google Scholar]
- Mostari, L.; Taleb-Ahmed, A. Non-Binary Serial Turbo LDPC Codes Combined with High Order Constellations. Pertanika J. Sci. Technol. 2019, 27, 33–47. [Google Scholar]
- Zhao, D.F.; Sun, Y.B.; Xue, R. Improved iterative convergence method in Q-ary LDPC coded high order PR-CPM. J. Syst. Eng. Electron. 2016, 27, 541–548. [Google Scholar] [CrossRef]
- Xue, R.; Xiao, C.L. Power and Bandwidth Efficient Q-ary LDPC Coded Partial Response Continuous Phase Modulation. In Proceedings of the 2012 8th International Conference on Wireless Communications, Networking and Mobile Computing, Shanghai, China, 21–23 September 2012. [Google Scholar]
- Benaddi, T.; Poulliat, C.; Boucheret, M.L.; Gadat, B.; Lesthievent, G. Design of Unstructured and Protograph-Based LDPC Coded Continuous Phase Modulation. In Proceedings of the 2014 IEEE International Symposium on Information Theory, Honolulu, HI, USA, 29 June–4 July 2014. [Google Scholar]
- Yu, Z.; Li, Q.Y.; Huang, L.; Dai, K.R.; Song, J. Optimal Design of Cascade LDPC-CPM System Based on Bionic Swarm Optimization Algorithm. IEEE Trans. Broadcasting 2018, 64, 762–770. [Google Scholar]
- Xu, Z.H.; Zhu, J.; Cheng, Q.; Zhang, Z.X. An iterative decoding scheme for CPM-QC-LDPC codes based on matrix transform. IEICE Trans. Commun. 2019, E102B, 496–509. [Google Scholar] [CrossRef]
- Rimoldi, B.E. A decomposition approach to CPM. IEEE Trans. Inf. Theory 1988, 34, 260–270. [Google Scholar] [CrossRef]
- Bentdetto, S.; Divsalar, D.; Montorsi, G.; Pollara, F. A soft-input soft-output APP module for iterative decoding of concatenated codes. IEEE Commun. Lett. 1997, 1, 22–24. [Google Scholar] [CrossRef]
- Wymeersch, H.; Steendam, H.; Moeneclaey, M. Log-domain decoding of LDPC codes over GF(q). In Proceedings of the 2004 IEEE International Conference on Communications, Paris, France, 20–24 June 2004. [Google Scholar]
- Song, H.; Cruz, J.R. Reduced-complexity decoding of Q-ary LDPC codes for magnetic recording. IEEE Trans. Magn. 2003, 39, 1081–1087. [Google Scholar] [CrossRef]
- Arnold, D.; Loeliger, H.A. On the information rate of binary-input channels with memory. In Proceedings of the IEEE International Conference on Communications, Helsinki, Finland, 11–14 June 2001. [Google Scholar]
- Pfister, H.D.; Soriaga, J.B.; Siegel, P.H. On the achievable information rates of finite state ISI channels. In Proceedings of the IEEE Global Telecommunications Conference, San Antonio, TX, USA, 25–29 November 2001. [Google Scholar]
- Arnold, D.M.; Loeliger, H.A.; Vontobel, P.O.; Kavcic, A.; Zeng, W. Simulation-Based Computation of Information Rates for Channels with Memory. IEEE Trans. Inf. Theory 2006, 52, 3498–3508. [Google Scholar] [CrossRef]
- Padmanabhan, K.; Ranganathan, S.; Sundaravaradhan, S.P.; Collins, O.M. General CPM and its capacity. In Proceedings of the International Symposium on Information Theory, Adelaide, SA, Australia, 4–9 September 2005. [Google Scholar]
- Brink, S.T. Convergence of iterative decoding. Electron. Lett. 1999, 35, 806–808. [Google Scholar] [CrossRef]
- Brink, S.T.; Kramer, G.; Ashikhmin, A. Design of low-density parity-check codes for modulation and detection. IEEE Trans. Commun. 2004, 52, 670–678. [Google Scholar] [CrossRef]
- Hu, X.Y.; Eleftheriou, E.; Arnold, D.M. Regular and irregular progressive edge-growth tanner graphs. IEEE Trans. Inf. Theory 2005, 51, 386–398. [Google Scholar] [CrossRef]
- Fan, J.; Xiao, Y. A method of counting the number of cycles in LDPC codes. In Proceedings of the 2006 8th International Conference on Signal Processing, Beijing, China, 16–20 November 2006. [Google Scholar]













| h | 4M1REC | 4M1RC | 8M1REC | 8M1RC |
| 1/5 | ||||
| 1/4 | ||||
| 1/3 | ||||
| 2/5 | ||||
| 1/2 | ||||
| 3/5 | ||||
| 2/3 | ||||
| 3/4 | ||||
| 4/5 | ||||
| h | 4M2REC | 4M2RC | 8M2REC | 8M2RC |
| 1/5 | ||||
| 1/4 | ||||
| 1/3 | ||||
| 2/5 | ||||
| 1/2 | ||||
| 3/5 | ||||
| 2/3 | ||||
| 3/4 | ||||
| 4/5 |
© 2020 by the authors. Licensee MDPI, Basel, Switzerland. This article is an open access article distributed under the terms and conditions of the Creative Commons Attribution (CC BY) license (http://creativecommons.org/licenses/by/4.0/).
Share and Cite
Xue, R.; Wang, T.; Sun, Y.; Tang, H. Optimized Design for NB-LDPC-Coded High-Order CPM: Power and Iterative Efficiencies. Symmetry 2020, 12, 1353. https://doi.org/10.3390/sym12081353
Xue R, Wang T, Sun Y, Tang H. Optimized Design for NB-LDPC-Coded High-Order CPM: Power and Iterative Efficiencies. Symmetry. 2020; 12(8):1353. https://doi.org/10.3390/sym12081353
Chicago/Turabian StyleXue, Rui, Tong Wang, Yanbo Sun, and Huaiyu Tang. 2020. "Optimized Design for NB-LDPC-Coded High-Order CPM: Power and Iterative Efficiencies" Symmetry 12, no. 8: 1353. https://doi.org/10.3390/sym12081353
APA StyleXue, R., Wang, T., Sun, Y., & Tang, H. (2020). Optimized Design for NB-LDPC-Coded High-Order CPM: Power and Iterative Efficiencies. Symmetry, 12(8), 1353. https://doi.org/10.3390/sym12081353
