Research on Shear Behavior and Crack Evolution of Symmetrical Discontinuous Rock Joints Based on FEM-CZM
Abstract
1. Introduction
2. FEM-CZM Simulation of Rock Shear
2.1. Initial Linear Elastic Traction-Displacement
2.2. Linear Damage Stage of Cohesive Element
2.3. Cohesive Element Inserting Process
3. Model Establishment
3.1. Parameters Determination
3.2. Model Establishment
4. Simulation Results and Analysis
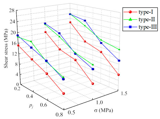
4.1. Influence of Joint Distribution on Shear Resistance
4.2. Effect of Joint Persistence on Shear Resistance
4.3. Crack Evolution Analysis
5. Conclusions
- (1)
- The shearing process can be divided into four stages: elastic stage, strengthening stage, plastic stage, and residual stress stage. In the stress-strain curve, the residual stress stage of type-II has a higher slope, which shows that the type-II has more brittleness and the type-I has higher plasticity. At the same time, with the decrease of joint persistence, the specimen turns more brittle, and the joint shear is closer to the direct shear test of intact rock.
- (2)
- Under the same conditions, the specimen in the type-I is more likely to produce an unbalanced moment around the centroid of the specimen, which causes the opposite ends of the specimen to produce vertical displacements in opposite directions. Due to the strengthening effect of the rock bridge, the vertical displacement on the side away from the loading site is smaller, and as a result, the overall displacement field of the specimen is not simply center-symmetric. At the same time, the distribution of rock bridges in type-II is more dispersed, providing more reinforcement for the joints, and the specimens are subjected to lower dilatancy.
- (3)
- The crack propagation process can be divided into three stages: crack initiation stage, crack evolution stage, and final failure stage. Under the load, the joint tips are prone to stress concentration, where the cohesive elements accumulate more fracture energy and reach the damage evolution stage faster. Initial cracks always start from the joint ends. Affected by the unbalanced moment, more tensile cracks are generated in type-I, while the type-II and type-III penetrated cracks are all shear cracks, and the cracks mainly propagate along the rock bridge.
Author Contributions
Funding
Conflicts of Interest
References
- Singh, H.K.; Basu, A. A comparison between the shear behavior of ‘real’ natural rock discontinuities and their replicas. Rock Mech. Rock Eng. 2018, 51, 329–340. [Google Scholar] [CrossRef]
- Niktabar, S.M.; Rao, K.S.; Seshagiri, R.; Shrivastava, A.K. Effect of rock joint roughness on its cyclic shear behavior. J. Rock Mech. Geotech. Eng. 2017, 9, 1071–1084. [Google Scholar] [CrossRef]
- Li, L.; Chen, D.; Li, S.; Shi, S.; Zhang, M. Numerical analysis and fluid-solid coupling model test of filling-type fracture water inrush and mud gush. Geomech. Eng. 2017, 13, 1011–1025. [Google Scholar]
- Wang, G.; Han, W.; Jiang, Y.; Luan, H.; Wang, K. Coupling analysis for rock mass supported with CMC or CFC rockbolts based on viscoelastic method. Rock Mech. Rock Eng. 2019, 52, 4565–4588. [Google Scholar] [CrossRef]
- Li, L.; Sun, S.; Wang, J.; Yang, W.; Fang, Z. Experimental study of the precursor information of the water inrush in shield tunnels due to the proximity of a water-filled cave. Int. J. Rock Mech. Min. Sci. 2020, 130, 104320. [Google Scholar] [CrossRef]
- Lin, H.; Ding, X.; Yong, R.; Xu, W. Effect of discontinuous joints distribution on shear behavior. C. R. Mec. 2019, 347, 477–489. [Google Scholar] [CrossRef]
- Chang, L.; Konietzky, H.; Frühwirt, T. Strength Anisotropy of Rock with Crossing Joints: Results of Physical and Numerical Modeling with Gypsum Models. Rock Mech. Rock Eng. 2019, 52, 2293–2317. [Google Scholar] [CrossRef]
- Guo, S.; Zhou, W.S.; Li, Y.; Jian, C. DDARF analysis on shear tests of jointed rock mass. Appl. Mech. Mate. 2013, 353, 507–510. [Google Scholar] [CrossRef]
- Yang, J.; Rong, G.; Cheng, L.; Hou, D.; Peng, J. Experimental study on peak shear strength of rock joints. Rock Mech. Rock Eng. 2015, 49, 821–835. [Google Scholar] [CrossRef]
- Bahrani, N.; Peter, K.; Valley, B. Distinct element method simulation of an analogue for a highly interlocked, non-persistently jointed rockmass. Int. J. Rock Mech. Min. Sci. 2014, 71, 117–130. [Google Scholar] [CrossRef]
- Pariseau, W.G.; Puri, S.; Schmelter, S.C. A new model for effects of impersistent joint sets on rock slope stability. Int. J. Rock Mech. Min. Sci. 2008, 45, 122–131. [Google Scholar] [CrossRef]
- Lajtai, E.Z. Shear strength of weakness planes in rock. Int. J. Rock Mech. Min. Sci. Geomech. Abs. 1969, 6, 499–515. [Google Scholar] [CrossRef]
- Stimpson, B. Failure of slopes containing discontinuous planar points. In 19th U.S. Symposium on Rock Mechanics (USRMS); American Rock Mechanics Association: Reno, NE, USA, 1978. [Google Scholar]
- Yang, X.; Qiao, W. Numerical investigation of the shear behavior of granite materials containing discontinuous joints by utilizing the flat-joint model. Comput. Geotech. 2018, 104, 69–80. [Google Scholar] [CrossRef]
- Lisjak, A.; Grasselli, G. A review of discrete modeling techniques for fracturing processes in discontinuous rock masses. J. Rock Mech. Geotech. Eng. 2014, 6, 301–314. [Google Scholar] [CrossRef]
- Han, W.; Li, G.; Sun, Z.; Luan, H. Numerical investigation of a foundation pit supported by a composite soil nailing structure. Symmetry 2020, 12, 252. [Google Scholar] [CrossRef]
- Wang, C.; Jiang, Y.; Liu, R.; Wang, C.; Zhang, Z.; Sugimoto, S. Experimental Study of the Nonlinear Flow Characteristics of Fluid in 3D Rough-Walled Fractures During Shear Process. Rock Mech. Rock Eng. 2020, 53, 2581–2604. [Google Scholar] [CrossRef]
- Jing, L.; Hudson, J.A. Numerical methods in rock mechanics. Int. J. Rock Mech. Min. Sci. 2002, 39, 409–427. [Google Scholar] [CrossRef]
- Li, L.; Sun, S.; Wang, J. Development of compound EPB shield model test system for studying the water inrushes in karst regions. Tunn. Undergr. Space Technol. 2020, 101, 103404. [Google Scholar] [CrossRef]
- Song, S.; Li, S.; Li, L. Model test study on vibration blasting of large cross-section tunnel with small clearance in horizontal stratified surrounding rock. Tunn. Undergr. Space Technol. 2019, 92, 103013. [Google Scholar] [CrossRef]
- Potyondy, D.O.; Cundall, P.A.; Lee, C.A. Modelling rock using bonded assemblies of circular particles. In 2nd North American Rock Mechanics Symposium; American Rock Mechanics Association: Montreal, QC, Cananda, 1996. [Google Scholar]
- Potyondy, D.O.; Cundall, P.A. A bonded-particle model for rock. Int. J. Rock Mech. Min. Sci. 2004, 41, 1329–1364. [Google Scholar] [CrossRef]
- Hazzard, J.F.; Collins, D.S.; Pettitt, W.S.; Young, R.P. Simulation of unstable fault slip in granite using a bonded-particle model. Pure Appl. Geophys. 2002, 159, 221–245. [Google Scholar] [CrossRef]
- Wang, X.; Yuan, W.; Yan, Y.; Zhang, X. Scale effect of mechanical properties of jointed rock mass: A numerical study based on particle flow code. Geomech. Eng. 2020, 21, 259–268. [Google Scholar]
- Zhang, Y.; Wang, G.; Jiang, Y.; Wang, S.; Zhao, H.; Jing, W. Acoustic emission characteristics and failure mechanism of fractured rock under different loading rates. Shock. Vib. 2017, 2017, 5387459. [Google Scholar] [CrossRef]
- Zhao, Z. Gouge particle evolution in a rock fracture undergoing shear: A microscopic DEM study. Rock Mech. Rock Eng. 2013, 46, 1461–1479. [Google Scholar] [CrossRef]
- Liu, S.Y. Simulation of high-speed scratching process of marble based on finite element/discrete element coupling method. Diam. Abr. Eng. 2019, 1, 18. [Google Scholar]
- Cho, S.H.; Ogata, Y.; Kaneko, K. Strain-rate dependency of the dynamic tensile strength of rock. Int. J. Rock Mech. Min. Sci. 2003, 40, 763–777. [Google Scholar] [CrossRef]
- Dong, S.; Wang, Y.; Xia, Y. A finite element analysis for using brazilian disk in split hopkinson pressure bar to investigate dynamic fracture behavior of brittle polymer materials. Polym. Test. 2006, 25, 943–952. [Google Scholar] [CrossRef]
- Hao, Y.; Hao, H. Finite element modelling of mesoscale concrete material in dynamic splitting test. Adv. Struct. Eng. 2016, 19, 1027–1039. [Google Scholar] [CrossRef]
- Wu, Z.; Cui, W.; Fan, L.; Liu, Q. Mesomechanism of the dynamic tensile fracture and fragmentation behaviour of concrete with heterogeneous mesostructured. Constr. Build. Mater. 2019, 217, 573–591. [Google Scholar] [CrossRef]
- Zhou, X.P.; Yang, H.Q. Multiscale numerical modeling of evolution and coalescence of multiple cracks in rock masses. Int. J. Rock Mech. Min. Sci. 2012, 55, 15–27. [Google Scholar] [CrossRef]
- Khosravani, M.R.; Silani, M.; Weinberg, K. Fracture studies of ultra-high performance concrete using dynamic Brazilian tests. Theor. Appl. Fract. Mech. 2018, 93, 302–310. [Google Scholar] [CrossRef]
- Strouboulis, T.; Copps, K.; Ka, I.B. The generalized finite element method: An example of its implementation and illustration of its performance. Int. J. Numer. Methods Eng. 2000, 47, 1401–1417. [Google Scholar] [CrossRef]
- Fan, L.F.; Wu, Z.J.; Wan, Z.; Gao, J.W. Experimental investigation of thermal effects on dynamic behavior of granite. Appl. Therm. Eng. 2017, 125, 94–103. [Google Scholar] [CrossRef]
- Munjiza, A. The Combined Finite-Discrete Element Method; John Wiley & Sons: Hoboken, NJ, USA, 2004. [Google Scholar] [CrossRef]
- Lisjak, A.; Figi, D.; Grasselli, G. Fracture development around deep underground excavations: Insights from FDEM modelling. J. Rock Mech. Geol. Eng. 2014, 6, 493–505. [Google Scholar] [CrossRef]
- Lisjak, A.; Garitte, B.; Grasselli, G.; Muller, H.; Vietor, T. The excavation of a circular tunnel in a bedded argillaceous rock (Opalinus Clay): Short-term rock mass response and FDEM numerical analysis. Tunn. Undergr. Space. Technol. 2015, 45, 227–248. [Google Scholar] [CrossRef]
- Tatone, B.; Lisjak, A.; Mahabadi, O.; Vlachopoulos, N. Incorporating Rock Reinforcement Elements into Numerical Analyses Based on the Hybrid Finite-Discrete Element Method (FDEM); International Society of Rock Mechanics: Montreal, QC, Cananda, 2015. [Google Scholar] [CrossRef]
- Mahabadi, O.; Lisjak, A. Application of FEMDEM to analyze fractured rock masses. Int. Dis. Frac. Network. Eng. Conf. 2014. [Google Scholar] [CrossRef]
- Dugdale, D.S. Yielding of steel sheets containing slits. J. Mech. Phys. Solids 1960, 8, 100–104. [Google Scholar] [CrossRef]
- Barenblatt, G.I. The mechanical theory of equilibrium cracks in brittle fracture. Adv. Appl. Mech. 1962, 7, 55–129. [Google Scholar]
- Su, X.T.; Yang, Z.; Liu, G. Monte Carlo simulation of complex cohesive fracture in random heterogeneous quasi-brittle materials. Int. J. Sol. Struct. 2009, 46, 3222–3234. [Google Scholar]
- Jiang, H.; Meng, D. 3D numerical modelling of rock fracture with a hybrid finite and cohesive element method. Eng. Fract. Mech. 2018, 199, 280–293. [Google Scholar] [CrossRef]
- Chang, X.; Guo, T.; Zhang, S. Cracking behaviours of layered specimen with an interface crack in Brazilian tests. Eng. Fract. Mech. 2020, 228, 106904. [Google Scholar] [CrossRef]
- Haddad, M.; Sepehrnoori, K. XFEM-Based CZM for the Simulation of 3D Multiple-Stage Hydraulic Fracturing in Quasi-Brittle Shale Formations. Rock Mech. Rock Eng. 2016, 49, 4731–4748. [Google Scholar] [CrossRef]
- Zhang, S.; Wang, G.; Jiang, Y. Study on Shear Mechanism of Bolted Jointed Rocks: Experiments and CZM-Based FEM Simulations. Appl. Sci. 2019, 10, 62. [Google Scholar] [CrossRef]
- Han, W.; Jiang, Y.; Luan, H.; Du, Y.; Zhu, Y.; Liu, J. Numerical investigation on the shear behavior of rock-like materials containing fissure-holes with FEM-CZM method. Comput. Geotech. 2020, 125, 103670. [Google Scholar] [CrossRef]
- Park, K.; Paulino, G.H. Cohesive zone models: A critical review of traction-separation relationships across fracture surfaces. Appl. Mech. Rev. 2011, 64, 060802. [Google Scholar] [CrossRef]
- Cong, Y. Experimental study on shear strength of concrete. Concrete 2015, 5, 40–45. [Google Scholar]
- Alfano, G. On the influence of the shape of the interface law on the application of cohesive-zone models. Compos. Sci. Technol. 2006, 66, 723–730. [Google Scholar] [CrossRef]
- Du, Y.; Li, T.; Li, W.; Ren, Y. Experimental study of mechanical and permeability behaviors during the failure of sandstone containing two preexisting fissures under triaxial compression. Rock Mech. Rock Eng. 2020, 53, 3673–3697. [Google Scholar] [CrossRef]
- Basu, A.; Mishra, D.A.; Roychowdhury, K. Rock failure modes under uniaxial compression, brazilian, and point load tests. Bull. Eng. Geol. Environ. 2013, 72, 457–475. [Google Scholar] [CrossRef]
















| Materials | Parameters | Value |
|---|---|---|
| Solid element | Density (kg·m−3) | 2.5 × 10 3 |
| Young’s modulus (GPa) | 15 | |
| Poisson’s ratio | 0.3 | |
| Cohesive element | Initial tensile stiffness (GPa·m−1) | 15 |
| Initial shear stiffness (GPa·m−1) | 5.28 | |
| Normal traction force (MPa) | 6 | |
| Tangential traction force (MPa) | 22 | |
| Model-I fracture energy (N·mm−1) | 6 × 10−2 | |
| Model-II fracture energy (N·mm−1) | 1.65 × 10−1 | |
| Loading plate | Density (kg·m−3) | 7.8 × 10 3 |
| Young’s modulus (GPa) | 2.1 × 10 2 | |
| Poisson’s ratio | 0.3 |
© 2020 by the authors. Licensee MDPI, Basel, Switzerland. This article is an open access article distributed under the terms and conditions of the Creative Commons Attribution (CC BY) license (http://creativecommons.org/licenses/by/4.0/).
Share and Cite
Wu, X.; Wang, G.; Li, G.; Han, W.; Sun, S.; Zhang, S.; Bi, W. Research on Shear Behavior and Crack Evolution of Symmetrical Discontinuous Rock Joints Based on FEM-CZM. Symmetry 2020, 12, 1314. https://doi.org/10.3390/sym12081314
Wu X, Wang G, Li G, Han W, Sun S, Zhang S, Bi W. Research on Shear Behavior and Crack Evolution of Symmetrical Discontinuous Rock Joints Based on FEM-CZM. Symmetry. 2020; 12(8):1314. https://doi.org/10.3390/sym12081314
Chicago/Turabian StyleWu, Xianlong, Gang Wang, Genxiao Li, Wei Han, Shangqu Sun, Shubo Zhang, and Wangliang Bi. 2020. "Research on Shear Behavior and Crack Evolution of Symmetrical Discontinuous Rock Joints Based on FEM-CZM" Symmetry 12, no. 8: 1314. https://doi.org/10.3390/sym12081314
APA StyleWu, X., Wang, G., Li, G., Han, W., Sun, S., Zhang, S., & Bi, W. (2020). Research on Shear Behavior and Crack Evolution of Symmetrical Discontinuous Rock Joints Based on FEM-CZM. Symmetry, 12(8), 1314. https://doi.org/10.3390/sym12081314

