Next Article in Journal
A Novel Extension of the TOPSIS Method Adapted for the Use of Single-Valued Neutrosophic Sets and Hamming Distance for E-Commerce Development Strategies Selection
Next Article in Special Issue
Nucleon Polarizabilities and Compton Scattering as Playground for Chiral Perturbation Theory
Previous Article in Journal
Animated Character Style Investigation with Decision Tree Classification
Previous Article in Special Issue
Unitarization Technics in Hadron Physics with Historical Remarks
 
 
Font Type:
Arial Georgia Verdana
Font Size:
Aa Aa Aa
Line Spacing:
Column Width:
Background:
Review

Chiral Perturbation Theory at NNNLO

by
Nils Hermansson-Truedsson
Institute for Theoretical Physics, Albert Einstein Center for Fundamental Physics, Universität Bern, Sidlerstrasse 5, 3012 Bern, Switzerland
Symmetry 2020, 12(8), 1262; https://doi.org/10.3390/sym12081262
Submission received: 30 May 2020 / Revised: 8 July 2020 / Accepted: 13 July 2020 / Published: 30 July 2020

Abstract

Chiral perturbation theory is a much successful effective field theory of quantum chromodynamics at low energies. The effective Lagrangian is constructed systematically order by order in powers of the momentum p 2 , and until now the leading order (LO), next-to leading order (NLO), next-to-next-to leading order (NNLO) and next-to-next-to-next-to leading order (NNNLO) have been studied. In the following review we consider the construction of the Lagrangian and in particular focus on the NNNLO case. We in addition review and discuss the pion mass and decay constant at the same order, which are fundamental quantities to study for chiral perturbation theory. Due to the large number of terms in the Lagrangian and hence low energy constants arising at NNNLO, some remarks are made about the predictivity of this effective field theory.

1. Introduction

The strong force of nature is described by Quantum Chromodynamics (QCD), a quantum field theory whose degrees of freedom are the fundamental quarks and gluons. These particles are not observable, but confined in composite particles known as hadrons. The hadrons are divided into classes depending on their quark content, and in the following we shall be concerned with the mesons, i.e., bound states of a quark and an antiquark. The mesons of relevance here are the pions, the kaons and the eta meson. At low energies QCD is non-perturbative, i.e., it is not possible to calculate observables systematically order by order in the strong coupling constant α s . However, chiral perturbation theory (ChPT) [1,2,3] is an effective field theory (EFT) of QCD valid at low energies that describes the interactions of mesons. The systematic expansion is done in powers of the momentum p 2 and is expected to hold up to energy scales on the order of 1 GeV. Systematic is here a keyword, since one may improve the precision in a calculation by increasing the number of terms in the expansion. However, each order comes with increased computational complexity and for a prediction requires the knowledge of certain low energy constants (LECs). In the following we shall review the current status of this expansion.
The construction of ChPT is based on the approximate chiral symmetry of QCD,
S U ( N f ) L × S U ( N f ) R ,
which holds in the massless quark limit for N f quarks. The physically relevant cases are N f = 2 when one considers only the up and down quarks, and N f = 3 when also the strange quark is included. In particular, one exploits the spontaneous breaking of the chiral symmetry from a non-vanishing quark–antiquark condensate q ¯ q 0 , i.e.,
S U ( N f ) L × S U ( N f ) R S U ( N f ) V ,
and builds an effective Lagrangian L χ from this. The Lagrangian is Lorentz invariant and also satisfies the discrete symmetries of the QCD Lagrangian. The operators of the Lagrangian are constructed from building blocks containing the N f 2 1 lightest pseudoscalar mesons and external source fields, as will be explained in the next section. For the two-flavor case the mesonic degrees of freedom are the pions π ± and π 0 , whereas for three flavors one has also the kaons and the eta, namely K ± , K 0 , K ¯ 0 and η .
The Lagrangian is written down order by order in powers of p 2 and can therefore be written as
L χ = n = 1 L 2 n ,
where each Lagrangian L 2 n has the form
L 2 n = i = 1 N 2 n c i ( 2 n ) O i ( 2 n ) .
The N 2 n so-called monomials have here been denoted O i ( 2 n ) and are of chiral order p 2 n . The coefficients c i ( 2 n ) are the LECs referred to earlier. As can be seen, each order introduces new LECs and in order to make numerical predictions one needs to know these coefficients. This is discussed further in the next section.
The leading order (LO) and next-to leading order (NLO) Lagrangians have been known for a long time [1,2,3]. The next-to-next-to leading order (NNLO) Lagrangian was derived some time later [4,5]. It was, however, not until recently that the next-to-next-to-next-to leading order (NNNLO) Lagrangian was derived [6] and calculations at this order were started [7]. These references only consider the non-anomalous sector. The anomalous NLO case was considered in [8,9], and NNLO in [10,11]. The anomalous NNNLO Lagrangian has so far not been considered.
In the following we shall review the current status of ChPT at NNNLO, but due to the scarce literature this review will focus on the construction of the Lagrangian and the pion mass and decay constant at NNNLO. In Section 2 the building blocks for the effective chiral Lagrangian are discussed, in particular their transformation properties under the imposed symmetries. The general ideas behind the construction of the Lagrangian are also presented, and the number of terms at NNNLO is discussed. In Section 3 the pion mass and decay constant up to NNNLO in ChPT are introduced and discussed. In addition, minor remarks about the prospect for future NNNLO calculations are made.

2. Constructing the Effective Lagrangian

In constructing the effective chiral Lagrangian at an order p 2 n , one has to start from the spontaneous breakdown of the chiral symmetry, i.e., G H where G = S U ( N f ) L × S U ( N f ) R and H = S U ( N f ) V . In this symmetry breaking N f 2 1 generators of G are broken, and by virtue of Goldstone’s theorem there are N f 2 1 associated Goldstone bosons. For ChPT these are the N f 2 1 lightest pseudoscalar mesons. They are associated to the elements in the coset space G / H [12]. A detailed discussion of this correspondence will here be left out as it is not of central importance. The most important observation is, however, that there is choice in how to represent the Goldstone bosons and one can write down L 2 n in any such basis. The physical predictions are of course the same.
Each basis is defined in terms of building blocks that contain the meson fields as well as external fields, and when constructing the Lagrangian one should combine these buildings blocks to construct the basis monomials (For notational convenience, we hereby refer to the O i ( 2 n ) as monomials rather than operators. The reason is that operators constructed from the chiral symmetry not necessarily satisfy the other symmetries and therefore need to be linearly added in order to do so.) invariant under all imposed symmetries. For QCD this means chiral symmetry, Lorentz invariance as well as hermitian conjugation ( H . C . ), parity ( P ) and charge conjugation ( C ). The key in constructing the Lagrangian is thus to analyze how the building blocks transform under G, and bearing in mind their respective scalings with p 2 .
Let us next consider how to construct the effective Lagrangian in some detail. Denote a general group element in G as ( g L , g R ) and in addition let h H . The meson fields are included in the building blocks u and U = u 2 transforming under G as
O p 0 : u g R u h = h u g L , O p 0 : U g R U g L .
It has here been indicated that both scale as p 0 in the chiral counting. As an example of how the meson fields enter, the matrix U can be written in an exponential parameterization according to U = exp { i T a ϕ a / F } , where T a are S U ( N f ) generators and the meson fields are denoted ϕ a . One may therefore write
N f = 3 : T a ϕ a = π 0 + 1 3 η 2 π + 2 K + 2 π π 0 + 1 3 η 2 K 0 2 K 2 K ¯ 0 2 3 η ,
and
N f = 2 : T a ϕ a = π 0 2 π + 2 π π 0 .
The external fields used to construct building blocks are scalar (s), pseudoscalar (p), vector ( v μ ) and axial vector ( a μ ), respectively. These are combined into
O p 2 : χ = 2 B ( s + i p ) g R χ g L , O p : μ = v μ a μ g L μ g L i μ g L g L , O p : r μ = v μ + a μ g R r μ g R i μ g R g R ,
where B = q ¯ q / N f F 2 is a constant depending on the pion decay constant F. One may further define field strength tensors via μ and r μ , but these depend on the basis. For the moment, let us consider the canonical choice of [2,3] for the construction of the NLO Lagrangian. This choice will in the following be called the U basis. There one has
O p 2 : F L μ ν μ ν ν μ i μ , ν g L F L μ ν g L , O p 2 : F R μ ν μ r ν ν r μ i r μ , r ν g R F R μ ν g R .
The discrete transformation properties of the U basis building blocks are shown in Table 1.
In addition to the above field strength tensors one also introduces the covariant derivative acting on an operator O constructed from the building blocks in the U basis according to
D μ O = μ O i r μ O + i O μ , O g R O g L , μ O i μ O + i O r μ , O g L O g R , μ O i r μ O + i O r μ , O g R O g R , μ O i μ O + i O μ , O g L O g L .
The covariant derivative has chiral order p and as can be seen transforms differently under G depending on the operator O. As will be discussed further below, this requires special consideration for the generation of chirally invariant monomials including D μ , which in particular is something that one may want to avoid for higher order Lagrangians.
Knowing the building blocks in (5)–(9), it is now possible to derive the various chiral Lagrangians. The steps in doing so are
1.
Write down all possible operators satisfying chiral symmetry and Lorentz invariance,
2.
Create linear combinations of these operators into monomials such that H . C . , C and P are satisfied,
3.
Eliminate equivalent monomials which are related by certain operator identities.
The first point is done by combining the building blocks for a given chiral p 2 n in all possible ways. In practice this means taking flavor space traces of, and products of traces, of products of building blocks. The resulting structures do not necessarily satisfy the discrete symmetries, and one must in general create linear combinations of the generated operators, i.e., the second step is required, and monomials satisfying the discrete symmetries are obtained. The final remark here is particularly important. Following the first two steps one creates an initial number, N 2 n 0 , say, of monomials. However, these monomials can be related via a set of relations, which for ChPT up to NNNLO are
1.
LO equations of motion, or, equivalently, field redefinitions [11,13],
2.
Integration by parts (IBP) identities,
3.
The Bianchi identity,
4.
Specific operator identities such as commutation relations of covariant derivatives,
5.
N f –specific relations from the Cayley–Hamilton theorem.
Beyond NNNLO, one will also have to include other relations. An example is the so-called Schouten identity [14], stating that it is impossible to create a completely antisymmetric tensor with more indices than the number of dimensions (At NNNLO one can in principle have up to eight Lorentz indices. However, due to Lorentz invariance, there can be no more than four independent indices. As a consequence, in four dimensions the Schouten identity only gives monomial relations starting from order p 10 ). The relations will for simplicity not be discussed in detail here, but are reviewed thoroughly in [6]. Each of them is linear, and together the linear equations form a system of linear equations. This can be written
0 = R O ( 2 n ) ,
where R is a matrix of coefficients which when acting on the vector O ( 2 n ) of N 2 n 0 monomials O i ( 2 n ) gives N rel relations. In other words, the matrix has size N rel × N 2 n 0 . Each relation gives the option to replace one monomial by a linear combination of the others, i.e., N 2 n N 2 n 0 . The specific relations are, however, not necessarily independent. Therefore, one has to find a set of linearly independent relations and for this purpose one can use Gaussian elimination in (11). It follows that
N 2 n = N 2 n 0 rank ( R ) ,
and from here a minimal basis is obtained, i.e., the number of LECs and hence monomials has been minimized. In case this minimization is not performed, the number of redundant operators may be very large. For instance, at NNNLO the basis for a general N f shrinks from N 2 n 0 10 , 000 to N 2 n 2000 (see the next section). However, the LECs in such a basis of course combine such that only linear combinations corresponding to the LECs in the minimal basis appear.
An important point regarding the minimality of the operator basis must also be made. It is in general hard to know that a minimal basis has been obtained and the above method works as long as all relations are known. It also provides a computationally straightforward way of attacking the problem. One method guaranteed to find a minimal basis is based on constructing all possible Green’s functions in order to determine LECs. This is discussed in [15] for the NNLO Lagrangian. A final point to make here is that it also is possible to use a so-called Hilbert series approach, see [16], but this will not be discussed further in this review as it has not been applied at NNNLO. Naturally, all approaches must give the same number.

2.1. The Lagrangians of Chiral Perturbation Theory

Following the above prescription with writing down a linear system of relations between monomials, one can start deriving the chiral Lagrangians. At LO there are only three possible monomials to write down. In the U basis one readily finds
L 2 = F 2 4 D μ U D μ U + F 2 4 χ U + χ U ,
where denotes the trace in flavor space. The third monomial left out here is U D 2 U + ( D 2 U ) U , and was eliminated by IBP.
The same procedure can be used at every order in the chiral expansion, but two interesting features appear at NLO. First of all, it becomes possible to write down so-called contact terms, i.e., terms without dependence on the meson fields. These terms are not physical but still appear at every order. Examples of contact terms at order p 8 are
χ χ χ χ , i D μ χ D ν χ F R μ ν + D μ χ D ν χ F L μ ν .
In the first of these one sees that also products of traces can contribute to the Lagrangian. The second example is particularly interesting as it highlights how linear combinations of separately chirally invariant operators must be linearly combined to satisfy H . C . , C and P . This can also be seen in (13).
In addition to the existence of counterterms, the size of the minimal basis depends on N f . The reason comes from the Cayley–Hamilton theorem which states that the N f × N f matrices satisfy their own characteristic equation. The products of building blocks in the monomials therefore also satisfy this, and one obtains different numbers of relations for N f = 2 and N f = 3 , as mentioned in the previous section.
The U basis is not necessarily the most suitable choice for higher order Lagrangians. The reason is that the building blocks all transform differently, i.e., it is not possible to generate all chirally and Lorentz invariant operators by creating a list of all possible permutations of building blocks. An alternative to the U basis is the u basis, where the building blocks are
O ( p ) : u μ = i u ( μ i r μ ) u u ( μ i μ ) u h u μ h , O ( p 2 ) : χ ± = u χ u ± u χ u h χ ± h , O ( p 2 ) : f ± μ ν = u F L μ ν u ± u F R μ ν u h f ± μ ν h .
As can be seen, each of the building blocks transforms in the same way. As a consequence, taking the flavor trace of any combination of building blocks will automatically be chirally invariant. One also defines a covariant derivative μ according to
μ O = μ O + Γ μ , O , Γ μ = 1 2 u μ i r μ u + u μ i μ u ,
where O is any operator transforming as O h O h . Evidently, this covariant derivative has a much simpler form than D μ in (10). Discrete transformation properties of the building blocks for the u basis can be found in many places, e.g., in [6], and are therefore left out here.
The LO Lagrangian in the u basis is given by
L 2 = F 2 4 u μ u μ + χ + .
Note that there are no covariant derivatives appearing here, since no Lorentz invariant terms of order p 2 including μ can be written down. Also, no linear combinations of operators are needed for the discrete symmetries at LO.
The number of terms and hence LECs in the minimal basis for each order up to NNNLO is presented in Table 2. The number increases rapidly, but the contact terms still remain few. An interesting question is how many terms appear when one removes external fields. There are three cases, the first where only χ ± are kept, the second where only f ± μ ν remain and the third where no external fields appear. The numbers are presented in Table 3. Comparing this to Table 2, one sees that the number of terms reduces drastically with the exclusion of external fields. The case with only χ ± is interesting for the calculation of the masses and decay constants in the isospin symmetric case, as will be explained in the next section. An example of the NNNLO Lagrangian is given in the supplementary material of [6].

2.2. The Predictivity of Chiral Perturbation Theory

The predictivity of ChPT relies on the knowledge of the LECs appearing in the Lagrangian. Disregarding contact terms in the Lagrangian, at NLO the LECs are the L i and i for the three-flavor and two-flavor theories, respectively [2,3], and are of course divergent. Through renormalization one obtains the finite and scale dependent parameters L i r ( μ ) and i r ( μ ) , where μ is the renormalization scale, which are the values needed for predictions starting at NLO. It is possible obtain values for them e.g., from experimental data by making fits, from large N c or vector meson dominance approaches [17,18,19,20,21].
The renormalization of the NNLO LECs was performed in [22]. The LECs there are denoted C i for N f = 3 and c i for N f = 2 , and the renormalized values are not known at all as well as the NLO LECs. However, certain combinations of the LECs can be constrained, such as in [19] where combinations in π π scattering were estimated with resonance saturation.
At NNNLO, the only renormalization so far performed is for the two-flavor case and can be found in [7]. As is explained below, two combinations of NNNLO LECs show up for the pion mass and decay constant. By using the results from [2,22] and that physical quantities are finite, the two NNNLO combinations could be renormalized in [7]. It would of course be interesting to perform the full renormalization at NNNLO. However, a natural question is how feasible it would be to actually obtain numerical values for the renormalized LECs at NNNLO, especially seeing the status for the NNLO LECs.
An additional important source for LECs not discussed above comes from lattice gauge theory. On the lattice, quark masses can be varied and if one considers the ChPT predictions as functions of these parameters one can obtain information not available from experiments. For a review of the current status of obtaining LECs from the lattice, see [23].

3. The Pion Mass and Decay Constant

Two quantities of fundamental interest in ChPT are the pseudoscalar masses and decay constants. These quantities can be calculated order by order in the chiral expansion. At NLO this requires a one-loop computation, at NNLO a two-loop one and at NNNLO it means three-loop diagrams also have to be included. For S U ( 3 ) , several mass scales occur which make the loop integral calculation substantially harder. The NLO quantities were calculated already in [2,3] and at NNLO in [19,24,25,26,27,28]. The pion mass and decay constant were calculated at NNNLO for isospin symmetric two-flavour ChPT in [7], but are hitherto unknown for S U ( 3 ) due to the lack of knowledge of the appearing three-loop integrals. For further discussion of this see Section 3.1. Below, we discuss the NNNLO results.
The pion mass and decay constant are expanded order by order according to
M π 2 = M 2 1 + M 4 2 + M 6 2 + M 8 2 , F π = F 1 + F 4 + F 6 + F 8 ,
where the physical pion mass M π 2 is defined as the pole of the propagator and F π is the physical decay constant. The contributions to the physical quantities at order p 2 n have here been denoted M 2 M 2 n 2 and F F 2 n , respectively. These can be calculated from the definitions of the physical quantities, i.e.,
M π 2 M 2 Σ M π 2 = 0 , 0 A μ ( 0 ) π ( p ) = i F π 2 p μ ,
where Σ is the two-point function consisting of all amputated one-particle-irreducible diagrams, and A μ is the axial current. The M 2 n 2 and F 2 n take the forms of polynomials in chiral logarithms according to
M 4 2 = x a 10 M + a 11 M L M , M 6 2 = x 2 a 20 M + a 21 M L M + a 22 M L M 2 , M 8 2 = x 3 a 30 M + a 31 M L M + a 32 M L M 2 + a 33 M L M 3 , F 4 = x a 10 F + a 11 F L M , F 6 = x 2 a 20 F + a 21 F L M + a 22 F L M 2 , F 8 = x 3 a 30 F + a 31 F L M + a 32 F L M 2 + a 33 F L M 3 .
Here the chiral logarithm is L M = log M 2 / μ 2 , x = M 2 / 16 π 2 F 2 and a i j F , M are constants depending on the LECs. The leading logarithmic coefficients a i i M , F can be determined without knowing the higher order Lagrangians and are known up to six-loop order [29]. For massless O ( N ) and S U ( N ) models, the leading logarithms are known to any order [30]. That the leading logarithms can be calculated from one-loop diagrams only is true for any non-renormalizable theory [31].
Since the NNNLO Lagrangian only contributes at tree level, the NNNLO LECs cannot multiply a chiral logarithm. Therefore, they only appear in a 30 M , F as two renormalized linear combinations r M 8 r and r F 8 r . As was remarked in the previous section, these combinations have no known numerical values. However, at least from Table 3 it can be deduced that at most 122 LECs enter into the combinations. For the a 3 i M , F also NLO and NNLO LECs appear. The i r have known values, but not all the c i r . It is possible to rewrite some of the c i r in terms of specific combinations appearing in π π scattering, whose numerical values were estimated in [19]. The unknown c i r needed for the mass and decay constant at NNNLO are
1.
Mass: c 6 r ,
2.
Decay constant: c 3 r , c 5 r , c 6 r , c 12 r , c 14 r , c 20 r .
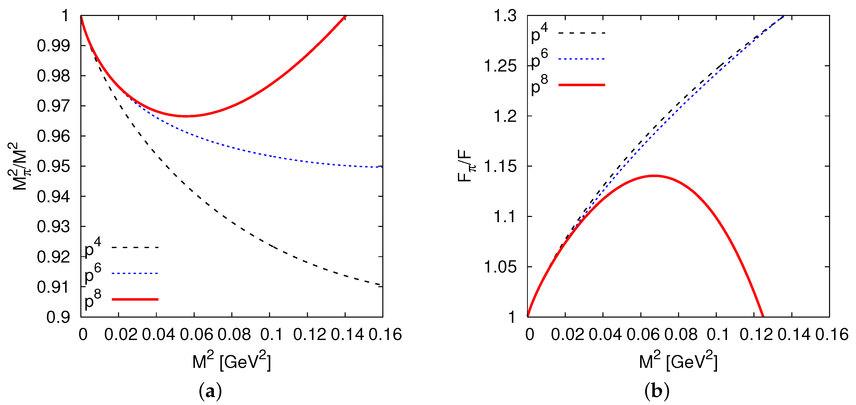
Despite not knowing these LECs, the authors of [7] performed a small numerical study in terms of the quark mass dependence through M 2 = 2 B m ^ , where m ^ is the isospin symmetric quark mass. All unknown parameters were put to zero. The result is shown in Figure 1. There one can see how the the different orders in the chiral expansion compare. Around the physical point M 2 0 . 02 GeV 2 the contributions are in agreement, as they should. For the decay constant one sees that the NNNLO curve deviates drastically from the other two for higher quark masses. This comes from a very large a 30 F 244 . 5 , which in turn is an artefact of a large term from the loop calculation, 383293667 / 1555200 246 . 5 . Whether or not this large number persists once the unknown c i r are known is impossible to say, but for them to give a 30 F of a natural size, say ∼1–10, one would need 4 c 12 r 2 c 6 r c 5 r A × ( 16 π 2 ) 2 × 246 . 5 A × 0 . 01 , where A 1–10, which indeed is not impossible.
As a final remark, the analytic formulae for the pion mass and decay constant may of course be used for fits to lattice data in the future. In such a study it can be investigated how sizable the NNNLO corrections are.

3.1. Beyond the Pion Mass and Decay Constant

The pion mass and decay constant are fundamental quantities to study in ChPT. It would, however, also be interesting to go beyond these at NNNLO. One possibility would be to consider meson–meson scattering such as π π π π . The NNNLO Lagrangian again only contributes at tree level and could be used for both N f = 2 and N f = 3 .
The main problem would be the loop integrals from diagrams with vertices from lower order Lagrangians, but in contrast to the pion mass and decay constant already the N f = 2 case might require the knowledge of unknown so-called master integrals. A set of master integrals can be used to generate other integrals via e.g., integration by parts or Lorentz invariance identities, i.e., the loop integrals appearing in a given calculation are functions of the master integrals. To reach such a set of master integrals one can use software such as FIRE [32], Kira [33] or Reduze [34]. These reduction programs are all based on implementations of a Laporta algorithm [35] which in practice orders integrals based on how complicated they are and chooses the most simple ones.
In π π π π scattering the master integrals would already for N f = 2 stem from integral reduction of e.g., three-loop topologies with four external legs which may or may not be known. For N f = 3 the integrals would, just as for the mass and decay constant, contain several mass scales in the loop integrals, thus making the problem even harder. As mentioned earlier, this is the reason why the mass and decay constant only are known for S U ( 2 ) .
In conclusion, the future of ChPT at NNNLO relies on the knowledge of sets of master integrals which are both process and N f dependent. Note that several of these integrals already might be known, something which has to be checked on a case-by-case basis in future calculations.

4. Conclusions

Chiral perturbation theory has been very successful in describing the low energy sector of QCD in terms of mesonic degrees of freedom. This effective field theory is expanded systematically order by order in powers of the momentum p 2 . From the perspective of higher order calculations, the state-of-the-art currently is at NNNLO, or order p 8 . The mesonic chiral Lagrangian is known, but renormalization still needs to be done and numerical values for the LECs must be estimated for predictions from NNNLO. Also, no anomalous NNNLO chiral Lagrangian is currently known. The pion mass and decay constant are known for the isospin symmetric two-flavor case, but for these contributions also unknown NNLO LECs show up. One therefore needs to continue improving the knowledge of LECs at NNLO as well. For the moment, however, it is still possible to make continued analytic progress at NNNLO.

Funding

This research was funded by the Albert Einstein Center for Fundamental Physics at Universit ä ¨ t Bern.

Conflicts of Interest

The author declares no conflict of interest.

References

  1. Weinberg, S. Phenomenological Lagrangians. Physica A 1979, 96, 327–340. [Google Scholar] [CrossRef]
  2. Gasser, J.; Leutwyler, H. Chiral Perturbation Theory to One Loop. Ann. Phys. 1984, 158, 142. [Google Scholar] [CrossRef]
  3. Gasser, J.; Leutwyler, H. Chiral Perturbation Theory: Expansions in the Mass of the Strange Quark. Nucl. Phys. B 1985, 250, 465–516. [Google Scholar] [CrossRef]
  4. Fearing, H.W.; Scherer, S. Extension of the chiral perturbation theory meson Lagrangian to order p6. Phys. Rev. D 1996, 53, 315–348. [Google Scholar] [CrossRef] [PubMed]
  5. Bijnens, J.; Colangelo, G.; Ecker, G. The mesonic chiral Lagrangian of order p6. J. High Energy Phys. 1999, 02, 020. [Google Scholar] [CrossRef]
  6. Bijnens, J.; Hermansson-Truedsson, N.; Wang, S. The order p8 mesonic chiral Lagrangian. J. High Energy Phys. 2019, 01, 102. [Google Scholar] [CrossRef]
  7. Bijnens, J.; Hermansson Truedsson, N. The Pion Mass and Decay Constant at Three Loops in Two-Flavour Chiral Perturbation Theory. J. High Energy Phys. 2017, 11, 181. [Google Scholar] [CrossRef]
  8. Wess, J.; Zumino, B. Consequences of anomalous Ward identities. Phys. Lett. B 1971, 37, 95–97. [Google Scholar] [CrossRef]
  9. Witten, E. Global Aspects of Current Algebra. Nucl. Phys. B 1983, 223, 422–432. [Google Scholar] [CrossRef]
  10. Ebertshauser, T.; Fearing, H.W.; Scherer, S. The Anomalous chiral perturbation theory meson Lagrangian to order p6 revisited. Phys. Rev. D 2002, 65, 054033. [Google Scholar] [CrossRef]
  11. Bijnens, J.; Girlanda, L.; Talavera, P. The Anomalous chiral Lagrangian of order p6. Eur. Phys. J. 2002, C23, 539–544. [Google Scholar] [CrossRef]
  12. Callan, C.G.; Coleman, S.; Wess, J.; Zumino, B. Structure of Phenomenological Lagrangians. II. Phys. Rev. 1969, 177, 2247–2250. [Google Scholar] [CrossRef]
  13. Scherer, S.; Fearing, H.W. Field transformations and the classical equation of motion in chiral perturbation theory. Phys. Rev. D 1995, 52, 6445–6450. [Google Scholar] [CrossRef] [PubMed]
  14. Schouten, J.A. Ueber die geometrische Deutung von gewöhnlichen ρ-Vektoren und W-ρ-Vektoren und den korrespondierenden Dichten. Proc. Kon. Ned. Akad. V. Wet. 1938, 41, 709–716. [Google Scholar]
  15. Ruiz-Femenía, P.; Zahiri-Abyaneh, M. On the minimality of the order p6 chiral Lagrangian. Phys. Lett. 2015, B751, 256–261. [Google Scholar] [CrossRef][Green Version]
  16. Henning, B.; Lu, X.; Melia, T.; Murayama, H. Operator bases, S-matrices, and their partition functions. J. High Energy Phys. 2017, 10, 199. [Google Scholar] [CrossRef]
  17. Pich, A. Effective Field Theory with Nambu-Goldstone Modes. Presented at the Les Houches Summer School: EFT in Particle Physics and Cosmology, Les Houches, Chamonix Valley, France, 3–28 July 2017. [Google Scholar]
  18. Bijnens, J.; Ecker, G. Mesonic low-energy constants. Ann. Rev. Nucl. Part. Sci. 2014, 64, 149–174. [Google Scholar] [CrossRef]
  19. Bijnens, J.; Colangelo, G.; Ecker, G.; Gasser, J.; Sainio, M.E. Pion-pion scattering at low energy. Nucl. Phys. B 1997, 508, 263–310, Erratum in Nucl. Phys. B 1998, 517, 639. [Google Scholar] [CrossRef]
  20. Ecker, G.; Gasser, J.; Leutwyler, H.; Pich, A.; de Rafael, E. Chiral Lagrangians for Massive Spin 1 Fields. Phys. Lett. B 1989, 223, 425–432. [Google Scholar] [CrossRef]
  21. Ecker, G.; Gasser, J.; Pich, A.; Rafael, E.D. The role of resonances in chiral perturbation theory. Nucl. Phys. B 1989, 321, 311–342. [Google Scholar] [CrossRef]
  22. Bijnens, J.; Colangelo, G.; Ecker, G. Renormalization of chiral perturbation theory to order p**6. Ann. Phys. 2000, 280, 100–139. [Google Scholar] [CrossRef]
  23. Aoki, S.; Aoki, Y.; Bečirević, D.; Blum, T.; Colangelo, G.; Collins, S.; Della Morte, M.; Dimopoulos, P.; Dürr, S.; Fukaya, H.; et al. FLAG Review 2019. arXiv 2019, arXiv:1902.08191. [Google Scholar] [CrossRef]
  24. Burgi, U. Charged pion pair production and pion polarizabilities to two loops. Nucl. Phys. B 1996, 479, 392–426. [Google Scholar] [CrossRef]
  25. Bijnens, J.; Colangelo, G.; Ecker, G.; Gasser, J.; Sainio, M.E. Elastic ππ scattering to two loops. Phys. Lett. B 1996, 374, 210–216. [Google Scholar] [CrossRef]
  26. Amoros, G.; Bijnens, J.; Talavera, P. Two point functions at two loops in three flavor chiral perturbation theory. Nucl. Phys. B 2000, 568, 319–363. [Google Scholar] [CrossRef]
  27. Ananthanarayan, B.; Bijnens, J.; Ghosh, S. An Analytic Analysis of the Pion Decay Constant in Three-Flavoured Chiral Perturbation Theory. Eur. Phys. J. C 2017, 77, 497. [Google Scholar] [CrossRef]
  28. Ananthanarayan, B.; Bijnens, J.; Friot, S.; Ghosh, S. Analytic representations of mK, FK, mη and Fη in two loop SU(3) chiral perturbation theory. Phys. Rev. D 2018, 97, 114004. [Google Scholar] [CrossRef]
  29. Bijnens, J.; Kampf, K.; Lanz, S. Leading logarithms in N-flavour mesonic Chiral Perturbation Theory. Nucl. Phys. B 2013, 873, 137–164. [Google Scholar] [CrossRef]
  30. Ananthanarayan, B.; Ghosh, S.; Vladimirov, A.; Wyler, D. Leading Logarithms of the Two Point Function in Massless O(N) and SU(N) Models to any Order from Analyticity and Unitarity. Eur. Phys. J. A 2018, 54, 123. [Google Scholar] [CrossRef]
  31. Buchler, M.; Colangelo, G. Renormalization group equations for effective field theories. Eur. Phys. J. C 2003, 32, 427–442. [Google Scholar] [CrossRef][Green Version]
  32. Smirnov, A.; Chuharev, F. FIRE6: Feynman Integral REduction with Modular Arithmetic. Comput. Phys. Commun. 2019. [Google Scholar] [CrossRef]
  33. Maierhöfer, P.; Usovitsch, J. Kira 1.2 Release Notes. arXiv 2018, arXiv:1812.01491. [Google Scholar]
  34. Von Manteuffel, A.; Studerus, C. Reduze 2—Distributed Feynman Integral Reduction. arXiv 2012, arXiv:1201.4330. [Google Scholar]
  35. Laporta, S. High precision calculation of multiloop Feynman integrals by difference equations. Int. J. Mod. Phys. A 2000, 15, 5087–5159. [Google Scholar] [CrossRef]
Figure 1. (a) The pion mass M π 2 / M 2 , and (b) the decay constant F π / F at next-to leading order (NLO), next-to-next-to leading order (NNLO) and NNNLO, respectively. By definition, the leading order (LO) is identically unity. This plot is taken from [19].
Figure 1. (a) The pion mass M π 2 / M 2 , and (b) the decay constant F π / F at next-to leading order (NLO), next-to-next-to leading order (NNLO) and NNNLO, respectively. By definition, the leading order (LO) is identically unity. This plot is taken from [19].
Symmetry 12 01262 g001
Table 1. Transformation properties of the U basis building blocks under the discrete symmetries. Superscript T denotes matrix transpose and the symbol ε ( μ ) is defined as ε ( 0 ) = ε ( i = 1 , 2 , 3 ) = 1 .
Table 1. Transformation properties of the U basis building blocks under the discrete symmetries. Superscript T denotes matrix transpose and the symbol ε ( μ ) is defined as ε ( 0 ) = ε ( i = 1 , 2 , 3 ) = 1 .
P C H.C.
U U U T U
χ χ χ T χ
F L μ ν ε ( μ ) ε ( ν ) F R μ ν F R μ ν T F L μ ν
F R μ ν ε ( μ ) ε ( ν ) F L μ ν F L μ ν T F R μ ν
Table 2. The number of monomials in the chiral Lagrangians up to next-to-next-to-next-to leading order (NNNLO). Here, all external fields are included and the number of contact terms have also been indicated.
Table 2. The number of monomials in the chiral Lagrangians up to next-to-next-to-next-to leading order (NNNLO). Here, all external fields are included and the number of contact terms have also been indicated.
N f N f = 3 N f = 2
TotalContactTotalContactTotalContact
p 2 202020
p 4 132122103
p 6 1153944564
p 8 18622212542147523
Table 3. The number of monomials in the chiral Lagrangian at NNNLO. Here, only the external fields indicated in the left column have been included.
Table 3. The number of monomials in the chiral Lagrangian at NNNLO. Here, only the external fields indicated in the left column have been included.
N f N f = 3 N f = 2
TotalContactContactTotalTotalContact
χ ± 538332841226
f ± μ ν 963155911323811
None1350560160

Share and Cite

MDPI and ACS Style

Hermansson-Truedsson, N. Chiral Perturbation Theory at NNNLO. Symmetry 2020, 12, 1262. https://doi.org/10.3390/sym12081262

AMA Style

Hermansson-Truedsson N. Chiral Perturbation Theory at NNNLO. Symmetry. 2020; 12(8):1262. https://doi.org/10.3390/sym12081262

Chicago/Turabian Style

Hermansson-Truedsson, Nils. 2020. "Chiral Perturbation Theory at NNNLO" Symmetry 12, no. 8: 1262. https://doi.org/10.3390/sym12081262

APA Style

Hermansson-Truedsson, N. (2020). Chiral Perturbation Theory at NNNLO. Symmetry, 12(8), 1262. https://doi.org/10.3390/sym12081262

Note that from the first issue of 2016, this journal uses article numbers instead of page numbers. See further details here.

Article Metrics

Back to TopTop