Optimization of Public Health Education Parameters for Controlling the Spread of HIV/AIDS Infection
Abstract
1. Introduction
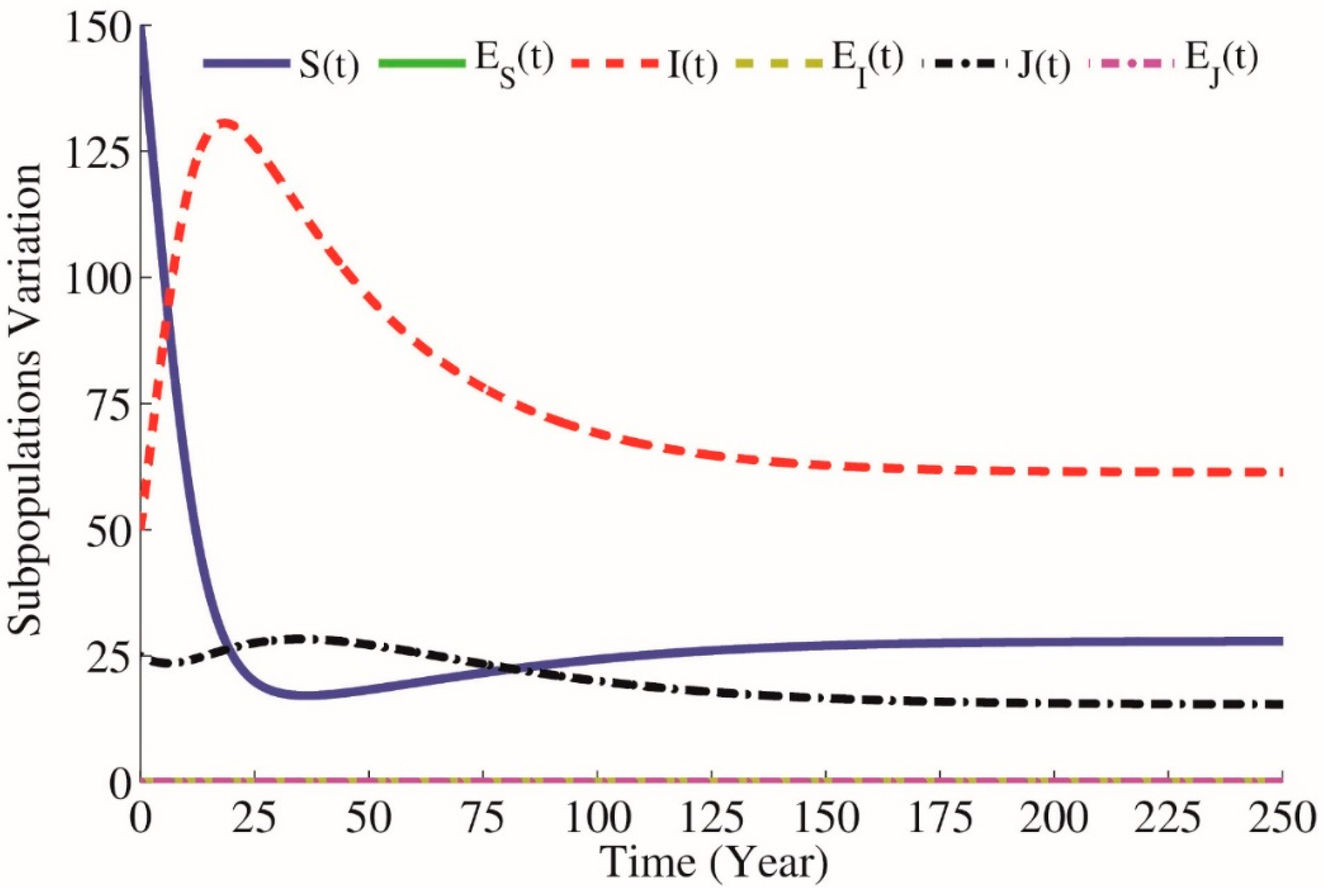
2. Models Structure and Dynamical Analysis
2.1. Model Includes Public Health Education
2.2. Model without Education
2.3. Impact of Education on HIV Transmission
3. Single and Multi-Objective Optimization
3.1. Single Objective Optimization Problem
3.2. Multi-Objective Optimization or Pareto Optimization Problem
4. Conclusions
Author Contributions
Funding
Conflicts of Interest
References
- Anderson, R.M. The role of mathematical models in the study of HIV transmission and the epidemiology of AIDS. J. Acq. Immun. Def. Synd. 1988, 1, 241–256. [Google Scholar]
- Anderson, R.M.; Medly, G.F.; May, R.M.; Johnson, A.M. A preliminary study of the transmission dynamics of the Human Immunodeficiency Virus (HIV), the causative agent of AIDS. Math. Med. Biol. 1986, 3, 229–263. [Google Scholar] [CrossRef] [PubMed]
- May, R.M.; Anderson, R.M. Transmission dynamics of HIV infection. Nature 1987, 326, 137–142. [Google Scholar] [CrossRef] [PubMed]
- Bachar, M.; Dorfmayr, A. HIV treatment models with time delay. C. R. Biol. 2004, 327, 983–994. [Google Scholar] [CrossRef]
- Blower, S. Calculating the consequences: HAART and risky sex. AIDS 2001, 15, 1309–1310. [Google Scholar] [CrossRef]
- Hethcote, H.W.; Van Ark, J.W. Modelling HIV Transmission and AIDS in the United States; Lectures Notes in Biomathematics; Springer: New York, NY, USA, 1992. [Google Scholar]
- Hsieh, Y.H.; Chen, C.H. Modelling the social dynamics of a sex industry: Its implications for spread of HIV/AIDS. Bull. Math. Biol. 2004, 66, 143–166. [Google Scholar] [CrossRef]
- Leenheer, P.D.; Smith, H.L. Virus dynamics: A global analysis. SIAM J. Appl. Math. 2003, 63, 1313–1327. [Google Scholar]
- McCluskey, C. A model of HIV/AIDS with staged progression and amelioration. Math. Biosci. 2003, 181, 1–16. [Google Scholar] [CrossRef]
- Perelson, A.S.; Nelson, P.W. Mathematical analysis of HIV-1 dynamics in vivo. SIAM Rev. 1999, 41, 3–44. [Google Scholar] [CrossRef]
- Samanta, G.P. Analysis of a nonautonomous HIV/AIDS epidemic model with distributed time delay. Math. Model. Anal. 2010, 15, 327–347. [Google Scholar] [CrossRef][Green Version]
- Samanta, G.P. Analysis of a nonautonomous HIV/AIDS model. Math. Model. Nat. Phenom. 2010, 5, 70–95. [Google Scholar] [CrossRef]
- Sharma, S.; Samanta, G.P. Dynamical Behaviour of an HIV/AIDS Epidemic Model. Differ. Equ. Dyn. Syst. 2014, 22, 369–395. [Google Scholar] [CrossRef]
- Wang, L.; Li, M.Y. Mathematical analysis of the global dynamics of a model for HIV infection of CD4^+ T-cells. Math. Biosci. 2006, 200, 44–57. [Google Scholar] [CrossRef] [PubMed]
- Wang, K.; Wang, W.; Liu, X. Viral infection model with periodic lytic immune response. Chaos Soliton Fractals 2006, 28, 90–99. [Google Scholar] [CrossRef]
- Ostadzad, M.H.; Shahmorad, S.; Erjaee, G.H. Dynamical analysis of public health education on HIV/AIDS transmission. Math. Methods Appl. Sci. 2014, 38, 3601–3614. [Google Scholar] [CrossRef]
- Ostadzad, M.H.; Shahmorad, S.; Erjaee, G.H. Study of public health education effect on spread of hiv infection in a density-dependent transmission model. Differ. Equ. Dyn. Syst. 2016. [Google Scholar] [CrossRef]
- Diekmann, O.; Heesterbeek, J.A.P.; Metz, J.A.J. On the definition and the computation of the basic reproduction ratio R_0 in models for infectious diseases in heterogeneous populations. J. Math. Biol. 1990, 28, 365–382. [Google Scholar] [CrossRef]
- Van Den Driessche, P.; Watmough, J. Reproduction numbers and sub-threshold endemic equilibria for compartmental models of disease transmission. Math. Biosci. 2002, 180, 29–48. [Google Scholar] [CrossRef]
- Cai, L.; Li, X.; Ghosh, M.; Guo, B. Stability analysis of an HIV/AIDS epidemic model with treatment. J. Comput. Appl. Math. 2009, 229, 313–323. [Google Scholar] [CrossRef]
- Deb, K. Multi-Objective Optimization Using Evolutionary Algorithms; John Wiley and Sons: Hoboken, NJ, USA, 2001. [Google Scholar]
- Del Valle, S.; Evangelista, A.M.; Velasco, M.C.; Kribs-Zaleta, C.M.; Hsu Schmitz, S.F. Effects of education, vaccination and treatment on HIV transmission in homosexuals with genetic heterogeneity. Math. Biosci. 2004, 187, 111–133. [Google Scholar] [CrossRef][Green Version]
- Mukandavire, Z.; Garira, W.; Tchuenche, J.M. Modelling effects of public health educational campaigns on HIV/AIDS transmission dynamics. Appl. Math. Model. 2009, 33, 2084–2095. [Google Scholar] [CrossRef]
- World Health Organization. UNAIDS Report on the Global AIDS Epidemic. 2004. Available online: http://unaids.org (accessed on 7 February 2020).
- Mahmoudi, M.R.; Nematollahi, A.R.; Soltani, A.R. On the detection and estimation of the simple harmonizable processes. Iran. J. Sci. Technol. A (Sci.) 2015, 39, 239–242. [Google Scholar]
- Mahmoudi, M.R.; Maleki, M. A new method to detect periodically correlated structure. Comput. Stat. 2017, 32, 1569–1581. [Google Scholar] [CrossRef]
- Nematollahi, A.R.; Soltani, A.R.; Mahmoudi, M.R. Periodically correlated modeling by means of the periodograms asymptotic distributions. Stat. Pap. 2017, 58, 1267–1278. [Google Scholar] [CrossRef]
- Mahmoudi, M.R.; Heydari, M.H.; Avazzadeh, Z.; Pho, K.H. Goodness of fit test for almost cyclostationary processes. Digit. Signal Process 2020, 96, 102597. [Google Scholar] [CrossRef]
- Mahmoudi, M.R.; Heydari, M.H.; Roohi, R. A new method to compare the spectral densities of two independent periodically correlated time series. Math. Comput. Simulat. 2019, 160, 103–110. [Google Scholar] [CrossRef]
- Mahmoudi, M.R.; Heydari, M.H.; Avazzadeh, Z. Testing the difference between spectral densities of two independent periodically correlated (cyclostationary) time series models. Commun. Stat. Theory Methods 2019, 48, 2320–2328. [Google Scholar] [CrossRef]
- Mahmoudi, M.R.; Maleki, M.; Pak, A. Testing the Difference between Two Independent Time Series Models. Iran. J. Sci. Technol. A (Sci.) 2017, 41, 665–669. [Google Scholar] [CrossRef]
- Mahmoudi, M.R.; Heydari, M.H.; Avazzadeh, Z. On the asymptotic distribution for the periodograms of almost periodically correlated (cyclostationary) processes. Digit. Signal Process 2018, 81, 186–197. [Google Scholar] [CrossRef]
- Mahmoudi, M.R.; Mahmoodi, M. Inferrence on the Ratio of Correlations of Two Independent Populations. J. Math. Ext. 2014, 7, 71–82. [Google Scholar]
- Mahmoudi, M.R.; Mahmoudi, M.; Nahavandi, E. Testing the Difference between Two Independent Regression Models. Commun. Stat. Theory Methods 2016, 45, 6284–6289. [Google Scholar] [CrossRef]
- Mahmoudi, M.R.; Maleki, M.; Pak, A. Testing the Equality of Two Independent Regression Models. Commun. Stat. Theory Methods 2018, 47, 2919–2926. [Google Scholar] [CrossRef]
- Mahmoudi, M.R. On Comparing Two Dependent Linear and Nonlinear Regression Models. J. Test. Eval. 2018, 47, 449–458. [Google Scholar] [CrossRef]









| Parameter | Explanation |
|---|---|
| Ratio of the educated susceptible | |
| Rate of population recreation | |
| Constant of death rate | |
| Mean value of contacts per unit of time | |
| Transmission probability of disease from patient in phase | |
| Transmission probability of disease from patient in phase | |
| Performance of the education | |
| Rate of disease transmission from the phase to phase | |
| Rate of disease transmission from the phase to phase | |
| Educating rate for susceptible | |
| Educating rate for infected individuals in phase | |
| Educating rate for infected individuals in phase | |
| Death rate related to disease |
| Parameter | Explanation | Value |
|---|---|---|
| Ratio of the educated susceptible | Variable | |
| Rate of population recreation | Variable | |
| Constant of death rate | ||
| Mean value of contacts per unit of time | Variable | |
| Transmission probability of disease from patient in phase | ||
| Transmission probability of disease from patient in phase | ||
| Performance of the education | Variable | |
| Rate of disease transmission from the phase to phase | ||
| Rate of disease transmission from the phase to phase | ||
| Educating rate for susceptible | Variable | |
| Educating rate for infected individuals in phase | Variable | |
| Educating rate for infected individuals in phase | Variable | |
| Death rate related to disease |
© 2020 by the authors. Licensee MDPI, Basel, Switzerland. This article is an open access article distributed under the terms and conditions of the Creative Commons Attribution (CC BY) license (http://creativecommons.org/licenses/by/4.0/).
Share and Cite
Ostadzad, M.H.; Baroumand, S.; Mahmoudi, M.R. Optimization of Public Health Education Parameters for Controlling the Spread of HIV/AIDS Infection. Symmetry 2020, 12, 659. https://doi.org/10.3390/sym12040659
Ostadzad MH, Baroumand S, Mahmoudi MR. Optimization of Public Health Education Parameters for Controlling the Spread of HIV/AIDS Infection. Symmetry. 2020; 12(4):659. https://doi.org/10.3390/sym12040659
Chicago/Turabian StyleOstadzad, Mohammad Hossein, Salman Baroumand, and Mohammad Reza Mahmoudi. 2020. "Optimization of Public Health Education Parameters for Controlling the Spread of HIV/AIDS Infection" Symmetry 12, no. 4: 659. https://doi.org/10.3390/sym12040659
APA StyleOstadzad, M. H., Baroumand, S., & Mahmoudi, M. R. (2020). Optimization of Public Health Education Parameters for Controlling the Spread of HIV/AIDS Infection. Symmetry, 12(4), 659. https://doi.org/10.3390/sym12040659

