RETRACTED: Numerical Simulation of Micromixing of Particles and Fluids with Galloping Cylinder
Abstract
1. Introduction
2. Governing Equations
- Inlet velocitywhere is average velocity and
- The no-slip boundary at the bottom plate is:
- The no-slip boundary at top plate is:
- Inlet concentrationHere the inlet concentration is Cin = 1 mol/L.
- No flux at bottom plate
- No flux at top plate
- Outlet boundaryi.e., pressure is 0 Pa at the outlet of the microchannel and
- The moving wall boundary on cylinder surface
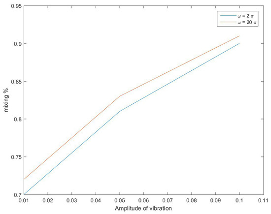
3. Results and Discussion
4. Conclusions
Author Contributions
Funding
Conflicts of Interest
Abbreviations
| DEM | Discrete Element Method |
| MEMS | Micro-electromechanical systems |
| MHD | Magneto Hydro Dynamics |
| CFD | computational fluid dynamics |
Nomenclature
| D | diffusion coefficient | m2/s |
| inlet concentration | K | |
| u | velocity component in the x direction | m/s |
| v | velocity component in the y direction | m/s |
Greek Symbol
| standard deviation | ||
| fluid density | kg/m3 | |
| viscosity of the fluid | Pa·s |
References
- Yang, R.J.; Hou, H.H.; Wang, Y.N.; Fu, L.M. Micro-magnetofluidics in microfluidic systems: A review. Sens. Actuators B Chem. 2016, 224, 1–15. [Google Scholar]
- Deng, Q.; Lei, Q.; Shen, R.; Chen, C.; Zhang, L. The continuous kilogram-scale process for the synthesis of 2,4,5-trifluorobromobenzene via Gattermann reaction using microreactors. Chem. Eng. J. 2017, 313, 1577–1582. [Google Scholar] [CrossRef]
- Yang, R.J.; Liu, C.C.; Wang, Y.N.; Hou, H.H.; Fu, L.M. Heat transfer A comprehensive review of micro-distillation method. Chem. Eng. J. 2017, 313, 1509–1520. [Google Scholar] [CrossRef]
- Meller, K.; Szumski, M.; Buszewski, B. Microfluidic reactors with immobilized enzymes-Characterization dividing, perspectives. Sens. Actuators B Chem. 2017, 244, 84–106. [Google Scholar] [CrossRef]
- Liu, C.C.; Wang, Y.N.; Fu, L.M.; Yang, D.Y. Rapid integrated microfluidic paper-based system for sulfur dioxide detection. Chem. Eng. J 2017, 316, 790–796. [Google Scholar] [CrossRef]
- Li, Z.; Kim, S. Pulsatile micromixing using water-head-driven microfluidic oscillators. Int. Commun. Heat Transf. 2017, 313, 1364–1369. [Google Scholar]
- Floquet, C.F.A.; Sieben, V.J.; MacKay, B.A.; Mostowfi, F. Determination of boron concentration in oil field water with a microfluidic ion exchange resin instrument. Talanta 2016, 154, 304–311. [Google Scholar]
- Ibarlucea, B.; Munoz-Berbel, X.; Ortiz, P.; Büttgenbach, S.; Fernández-Sáncheza, C.; Llobera, A. Self-validating lab-on-a-chip for monitoring enzyme-catalyzed biological reactions. Sens. Actuators B Chem. 2016, 237, 16–23. [Google Scholar] [CrossRef]
- Gonzalez, A.; Estala, L.; Gaines, M.; Gomez, F.A. Mixed thread/paper-based microfluidic chips as a platform for glucose assays. Electrophoresis 2016, 37, 1685–1690. [Google Scholar]
- Anh, N.V.; Trung, H.V.; Tien, B.Q.; Binh, N.H.; Ha, C.H.; Huy, N.L.; Loc, N.T.; Thu, V.T.; Lam, T.D. Development of a PMMA electrochemical microfluidic device for carcinoembryonic antigen detection. J. Electron. Mater. 2016, 45, 2455–2462. [Google Scholar]
- Kuo, J.N.; Liao, H.S.; Li, X.M. Design optimization of capillary-driven micromixer with square-wave microchannel for blood plasma mixing. Microsyst. Technol. 2017, 23, 721–730. [Google Scholar] [CrossRef]
- Kuo, J.N.; Li, Y.S. Centrifuge-based micromixer with three-dimensional square-wave microchannel for blood plasma mixing. Microsyst. Technol. 2017, 23, 2343–2354. [Google Scholar] [CrossRef]
- Han, T.; Zhang, L.; Xu, H.; Xuan, J. Factory-on-chip. Modularised microfluidic reactors for continuous mass production of functional materials. Chem. Eng. J. 2017, 326, 765–773. [Google Scholar] [CrossRef]
- Bensaid, S.; Piumetti, M.; Novara, C.; Giorgis, F.; Chiodoni, A.; Russo, N.; Fino, D. Catalytic oxidation of CO and soot over Ce-Zr-Pr mixed oxides synthesized in a multi-inlet vortex reactor: Effect of structural defects on the catalytic activity. Nanoscale Res. Lett. 2016, 11, 494. [Google Scholar] [CrossRef] [PubMed]
- Zhu, S.; Lu, Y.; Faust, R. Micromixing enhanced synthesis of HRPIBs catalyzed by EADC/bis(2-chloroethyl)ether complex. RSC Adv. 2017, 7, 27629–27636. [Google Scholar] [CrossRef]
- Thiele, M.; Knauer, A.; Malsch, D.; Csáki, A.; Henkel, T.; Köhler, J.M.; Fritzsche, W. Combination of microfluidic high-throughput production and parameter screening for efficient shaping of gold nanocubes using Dean-flow mixing. Lab Chip 2017, 17, 1487–1495. [Google Scholar] [CrossRef]
- Pessoa, A.C.S.N.; Sipoli, C.C.; de la Torre, L.G. Effects of diffusion and mixing pattern on microfluidic-assisted synthesis of Chitosan/ATP nanoparticles. Lab Chip 2017, 17, 2281–2293. [Google Scholar] [CrossRef]
- Ishak, A.; Nazar, R. Laminar boundary layer flow along a stretching cylinder. Eur. J. Sci. Res. 2009, 36, 22–29. [Google Scholar]
- Bertrand, M.; Lamarque, N.; Lebaigue, O.; Plasari, E.; Ducros, F. Micromixing characterisation in rapid mixing devices by chemical methods and LES modeling. Chem. Eng. J. 2017, 283, 462–475. [Google Scholar] [CrossRef]
- Lemenand, T.; della Valle, D.; Habchi, C.; Peerhossaini, H. Micromixing measurement by chemical probe in homogeneous and isotropic turbulence. Chem. Eng. J. 2017, 314, 453–465. [Google Scholar] [CrossRef]
- Qin, H.; Zhang, C.; Xu, Q.; Dang, X.; Li, W.; Lei, K.; Zhou, L.; Zhang, J. Geometrical improvement of inline high shear mixers to intensify micromixing performance. Chem. Eng. J. 2017, 319, 307–320. [Google Scholar] [CrossRef]
- Duan, X.X.; Feng, X.; Yang, C.; Mao, Z.-S. Numerical simulation of micro-mixing in stirred reactors using the engulfment model coupled with CFD. Chem. Eng. Sci. 2016, 140, 179–188. [Google Scholar] [CrossRef]
- Mielke, E.; Roberge, D.M.; Macchi, A. Microreactor mixing-unit design for fast liquid–liquid reactions. J. Flow Chem. 2016, 6, 279–287. [Google Scholar] [CrossRef]
- Rahimi, M.; Mohammadi, F.; Basiri, M.; Parsamoghadam, M.A.; Masahi, M.M. Transesterification of soybean oil in four-way micromixers for biodiesel production using a cosolvent. J. Taiwan Inst. Chem. Eng. 2016, 64, 203–210. [Google Scholar] [CrossRef]
- Jamalabadi, M.Y.A. Electromagnetohydrodynamic two-phase flow-induced vibrations in vertical heated upward flow. J. Comput. Des. Eng. 2019, 6, 92–104. [Google Scholar] [CrossRef]
- Jamalabadi, M.Y.A. EMHD effects on subcooled boiling in a Vertical annulus. Multiph. Sci. Technol. 2019, 6, 333–349. [Google Scholar] [CrossRef]
- Jamalabadi, M.Y.A.; Park, J.H. Thermal radiation, joule heating, and viscous dissipation effects on MHD forced convection flow with uniform surface temperature. Open J. Fluid Dyn. 2014, 4, 125–132. [Google Scholar] [CrossRef]
- Mae, K.; Maki, T.; Hasegawa, I.; Eto, U.; Mizutani, Y.; Honda, N. Development of a new micromixer based on split/recombination for mass production and its application to soap free emulsifier. Chem. Eng. J. 2004, 101, 31–38. [Google Scholar] [CrossRef]
- Jones, E.A.V. The initiation of blood flow and flow induced events in early vascular development. Semin. Cell Dev. Biol. 2011, 22, 1028–1035. [Google Scholar] [CrossRef]
- Das, A.; Paul, A.; Taylor, M.D.; Banerjee, R.K. Pulsatile arterial wall-blood flow interaction with wall pre-stress computed using an inverse algorithm. Biomed. Eng. Online 2015, 14, S1–S18. [Google Scholar] [CrossRef]
- Domínguez, C.C.; Gamse, T. Utilization of micro-mixers for supercritical fluid fractionation: Influence of the residence time. J. Supercrit. Fluids 2018, 132, 17–23. [Google Scholar] [CrossRef]
- Lee, C.; Fu, L. Recent advances and applications of micromixers. Sensors Actuators Chem. 2018, 259, 677–702. [Google Scholar] [CrossRef]
- Zhang, S.; Chen, X.; Wu, Z.; Zheng, Y. Numerical study on stagger Koch fractal baffles micromixer. Int. J. Heat Mass Transf. 2019, 133, 1065–1073. [Google Scholar] [CrossRef]
- Santana, H.S.; Silva, J.L.; Taranto, O.P. Optimization of micromixer with triangular baffles for chemical process in millidevices. Sensors Actuators B Chem. 2019, 281, 191–203. [Google Scholar] [CrossRef]
- Adrover, A.; Varani, G.; Paolicelli, P.; Petralito, S.; Di Muzio, S.; Casadei, M.A.; Tho, I. Experimental and Modeling Study of Drug Release from HPMC-Based Erodible Oral Thin Films. Pharmaceutics 2018, 10, 222. [Google Scholar] [CrossRef]
- Fu, L.M.; Ju, W.J.; Liu, C.C.; Yang, R.J.; Wang, Y.N. Integrated microfluidic array chip and LED photometer system for sulfur dioxide and methanol concentration detection. Chem. Eng. J. 2014, 243, 421–427. [Google Scholar] [CrossRef]
- Morales, M.C.; Zahn, J.D. Droplet enhanced microfluidic-based DNA purification from bacterial lysates via phenol extraction. Microfluid. Nanofluid. 2010, 9, 1041–1049. [Google Scholar] [CrossRef]
- Lee, T.Y.; Hyun, K.A.; Kim, S.I.; Jung, H.I. An integrated microfluidic chip for one-step isolation of circulating tumor cells. Sens. Actuators B Chem. 2017, 238, 1144–1150. [Google Scholar] [CrossRef]
- Santillo, G.; Deorsola, F.A.; Bensaid, S.; Russo, N.; Fino, D. MoS2 nanoparticle precipitation in turbulent micromixers. Chem. Eng. J. 2012, 207–208, 322–328. [Google Scholar] [CrossRef]
- Balbino, T.A.; Azzoni, A.R.; de la Torre, L.G. Microfluidic devices for continuous production of pDNA/cationic liposome complexes for gene delivery and vaccine therapy. Colloids Surf. B Biointerfaces 2013, 111, 203–210. [Google Scholar] [CrossRef]
- Yang, Y.N.; Lin, H.I.; Wang, J.H.; Shiesh, S.C.; Lee, G.B. An integrated microfluidic system for C-reactive protein measurement. Biosens. Bioelectron. 2009, 24, 3091–3096. [Google Scholar] [CrossRef] [PubMed]
- Lin, M.X.; Hyun, K.A.; Moon, H.; Sim, T.; Lee, J.; Park, J.; Lee, S.; Jung, H. Continuous labeling of circulating tumor cells with microbeads using a vortex micromixer for highly selective isolation. Biosens. Bioelectron. 2013, 40, 63–67. [Google Scholar] [CrossRef] [PubMed]
- Turek, S.; Hron, J. Proposal for numerical benchmarking of fluid-structure interaction between an elastic object and laminar incompressible flow. In Fluid-Structure Interaction; Lecture Notes in Computational Science and Engineering; Springer: Berlin/Heidelberg, Germany, 2006; Volume 53, p. 371. [Google Scholar]
- Tian, F.-B.; Dai, H.; Luo, H.; Doyle, F.; Rousseau, B. Fluid–structure interaction involving large deformations: 3D simulations and applications to biological systems. J. Comput. Phys. 2014, 258, 451–469. [Google Scholar] [CrossRef] [PubMed]
- Bhardwaj, R.; Mittal, R. Benchmarking a coupled immersed-boundary–finite-element solver for large-scale flow-induced deformation. AIAA J. 2012, 50, 1638–1642. [Google Scholar] [CrossRef]
- Shadloo, M.S. Numerical Simulation of Compressible Flows by Lattice Boltzmann Method. Numer. Heat Transf. Part A 2018, 75, 167–182. [Google Scholar] [CrossRef]
- Raza, M.; Ellahi, R.; Sait, S.M.; Sarafraz, M.M.; Shadloo, M.S.; Waheed, I. Enhancement of heat transfer in peristaltic flow in a permeable channel under induced magnetic field using different CNTs. J. Therm. Anal. Calorim. 2019. [Google Scholar] [CrossRef]
- Almasi, F.; Shadloo, M.S.; Hadjadj, A.; Ozbulut, M.; Tofighi, N.; Yildiz, M. Numerical simulations of multi-phase electro-hydrodynamics’ flows using a simple incompressible smoothed particle hydrodynamics method. Comput. Math. Appl. 2019. [Google Scholar] [CrossRef]







| Case | Application | Flow Rate | Size or Index Percent | Materials | Ref. | Year |
|---|---|---|---|---|---|---|
| 1 | catalysts preparation | 20 mL/min | - | Ce, Zr, Pr | [14] | 2016 |
| 1 | concentration detection of SO2 and CH4O | 1.5 kg/cm2 | 100 | Methylene blue, MOX | [36] | 2014 |
| 2 | extraction and purification of Phenol | 0.4–2 L/min | 92 | BSA, 0.1–10-kb DNA | [37] | 2010 |
| 3 | biological isolation of circulating tumor cells | 400 L/min | 90 | MCF-7 cell | [38] | 2017 |
| 4 | Nanoparticle precipitation | 20 L/min | Mean size 60 nm | MoS2 | [39] | 2012 |
| 5 | produce pDNA/CL complexes | 140 mm/s | - | DNA, liposome | [40] | 2013 |
| 6 | circulating tumor cells with microbeads | 300 L/min | - | antibody antigen, PDMS | [41] | 2015 |
| 7 | C-reactive protein measurement | 600 L/min | 96 | C-reactive protein | [42] | 2013 |
| Property | Description | Unit | Value |
|---|---|---|---|
| fluid density | 1000 | ||
| fluid dynamic viscosity | Pa·s | ||
| D | diffusion |
| Element Number | Relative Error |
|---|---|
| 1256 | 23.78 |
| 2001 | 13.91 |
| 2510 | 7.454 |
| 2964 | 4.852 |
| 5500 | 2.351 |
| 8278 | 0.1234 |
© 2020 by the authors. Licensee MDPI, Basel, Switzerland. This article is an open access article distributed under the terms and conditions of the Creative Commons Attribution (CC BY) license (http://creativecommons.org/licenses/by/4.0/).
Share and Cite
Abdelmalek, Z.; Abdollahzadeh Jamalabadi, M.Y. RETRACTED: Numerical Simulation of Micromixing of Particles and Fluids with Galloping Cylinder. Symmetry 2020, 12, 580. https://doi.org/10.3390/sym12040580
Abdelmalek Z, Abdollahzadeh Jamalabadi MY. RETRACTED: Numerical Simulation of Micromixing of Particles and Fluids with Galloping Cylinder. Symmetry. 2020; 12(4):580. https://doi.org/10.3390/sym12040580
Chicago/Turabian StyleAbdelmalek, Zahra, and Mohammad Yaghoub Abdollahzadeh Jamalabadi. 2020. "RETRACTED: Numerical Simulation of Micromixing of Particles and Fluids with Galloping Cylinder" Symmetry 12, no. 4: 580. https://doi.org/10.3390/sym12040580
APA StyleAbdelmalek, Z., & Abdollahzadeh Jamalabadi, M. Y. (2020). RETRACTED: Numerical Simulation of Micromixing of Particles and Fluids with Galloping Cylinder. Symmetry, 12(4), 580. https://doi.org/10.3390/sym12040580

