Effects of Stefan Blowing and Slip Conditions on Unsteady MHD Casson Nanofluid Flow Over an Unsteady Shrinking Sheet: Dual Solutions
Abstract
1. Introduction
2. Modeling and Simulation
3. Stability Analysis
4. Results and Discussion
4.1. Analysis of Skin Friction, Temperature, and Concentration Rates
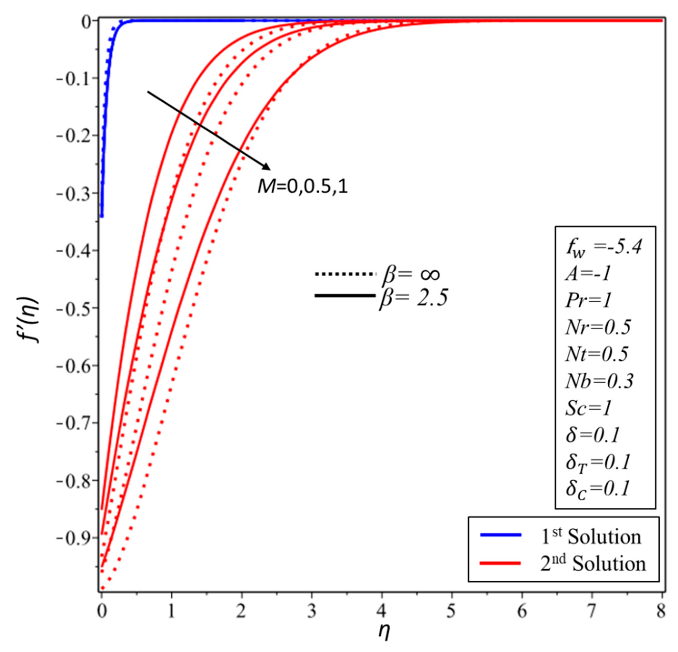
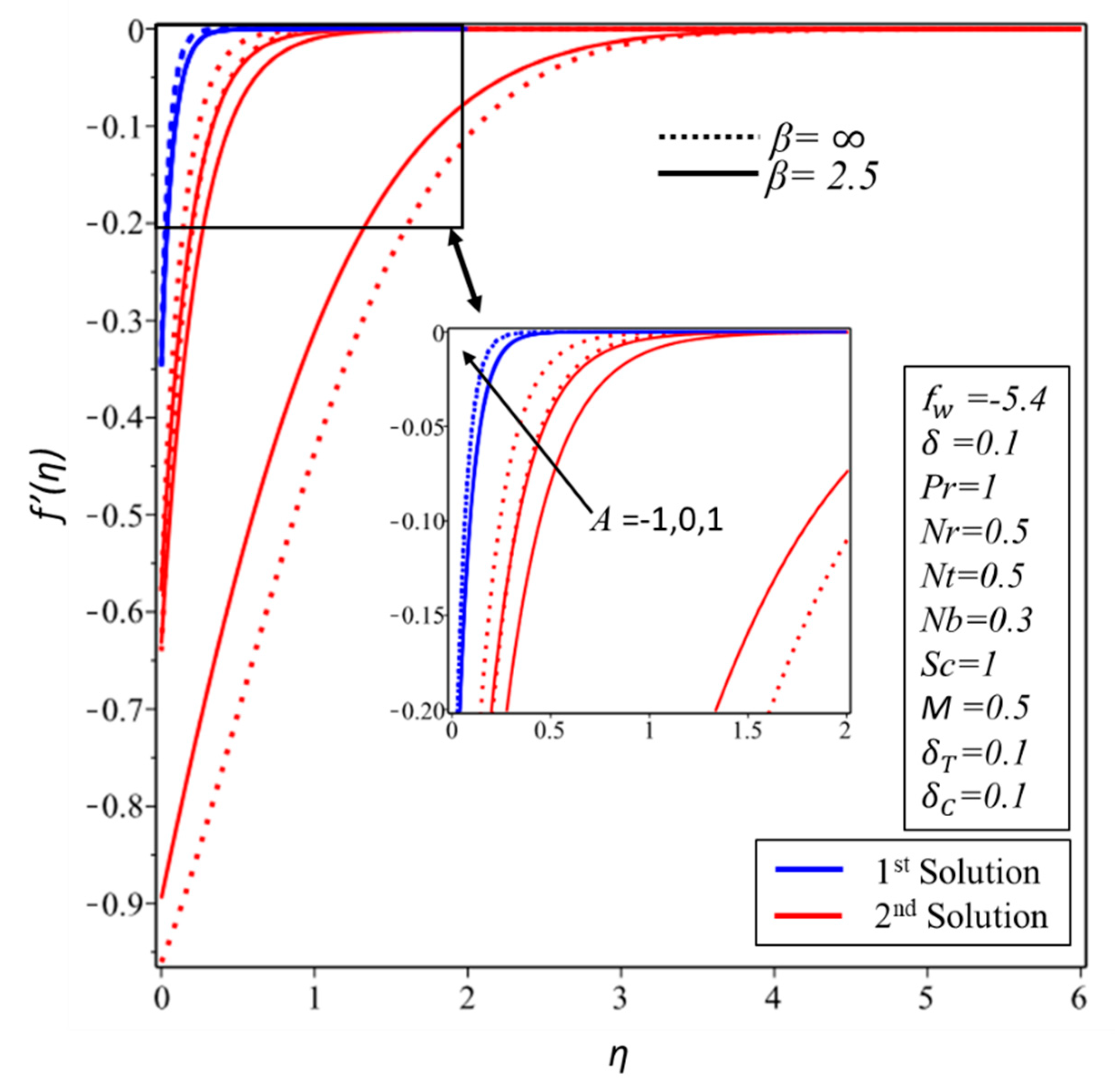
4.2. Analysis of Velocity Profiles
4.3. Analysis of Temperature Profiles
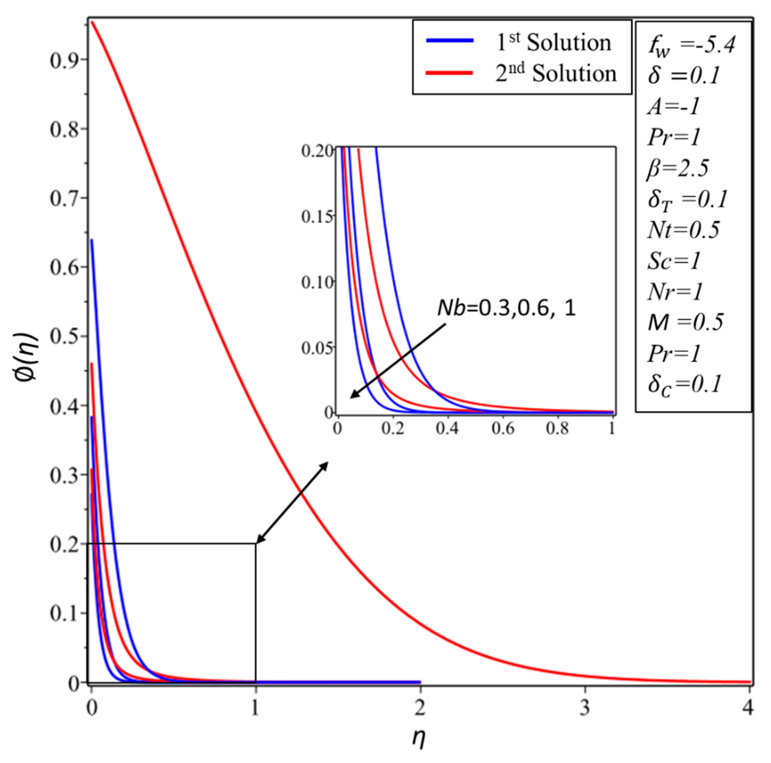
4.4. Analysis of Concentration Profiles and Stability
5. Conclusions
- Dual solutions exist when where and where .
- The temperature and thickness of the thermal boundary layer are reduced when the Prandtl number and Brownian motion parameter are increased.
- The velocity boundary layer becomes thicker in the second solution when the magnetic and velocity slip factor effect is increased.
- Beyond the critical point, there is a range with no solution.
- The results of stability analysis revealed that there exists initial decay (growth) of disturbances for the first (second) solution.
- The more physical realizable solution is the first solution.
Author Contributions
Funding
Acknowledgments
Conflicts of Interest
References
- Tanveer, A.; Khan, M.; Salahuddin, T.; Malik, M.Y. Numerical simulation of electroosmosis regulated peristaltic transport of Bingham nanofluid. Comput. Methods Programs Biomed. 2019, 2019, 105005. [Google Scholar] [CrossRef]
- Hayat, T.; Khan, S.A.; Khan, M.I.; Alsaedi, A. Theoretical investigation of Ree–Eyring nanofluid flow with entropy optimization and Arrhenius activation energy between two rotating disks. Comput. Methods Programs Biomed. 2019, 177, 57–68. [Google Scholar] [CrossRef] [PubMed]
- Casson, N. Rheology of Disperse Systems in Flow Equation for Pigment Oil Suspensions of the Printing Ink Type, Rheology of Disperse Systems; Mill, C.C., Ed.; Pergamon Press: London, UK, 1959; pp. 84–102. [Google Scholar]
- Rasool, G.; Zhang, T.; Chamkha, A.J.; Shafiq, A.; Tlili, I.; Shahzadi, G. Entropy Generation and Consequences of Binary Chemical Reaction on MHD Darcy–Forchheimer Williamson Nanofluid Flow Over Non-Linearly Stretching Surface. Entropy 2020, 22, 18. [Google Scholar] [CrossRef]
- Raza, J.; Rohni, A.; Omar, Z. A note on some solutions of copper-water (cu-water) nanofluids in a channel with slowly expanding or contracting walls with heat transfer. Math. Comput. Appl. 2016, 21, 24. [Google Scholar] [CrossRef]
- Raza, J.; Rohni, A.M.; Omar, Z. Rheology of micropolar fluid in a channel with changing walls: Investigation of multiple solutions. J. Mol. Liq. 2016, 223, 890–902. [Google Scholar] [CrossRef]
- Lund, L.A.; Omar, Z.; Khan, I. Quadruple Solutions of Mixed Convection Flow of Magnetohydrodynamic Nanofluid Over Exponentially Vertical Shrinking and Stretching Surfaces: Stability Analysis. Comput. Methods Programs Biomed. 2019, 2019, 105044. [Google Scholar] [CrossRef]
- Rahman, M.M.; Rosca, A.V.; Pop, I. Boundary layer flow of a nanofluid past a permeable exponentially shrinking surface with convective boundary condition using Buongiorno’s model. Int. J. Numer. Methods Heat Fluid Flow 2015, 25, 299–319. [Google Scholar] [CrossRef]
- Raza, J. Similarity Solutions of Boundary Layer Flows in a Channel Filled by Non-Newtonian Fluids. Ph.D. Thesis, Universiti Utara Malaysia, Changlun, Malaysia, 2018. [Google Scholar]
- Terrill, R.M.; Thomas, P.W. On laminar flow through a uniformly porous pipe. Appl. Sci. Res. 1969, 21, 37–67. [Google Scholar] [CrossRef]
- Terrill, R.M. Laminar flow in a uniformly porous channel (Laminar flow in two-dimensional channel with porous walls assuming uniformly injected fluid). Aeronaut. Q. 1964, 15, 299–310. [Google Scholar]
- Shrestha, G. Perturbation techniques in laminar flow. Q. J. Mech. Appl. Math. 1967, 20, 233–246. [Google Scholar] [CrossRef]
- Yuan, S.W. Further investigation of laminar flow in channels with porous walls. J. Appl. Phys. 1956, 27, 267–269. [Google Scholar] [CrossRef]
- Raithby, G. Laminar heat transfer in the thermal entrance region of circular tubes and two-dimensional rectangular ducts with wall suction and injection. Int. J. Heat Mass Transf. 1971, 14, 223–243. [Google Scholar] [CrossRef]
- Lund, L.A.; Omar, Z.; Khan, I.; Raza, J.; Bakouri, M.; Tlili, I. Stability Analysis of Darcy-Forchheimer Flow of Casson Type Nanofluid Over an Exponential Sheet: Investigation of Critical Points. Symmetry 2019, 11, 412. [Google Scholar] [CrossRef]
- Lund, L.A.; Omar, Z.; Khan, I.; Dero, S. Multiple solutions of Cu-C6H9NaO7 and Ag-C6H9NaO7 nanofluids flow over nonlinear shrinking surface. J. Cent. South Univ. 2019, 26, 1283–1293. [Google Scholar] [CrossRef]
- Shafiq, A.; Khan, I.; Rasool, G.; Seikh, A.H.; Sherif, E.S.M. Significance of double stratification in stagnation point flow of third-grade fluid towards a radiative stretching cylinder. Mathematics 2019, 7, 1103. [Google Scholar] [CrossRef]
- Raza, J.; Rohni, A.M.; Omar, Z. Multiple solutions of mixed convective MHD casson fluid flow in a channel. J. Appl. Math. 2016, 2016, 7535793. [Google Scholar] [CrossRef]
- Dero, S.; Rohni, A.M.; Saaban, A. MHD Micropolar Nanofluid Flow over an Exponentially Stretching/Shrinking Surface: Triple Solutions. J. Adv. Res. Fluid Mech. Therm. Sci. 2019, 56, 165–174. [Google Scholar]
- Lund, L.A.; Omar, Z.; Khan, I. Analysis of dual solution for MHD flow of Williamson fluid with slippage. Heliyon 2019, 5, e01345. [Google Scholar] [CrossRef]
- Rasool, G.; Shafiq, A.; Tlili, I. Marangoni convective nanofluid flow over an electromagnetic actuator in the presence of first-order chemical reaction. Heat Transf. Asian Res. 2020, 49, 274–288. [Google Scholar] [CrossRef]
- Dero, S.; Uddin, M.J.; Rohni, A.M. Stefan Blowing and Slip Effects on Unsteady Nanofluid Transport Past a Shrinking Sheet: Multiple Solutions. Heat Transf. Asian Res. 2019, 48, 2047–2066. [Google Scholar] [CrossRef]
- Barletta, A.; Magyari, E.; Keller, B. Dual mixed convection flows in a vertical channel. Int. J. Heat Mass Transf. 2005, 48, 4835–4845. [Google Scholar] [CrossRef]
- Cliffe, K.A.; Spence, A.; Tavener, S.J. The numerical analysis of bifurcation problems with application to fluid mechanics. Acta Numer. 2000, 9, 39–131. [Google Scholar] [CrossRef]
- Cliffe, K.A.; Spence, A.; Tavener, S.J. O(2)-symmetry breaking bifurcation: With application to the flow past a sphere in a pipe. Int. J. Numer. Methods Fluids 2000, 32, 175–200. [Google Scholar] [CrossRef]
- Fang, T. Flow and mass transfer for an unsteady stagnation-point flow over a moving wall considering blowing effects. J. Fluids Eng. 2014, 136, 071103. [Google Scholar] [CrossRef]
- Shehzad, S.A.; Hayat, T.; Alsaedi, A.; Meraj, M.A. On a magnetohydrodynamic flow of the Casson fluid with partial slip and thermal radiation. J. Appl. Mech. Tech. Phys. 2016, 57, 916–924. [Google Scholar] [CrossRef]
- Boukadida, N.; Nasrallah, S.B. Mass and heat transfer during water evaporation in laminar flow inside a rectangular channel—Validity of heat and mass transfer analogy. Int. J. Sci. 2001, 40, 67–81. [Google Scholar] [CrossRef]
- Fang, T.; Jing, W. Flow, heat, and species transfer over a stretching plate considering coupled Stefan blowing effects from species transfer. Commun. Nonlinear Sci. Numer. Simul. 2014, 19, 3086–3097. [Google Scholar] [CrossRef]
- Uddin, M.J.; Kabir, M.N.; Bég, O.A. Computational investigation of Stefan blowing and multiple-slip effects on buoyancy-driven bioconvection nanofluid flow with microorganisms. Int. J. Heat Mass Transf. 2016, 95, 116–130. [Google Scholar] [CrossRef]
- Alamri, S.Z.; Ellahi, R.; Shehzad, N.; Zeeshan, A. Convective radiative plane Poiseuille flow of nanofluid through porous medium with slip: An application of Stefan blowing. J. Mol. Liq. 2019, 273, 292–304. [Google Scholar] [CrossRef]
- Nakamura, M.; Sawada, T. Numerical study on the flow of a non-Newtonian fluid through an axisymmetric stenosis. J. Biomech. Eng. 1988, 110, 137–143. [Google Scholar] [CrossRef]
- Lund, L.A.; Omar, Z.; Khan, I.; Seikh, A.H.; Sherif, E.S.M.; Nisar, K.S. Stability analysis and multiple solution of Cu–Al2O3/H2O nanofluid contains hybrid nanomaterials over a shrinking surface in the presence of viscous dissipation. J. Mater. Res. Technol. 2020, 9, 421–432. [Google Scholar] [CrossRef]
- Dero, S.; Rohni, A.M.; Saaban, A.; Khan, I. Dual Solutions and Stability Analysis of Micropolar Nanofluid Flow with Slip Effect on Stretching/Shrinking Surfaces. Energies 2019, 12, 4529. [Google Scholar] [CrossRef]
- Lund, L.A.; Omar, Z.; Khan, I.; Kadry, S.; Rho, S.; Mari, I.A.; Nisar, K.S. Effect of Viscous Dissipation in Heat Transfer of MHD Flow of Micropolar Fluid Partial Slip Conditions: Dual Solutions and Stability Analysis. Energies 2019, 12, 4617. [Google Scholar] [CrossRef]
- Dero, S.; Mohd Rohni, A.; Saaban, A. Effects of the viscous dissipation and chemical reaction on Casson nanofluid flow over the permeable stretching/shrinking sheet. Heat Transfer. 2020, 1–20. [Google Scholar] [CrossRef]
- Lund, L.A.; Omar, Z.; Khan, I. Steady incompressible magnetohydrodynamics Casson boundary layer flow past a permeable vertically an exponentially shrinking sheet: A stability analysis. Heat Transf.—Asian Res. 2019. [Google Scholar] [CrossRef]
- Khan, J.A.; Mustafa, M.; Hayat, T.; Alsaedi, A. Three-dimensional flow of nanofluid over a non-linearly stretching sheet: An application to solar energy. Inter. J. Heat Mass Transf. 2015, 86, 158–164. [Google Scholar] [CrossRef]















| Shooting Method | Three-Stage Lobatto | IIIA Formula | ||||
|---|---|---|---|---|---|---|
| 1st Solution | 2nd Solution | 1st Solution | 2nd Solution | |||
| −5 | −1 | 5.2069632 | 0.6228652 | 5.2069632 | 0.6228652 | |
| −5.1 | 5.8082723 | 0.5521204 | 5.8082723 | 0.5521204 | ||
| −5.2 | 6.1370006 | 0.4934203 | 6.1370006 | 0.4934203 | ||
| 1.5 | 3.6769605 | 1.7569470 | 3.6769605 | 1.7569470 | ||
| 2.5 | −1 | 4.3796524 | 1.8324565 | 4.3796524 | 1.8324565 | |
| −0.5 | 4.3574468 | 2.6719383 | 4.3574468 | 2.6719383 | ||
| 0 | 4.3317923 | 2.9915082 | 4.3317923 | 2.9915082 | ||
| 0.5 | 4.3013107 | 3.2212830 | 4.3013107 | 3.2212830 | ||
| 1 | 4.2634822 | 3.4128383 | 4.2634822 | 3.4128383 |
© 2020 by the authors. Licensee MDPI, Basel, Switzerland. This article is an open access article distributed under the terms and conditions of the Creative Commons Attribution (CC BY) license (http://creativecommons.org/licenses/by/4.0/).
Share and Cite
Lund, L.A.; Omar, Z.; Raza, J.; Khan, I.; Sherif, E.-S.M. Effects of Stefan Blowing and Slip Conditions on Unsteady MHD Casson Nanofluid Flow Over an Unsteady Shrinking Sheet: Dual Solutions. Symmetry 2020, 12, 487. https://doi.org/10.3390/sym12030487
Lund LA, Omar Z, Raza J, Khan I, Sherif E-SM. Effects of Stefan Blowing and Slip Conditions on Unsteady MHD Casson Nanofluid Flow Over an Unsteady Shrinking Sheet: Dual Solutions. Symmetry. 2020; 12(3):487. https://doi.org/10.3390/sym12030487
Chicago/Turabian StyleLund, Liaquat Ali, Zurni Omar, Jawad Raza, Ilyas Khan, and El-Sayed M. Sherif. 2020. "Effects of Stefan Blowing and Slip Conditions on Unsteady MHD Casson Nanofluid Flow Over an Unsteady Shrinking Sheet: Dual Solutions" Symmetry 12, no. 3: 487. https://doi.org/10.3390/sym12030487
APA StyleLund, L. A., Omar, Z., Raza, J., Khan, I., & Sherif, E.-S. M. (2020). Effects of Stefan Blowing and Slip Conditions on Unsteady MHD Casson Nanofluid Flow Over an Unsteady Shrinking Sheet: Dual Solutions. Symmetry, 12(3), 487. https://doi.org/10.3390/sym12030487

