A Maximum Power Point Tracking Algorithm of Load Current Maximization-Perturbation and Observation Method with Variable Step Size
Abstract
1. Introduction
2. Analysis of Solar Photovoltaic Cell
2.1. Modeling of Solar Photovoltaic Cell
2.2. Output Characteristics of Solar Photovoltaic Cell
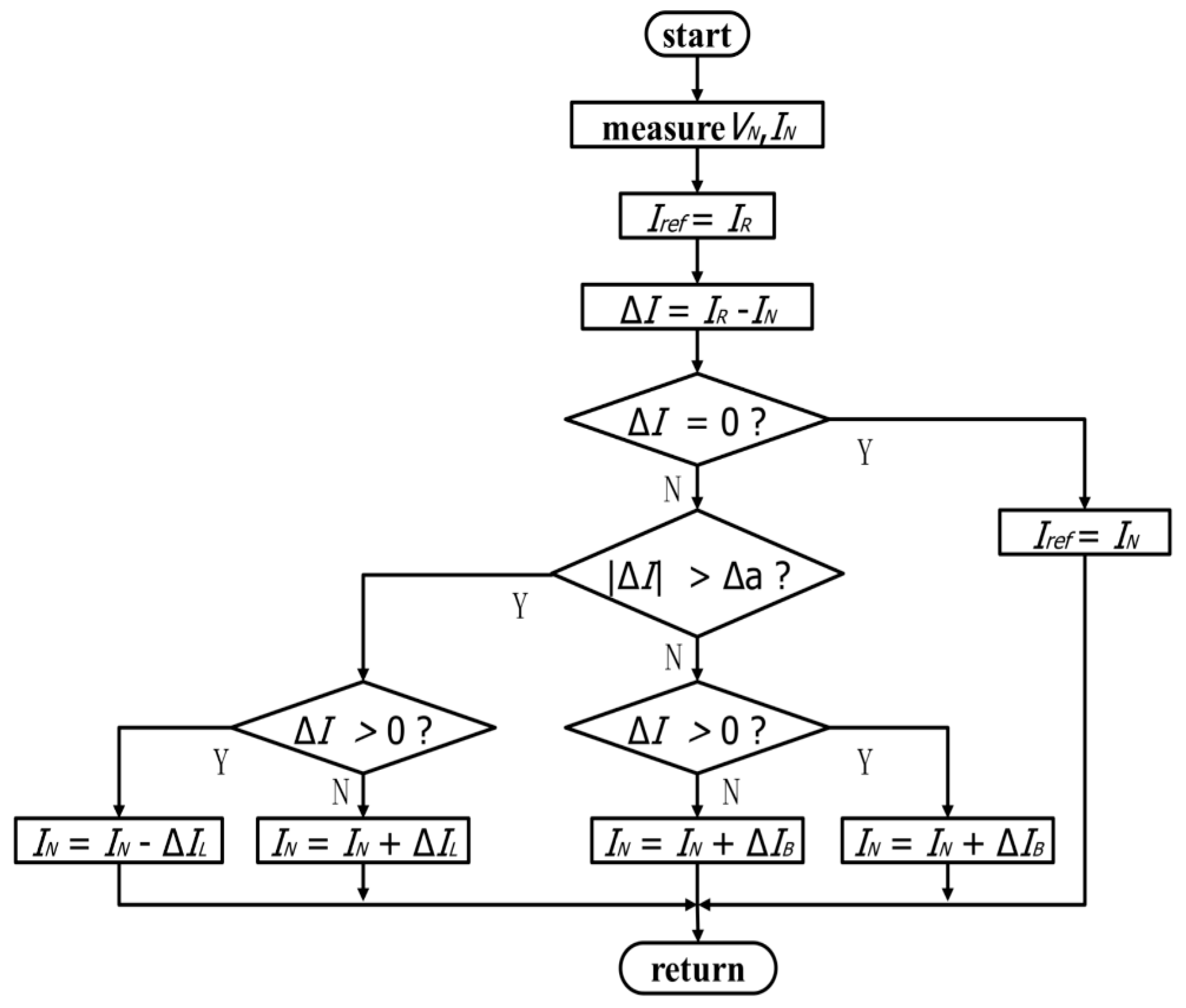
3. LCM-P&O Method and Its Improvement
3.1. LCM-P&O Method with Fixed Step Size
3.2. LCM-P&O Method with Variable Step Size
4. Simulation and Experiment Verification
4.1. Experimental Simulation
4.2. Experimental Verification
4.2.1. Design of MPPT Circuit
4.2.2. Experiment and Analysis under Constant Voltage Source Input
4.2.3. Experiment and Analysis under Indoor Fluorescent Lamp Illumination
5. Conclusions
Author Contributions
Funding
Acknowledgments
Conflicts of Interest
References
- Wang, C.; Li, J.; Yang, Y.; Ye, F. Combining solar energy harvesting with wireless charging for hybrid wireless sensor networks. IEEE. Trans. Mob. Comput. 2017, 17, 560–576. [Google Scholar] [CrossRef]
- Zhu, Y.; Kim, M.K.; Wen, H. Simulation and Analysis of Perturbation and Observation-Based Self-Adaptable Step Size Maximum Power Point Tracking Strategy with Low Power Loss for Photovoltaics. Energies 2019, 12, 92. [Google Scholar] [CrossRef]
- Macaulay, J.; Zhou, Z. A Fuzzy Logical-Based Variable Step Size P&O MPPT Algorithm for Photovoltaic System. Energies 2018, 11, 1340. [Google Scholar]
- Nallusamy, R.; Duraiswamy, K. Solar powered wireless sensor networks for environmental applications with energy efficient routing concepts: A review. Inf. Technol. J. 2011, 10, 1–10. [Google Scholar] [CrossRef]
- Zhang, X.; Yu, S.S.; Yin, L.L.; Zhong, W.W.; Yang, Z.J. P&O MPPT algorithm with variable step size based on dichotomy. Chin. J. Power Sources 2018, 42, 536–539. [Google Scholar]
- Vincheh, M.R.; Kargar, A.; Markadeh, G.A. A Hybrid Control Method for Maximum Power Point Tracking (MPPT) in Photovoltaic Systems. Arab. J. Sci. Eng. 2014, 39, 4715–4725. [Google Scholar] [CrossRef]
- Femia, N.; Petrone, G.; Spagnuolo, G.; Vitelli, M. Optimization of Perturb and Observe Maximum Power Point Tracking method. IEEE Trans. Power Electron. 2005, 20, 963–973. [Google Scholar] [CrossRef]
- Masoum, M.A.S.; Dehbonei, H.; Fuchs, E.F. Theoretical and experimental analyses of photovoltaic systems with voltage and current-based maximum power-point tracking. IEEE Trans. Energy Convers. 2002, 17, 514–522. [Google Scholar] [CrossRef]
- Dileep, G.; Singh, S.N. Maximum power point tracking of solar photovoltaic system using modified perturbation and observation method. Renew. Sustain. Energy Rev. 2015, 50, 109–129. [Google Scholar] [CrossRef]
- Yin, L. Design of Dynamically Self-Adaptive Load Current Maximization Technique in PV Cell MPPT Systems. Master’s Thesis, Zhejiang University, Hangzhou, Zhejiang, China, 2012. [Google Scholar]
- Ibnelouad, A.; Kari, A.E.; Ayad, H.; Mjahed, M. Comparison of Fuzzy and Neural Networks Controller for MPPT of Photovoltaic Modules. In Innovations in Smart Cities and Applications, Proceedings of the 2nd Mediterranean Symposium on Smart City Applications, Tangier, Morocco, 25–27 October 2017; Springer: Cham, Switzerland, 2017; pp. 515–527. [Google Scholar]
- Mei, Q.; Shan, M.W.; Liu, L.Y.; Guerrero, J.M. A novel improved variable step-size incremental-resistance MPPT method for PV systems. IEEE Trans. Ind. Electron. 2010, 58, 2427–2434. [Google Scholar] [CrossRef]
- Hang, F.H.; Yang, W.; Zhu, W.Y. Analysis and improvement of MPPT disturbance observer method for PV system. Power Syst. Prot. Control. 2014, 42, 110–114. [Google Scholar]
- Zheng, B.W.; Cai, F.H.; Wang, W. Analysis and research of MPPT algorithm for a single-stage PV grid-connected power generation system. Trans. China Electrotech. Soc. 2011, 26, 90–96. [Google Scholar]
- Veerachary, M.; Senjyu, T.; Uezato, K. Neural-network-based maximum-power-point tracking of coupled-inductor interleaved- boost- converter-supplied PV system using fuzzy controller. IEEE Trans. Ind. Electron. 2003, 50, 749–758. [Google Scholar] [CrossRef]
- Chen, C.B.; Jing, Z.; Gao, S. Study on An Improved Variable Step-size MPPT Algorithm for Restraining Steady Oscillation. Power Capacit. React. Power Compens. 2019, 40, 184–189. [Google Scholar]
- Hosseini, S.; Taheri, S.; Farzaneh, M.; Taheri, H. A High-Performance Shade-Tolerant MPPT Based on Current-Mode Control. IEEE Trans. Power Electron. 2019, 34, 10327–10340. [Google Scholar] [CrossRef]
- Xiong, Y.S.; Yu, L.; Xu, J.M. MPPT control of photovoltaic generation system combining constant voltage method with perturb-observe method. Electr. Power Autom. Equip. 2009, 9, 85–88. [Google Scholar]
- Ramos-Hernanz, J.; Lopez-Guede, J.M.; Barambones, O.; Zulueta, E.; Fernandez-Gamiz, U. Novel control algorithm for MPPT with Boost converters in photovoltaic systems. Int. J. Hydrog. Energy 2017, 42, 17831–17855. [Google Scholar] [CrossRef]
- Messalti, S.; Harrag, A.; Loukriz, A. A new variable step size neural networks MPPT controller: Review, simulation and hardware implementation. Renew. Sustain. Energy Rev. 2017, 68, 221–233. [Google Scholar] [CrossRef]
- Mousa, H.H.; Youssef, A.R.; Mohamed, E.E. Variable step size P&O MPPT algorithm for optimal power extraction of multi-phase PMSG based wind generation system. Electr. Power Energy Syst. 2019, 108, 218–231. [Google Scholar]
- Moon, S.; Kim, S.J.; Seo, J.W.; Park, J.H.; Park, C.; Chung, C.S. Maximum power point tracking without current sensor for photovoltaic module integrated converter using Zigbee wireless network. Int. J. Electr. Power Energy Syst. 2014, 56, 286–297. [Google Scholar] [CrossRef]
- Leedy, A.W.; Guo, L.P.; Aganah, K.A. A constant voltage MPPT method for a solar powered boost converter with DC motor load. In Proceedings of the 2012 IEEE Southeastcon, Orlando, FL, USA, 15–18 March 2012; pp. 1–6. [Google Scholar]
- Yin, L.; Wu, X.; Chen, C.L.; Cheng, L.C. Dynamically self-adaptive load current maximization technique for maximum power point tracking in photovoltaic arrays. In Proceedings of the 2011 IEEE International Conference of Electron Devices and Solid-State Circuits, Tianjin, China, 17–18 November 2011; pp. 1–2. [Google Scholar]
- Xiao, L.X.; He, Y.T.; Peng, Y.H.; Liu, J.H.; Li, L. Theory and Experiment Study on Temperature Effects on Photovoltaic Cell Conversion Characteristics. Electr. Meas. Instrum. 2014, 51, 62–66. [Google Scholar]
- Hu, C.W.; Li, B.G.; Wang, L.M.; Teng, N.N. Matlab/Simulink simulation research on a simplified mathematical model of PV cells. Renew. Energy Resour. 2013, 31, 20–24. [Google Scholar]
- Guo, C.L.; Zhang, S.S.; Li, M.; Du, H.C. Analysis on mathematic model of photovoltaic panels and MPPT control simulation. Chin. J. Power Sources 2014, 38, 1640–1643. [Google Scholar]
- Raghunathan, V.; Schurgers, C.; Park, S.; Srivastava, M.B. Energy-aware wireless microsensor networks. IEEE Signal Process. Mag. 2002, 19, 40–50. [Google Scholar] [CrossRef]












| Input Voltage (V) | Input current (mA) | Output Voltage (V) | Output Current (mA) | Tracking Efficiency (%) |
|---|---|---|---|---|
| 12/12 | 115/115 | 4.20/4.19 | 297/298 | 90.39/90.47 |
| 11/11 | 109/109 | 4.17/4.16 | 261/262 | 90.77/90.90 |
| 10/10 | 102/102 | 4.20/4.13 | 220/225 | 90.56/91.10 |
| 9/9 | 95/95 | 4.19/4.09 | 185/190 | 90.67/90.89 |
| 8/8 | 84/84 | 4.21/4.11 | 146/150 | 91.47/91.74 |
© 2020 by the authors. Licensee MDPI, Basel, Switzerland. This article is an open access article distributed under the terms and conditions of the Creative Commons Attribution (CC BY) license (http://creativecommons.org/licenses/by/4.0/).
Share and Cite
Zhang, L.; Wang, Z.; Cao, P.; Zhang, S. A Maximum Power Point Tracking Algorithm of Load Current Maximization-Perturbation and Observation Method with Variable Step Size. Symmetry 2020, 12, 244. https://doi.org/10.3390/sym12020244
Zhang L, Wang Z, Cao P, Zhang S. A Maximum Power Point Tracking Algorithm of Load Current Maximization-Perturbation and Observation Method with Variable Step Size. Symmetry. 2020; 12(2):244. https://doi.org/10.3390/sym12020244
Chicago/Turabian StyleZhang, Lieping, Zhengzhong Wang, Peng Cao, and Shenglan Zhang. 2020. "A Maximum Power Point Tracking Algorithm of Load Current Maximization-Perturbation and Observation Method with Variable Step Size" Symmetry 12, no. 2: 244. https://doi.org/10.3390/sym12020244
APA StyleZhang, L., Wang, Z., Cao, P., & Zhang, S. (2020). A Maximum Power Point Tracking Algorithm of Load Current Maximization-Perturbation and Observation Method with Variable Step Size. Symmetry, 12(2), 244. https://doi.org/10.3390/sym12020244

