Characteristics of Flow Symmetry and Heat Transfer of Winglet Pair in Common Flow Down Configuration
Abstract
:1. Introduction
2. Physical Model, Methods, and Formulations
3. Results and Discussions
3.1. Longitudinal Vortices on the Cross Sections
3.2. Contour Plot of Vortex Intensity
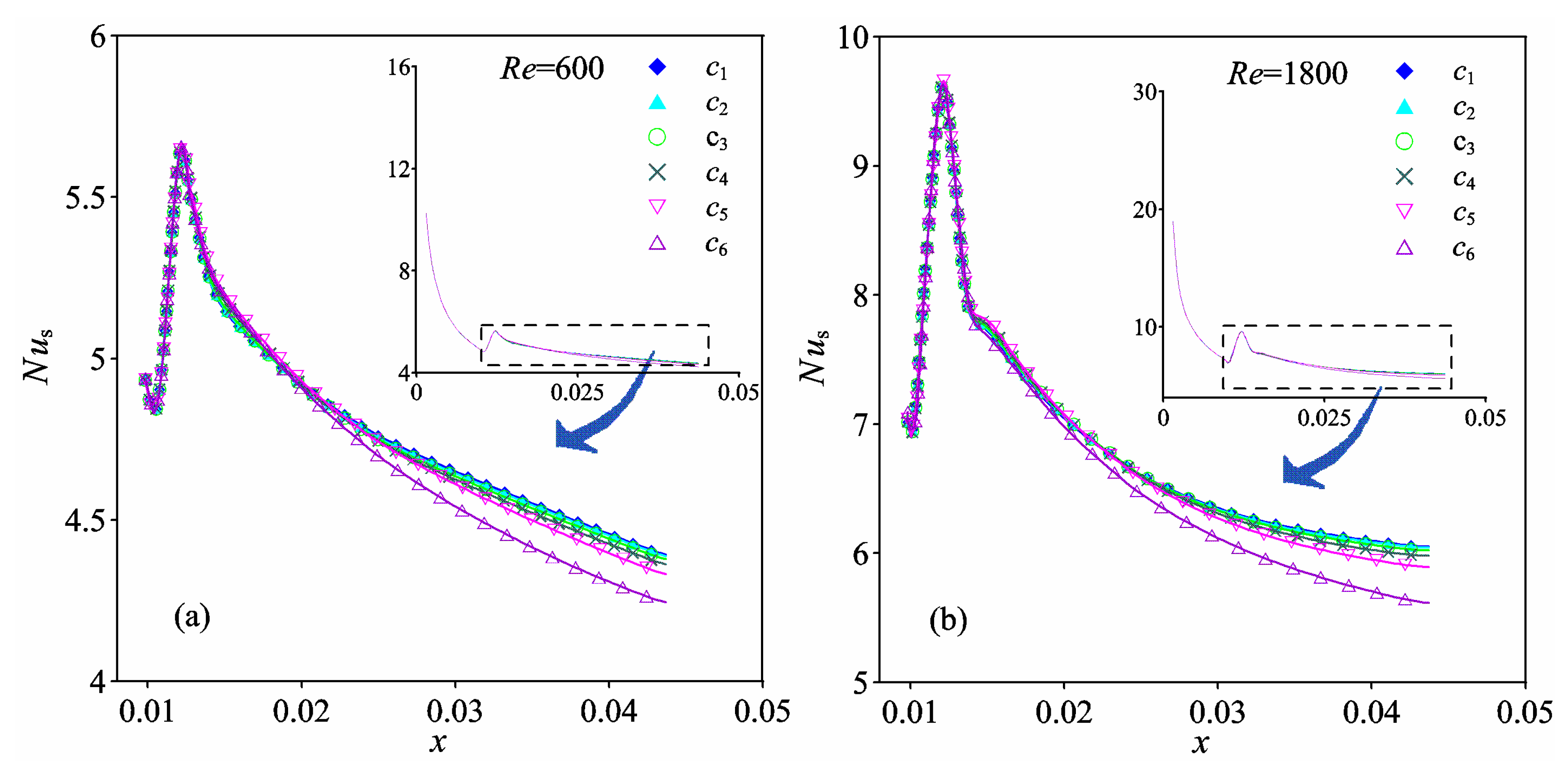
3.3. Distribution of Nus and Ses
3.4. Distributions of Nu, Se, f, and JF
4. Conclusions
- The symmetrical longitudinal vortices form a common-flow region between the vortices and the fluid is induced to flow from the top towards the bottom of the channel, which is beneficial for the heat transfer of the bottom fin;
- The vortex interaction in the symmetrical common-flow region increases with decreasing transverse pitch of the VG pair. The vortex intensity is obviously affected by the vortex interaction, while the friction factor is not influenced by the transverse pitch of the VG pair and the values of f for different transverse pitches are nearly the same;
- The vortex intensity, heat transfer, and thermal performance factor are obviously decreased when the transverse pitch of the studied VGs is smaller than a certain value of c5. VG pairs in a common flow down configuration should be arranged with the transverse pitch greater than c5 = 0.5 in order to obtain high thermal performance.
Author Contributions
Acknowledgments
Conflicts of Interest
Nomenclature
| A | cross section area (m2) |
| B | width of simulation domain (m) |
| cp | specific heat at constant pressure (J/(kg·K)) |
| dh | hydraulic diameter (m) |
| D | location of VG from inlet (m) |
| f | friction factor (−) |
| Fp | fin spacing (m) |
| H | vortex generator height (m) |
| JF | surface goodness factor (−) |
| L | length of simulation domain (m) |
| Nu | Nusselt number (−) |
| Nulocal | local Nusselt number on fin surface (−) |
| Nus | span-average Nusselt number (−) |
| p | pressure (Pa) |
| Re | Reynolds number (−) |
| S | heat transfer area (m2) |
| Se | secondary flow intensity (−) |
| Ses | bulk secondary flow intensity at position x (−) |
| T | temperature (K) |
| Ts | bulk temperature at position x (K) |
| Tw | fin surface temperature (K) |
| Us | characteristic velocity of secondary flow (m/s) |
| u,v,w | component of velocity (m/s) |
| u0 | average inlet velocity (m/s) |
| um | cross sectional average velocity (m/s) |
| Greek letters | |
| θ | angle of attack of VG (°) |
| λ | thermal conductivity (W/(m·K)) |
| μ | viscosity (kg/(m·s)) |
| ρ | density (kg/m3) |
| ωn | vorticity along main flow direction (1/s) |
| Subscripts | |
| in | inlet |
| out | outlet |
References
- Yanagihara, J.I.; Torri, K. Enhancement of laminar boundary layer heat transfer by longitudinal vortices. In Transport Phenomena in Heat and Mass Transfer; Elsevier Science: Sydney, Australia, 1991. [Google Scholar]
- Song, K.; Xi, Z.; Su, M.; Wang, L.; Wu, X.; Wang, L. Effect of geometric size of curved delta winglet vortex generators and tube pitch on heat transfer characteristics of fin-tube heat exchanger. Exp. Therm. Fluid Sci. 2017, 82, 8–18. [Google Scholar] [CrossRef]
- Bhutta Muhammad, M.A.; Hayat, N.; Bashir, M.H.; Khan, A.R.; Ahmad, K.N.; Khan, S. CFD applications in various heat exchangers design: A review. Appl. Therm. Eng. 2012, 32, 1–12. [Google Scholar] [CrossRef]
- Starace, G.; Fiorentino, M.; Longo, M.P.; Carluccio, E. A hybrid method for the cross flow compact heat exchangers design. Appl. Therm. Eng. 2017, 111, 1129–1142. [Google Scholar] [CrossRef]
- Meng, J.A.; Liang, X.G.; Li, Z.h.X. Numerical analysis on the characteristic of turbulent heat transfer with multilongitudinal vortices in tube. J. Eng. Thermophys. 2005, 3, 498–500. [Google Scholar]
- Wu, J.M.; Tao, W.Q. Impact of delta winglet vortex generators on the performance of a novel fin-tube surface with two rows of tubes in different diameters. Energy Convers. Manag. 2011, 52, 2895–2901. [Google Scholar] [CrossRef]
- Song, K.W.; Wang, L.B. The effectiveness of secondary flow produced by vortex generators mounted on both surfaces of the fin to enhance heat transfer in a flat tube bank fin heat exchanger. J. Heat Transf. 2013, 135, 041902. [Google Scholar] [CrossRef]
- Song, K.W.; Wang, L.B.; Sun, D.L. Convective heat transfer and absolute vorticity flux along main flow in a channel formed by flat tube bank fins with vortex generators mounted on both fin surfaces. J. Enhanc. Heat Transf. 2009, 16, 123–139. [Google Scholar] [CrossRef]
- Lei, Y.G.; He, Y.L.; Chu, P.; Tian, L.T. An investigation of the airside performance of fin and tube heat exchangers with delta-winglet. J. Eng. Thermophys. 2010, 31, 94–96. [Google Scholar]
- Samadifar, M.; Toghraie, D. Numerical simulation of heat transfer enhancement in a plate-fin heat exchanger using a new type of vortex generators. Appl. Therm. Eng. 2018, 133, 671–681. [Google Scholar] [CrossRef]
- Luo, C.h.; Wu, S.h.; Song, K.W.; Hua, L.; Wang, L.B. Thermo-hydraulic performance optimization of wavy fin heat exchanger by combining delta winglet vortex generators. Appl. Therm. Eng. 2019, 163, 114343. [Google Scholar] [CrossRef]
- Li, M.J.; Zhang, H.; Zhang, J.; Mu, T.; Tian, E.; Dan, D.; Zhang, X.D.; Tao, W.Q. Experimental and numerical study and comparison of performance for wavy fin and a plain fin with radiantly arranged winglets around each tube in fin and-tube heat exchangers. Appl. Therm. Eng. 2018, 133, 298–307. [Google Scholar] [CrossRef]
- Song, K.W.; Tagawa, T.; Chen, Z.H.; Zhang, Q. Heat transfer characteristics of concave and convex curved vortex generators in the channel of plate heat exchanger under laminar flow. Int. J. Therm. Sci. 2019, 137, 215–228. [Google Scholar] [CrossRef]
- Yang, J.S.; Jeong, M.; Park, Y.G.; Ha, M.Y. Numerical study on the flow and heat transfer characteristics in a dimple cooling channel with a wedge-shaped vortex generator. Int. J. Heat Mass Transf. 2019, 136, 1064–1078. [Google Scholar] [CrossRef]
- Silva, F.A.S.; Dezan, D.J.; Pantaleão, A.V.; Salviano, L.O. Longitudinal vortex generator applied to heat transfer enhancement of a flat plate solar water heater. Appl. Therm. Eng. 2019, 158, 113790. [Google Scholar] [CrossRef]
- Gupta, A.; Roy, A.; Gupta, S.a.c.h.i.n.; Gupta, M. Numerical investigation towards implementation of punched winglet as vortex generator for performance improvement of a fin-and-tube heat exchanger. Int. J. Heat Mass Transf. 2020, 149, 119171. [Google Scholar] [CrossRef]
- Skullong, S.; Promthaisong, P.; Promvonge, P.; Thianpong, C.h.; Pimsarn, M. Thermal performance in solar air heater with perforated-winglet-type vortex generator. Sol. Energy 2018, 170, 1101–1117. [Google Scholar] [CrossRef]
- Sinha, A.; Raman, K.A.; Chattopadhyay, H.; Biswas, G. Effects of different orientations of winglet arrays on the performance of plate-fin heat exchangers. Int. J. Heat Mass Transf. 2013, 57, 202–214. [Google Scholar] [CrossRef]
- Tian, L.T.; Lei, Y.G.; He, Y.L. Heat transfer enhancement in a channel with longitudinal VGs and field synergy principle analysis. J. Eng. Thermophys. 2008, 12, 2128–2130. [Google Scholar]
- Yang, J.S.; Li, D.W.; Choi, G.M. Numerical investigation of fluid flow and heat transfer characteristics by common-flow-up. Int. J. Heat Mass Transf. 2008, 51, 6332–6336. [Google Scholar] [CrossRef]
- Sarangi, S.K.; Mishra, D.P. Effect of winglet location on heat transfer of a fin-and-tube heat exchanger. Appl. Therm. Eng. 2017, 116, 528–540. [Google Scholar] [CrossRef]
- Lu, G.F.; Zhai, X.Q. Analysis on heat transfer and pressure drop of fin-and-oval-tube heat exchangers with tear-drop delta vortex generators. Int. J. Heat Mass Transf. 2018, 127, 1054–1063. [Google Scholar] [CrossRef]
- Song, K.W.; Liu, S.; Wang, L.B. Interaction of counter rotating longitudinal vortices and the effect on fluid flow and heat transfer. Int. J. Heat Mass Transf. 2016, 93, 349–360. [Google Scholar] [CrossRef]
- Song, K.W.; Tagawa, T. The optimal arrangement of vortex generators for best heat transfer enhancement in flat-tube-fin heat exchanger. Int. J. Therm. Sci. 2018, 132, 355–367. [Google Scholar] [CrossRef]
- Song, K.W.; Wang, L.B. Effects of longitudinal vortex interaction on periodically developed flow and heat transfer of fin-and-tube heat exchanger. Int. J. Therm. Sci. 2016, 109, 206–216. [Google Scholar] [CrossRef]
- Tao, W.Q. Numerical Heat Transfer, 2nd ed.; Xi’an Jiaotong University Press: Xi’an, China, 2001. [Google Scholar]
- Tian, L.T.; He, Y.L.; Lei, Y.G.; Tao, W.Q. Numerical study of fluid flow and heat transfer in a flat-plate channel with longitudinal vortex generators by applying field synergy principle analysis. Int. Commun. Heat Mass Tran. 2009, 36, 111–120. [Google Scholar] [CrossRef]












| Transverse pitch | c1 | c2 | c3 | c4 | c5 | c6 |
| c = C/(2Hsinθ) | 2.5 | 2 | 1.5 | 1 | 0.5 | 0 |
| No. | Grid (x × y × z) | Nu | Relative Error | f | Relative Error |
|---|---|---|---|---|---|
| 1 | 138 × 114 × 24 | 6.649 | 0.47% | 5.854 × 10−2 | 0.67% |
| 2 | 194 × 142 × 32 | 6.618 | - | 5.815 × 10−2 | - |
| 3 | 234 × 166 × 38 | 6.629 | 0.17% | 5.832 × 10−2 | 0.29% |
© 2020 by the authors. Licensee MDPI, Basel, Switzerland. This article is an open access article distributed under the terms and conditions of the Creative Commons Attribution (CC BY) license (http://creativecommons.org/licenses/by/4.0/).
Share and Cite
Song, K.; Shi, W.; Wu, X.; Wang, L. Characteristics of Flow Symmetry and Heat Transfer of Winglet Pair in Common Flow Down Configuration. Symmetry 2020, 12, 209. https://doi.org/10.3390/sym12020209
Song K, Shi W, Wu X, Wang L. Characteristics of Flow Symmetry and Heat Transfer of Winglet Pair in Common Flow Down Configuration. Symmetry. 2020; 12(2):209. https://doi.org/10.3390/sym12020209
Chicago/Turabian StyleSong, KeWei, WeiNa Shi, Xiang Wu, and LiangBi Wang. 2020. "Characteristics of Flow Symmetry and Heat Transfer of Winglet Pair in Common Flow Down Configuration" Symmetry 12, no. 2: 209. https://doi.org/10.3390/sym12020209
APA StyleSong, K., Shi, W., Wu, X., & Wang, L. (2020). Characteristics of Flow Symmetry and Heat Transfer of Winglet Pair in Common Flow Down Configuration. Symmetry, 12(2), 209. https://doi.org/10.3390/sym12020209
