Gravitating Bubbles of Gluon Plasma above Deconfinement Temperature
Abstract
1. Introduction
2. The Model
2.1. Z3-Symmetric Potential
2.2. Coupling to Einstein Gravity
3. Q-Balls
3.1. Ansatz and Existence Conditions
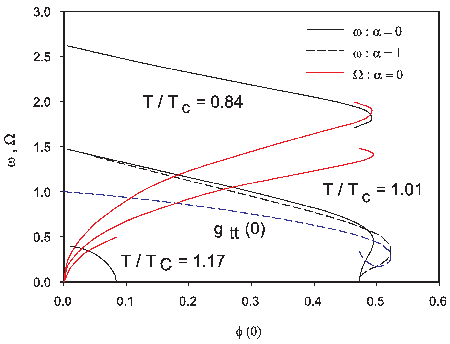
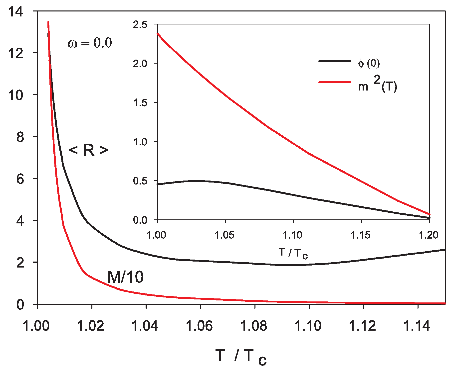
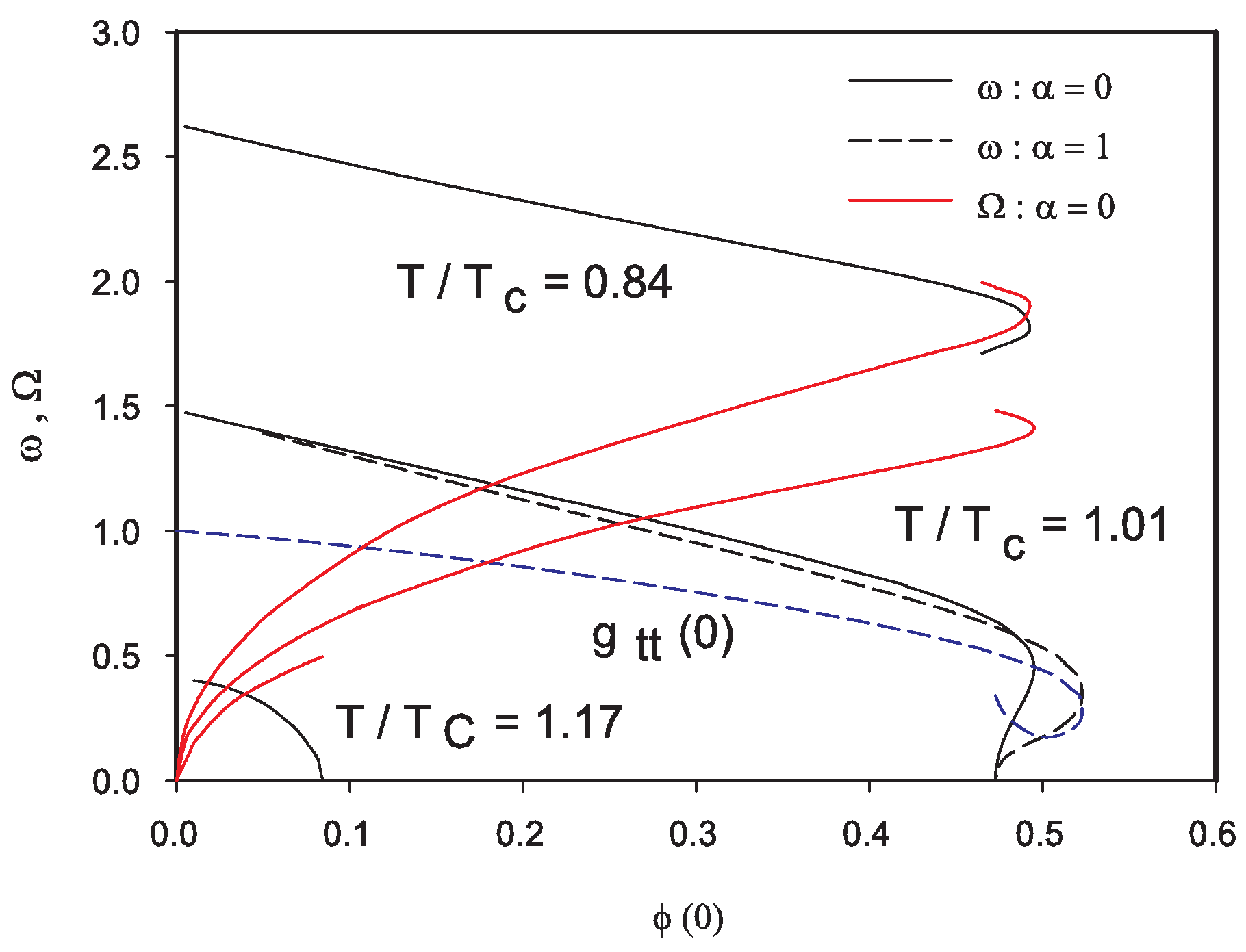
3.2. Numerical Results
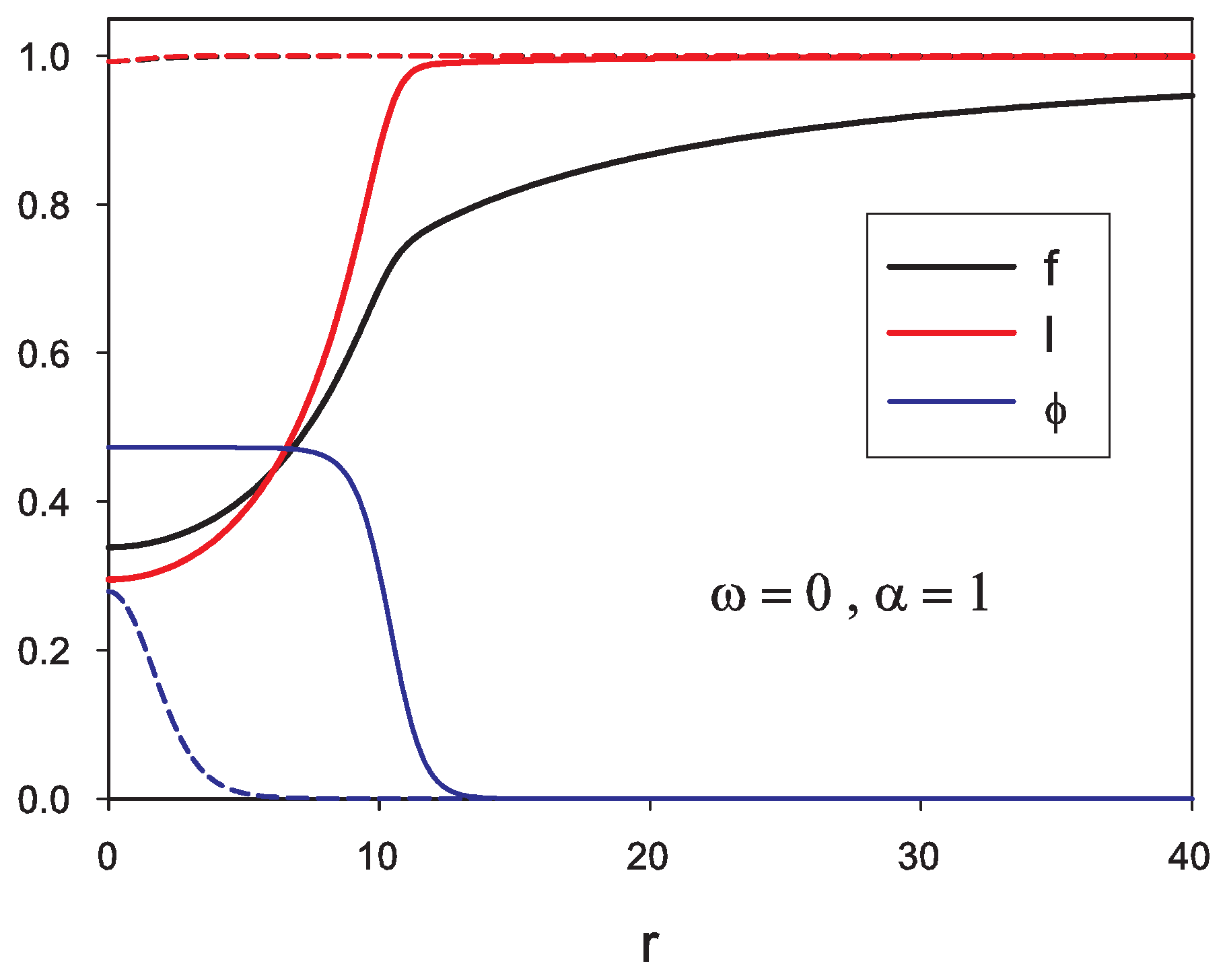
3.3. Symmetry Breaking
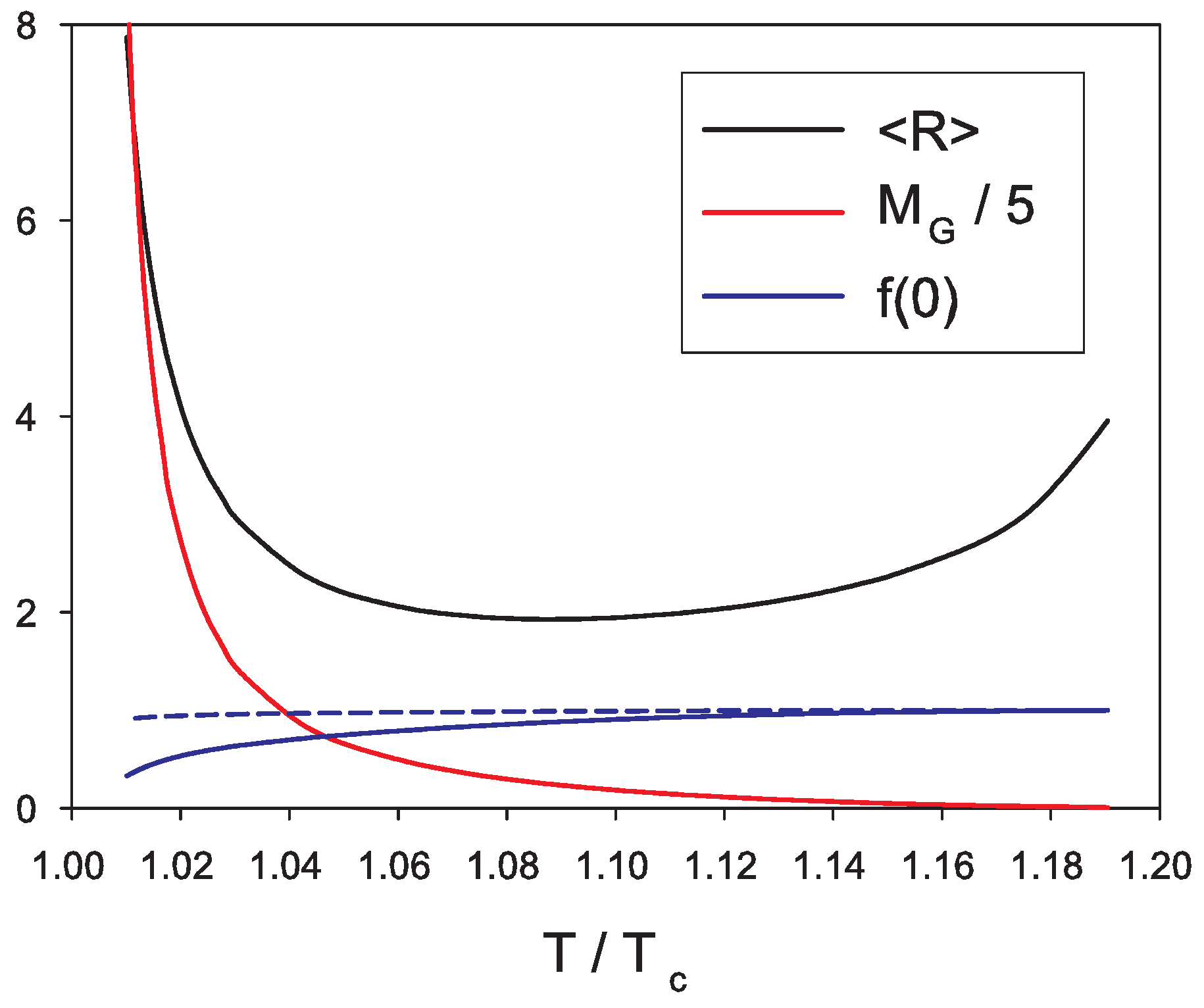
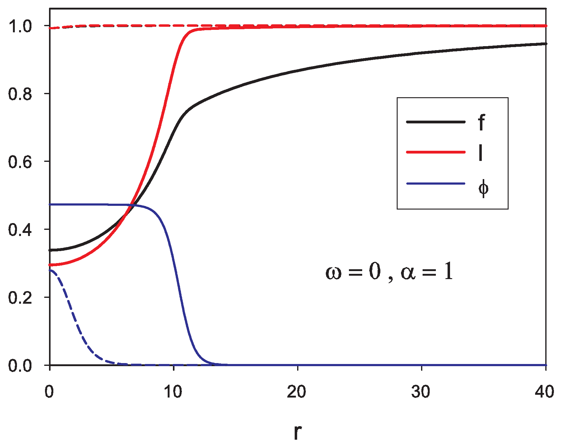
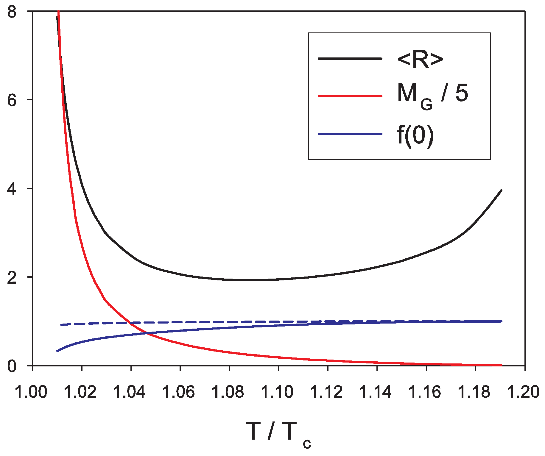
4. Q-Holes
5. Boson Stars
6. Summary and Outlook
Author Contributions
Funding
Conflicts of Interest
References
- Polyakov, A.M. Thermal Properties of Gauge Fields and Quark Liberation. Phys. Lett. B 1978, 72, 477–480. [Google Scholar] [CrossRef]
- Susskind, L. Lattice Models of Quark Confinement at High Temperature. Phys. Rev. D 1979, 20, 2610–2618. [Google Scholar] [CrossRef]
- Arsene, I.; Bearden, I.G.; Beavis, D.; Besliu, C.; Budick, B.; Bøggild, H.; Chasman, C.; Christensen, C.H.; Christiansen, P.; Cibor, J.; et al. Quark gluon plasma and color glass condensate at RHIC? The Perspective from the BRAHMS experiment. Nucl. Phys. A 2005, 757, 1–27. [Google Scholar] [CrossRef]
- Aidala, C.; Akiba, Y.; Alfred, M.; Andrieux, V.; Aoki, K.; Apadula, N.; Asano, H.; Ayuso, C.; Azmoun, B.; Babintsev, V.; et al. Creation of quark–gluon plasma droplets with three distinct geometries. Nat. Phys. 2019, 15, 214–220. [Google Scholar] [CrossRef]
- Yaffe, L.G.; Svetitsky, B. First Order Phase Transition in the SU(3) Gauge Theory at Finite Temperature. Phys. Rev. D 1982, 26, 963. [Google Scholar] [CrossRef]
- Svetitsky, B.; Yaffe, L.G. Critical Behavior at Finite Temperature Confinement Transitions. Nucl. Phys. B 1982, 210, 423–447. [Google Scholar] [CrossRef]
- Weiss, N. The Wilson Line in Finite Temperature Gauge Theories. Phys. Rev. D 1982, 25, 2667. [Google Scholar] [CrossRef]
- Smilga, A.V. Are Z(N) bubbles really there? Ann. Phys. 1994, 234, 1–59. [Google Scholar] [CrossRef]
- Korthals-Altes, C.; Kovner, A.; Stephanov, M.A. Spatial’t Hooft loop, hot QCD and Z(N) domain walls. Phys. Lett. B 1999, 469, 205–212. [Google Scholar] [CrossRef]
- Hooft, G.T. On the Phase Transition Towards Permanent Quark Confinement. Nucl. Phys. B 1978, 138, 1–25. [Google Scholar] [CrossRef]
- Boyd, G.; Engels, J.; Karsch, F.; Laermann, E.; Legeland, C.; Lutgemeier, M.; Petersson, B. Thermodynamics of SU(3) lattice gauge theory. Nucl. Phys. B 1996, 469, 419–444. [Google Scholar] [CrossRef]
- Sannino, F. Higher representations: Confinement and large N. Phys. Rev. D 2005, 72, 125006. [Google Scholar] [CrossRef]
- Brihaye, Y.; Buisseret, F. Q-ball formation at the deconfinement temperature in large-Nc QCD. Phys. Rev. D 2013, 87, 014020. [Google Scholar] [CrossRef]
- Gupta, U.S.; Mohapatra, R.K.; Srivastava, A.M.; Tiwari, V.K. Simulation of Z(3) walls and string production via bubble nucleation in a quark-hadron transition. Phys. Rev. D 2010, 82, 074020. [Google Scholar] [CrossRef]
- Jin, J.; Mao, H. Nontopological Soliton in the Polyakov Quark Meson Model. Phys. Rev. C 2016, 93, 015202. [Google Scholar] [CrossRef]
- Scavenius, O.; Dumitru, A.; Jackson, A.D. Explosive decomposition in ultrarelativistic heavy ion collision. Phys. Rev. Lett. 2001, 87, 182302. [Google Scholar] [CrossRef]
- Fraga, E.S.; Krein, G. Can dissipation prevent explosive decomposition in high-energy heavy ion collisions? Phys. Lett. B 2005, 614, 181–186. [Google Scholar] [CrossRef][Green Version]
- Gupta, U.S.; Mohapatra, R.K.; Srivastava, A.M.; Tiwari, V.K. Effects of Quarks on the Formation and Evolution of Z(3) Walls and Strings in Relativistic Heavy-Ion Collisions. Phys. Rev. D 2012, 86, 125016. [Google Scholar] [CrossRef]
- Mohapatra, R.K.; Srivastava, A.M. Domain growth and fluctuations during quenched transition to quark-gluon plasma in relativistic heavy-ion collisions. Phys. Rev. C 2013, 88, 044901. [Google Scholar] [CrossRef]
- Nugaev, E.; Shkerin, A.; Smolyakov, M. Q-holes. J. High Energy Phys. 2016, 12, 32. [Google Scholar] [CrossRef]
- Sasagawa, S.; Tanaka, H. The separation of the chiral and deconfinement phase transitions in the curved space-time. Prog. Theor. Phys. 2012, 128, 925–939. [Google Scholar] [CrossRef][Green Version]
- Flachi, A. Deconfinement transition and Black Holes. Phys. Rev. D 2013, 88, 041501. [Google Scholar] [CrossRef]
- Bartnik, R.; Mckinnon, J. Particle-Like Solutions of the Einstein Yang-Mills Equations. Phys. Rev. Lett. 1988, 61, 141–144. [Google Scholar] [CrossRef] [PubMed]
- Liebling, S.L.; Palenzuela, C. Dynamical Boson Stars. Living Rev. Relativ. 2012, 15, 6. [Google Scholar] [CrossRef] [PubMed]
- Kulshreshtha, U.; Kumar, S.; Kulshreshtha, D.S.; Kunz, J. Boson Stars and QCD Boson Stars. PoS 2020, LC2019, 054. [Google Scholar] [CrossRef]
- Ratti, C.; Roessner, S.; Thaler, M.A.; Weise, W. Thermodynamics of the PNJL model. Eur. Phys. J. C 2007, 49, 213–217. [Google Scholar] [CrossRef]
- Volkov, M.S.; Wohnert, E. Spinning Q balls. Phys. Rev. D 2002, 66, 085003. [Google Scholar] [CrossRef]
- Buisseret, F.; Lacroix, G. A large-Nc PNJL model with explicit ZNc symmetry. Phys. Rev. D 2012, 85, 016009. [Google Scholar] [CrossRef]
- Dumitru, A.; Pisarski, R.D. Event-by-event fluctuations from decay of a Polyakov loop condensate. Phys. Lett. B 2001, 504, 282–290. [Google Scholar] [CrossRef]
- Sarkar, S.; Satz, H.; Sinha, B. The Physics of the Quark-Gluon Plasma; Lecture Notes in Physics; Springer: Berlin/Heidelberg, Germany, 2010; Volume 785, pp. 1–369. [Google Scholar] [CrossRef]
- Kaczmarek, O.; Zantow, F. Static quark anti-quark interactions in zero and finite temperature QCD. I. Heavy quark free energies, running coupling and quarkonium binding. Phys. Rev. D 2005, 71, 114510. [Google Scholar] [CrossRef]
- Ratti, C.; Thaler, M.A.; Weise, W. Phases of QCD: Lattice thermodynamics and a field theoretical model. Phys. Rev. D 2006, 73, 014019. [Google Scholar] [CrossRef]
- Ascher, U.; Christiansen, J.; Russell, R. A Collocation Solver for Mixed Order Systems of Boundary Value Problems. Math. Comput. 1979, 33, 659–679. [Google Scholar] [CrossRef]
- Kleihaus, B.; Kunz, J.; List, M. Rotating boson stars and Q-balls. Phys. Rev. D 2005, 72, 064002. [Google Scholar] [CrossRef]
- Brihaye, Y.; Diemer, V.; Hartmann, B. Charged Q-balls and boson stars and dynamics of charged test particles. Phys. Rev. D 2014, 89, 084048. [Google Scholar] [CrossRef]
- Fukushima, K. Chiral effective model with the Polyakov loop. Phys. Lett. B 2004, 591, 277–284. [Google Scholar] [CrossRef]
- Biswal, M.; Digal, S.; Saumia, P. Z3 meta-stable states in PNJL model. arXiv 2019, arXiv:1907.07981. [Google Scholar]
- Nugaev, E.Y.; Shkerin, A. Review of Nontopological Solitons in Theories with U(1)-Symmetry. J. Exp. Theor. Phys. 2020, 130, 301–320. [Google Scholar] [CrossRef]






© 2020 by the authors. Licensee MDPI, Basel, Switzerland. This article is an open access article distributed under the terms and conditions of the Creative Commons Attribution (CC BY) license (http://creativecommons.org/licenses/by/4.0/).
Share and Cite
Brihaye, Y.; Buisseret, F. Gravitating Bubbles of Gluon Plasma above Deconfinement Temperature. Symmetry 2020, 12, 1668. https://doi.org/10.3390/sym12101668
Brihaye Y, Buisseret F. Gravitating Bubbles of Gluon Plasma above Deconfinement Temperature. Symmetry. 2020; 12(10):1668. https://doi.org/10.3390/sym12101668
Chicago/Turabian StyleBrihaye, Yves, and Fabien Buisseret. 2020. "Gravitating Bubbles of Gluon Plasma above Deconfinement Temperature" Symmetry 12, no. 10: 1668. https://doi.org/10.3390/sym12101668
APA StyleBrihaye, Y., & Buisseret, F. (2020). Gravitating Bubbles of Gluon Plasma above Deconfinement Temperature. Symmetry, 12(10), 1668. https://doi.org/10.3390/sym12101668

