MILDMS: Multiple Instance Learning via DD Constraint and Multiple Part Similarity
Abstract
1. Introduction
- We made the first attempt to convert MIL to multiple part similarity problem and analyzed their relationships.
- Our most positive and negative instance similarity with multiple part similarities combination method has shown to achieve significant improvements in robust MIL where noisy labels are provided.
- The one target concept and multiple target concepts problems in MIL can be tackled in one framework. Meanwhile, we combine the hand-crafted and CNN features into our framework, which can provide more powerful feature representation ability.
- Experiments on MIL dataset MUSK, PASCAL VOC, and COREL, etc., show that our proposal can outperform the state-of-the-art baselines including traditional MIL and deep MIL algorithms.
2. Related Works
3. Algorithm Overview
3.1. The Analysis of MIL and Multiple Part Similarity
3.2. Overview of Our Proposed MILDMS Algorithm
4. MILDMS Algorithm
4.1. Review of Diverse Density (DD) Algorithm
4.2. Target Concept Locating
4.3. De-Noising Mislabeled Instances
4.4. Multiple Part Similarity Kernel Construction
4.5. MIL Kernel Construction
4.6. Feature Extraction
4.7. Algorithm View
| Algorithm 1. Learning MIL Classifier |
| Repeat iterations Fork+ = 1: M For k− = 1: M
End Until the constraint C4 is met For (each training bag Bi in set B)
Optimize Equation (18) to obtain the decision variables |
| Algorithm 2. Classifying MIL Bag |
For (each unknown bag Bi in set U)
|
5. Experiments
5.1. Standard MIL Dataset
5.2. Object Detection
5.3. Image Classification Application
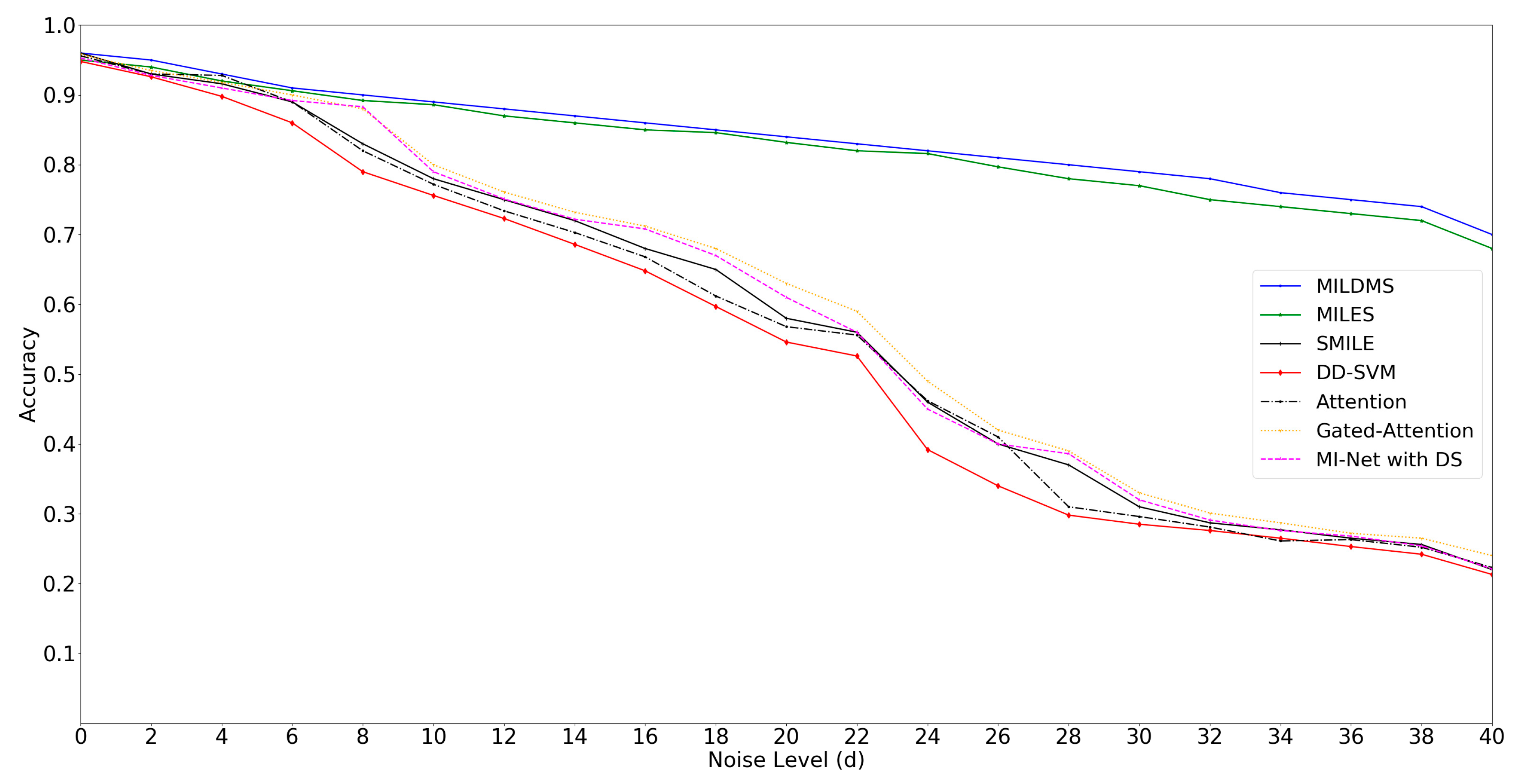
5.4. Sensitivity to Labeling Noise
6. Conclusions
Author Contributions
Funding
Conflicts of Interest
References
- Liu, B.; Xiao, Y.; Hao, Z. A Selective Multiple Instance Transfer Learning Method for Text Categorization Problems. Knowl. Based Syst. 2018, 141, 178–187. [Google Scholar] [CrossRef]
- Hu, K.; He, W.; Ye, J.; Zhao, L.; Peng, H.; Pi, J. Online Visual Tracking of Weighted Multiple Instance Learning via Neutrosophic Similarity-Based Objectness Estimation. Symmetry 2019, 11, 832. [Google Scholar] [CrossRef]
- Yuan, C.H.; Xu, C.Y.; Wang, T.J.; Liu, F.; Zhao, Z.; Feng, P.; Guo, J. Deep multi-instance learning for end-to-end person re-identification. Multimed. Tools Appl. 2018, 77, 12437–12467. [Google Scholar] [CrossRef]
- Manivannan, S.; Cobb, C.; Burgess, S.; Trucco, E. Subcategory Classifiers for Multiple-Instance Learning and Its Application to Retinal Nerve Fiber Layer Visibility Classification. IEEE Trans. Med. Imaging 2017, 36, 1140–1150. [Google Scholar] [CrossRef] [PubMed]
- Dietterich, T.G.; Lathrop, R.H.; Lozano-Perez, T. Solving the multiple instance problem with axis-parallel retangles. Artif. Intell. 1997, 89, 31–71. [Google Scholar] [CrossRef]
- Maron, O. Learning from Ambiguity. Ph.D. Thesis, MIT, Cambridge, MA, USA, 1998. [Google Scholar]
- Wang, J.; Zucker, J.D. Solving the multiple instance problem: A lazy learning approach. In Proceedings of the International Conference on Machine Learning (ICML), Stanford, CA, USA, 28 June–1 July 2001; pp. 1119–1126. [Google Scholar]
- Zhang, Q.; Goldman, S.A. Em-dd: An improved multiple-instance learning. In Proceedings of the Advances in Neural Information Processing Systems (NIPS), Vancouver, BC, Canada, 3–8 December 2001; pp. 1073–1080. [Google Scholar]
- Gartner, T.; Flach, P.A.; Kowalczyk, A.; Smola, A.J. Multi-instance kernels. In Proceedings of the International Conference on Machine Learning (ICML), Sydney, Australia, 8–12 July 2002; pp. 179–186. [Google Scholar]
- Andrews, S.; Tsochantaridis, I.; Hofmann, T. Support vector machines for multiple-instance learning. In Proceedings of the Advances in Neural Information Processing Systems (NIPS), Vancouver and Whistler, British Columbia, BC, Canada, 8–13 December 2003; pp. 561–568. [Google Scholar]
- Chen, Y.; Wang, J.Z. Image categorization by learning and reasoning with regions. J. Mach. Learn. Res. 2004, 5, 913–939. [Google Scholar]
- Chen, Y.; Bi, J.; Wang, J. Miles: Multiple-instance learning via embedded instance selection. IEEE Trans. Pattern Anal. Mach. Intell. 2006, 28, 1931–1947. [Google Scholar] [CrossRef]
- Zhou, Z.H.; Xu, J.M. On the relation between multi-instance learning and semi supervised learning. In Proceedings of the International Conference on Machine Learning (ICML), Corvallis, OR, USA, 20–24 June 2007; pp. 1167–1174. [Google Scholar]
- Zhou, Z.H.; Sun, Y.Y.; Li, Y.F. Multi-instance learning by treating instances as non-i.i.d. samples. In Proceedings of the International Conference on Machine Learning (ICML), Montreal, QC, Canada, 14–18 June 2009; pp. 1249–1256. [Google Scholar]
- Fu, Z.; Robles-Kelly, A.; Zhou, J. MILIS: Multiple instance learning with instance selection. IEEE Trans. Pattern Anal. Mach. Intell. 2011, 33, 958–977. [Google Scholar]
- Erdem, A.; Erdem, E. Multiple-instance learning with instance selection via dominant sets. Lect. Notes Comput. Sci. SIMBAD 2011, 7005, 177–191. [Google Scholar]
- Zhang, D.; He, J.R.; Si, L.; Lawrence, R. MILEAGE: Multiple Instance Learning with Global Embedding. In Proceedings of the International Conference on Machine Learning (ICML), Atlanta, GA, USA, 16–21 June 2013; pp. 82–90. [Google Scholar]
- Nguyen, D.T.; Nguyen, C.D.; Hargraves, R.; Kurgan, L.A.; Cios, K.J. mi-DS: Multiple-Instance Learning Algorithm. IEEE Trans. Cybern. 2013, 43, 143–154. [Google Scholar] [CrossRef]
- Li, Z.; Geng, G.H.; Feng, J.; Peng, J.Y.; Wen, C.; Liang, J.L. Multiple instance learning based on positive instance selection and bag structure construction. Pattern Recogn. Lett. 2014, 40, 19–26. [Google Scholar] [CrossRef]
- Xiao, Y.; Liu, B.; Hao, Z.; Cao, L. Smile: A similarity-based approach for multiple instance learning. IEEE Trans. Cybern. 2014, 44, 500–515. [Google Scholar] [CrossRef] [PubMed]
- Zhang, Y.L.; Zhou, Z.H. Multi-instance learning with key instance shift. In Proceedings of the International Joint Conference on Artificial Intelligence (IJCAI), Melbourne, Australia, 19–25 August 2017; pp. 3441–3447. [Google Scholar]
- Küçükaşcı, E.S.; Baydoğan, M.G. Bag encoding strategies in multiple instance learning problems. Inform. Sci. 2018, 32, 654–669. [Google Scholar] [CrossRef]
- Wu, J.; Pan, S.; Zhu, X.; Zhang, C.; Wu, X. Multi-instance learning with discriminative bag mapping. IEEE Trans. Knowl. Data Eng. 2018, 30, 1065–1080. [Google Scholar] [CrossRef]
- Wang, X.; Yan, Y.; Tang, P.; Bai, X.; Liu, W. Revisiting Multiple Instance Neural Networks. Pattern Recogn 2016, 74, 15–24. [Google Scholar] [CrossRef]
- Maximilian, I.; Jakub, M.T.; Max, W. Attention-based Deep Multiple Instance Learning. In Proceedings of the International Conference on Machine Learning (ICML), Stockholm, Sweden, 10–15 July 2018; pp. 2127–2136. [Google Scholar]
- Liu, X.; Jiao, L.; Zhao, J.; Zhao, J.; Zhang, D.; Liu, F.; Yang, S.; Tang, X. Deep Multiple Instance Learning-Based Spatial–Spectral Classification for PAN and MS Imagery. IEEE Trans. Geosci. Remote. Sens. 2018, 56, 461–473. [Google Scholar] [CrossRef]
- Li, X.; Zhang, Y.; Cui, Q.; Yi, X.; Zhang, Y. Tooth-Marked Tongue Recognition Using Multiple Instance Learning and CNN Features. IEEE Trans. Cybern. 2019, 49, 380–387. [Google Scholar] [CrossRef]
- Wu, J.J.; Yu, Y.N.; Huang, C.; Yu, K. Deep multiple instance learning for image classification and auto-annotation. In Proceedings of the IEEE Conference on Computer Vision and Pattern Recognition (CVPR), Boston, MA, USA, 7–12 June 2015; pp. 3460–3469. [Google Scholar]
- Lowe, G.D. Distinctive Image Features from Scale-Invariant Interest Points. Int. J. Comput. Vis. 2004, 60, 91–110. [Google Scholar] [CrossRef]
- Grauman, K.; Darrell, T. The pyramid match kernel: Efficient learning with sets of features. J. Mach. Learn. Res. 2007, 8, 725–760. [Google Scholar]
- Rubner, Y.; Tomasi, C.; Guibas, L. The Earth Mover’s Distance as a Metric for Image Retrieval. Int. J. Comput. Vis. 2000, 40, 99–121. [Google Scholar] [CrossRef]
- Rakotomamonjy, A.; Bach, Y.; Grandvalet, Y. SimpleMKL. J. Mach. Learn. Res. 2008, 9, 2491–2521. [Google Scholar]
- Holzinger, A.; Plass, M.; Kickmeier-Rust, M.; Holzinger, K.; Crişan, G.C.; Pintea, C.-M.; Palade, V. Interactive machine learning: Experimental evidence for the human in the algorithmic loop. Appl. Intell. 2019, 49, 2401–2414. [Google Scholar] [CrossRef]
- Norouzi, M.; Fleet, D. Cartesian k-means. In Proceedings of the IEEE Conference on Computer Vision and Pattern Recognition (CVPR), Portland, OR, USA, 23–28 June 2013; pp. 3017–3024. [Google Scholar]
- Everingham, M.; Van Gool, L.; Williams, C.K.; Winn, J.; Zisserman, A. The pascal visual object classes (VOC) challenge. Int. J. Comput. Vis. 2010, 88, 303–338. [Google Scholar] [CrossRef]




| Data Set | Positive Bags | Negative Bags | Features | Instances |
|---|---|---|---|---|
| MUSK1 | 47 | 45 | 166 | 476 |
| MUSK2 | 39 | 63 | 166 | 6598 |
| Elephant | 100 | 100 | 230 | 1391 |
| Fox | 100 | 100 | 230 | 1220 |
| Tiger | 100 | 100 | 230 | 1320 |
| Algorithm/Data Set | MUSK1 | MUSK2 | Elephant | Tiger | Fox | Average |
|---|---|---|---|---|---|---|
| MILDMS | 91.9 | 92.2 | 84.40 | 87.10 | 66.80 | 84.48 |
| APR [5] | 92.4 | 89.2 | / | / | / | 90.80 |
| SMILE [20] | 91.3 | 91.6 | 84.30 | 86.50 | 65.90 | 83.92 |
| MILES [12] | 87.7 | 86.3 | 84.10 | 80.70 | 63.00 | 80.54 |
| DD [6] | 84.8 | 84.9 | 84.80 | 81.50 | 64.30 | 81.52 |
| DD-SVM [11] | 85.8 | 91.3 | 82.90 | 75.80 | 55.00 | 77.76 |
| Attention [25] | 89.1 | 84.1 | 83,20 | 73,40 | 49,10 | 77.28 |
| Gated-Attention [25] | 89.8 | 86.2 | 81.45 | 72.20 | 59.40 | 78.23 |
| MI-Net with DS [24] | 89.8 | 85.1 | 78.30 | 72.10 | 56.10 | 75.24 |
| Algorithm | Accuracy (%) |
|---|---|
| MILDMS | 78.6 [75.1 82.1] |
| SMILE [20] | 66.3 [63.1 69.5] |
| MILES [12] | 68.7 [64.4 72.8] |
| DD-SVM [11] | 67.5 [63.9 71.1] |
| Attention [25] | 74.6 [72.9 76.3] |
| Gated-Attention [25] | 76.7 [75.2 78.2] |
| MI-Net with DS [24] | 76.6 [73.4 79.8] |
© 2019 by the authors. Licensee MDPI, Basel, Switzerland. This article is an open access article distributed under the terms and conditions of the Creative Commons Attribution (CC BY) license (http://creativecommons.org/licenses/by/4.0/).
Share and Cite
Wen, C.; Li, Z.; Qu, J.; Fan, Q.; Li, A. MILDMS: Multiple Instance Learning via DD Constraint and Multiple Part Similarity. Symmetry 2019, 11, 1080. https://doi.org/10.3390/sym11091080
Wen C, Li Z, Qu J, Fan Q, Li A. MILDMS: Multiple Instance Learning via DD Constraint and Multiple Part Similarity. Symmetry. 2019; 11(9):1080. https://doi.org/10.3390/sym11091080
Chicago/Turabian StyleWen, Chao, Zhan Li, Jian Qu, Qingchen Fan, and Aiping Li. 2019. "MILDMS: Multiple Instance Learning via DD Constraint and Multiple Part Similarity" Symmetry 11, no. 9: 1080. https://doi.org/10.3390/sym11091080
APA StyleWen, C., Li, Z., Qu, J., Fan, Q., & Li, A. (2019). MILDMS: Multiple Instance Learning via DD Constraint and Multiple Part Similarity. Symmetry, 11(9), 1080. https://doi.org/10.3390/sym11091080

