Content-Based Color Image Retrieval Using Block Truncation Coding Based on Binary Ant Colony Optimization
Abstract
1. Introduction
2. Content-Based Image Retrieval Framework
3. BACOBTC for Color Image
4. Feature Representation
4.1. Color Histogram Feature
4.2. Bit Pattern Histogram Feature
5. Experiments and Results
5.1. Image Databases
5.2. Distance Metric
5.3. Performance Metrics
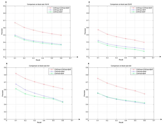
5.4. Retrieval Performance
5.5. Application Simulation Analysis
5.6. Conclusions and Future Work
Author Contributions
Funding
Conflicts of Interest
References
- Delp, E.J.; Mitchell, O.R. Image compression using block truncation coding. IEEE Trans. Commun. 1979, 27, 1335–1342. [Google Scholar] [CrossRef]
- Mathews, J.; Nair, M.S. Adaptive block truncation coding technique using edge-based quantization approach. Comput. Elecr. Eng. 2015, 43, 169–179. [Google Scholar] [CrossRef]
- Yang, Y.; Chen, Q.; Wan, Y. A fast near-optimum block truncation coding scheme using a truncated K-means algorithm and interblock correlation. AEU-Int. J. Electron. Commun. 2011, 65, 576–581. [Google Scholar] [CrossRef]
- Amarunnishad, T.M.; Govindan, V.K.; Mathew, A.T. Block truncation coding using a set of predefined bit planes. In Proceedings of the Conference on Computational Intelligence and Multimedia Applications, Sivakasi, India, 13–15 December 2007; pp. 73–78. [Google Scholar]
- Guo, J.M.; Wu, M.F. Improved block truncation coding based on the void-and-cluster dithering approach. IEEE Trans. Image Process. 2009, 18, 211–213. [Google Scholar] [PubMed]
- Guo, J.M. Improved block truncation coding using modified error diffusion. Electron. Lett. 2008, 44, 462–464. [Google Scholar] [CrossRef]
- Guo, J.M.; Liu, Y.F. Improved block truncation coding using optimized dot diffusion. IEEE Trans. Image Process. 2014, 23, 1269–1275. [Google Scholar]
- Guo, J.M.; Su, C.C. Improved Block Truncation Coding Using Extreme Mean Value Scaling and Block-Based High Speed Direct Binary Search. IEEE Signal Proc. Lett. 2011, 18, 694–697. [Google Scholar] [CrossRef]
- Guo, J.M.; Prasetyo, H.J.; Chen, H. Content-based image retrieval using error diffusion block truncation coding features. IEEE Trans. Circuits Syst. Video Technol. 2015, 25, 466–481. [Google Scholar]
- Guo, J.M.; Prasetyo, H. Content-based image retrieval with ordered dither block truncation coding features. In Proceedings of the IEEE International Conference on Image Processing, Melbourne, Australia, 15–18 September 2013; pp. 4006–4009. [Google Scholar]
- Guo, J.M.; Prasetyo, H. Content-based image retrieval using features extracted from halftoning-based block truncation coding. IEEE Trans. Image Process. 2015, 24, 1010–1024. [Google Scholar]
- Guo, J.M.; Prasetyo, H.; Wang, N.J. Effective Image Retrieval System Using Dot-Diffused Block Truncation Coding Features. IEEE Trans. Multimed. 2015, 17, 1576–1590. [Google Scholar] [CrossRef]
- Wang, X.; Wang, Z. The scheme for image retrieval based on multi-factors correlation utilizing block truncation coding. Pattern Recognit. 2014, 47, 3293–3303. [Google Scholar] [CrossRef]
- Wang, H.Z.; He, X.H.; Zai, W.J. Image retrieval based on combining local and global features. Opt. Precis. Eng. 2008, 16, 1098–1194. [Google Scholar]
- Kekre, D.H.; Thepade, S.D.; Mukherjee, P.; Wadhwa, S.; Kakaiya, M.; Singh, S. Image retrieval with shape features extracted using gradient operators and slope magnitude technique with BTC. Int. J. Comput. Appl. 2010, 6, 28–33. [Google Scholar] [CrossRef]
- Alzu’bi, A.; Amira, A.; Ramzan, N. Semantic content-based image retrieval: A comprehensive study. J. Vis. Commun. Image Represent. 2015, 32, 20–54. [Google Scholar] [CrossRef]
- Silakari, S.; Motwani, M.; Maheshwari, M. Color image clustering using block truncation algorithm. Int. J. Comput. Sci. 2009, 4, 31–35. [Google Scholar]
- Yu, F.X.; Luo, H.; Lu, Z.M. Colour image retrieval using pattern co-occurrence matrices based on BTC and VQ. Electron. Lett. 2011, 47, 100–101. [Google Scholar] [CrossRef]
- Lin, C.H.; Chen, R.T.; Chan, Y.K. A smart content-based image retrieval system based on color and texture feature. Image Vis. Comput. 2009, 27, 658–665. [Google Scholar] [CrossRef]
- Poursistani, P.; Nezamabadi-pour, H.; Moghadam, R.A.; Saeed, M. Image indexing and retrieval in JPEG compressed domain based on vector quantization. Math. Comput. Model. 2013, 57, 1005–1017. [Google Scholar] [CrossRef]
- Wang, X.; Wang, Z. A novel scheme for image retrieval based on structure elements’ descriptor. J. Vis. Commun. Image Represent. 2013, 24, 63–74. [Google Scholar] [CrossRef]
- Wu, J.; Shen, H.; Xiao, Z.B.; Wu, Y.B.; Li, Y.D. Boosting Manifold Ranking for Image Retrieval by Mining Query Log Repeatedly. J. Int. Technol. 2014, 15, 135–143. [Google Scholar]
- Gao, T.; Li, G.; Hou, J. Retrieving Image Resource Technique Based on Bayes Semantic Classification and Visual Feature Extraction. J. Int. Technol. 2012, 14, 929–934. [Google Scholar]
- Liu, G.H.; Li, Z.Y.; Zhang, L.; Xu, Y. Image retrieval based on micro-structure descriptor. Pattern Recognit. 2011, 44, 2123–2133. [Google Scholar] [CrossRef]
- Lin, C.H.; Huang, D.C.; Chan, Y.K.; Chen, K.H.; Chang, Y.J. Fast color-spatial feature based image retrieval schemes. Expert Syst. Appl. 2011, 38, 11412–11420. [Google Scholar] [CrossRef]
- Biasotti, S.; Cerri, A.; Abdelrahman, M.; Aono, M.; Hamza, A.B.; El-Melegy, M.; Farag, A.; Garro, V.; Giachetti, A.; Giorgi, D.; et al. SHREC’14 track: Retrieval and classification on textured 3D models. In Proceedings of the Eurographics Workshop on 3D Object Retrieval, Strasbourg, France, 6 April 2014; pp. 111–120. [Google Scholar]
- Masoumi, M.; Li, C.; Hamza, A.B. A spectral graph wavelet approach for nonrigid 3D shape retrieval. Pattern Recognit. Lett. 2016, 83, 339–348. [Google Scholar] [CrossRef]
- Li, Z.; Jin, Q.; Chang, C.C.; Liu, L.; Wang, A. A common bitmap block truncation coding for color images based on binary ant colony optimization. KSII Trans. Internet Inf. Syst. 2016, 10, 2326–2345. [Google Scholar]
- Kong, M.; Tian, P. A binary ant colony optimization for the unconstrained function optimization problem. In Proceedings of the International Conference on Computational Intelligence and Security, Xi’an, China, 15–19 December 2005; pp. 682–687. [Google Scholar]
- Caltech 101 Photo Collection Image Database. 2015. Available online: http://www.vision.caltech.edu/Image_Datasets/Caltech101/ (accessed on 1 December 2018).
- Corel Photo Collection Color Image Database. 2016. Available online: http://wang.ist.psu.edu/docs/realted/ (accessed on 1 December 2018).
- Saraiva, P.C.; Cavalcanti, J.M.B.; Moura, E.S.D. A multimodal query expansion based on genetic programming for visually-oriented e-commerce applications. Inform. Process. Manag. 2016, 52, 783–800. [Google Scholar] [CrossRef]
- Ma, L.; Liu, X.; Gao, Y. A new method of content based medical image retrieval and its applications to CT imaging sign retrieval. J. Biomed. Inform. 2017, 66, 148–158. [Google Scholar] [CrossRef]
- Xu, Y.; Gong, J.; Xiong, L. A Privacy-Preserving Content-based Image Retrieval Method in Cloud Environment. J. Vis. Commun. Image Represent. 2017, 43, 164–172. [Google Scholar] [CrossRef]
- Toumi, A.; Khenchaf, A.; Hoeltzener, B. A retrieval system from inverse synthetic aperture radar images: Application to radar target recognition. Inform. Sci. 2012, 196, 73–96. [Google Scholar] [CrossRef]
- Fu, L.; Kara, L.B. From engineering diagrams to engineering models: Visual recognition and applications. Comput. Aided Des. 2011, 43, 278–292. [Google Scholar] [CrossRef]
- Alaei, A.; Roy, P.P.; Pal, U. Logo and seal based administrative document image retrieval: A survey. Comput. Sci. Rev. 2016, 22, 47–63. [Google Scholar] [CrossRef]











| Reference | Feature and Technique | 
|---|---|
| S. Silakari et al. [17] | Block truncation coding, using K-Means clustering algorithm | 
| F. X. Yu et al. [18] | Block truncation coding, vector quantion, colour pattern co-occurrence matrix. | 
| C. H. Lin [19] | Color co-occurrence matrix. | 
| P. Poursistani et al. [20] | Vector quantization, K-means clustering, create an effective histogram from DCT coefficients. | 
| X. Wang and Z. Wang [21] | Image structure elements’ histogram, HSV color space, integrates the advantages of both statistical and structural texture description methods. | 
| G. H. Liu et al. [22] | The correlation between each pair of database images based on a query log and inferring the relevance. | 
| B. S. Manjunath et al. [23] | Bayesian classifier, Feature extracted in DCT, Image semantic classification. Based on feature extracted in DCT and semantic classification by Bayes. | 
| G. H. Liu et al. [24] | The micro-structure descriptor, HSV color space. | 
| C. H. Lin et al. [25] | K-means algorithm, color spatial distribution features, clustering-based filter. | 
| Biasotti S. et al. [26] | geometric shape or texture | 
| Masoumi M. et al. [27] | The spectral graph wavelet approach for 3D shape retrieval using the bag-of-features paradigm. | 
© 2018 by the authors. Licensee MDPI, Basel, Switzerland. This article is an open access article distributed under the terms and conditions of the Creative Commons Attribution (CC BY) license (http://creativecommons.org/licenses/by/4.0/).
Share and Cite
Chen, Y.-H.; Chang, C.-C.; Lin, C.-C.; Hsu, C.-Y. Content-Based Color Image Retrieval Using Block Truncation Coding Based on Binary Ant Colony Optimization. Symmetry 2019, 11, 21. https://doi.org/10.3390/sym11010021
Chen Y-H, Chang C-C, Lin C-C, Hsu C-Y. Content-Based Color Image Retrieval Using Block Truncation Coding Based on Binary Ant Colony Optimization. Symmetry. 2019; 11(1):21. https://doi.org/10.3390/sym11010021
Chicago/Turabian StyleChen, Yan-Hong, Chin-Chen Chang, Chia-Chen Lin, and Cheng-Yi Hsu. 2019. "Content-Based Color Image Retrieval Using Block Truncation Coding Based on Binary Ant Colony Optimization" Symmetry 11, no. 1: 21. https://doi.org/10.3390/sym11010021
APA StyleChen, Y.-H., Chang, C.-C., Lin, C.-C., & Hsu, C.-Y. (2019). Content-Based Color Image Retrieval Using Block Truncation Coding Based on Binary Ant Colony Optimization. Symmetry, 11(1), 21. https://doi.org/10.3390/sym11010021
 
        



 
       