Laterality as a Predictor of Coping Strategies in Dogs Entering a Rescue Shelter
Abstract
1. Introduction
2. Methods
2.1. Animals
2.2. Procedure
2.2.1. Urine Cortisol/Creatinine Ratio
2.2.2. Behavioural Observations
2.2.3. Paw Preference Assessment
2.3. Analysis
2.3.1. Paw Preference Assessment
2.3.2. Behavioural Analysis
2.3.3. Predictive Factors Affecting Behavioural Variations
2.3.4. Laterality as a Predictive Factor of C/C Level Variation
3. Results
3.1. Paw Preference Assessment
3.2. Behavioural Data Management
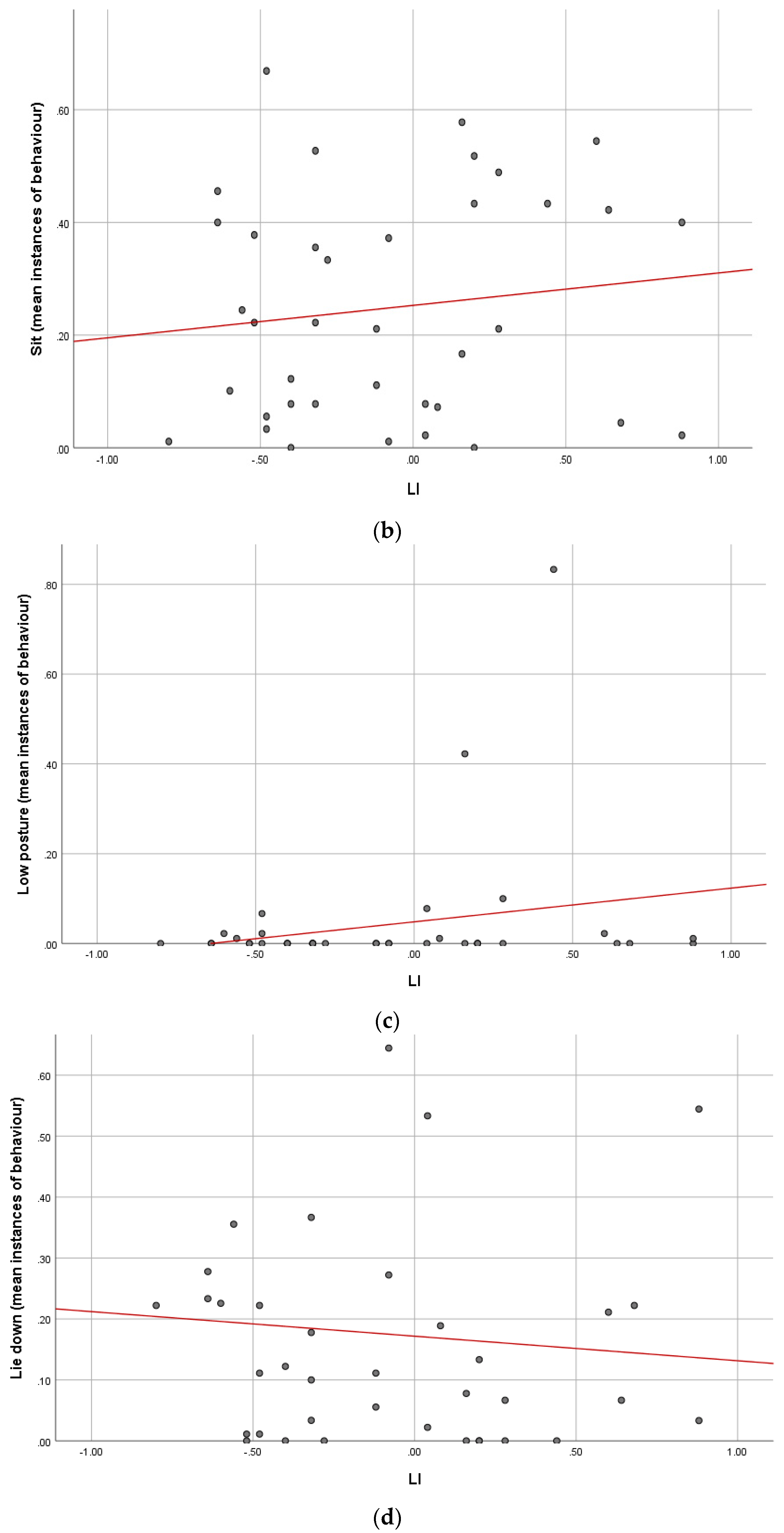
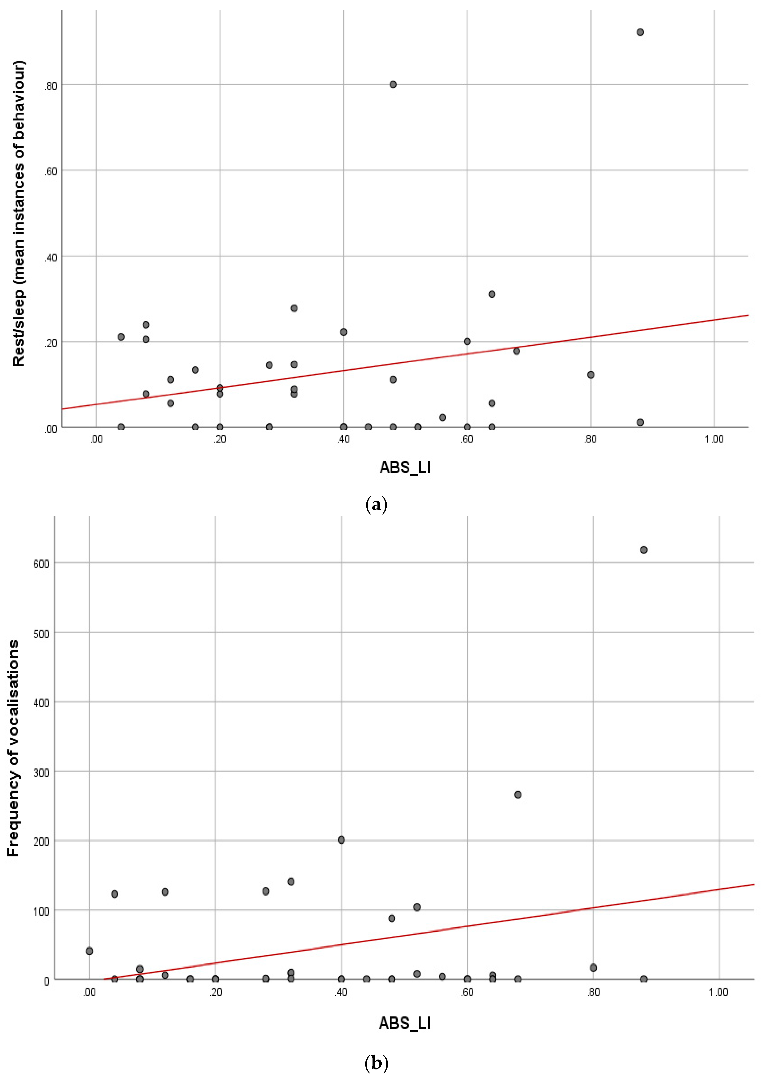
3.3. Predictive Factors Affecting Behavioural Variations
3.4. Laterality as a Predictive Factor of C/C Level Variation
4. Discussion
Author Contributions
Funding
Acknowledgments
Conflicts of Interest
References
- Stephen, J.M.; Ledger, R.A. A longitudinal evaluation of urinary cortisol in kennelled dogs, Canis familiaris. Physiol. Behav. 2006, 87, 911–916. [Google Scholar] [CrossRef] [PubMed]
- Titulaer, M.; Blackwell, E.J.; Mendl, M.; Casey, R.A. Cross sectional study comparing behavioural, cognitive and physiological indicators of welfare between short and long term kennelled domestic dogs. Appl. Anim. Behav. Sci. 2013, 147, 149–158. [Google Scholar] [CrossRef]
- Hennessy, M.B. Using hypothalamic-pituitary-adrenal measures for assessing and reducing the stress of dogs in shelters: A review. Appl. Anim. Behav. Sci. 2013, 149, 1–12. [Google Scholar] [CrossRef]
- Stephen, J.M.; Ledger, R.A. An audit of behavioral indicators of poor welfare in kenneled dogs in the United Kingdom. J. Appl. Anim. Welf. Sci. 2005, 8, 79–96. [Google Scholar] [CrossRef] [PubMed]
- Protopopova, A. Effects of sheltering on physiology, immune function, behavior, and the welfare of dogs. Physiol. Behav. 2016, 159, 95–103. [Google Scholar] [CrossRef] [PubMed]
- Beerda, B.; Schilder, M.B.H.; vanHooff, J.; deVries, H.W. Manifestations of chronic and acute stress in dogs. Appl. Anim. Behav. Sci. 1997, 52, 307–319. [Google Scholar] [CrossRef]
- Beerda, B.; Schilder, M.B.H.; Van Hooff, J.; De Vries, H.W.; Mol, J.A. Chronic stress in dogs subjected to social and spatial restriction. I. Behavioral responses. Physiol. Behav. 1999, 66, 233–242. [Google Scholar] [CrossRef]
- Dalla Villa, P.; Barnard, S.; Di Fede, E.; Podaliri, M.; Di Nardo, A.; Siracusa, C.; Serpell, J.A. Behavioural and physiological responses of shelter dogs to long-term confinement. Vet. Ital. 2013, 49, 231–241. [Google Scholar] [CrossRef] [PubMed]
- Hennessy, M.B.; Davis, H.N.; Williams, M.T.; Mellott, C.; Douglas, C.W. Plasma cortisol levels of dogs at a county animal shelter. Physiol. Behav. 1997, 62, 485–490. [Google Scholar] [CrossRef]
- Koolhaas, J.M.; Korte, S.M.; De Boer, S.F.; Van Der Vegt, B.J.; Van Reenen, C.G.; Hopster, H.; De Jong, I.C.; Ruis, M.A.W.; Blokhuis, H.J. Coping styles in animals: Current status in behavior and stress-physiology. Neurosci. Biobehav. Rev. 1999, 23, 925–935. [Google Scholar] [CrossRef]
- Sloan Wilson, D.; Clark, A.B.; Coleman, K.; Dearstyne, T. Shyness and boldness in humans and other animals. Trends Ecol. Evol. 1994, 9, 442–446. [Google Scholar] [CrossRef]
- Horvath, Z.; Igyarto, B.-Z.; Magyar, A.; Miklosi, A. Three different coping styles in police dogs exposed to a short-term challenge. Horm. Behav. 2007, 52, 621–630. [Google Scholar] [CrossRef] [PubMed]
- Hiby, E.F.; Rooney, N.J.; Bradshaw, J.W.S. Behavioural and physiological responses of dogs entering re-homing kennels. Physiol. Behav. 2006, 89, 385–391. [Google Scholar] [CrossRef] [PubMed]
- Dawkins, M.S. Using behaviour to assess animal welfare. Anim. Welf. 2004, 13, S3–S7. [Google Scholar]
- Yeates, J.W.; Main, D.C.J. Assessment of positive welfare: A review. Vet. J. 2008, 175, 293–300. [Google Scholar] [CrossRef] [PubMed]
- Boissy, A.; Lee, C. How assessing relationships between emotions and cognition can improve farm animal welfare. Rev. Sci. Tech. (Int. Off. Epizoot.) 2014, 33, 103–110. [Google Scholar] [CrossRef]
- Mendl, M.; Burman, O.H.P.; Parker, R.M.A.; Paul, E.S. Cognitive bias as an indicator of animal emotion and welfare: Emerging evidence and underlying mechanisms. Appl. Anim. Behav. Sci. 2009, 118, 161–181. [Google Scholar] [CrossRef]
- Barnard, S.; Matthews, L.; Messori, S.; Podaliri-Vulpiani, M.; Ferri, N. Laterality as an indicator of emotional stress in ewes and lambs during a separation test. Anim. Cogn. 2016, 19, 207–214. [Google Scholar] [CrossRef] [PubMed]
- Barnard, S.; Wells, D.L.; Hepper, P.G.; Milligan, A.D.S. Association between lateral bias and personality traits in the domestic dog (Canis familiaris). J. Comp. Psychol. 2017, 131, 246–256. [Google Scholar] [CrossRef] [PubMed]
- Rogers, L.J. Relevance of brain and behavioural lateralization to animal welfare. Appl. Anim. Behav. Sci. 2010, 127, 1–11. [Google Scholar] [CrossRef]
- Anderson, D.M.; Murray, L.W. Sheep laterality. Laterality 2013, 18, 179–193. [Google Scholar] [CrossRef] [PubMed]
- Leliveld, L.M.C.; Langbein, J.; Puppe, B. The emergence of emotional lateralization: Evidence in non-human vertebrates and implications for farm animals. Appl. Anim. Behav. Sci. 2013, 145, 1–14. [Google Scholar] [CrossRef]
- Schneider, L.A.; Delfabbro, P.H.; Burns, N.R. Temperament and lateralization in the domestic dog (Canis familiaris). J. Vet. Behav. Clin. Appl. Res. 2013, 8, 124–134. [Google Scholar] [CrossRef]
- Davidson, R.J. Cerebral asymmetry, emotion, and affective style. In Brain Asymmetry; Hugdahl, R.J.D.K., Ed.; The MIT Press: Cambridge, MA, USA, 1995; pp. 361–387. ISBN 0-262-04144-8. [Google Scholar]
- Rogers, L.J. Evolution of hemispheric specialization: Advantages and disadvantages. Brain Lang. 2000, 73, 236–253. [Google Scholar] [CrossRef] [PubMed]
- Andrew, R.J.; Rogers, L.J. The nature of lateralization in tetrapods. In Comparative Vertebrate Lateralization; Cambridge University Press: Cambridge, UK, 2002; pp. 94–125. [Google Scholar]
- Rogers, L.J.; Andrew, R. Comparative Vertebrate Lateralization; Cambridge University Press: Cambridge, UK, 2002. [Google Scholar]
- Larose, C.; Richard-Yris, M.-A.; Hausberger, M.; Rogers, L.J. Laterality of horses associated with emotionality in novel situations. Laterality 2006, 11, 355–367. [Google Scholar] [CrossRef] [PubMed]
- Cameron, R.; Rogers, L.J. Hand preference of the common marmoset (Callithrix jacchus): Problem solving and responses in a novel setting. J. Comp. Psychol. 1999, 113, 149–157. [Google Scholar] [CrossRef]
- Reddon, A.R.; Hurd, P.L. Individual differences in cerebral lateralization are associated with shy-bold variation in the convict cichlid. Anim. Behav. 2009, 77, 189–193. [Google Scholar] [CrossRef]
- Batt, L.S.; Batt, M.S.; Baguley, J.A.; McGreevy, P.D. The relationships between motor lateralization, salivary cortisol concentrations and behavior in dogs. J. Vet. Behav. Clin. Appl. Res. 2009, 4, 216–222. [Google Scholar] [CrossRef]
- Siniscalchi, M.; d’Ingeo, S.; Quaranta, A. Lateralized functions in the dog brain. Symmetry 2017, 9, 71. [Google Scholar] [CrossRef]
- Wells, D.L. Lateralised behaviour in the domestic dog, Canis familiaris. Behav. Process. 2003, 61, 27–35. [Google Scholar] [CrossRef]
- Tomkins, L.M.; Williams, K.A.; Thomson, P.C.; McGreevy, P.D. Lateralization in the domestic dog (Canis familiaris): Relationships between structural, motor, and sensory laterality. J. Vet. Behav. Clin. Appl. Res. 2012, 7, 70–79. [Google Scholar] [CrossRef]
- Marshall-Pescini, S.; Barnard, S.; Branson, N.J.; Valsecchi, P. The effect of preferential paw usage on dogs’ (Canis familiaris) performance in a manipulative problem-solving task. Behav. Process. 2013, 100, 40–43. [Google Scholar] [CrossRef] [PubMed]
- Branson, N.J.; Rogers, L.J. Relationship between paw preference strength and noise phobia in Canis familiaris. J. Comp. Psychol. 2006, 120, 176–183. [Google Scholar] [CrossRef] [PubMed]
- Poyser, F.; Caldwell, C.; Cobb, M. Dog paw preference shows lability and sex differences. Behav. Process. 2006, 73, 216–221. [Google Scholar] [CrossRef] [PubMed]
- Siniscalchi, M.; Quaranta, A.; Rogers, L.J. Hemispheric specialization in dogs for processing different acoustic stimuli. PLoS ONE 2008, 3, e3349. [Google Scholar] [CrossRef] [PubMed]
- Mazzotti, G.A.; Boere, V. The right ear but not the left ear temperature is related to stress-induced cortisolaemia in the domestic cat (Felis catus). Laterality Asymmetries Body Brain Cogn. 2009, 14, 196–204. [Google Scholar] [CrossRef] [PubMed]
- Braccini, S.N.; Caine, N.G. Hand preference predicts reactions to novel foods and predators in marmosets (Callithrix geoffroyi). J. Comp. Psychol. 2009, 123, 18–25. [Google Scholar] [CrossRef] [PubMed]
- Rogers, L.J. Hand and paw preferences in relation to the lateralized brain. Philos. Trans. R. Soc. Lond. B Biol. Sci. 2009, 364, 943–954. [Google Scholar] [CrossRef] [PubMed]
- Gordon, D.J.; Rogers, L.J. Differences in social and vocal behavior between left- and right-handed common marmosets (Callithrix jacchus). J. Comp. Psychol. 2010, 124, 402–411. [Google Scholar] [CrossRef] [PubMed]
- Gordon, D.J.; Rogers, L.J. Cognitive bias, hand preference and welfare of common marmosets. Behav. Brain Res. 2015, 287, 100–108. [Google Scholar] [CrossRef] [PubMed]
- Wells, D.L.; Hepper, P.G.; Milligan, A.D.S.; Barnard, S. Cognitive bias and paw preference in the domestic dog (Canis familiaris). J. Comp. Psychol. 2017, 131, 317–325. [Google Scholar] [CrossRef] [PubMed]
- Rooney, N.J.; Gaines, S.A.; Bradshaw, J.W.S. Behavioural and glucocorticoid responses of dogs (Canis familiaris) to kennelling: Investigating mitigation of stress by prior habituation. Physiol. Behav. 2007, 92, 847–854. [Google Scholar] [CrossRef] [PubMed]
- Rogers, L.J. A matter of degree: Strength of brain asymmetry and behaviour. Symmetry 2017, 9, 57. [Google Scholar] [CrossRef]
- Westergaard, G.C.; Chavanne, T.J.; Lussier, I.D.; Houser, L.; Cleveland, A.; Suomi, S.J.; Higley, J.D. Left-handedness is Correlated with CSF Monoamine Metabolite and Plasma Cortisol Concentrations, and with Impaired Sociality, in Free-ranging Adult Male Rhesus Macaques (Macaca mulatta). Laterality Asymmetries Body Brain Cogn. 2003, 8, 169–187. [Google Scholar] [CrossRef] [PubMed]
- Neveu, P.J.; Moya, S. In the mouse, the corticoid stress response depends on lateralization. Brain Res. 1997, 749, 344–346. [Google Scholar] [CrossRef]
- Siniscalchi, M.; McFarlane, J.R.; Kauter, K.G.; Quaranta, A.; Rogers, L.J. Cortisol levels in hair reflect behavioural reactivity of dogs to acoustic stimuli. Res. Vet. Sci. 2013, 94, 49–54. [Google Scholar] [CrossRef] [PubMed]




| Dog ID | Name | Breed | Sex | Age (Years) | Castration |
|---|---|---|---|---|---|
| 1 | Roxy | TerrierX | F | 5 | yes |
| 2 | Ginger | TerrierX | F | 5 | yes |
| 3 | Albert | LhasaApso | M | 4.5 | yes |
| 4 | Jojoe | BeardCollie | M | 5 | yes |
| 5 | Dandy | Poodle | M | 6 | yes |
| 6 | Curly | Poodle | M | 6 | yes |
| 7 | Lucy | Lab | F | 1.5 | yes |
| 8 | Bailey | KingCharles | M | 5 | no |
| 9 | Ermet | JackRuss | M | 1.4 | yes |
| 10 | Leo | JackRussX | M | 1 | no |
| 11 | Tiny | MinShetland | F | 8 | no |
| 12 | Orsha | CockerSp | F | 2 | yes |
| 13 | Rex | Springer | M | 1 | no |
| 14 | Socks | RughCollie | M | 1.5 | yes |
| 15 | Roy | Collie | M | 3 | yes |
| 16 | Dappy | Pugalier | M | 1.5 | no |
| 17 | Prince | Lab | M | 4 | no |
| 18 | Darcy | Husky | F | 3 | yes |
| 19 | Svaras | Lab | M | 2.5 | no |
| 20 | Roxy | LabX | F | 3 | yes |
| 21 | Milly | CarinTerr | F | 9 | yes |
| 22 | Willy | CarinTerr | M | 9 | yes |
| 23 | Biddy | FoxTerr | F | 5 | yes |
| 24 | Maggie | Jug | F | 1.5 | no |
| 25 | Missy | IrishTerr | F | 9 | yes |
| 26 | Maya | LabPitX | F | 4 | no |
| 27 | Harley | Dobie | M | 1 | no |
| 28 | Dax | Dasch | M | 2 | no |
| 29 | Miles | Dasch | M | 2.5 | yes |
| 30 | Max | IrishWater | M | 1.5 | no |
| 31 | Charlie | Collie | M | 1 | yes |
| 32 | Tess | PatterdaleX | F | 1 | yes |
| 33 | Zoe | JackRuss | F | 2 | no |
| 34 | Tia | Shihtzu | F | 8 | no |
| 35 | Gizmo | Maltese | M | 6 | no |
| 36 | Lily | Shorky | F | 2.5 | no |
| 37 | Benson | CollieX | M | 1.5 | yes |
| 38 | Honey | Yorkie | F | 7 | no |
| 39 | Coco | TerrierX | F | 5 | no |
| 40 | Enzo | JackRuss | M | 2.5 | yes |
| 41 | Aria | JackRuss | F | 2 | yes |
| Reason for Surrender | Cases | % |
|---|---|---|
| Family health | 9 | 22.0 |
| Work commitments | 7 | 17.1 |
| Pound/other shelters | 6 | 14.6 |
| Owner’s death | 5 | 12.2 |
| Moving home | 4 | 9.8 |
| Behavioural problems | 2 | 4.9 |
| Handover/rescued | 2 | 4.9 |
| Problems with other household dogs | 2 | 4.9 |
| Too many dogs in household | 2 | 4.9 |
| From breeding stock | 1 | 2.4 |
| New born baby | 1 | 2.4 |
| Total | 41 | 100 |
| Label | Behaviour Description | Sampling Method |
|---|---|---|
| Inactive behaviours | Stand: the dog is still, standing on fours | (i) |
| Sit: the dog is sitting on hind legs | (i) | |
| Lie down: the dog is in a recumbent position with the head up (vigilant) | (i) | |
| Rest/sleep: the dog is lying on the floor or curled up in the bed with the head also on the ground, likely eyes are closed although not always visible. | (i) | |
| Posture | High: the tail and/or the head are held high and the ears are forward and/or the animal is standing in an elevated posture compared to the neutral breed posture | (i) |
| Neutral: breed specific posture in neutral conditions (mouth, ears and tail are relaxed) | (i) | |
| Low: lowered positions of the tail (or tail curled forward between the hind legs) and/or bent legs and/or backward positioning of the ears compared to neutral conditions | (i) | |
| Moving | Walking: the dog is moving step by step with a normal pace (compared to its breed and size) | (i) |
| Trotting: the dog is moving with a faster gait compared to walking | (i) | |
| Change of state | Scored each time the dog changed from one inactive behaviour to another (e.g., sit to lie down) or from an inactive behaviour to an active one (e.g., stand to walk) | (c) (f) |
| Vocalisations | Barking: short staccato vocalization | (c) (f) |
| Howling/whining: the dog is howling or whining | (c) (f) | |
| Growling: the dog is growling | (c) (f) | |
| Socialising (with pen mate) | Positive: affiliative behaviour, playing behaviour and/or greeting behaviour | (c) (d) |
| Negative: threatening behaviour and/or aggression | (c) (d) | |
| Repetitive behaviour | Presence of stereotypical behaviour (e.g., pacing, circling, repetitive jumping on the fence, tail chasing or any other behaviour repeated in the same way for several times without any seeming function) throughout the test phase | (c) (d) |
| Stress-related behaviour | Behaviours that are potentially related to stressful conditions, in particular licking lips, panting, drinking, grooming/scratching, body shaking, digging at walls, doors or floor, paw lifting, yawning and startling | (c) (f) |
| Play | Individual playing behaviour (e.g., grabbing or holding an object in the mouth and head-shaking, play bow) | (c) (d) |
| Other | Scratching: Dog is scratching the floor or the walls | (c) (d) |
| Rear wall: Dog rears up against the window or side walls, including bouncing in an excited manner | (c) (d) | |
| Drinking: Dog is drinking water from the bowl | (i) |
| Variable | df | Day | OB | N/S | Sex | C/C | LI | ABS_LI |
|---|---|---|---|---|---|---|---|---|
| Stand | 419 | 0.62 | 16.9 *** | 17.5 *** | 4.5 * | 15.6 *** | 0.34 | 35.3 *** |
| Rest/Sleep | 419 | 0.98 | 7.6 ** | 1.0 | 0.12 | 0.57 | 12.5 *** | 27.0 *** |
| Lie down | 419 | 1.4 | 1.8 | 34.3 *** | 4.4 | 28.9 *** | 8.0 ** | 6.5 * |
| Sit | 419 | 1.5 | 0.7 | 0.05 | 0.002 | 8.7 ** | 53.7 *** | 0.6 |
| Moving | 419 | 1.3 | 1.4 | 7.6 ** | 0.6 | 10.3 ** | 11.7 ** | 1.7 |
| Low posture | 419 | 2.05 | 5.2 ** | 6.5 * | 0.005 | 1.6 | 7.2 ** | 24.1 *** |
| High posture | 419 | 2.6 * | 2.5 | 3.9 | 0.03 | 25.6 *** | 3.01 | 7.8 ** |
| Change posture | 133 | 0.5 | NA | 0.7 | 0.04 | 1.6 | 10.7 ** | 0.4 |
| Vocalisations | 133 | 0.6 | NA | 1.3 | 3.8 | 0.9 | 14.4 *** | 19.4 *** |
© 2018 by the authors. Licensee MDPI, Basel, Switzerland. This article is an open access article distributed under the terms and conditions of the Creative Commons Attribution (CC BY) license (http://creativecommons.org/licenses/by/4.0/).
Share and Cite
Barnard, S.; Wells, D.L.; Hepper, P.G. Laterality as a Predictor of Coping Strategies in Dogs Entering a Rescue Shelter. Symmetry 2018, 10, 538. https://doi.org/10.3390/sym10110538
Barnard S, Wells DL, Hepper PG. Laterality as a Predictor of Coping Strategies in Dogs Entering a Rescue Shelter. Symmetry. 2018; 10(11):538. https://doi.org/10.3390/sym10110538
Chicago/Turabian StyleBarnard, Shanis, Deborah L. Wells, and Peter G. Hepper. 2018. "Laterality as a Predictor of Coping Strategies in Dogs Entering a Rescue Shelter" Symmetry 10, no. 11: 538. https://doi.org/10.3390/sym10110538
APA StyleBarnard, S., Wells, D. L., & Hepper, P. G. (2018). Laterality as a Predictor of Coping Strategies in Dogs Entering a Rescue Shelter. Symmetry, 10(11), 538. https://doi.org/10.3390/sym10110538

