Spatial Distribution of Historical and Cultural Resources and Regional Revitalization Strategies in Chungcheong Province, South Korea
Abstract
1. Introduction
1.1. Research Background and Objectives
1.2. Overview of the Chungcheong Region in South Korea
2. Theoretical Background
2.1. Historical and Cultural Resource Survey and Current Status
2.2. National-Level Management and Preliminary Surveys of Historical and Cultural Resources
2.3. Procedure for Selecting Historical and Cultural Resources
2.4. Field Investigations
2.5. Research Methods
3. GIS-Based Analysis
3.1. Overview of the Basic Survey of Historical and Cultural Resources
- Traditional structures accounted for the largest share, with 1767 cases;
- Archaeological sites came in second, with 1295 cases;
- Modern and contemporary buildings were recorded as 336 cases;
- Other categories totaled 27 cases.
3.2. Distribution of Buildings in Chungcheong Region
- The heatmap for historical and cultural resources (displayed in red) indicates relatively high densities in Boryeong-si, Taean-gun, Buyeo-gun, Yesan-gun, and Seosan-si in Chungcheongnam-do, as well as in Geumsan-gun, Eumseong-gun, and Chungju-si in Chungcheongbuk-do, particularly in the West Coast area (Figure 4).
- The heatmap for cultural properties (displayed in blue) shows high concentrations in historically significant areas such as Buyeo-gun and Gongju-si in Chungcheongnam-do, and Cheongju-si and Boeun-gun in Chungcheongbuk-do, where major temples are located (Figure 5).
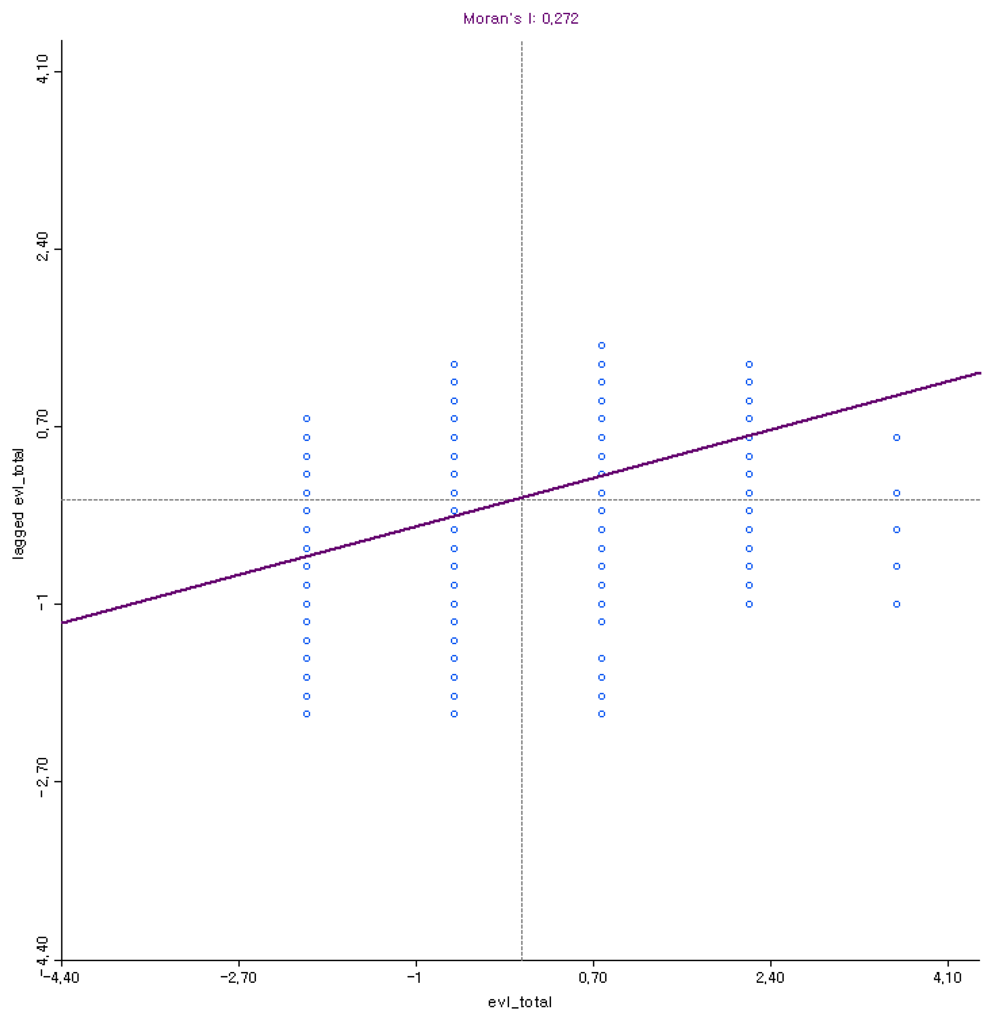
3.3. Spatial Autocorrelation of Historical and Cultural Resources
4. Discussion
4.1. Implications of Analysis of Historical and Cultural Resources in the Chungcheong Region
4.2. Regional Revitalization Strategies Focused on Activation
5. Conclusions
Author Contributions
Funding
Data Availability Statement
Acknowledgments
Conflicts of Interest
References
- Kim, S. Are small cities disappearing? The policy responses to urban shrinkage oriented toward young people in Uiseong-gun, South Korea. Cities 2024, 155, 105450. [Google Scholar] [CrossRef]
- Richardson, H.W.; Bae, C.-H.C.; Choe, S.C. Shrinking cities in South Korea. In Shrinking Cities: A Global Perspective; Richardson, H.W., Bae, C.-H.C., Eds.; Routledge: London, UK, 2014; pp. 131–150. [Google Scholar] [CrossRef]
- Choi, S.-Y.; Yoon, C.-J. Typology of small- to medium-sized Korean local cities with population decline from the perspective of urban compactness. Sustainability 2025, 17, 2470. [Google Scholar] [CrossRef]
- Lee, J.; Suh, K. A new index to assess vulnerability to regional shrinkage (hollowing out) due to the changing age structure and population density. Sustainability 2021, 13, 9382. [Google Scholar] [CrossRef]
- Oh, J.; Li, M.; Jung, J. Response to shrinking cities: Cultural urban regeneration. Cities 2024, 155, 105447. [Google Scholar] [CrossRef]
- Frampton, K. Modern Architecture: A Critical History, 5th ed.; Thames & Hudson: London, UK, 2020. [Google Scholar]
- Montgomery, J. Cultural quarters as mechanisms for urban regeneration. Plan. Pract. Res. 2004, 19, 293–306. [Google Scholar] [CrossRef]
- Sepe, M.; Pitt, M. The characters of place in urban design. Urban Des. Int. 2014, 19, 215–227. [Google Scholar] [CrossRef]
- Roberts, P.; Sykes, H.; Granger, R. (Eds.) Urban Regeneration, 2nd ed.; Sage Publications: London, UK, 2017. [Google Scholar]
- Evans, G. Measure for measure: Evaluating the evidence of culture’s contribution to regeneration. Urban Stud. 2005, 42, 959–983. [Google Scholar] [CrossRef]
- Licciardi, G.; Amirtahmasebi, R. (Eds.) The Economics of Uniqueness: Investing in Historic City Cores and Cultural Heritage Assets for Sustainable Development; The World Bank: Washington, DC, USA, 2012. [Google Scholar]
- Liu, Y.-D. Event and sustainable culture-led regeneration: Lessons from the 2008 European Capital of Culture, Liverpool. Sustainability 2019, 11, 1869. [Google Scholar] [CrossRef]
- UNESCO. Culture: Urban Future—Global Report on Culture for Sustainable Urban Development; UNESCO Publishing: Paris, France, 2016. [Google Scholar]
- Nocca, F. The role of cultural heritage in sustainable development: Multidimensional impact evaluation. Sustainability 2017, 9, 1882. [Google Scholar] [CrossRef]
- Miles, S.; Paddison, R. Introduction: The rise and rise of culture-led urban regeneration. Urban Stud. 2005, 42, 833–839. [Google Scholar] [CrossRef]
- National Assembly of the Republic of Korea. Act on Value Enhancement of HANOK and other Architectural Assets (Act No. 16057). Available online: https://law.go.kr/LSW/eng/engLsSc.do?menuId=2§ion=lawNm&query=Act+on+Value+Enhancement+of+HANOK+and+other+Architectural+Assets+&x=0&y=0#liBgcolor0 (accessed on 27 April 2025).
- National Assembly of the Republic of Korea. Framework Act on National Heritage (Act No. 20309). Available online: https://law.go.kr/LSW/eng/engLsSc.do?menuId=2§ion=lawNm&query=Act+on+National+Heritage+&x=25&y=29#liBgcolor3 (accessed on 27 April 2025).
- Pickard, R. Funding the Architectural Heritage: A Guide to Policies and Examples; Council of Europe Publishing: Strasbourg, France, 2009. [Google Scholar]
- Park, I.; Son, E.; Lee, K. Current status and improvement direction of the construction asset promotion system. AURI Brief 2022, 247. Available online: https://www.auri.re.kr/publication/view.es?mid=a10313000000&publication_type=brief&publication_id=1826 (accessed on 27 April 2025).
- Chungnam Province. Available online: https://www.chungnam.go.kr/ (accessed on 27 April 2025).
- Chungbuk Province. Available online: https://www.chungbuk.go.kr/ (accessed on 27 April 2025).
- UNESCO. JIKJI. Available online: https://www.unescoicdh.org/home/sub.php?menukey=272&mod=view&no=17855&page=2&search=4&scode=00000004&listCnt=10&code1=00000003&code2=00000032 (accessed on 27 April 2025).
- Tweed, C.; Sutherland, M. Built cultural heritage and sustainable urban development. Landsc. Urban Plan. 2007, 83, 62–69. [Google Scholar] [CrossRef]
- Doratli, N. Revitalizing historic urban quarters: A model for determining the most relevant strategic approach. Eur. Plan. Stud. 2005, 13, 749–772. [Google Scholar] [CrossRef]
- Liu, B.; Wu, C.; Xu, W.; Shen, Y.; Tang, F. Emerging trends in GIS application on cultural heritage conservation: A review. Herit. Sci. 2024, 12, 139. [Google Scholar] [CrossRef]
- Shon, D.; Kim, S.; Byun, N. Derivation method of architectural asset value enhancement zones in South Korea. Land 2022, 11, 584. [Google Scholar] [CrossRef]
- Ifadaly, A.; Attia, W.; Qelichi, M.M.; Murgante, B.; Lasaponara, R. Management of cultural heritage sites using remote sensing indices and spatial analysis techniques. Surv. Geophys. 2018, 39, 1347–1377. [Google Scholar] [CrossRef]
- Fu, J.; Mao, H. Study on the spatiotemporal distribution patterns and influencing factors of cultural heritage: A case study of Fujian Province. Herit. Sci. 2024, 12, 324. [Google Scholar] [CrossRef]
- Wang, X.; Zhan, S. Exploring the spatial distribution of ICH by Geographic Information System (GIS). Mob. Inf. Syst. 2022, 8689113. [Google Scholar] [CrossRef]
- Li, X. Determination of the temporal–spatial distribution patterns of ancient heritage sites in China and their influencing factors via GIS. Herit. Sci. 2024, 12, 143. [Google Scholar] [CrossRef]
- Garcia-Martin, M.; Fagerholm, N.; Bieling, C.; Gounaridis, D.; Kizos, T.; Printsmann, A.; Müller, M.; Lieskovský, J.; Plieninger, T. Participatory mapping of landscape values in a Pan-European perspective. Landsc. Ecol. 2017, 32, 2133–2150. [Google Scholar] [CrossRef]
- Cultural Heritage Administration. Official Website of the Cultural Heritage Administration of Korea; Cultural Heritage Administration: Daejeon, Republic of Korea; Available online: https://www.cha.go.kr (accessed on 15 May 2025).
- Cultural Heritage Administration. Cultural Heritage Report 2023; Cultural Heritage Administration: Daejeon, Republic of Korea, 2023. [Google Scholar]
- Cultural Heritage Administration. A Comprehensive Survey and Management Plan for Historical and Cultural Resources 2020; Cultural Heritage Administration: Daejeon, Republic of Korea, 2020. [Google Scholar]
- Silverman, B.W. Density Estimation for Statistics and Data Analysis; CRC Press: Boca Raton, FL, USA, 1986. [Google Scholar]
- O’Sullivan, D.; Unwin, D.J. Geographic Information Analysis, 2nd ed.; John Wiley & Sons: Hoboken, NJ, USA, 2010. [Google Scholar]
- Anselin, L. Local indicators of spatial association—LISA. Geogr. Anal. 1995, 27, 93–115. [Google Scholar] [CrossRef]










| Step 1 | Step 2 | Step 3 | Continuous Addition and Removal | |||
| Basic List | ▶ | Supplementary List | ▶ | Local Government Review | ▶ | |
| Collection of reports and data from national agencies and cultural heritage institutions Distribution of the compiled list to survey teams and upload to the survey system | Supplementation of missing data through additional research by local scholars and institutions Major researchers by field and region review and refine the list | Distribute integrated list (basic + supplementary) to local governments for review Local heritage departments verify the list for omissions and errors Incorporate feedback and revise the list accordingly Upload finalized list to the system after review by regional experts | Researchers may add new resources discovered during surveys at any time Irrelevant, duplicated, or already-destroyed entries may be removed as identified | |||
| ⯆ | ⯆ | |||||
| Commencement of Survey | Completion of Survey Target List |
Disclaimer/Publisher’s Note: The statements, opinions and data contained in all publications are solely those of the individual author(s) and contributor(s) and not of MDPI and/or the editor(s). MDPI and/or the editor(s) disclaim responsibility for any injury to people or property resulting from any ideas, methods, instructions or products referred to in the content. |
© 2025 by the authors. Licensee MDPI, Basel, Switzerland. This article is an open access article distributed under the terms and conditions of the Creative Commons Attribution (CC BY) license (https://creativecommons.org/licenses/by/4.0/).
Share and Cite
Kim, B.; Shon, D. Spatial Distribution of Historical and Cultural Resources and Regional Revitalization Strategies in Chungcheong Province, South Korea. Land 2025, 14, 1167. https://doi.org/10.3390/land14061167
Kim B, Shon D. Spatial Distribution of Historical and Cultural Resources and Regional Revitalization Strategies in Chungcheong Province, South Korea. Land. 2025; 14(6):1167. https://doi.org/10.3390/land14061167
Chicago/Turabian StyleKim, Byoungjin, and Donghwa Shon. 2025. "Spatial Distribution of Historical and Cultural Resources and Regional Revitalization Strategies in Chungcheong Province, South Korea" Land 14, no. 6: 1167. https://doi.org/10.3390/land14061167
APA StyleKim, B., & Shon, D. (2025). Spatial Distribution of Historical and Cultural Resources and Regional Revitalization Strategies in Chungcheong Province, South Korea. Land, 14(6), 1167. https://doi.org/10.3390/land14061167

