Investigating the Impact of Urban Parks on Bird Habitats and Diversity Through Remote Sensing: A Case Study of Chengdu City (China)
Abstract
1. Introduction
2. Literature Review
2.1. Bird Habitat and Diversity
2.2. Urban Bird Habitat Selection
2.3. Research and Measures for Bird Conservation
3. Study Area and Data Source
3.1. Study Area Profile
3.2. Data Acquisition
4. Research Method
4.1. Research Route of This Study
4.2. Habitat Connectivity Calculation
- (1)
- Land-use change calculation
- (2)
- InVEST habitat quality assessment
- (3)
- Habitat connectivity calculation
4.3. Acquisition of Environmental Characteristic Factors
4.4. Avian Biodiversity
4.5. Statistical Analyses
5. Results
5.1. Overall Analysis of Bird Species in Chengdu
5.2. Impact of Land-Use Change on Bird Diversity
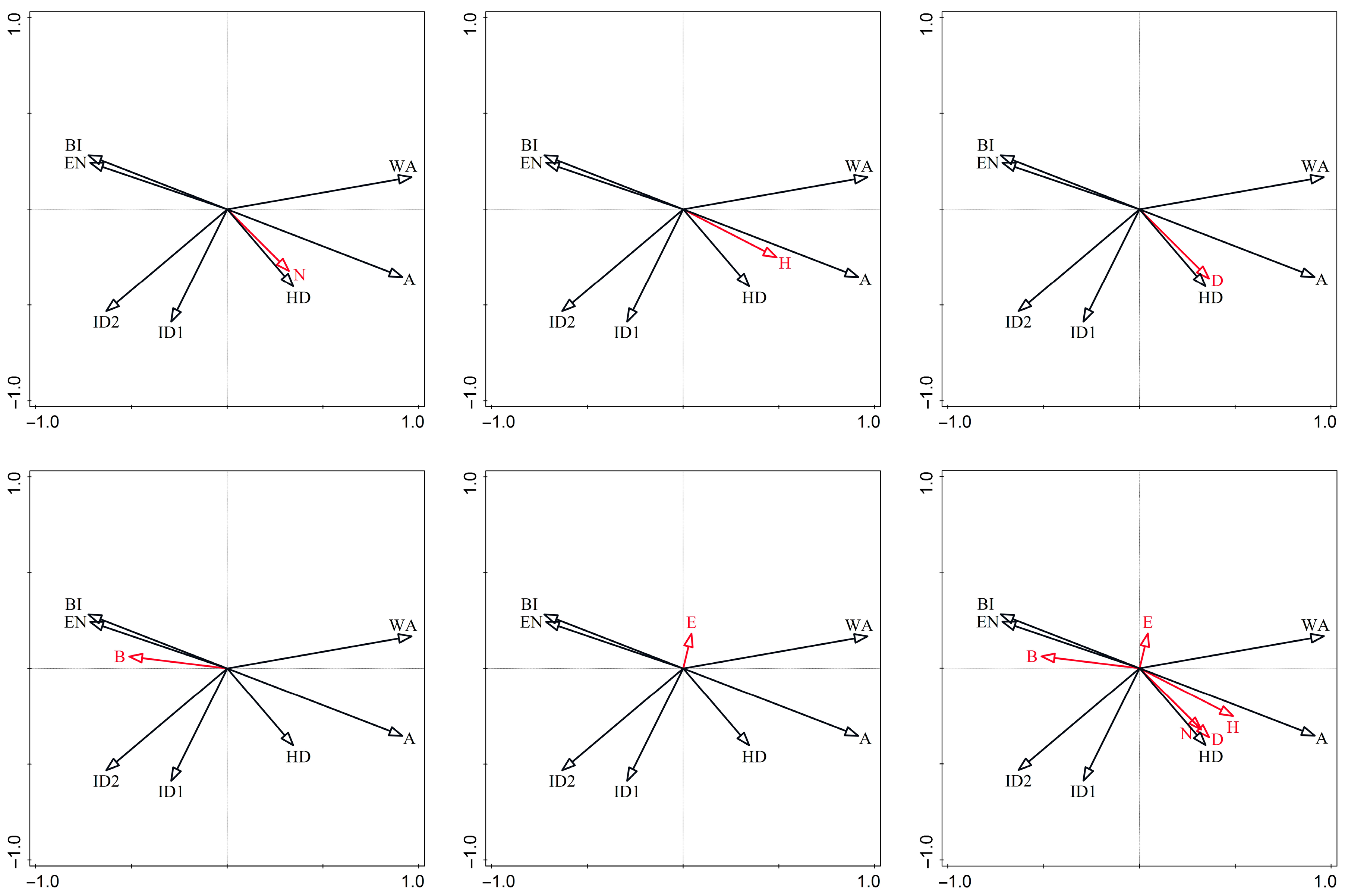
5.3. Impact of Park Environmental Characteristic Factors on Bird Diversity
- The number of species (N), Shannon diversity index (H), and Margalef index (D) exhibited consistent positive associations with park area (A) and habitat diversity (HD) while demonstrating strong negative correlations with environmental noise (EN) and building index (BI).
- Pielou’s evenness index (E) showed a negative relationship with habitat diversity (HD), which may be due to the fact that resources occupied by different species are not concentrated in complex habitats.
- The dominance index (D) presented positive relationships with both environmental noise (EN) and building index (BI).
- Isolation degree 1 (ID1) and isolation degree 2 (ID2) exhibited no significant associations with any avian diversity indices.
5.4. Impact of Park Environmental Characteristic Factors on Different-Sized Birds
- All three body size classes (small, medium, and large) exhibited strong positive correlations with park area (A) and habitat diversity (HD).
- Environmental noise (EN) and building index (BI) showed significant negative associations, primarily for medium- and large-sized birds.
5.5. Impact of Park Environmental Characteristic Factors on Birds of Different Residence Types
- Park area and habitat diversity exhibited consistent positive associations with overall avian diversity across all residence types.
- Environmental noise and building index demonstrated negative correlations with avian diversity, with stronger effects observed for resident and wintering birds.
6. Discussion
6.1. Habitat Quality Is a Major Factor Affecting Bird Diversity
6.2. Impact of Environmental Noise and Building Index on Birds
6.3. Impact of Park Area, Water Area, and Habitat Diversity
7. Conclusions
Author Contributions
Funding
Data Availability Statement
Conflicts of Interest
References
- Grimm, N.B.; Faeth, S.H.; Golubiewski, N.E.; Redman, C.L.; Wu, J.G.; Bai, X.M.; Briggs, J.M. Global change and the ecology of cities. Science 2008, 319, 756–760. [Google Scholar] [CrossRef] [PubMed]
- Ma, Y.; Li, F.; Yang, R. The impact of urbanization on biodiversity and its regulation countermeasures. Chin. Landsc. Archit. 2021, 37, 6–13. [Google Scholar]
- Ferenc, M.; Sedláček, O.; Fuchs, R.; Dinetti, M.; Fraissinet, M.; Storch, D. Are cities different? Patterns of species richness and beta diversity of urban bird communities and regional species assemblages in Europe. Glob. Ecol. Biogeogr. 2014, 23, 479–489. [Google Scholar] [CrossRef]
- Si, X.; Cadotte, M.W.; Zeng, D.I.; Baselga, A.; Zhao, Y.; Li, J.; Ding, P. Functional and phylogenetic structure of island bird communities. J. Anim. Ecol. 2017, 86, 532–542. [Google Scholar] [CrossRef]
- Laura, C.; María, P.; Prieto, M.; Hurtado, P.; Escudero, A.; Martínez, I. Functional diversity regulates the effects of habitat degradation on biocrust phylogenetic and taxonomic diversities. Ecol. Appl. A Publ. Ecol. Soc. Am. 2022, 32, e2599. [Google Scholar]
- Fernández-Juricic, E.; Jokimäki, J. A habitat island approach to conserving birds in urban landscapes: Case studies from southern and northern Europe. Biodivers. Conserv. 2001, 10, 2023–2043. [Google Scholar] [CrossRef]
- Roberge, J.M.; Angelstam, P. Indicator species among resident forest birds-A cross-regional evaluation in northern Europe. Biol. Conserv. 2006, 130, 134–147. [Google Scholar]
- Fraixedas, S.; Lindén, A.; Pihad, M.; Cabeza, M.; Gregory, R.; Lehikoinen, A. A state-of-the-art review on birds as indicators of biodiversity: Advances, challenges, and future directions. Ecol. Indic. 2020, 118, 106728. [Google Scholar] [CrossRef]
- Swaroop, P.; Ravi, J.; Piha, M.; Cabeza, M.; Gregory, R.; Lehikoinen, A. Which traits influence bird survival in the city? A review. Land 2021, 10, 92. [Google Scholar] [CrossRef]
- McKinney, L.M. Urbanization as a major cause of biotic homogenization. Biol. Conserv. 2005, 127, 247–260. [Google Scholar] [CrossRef]
- Zhang, Z.K.; Huang, G.L. Urban ornithological research in China: A review. Acta Ecol. Sin. 2018, 38, 3357–3367. [Google Scholar] [CrossRef]
- Gu, L.Z.; Yan, S.J.; Lv, W.; Chen, M.; Hu, W.J. Winter birds diversity in urban green spaces of Fuzhou. Forest Grassl. Resour. Res. 2024, 125–133. [Google Scholar] [CrossRef]
- Chen, Y.J.; Guo, Y.R.; Yang, P.L.; Liu, J.L. Diversity characteristics of birds in pond sponge habitats and influencing factors. Chin. Landsc. Archit. 2023, 39, 111–117. [Google Scholar] [CrossRef]
- Deng, Y.R.; Xiao, R.B.; Huang, L.J.; Hu, H.J.; Li, Z.S.; Ding, X.L. Approaches and Case Study of Urban Biodiversity Restoration. Landsc. Archit. 2015, 25–32. [Google Scholar] [CrossRef]
- Da, L.J. Urban near-to-nature biocoenose landmark construction for the restoration of native biodiversity: Concepts and practices in Shanghai. Chin. Landsc. Archit. 2021, 37, 20–24. [Google Scholar]
- Schütz, C.; Schulze, C.H. Functional diversity of urban bird communities: Effects of landscape composition, green space area and vegetation cover. Ecol. Evol. 2015, 5, 5230–5239. [Google Scholar] [CrossRef]
- Oropeza-Sánchez, M.T.; Solano-Zavaleta, I.; Cuandón-Hernández, W.L.; Martínez-Villegas, J.A.; Palomera-Hernández, V.; Zúñiga-Vega, J.J. Urban green spaces with high connectivity and complex vegetation promote occupancy and richness of birds in a tropical megacity. Urban Ecosyst. 2025, 28, 50. [Google Scholar] [CrossRef]
- Sandström, U.G.; Angelstam, P.; Khakee, A. Urban comprehensive planning–identifying barriers for the maintenance of functional habitat networks. Landsc. Urban Plan. 2006, 75, 43–57. [Google Scholar] [CrossRef]
- Chu, G.Z.; Zheng, G.M. Sampling survey methods for bird habitat research. Chin. J. Zool. 1993, 47–52. [Google Scholar] [CrossRef]
- Chen, S.H.; Ding, P.; Zheng, G.M.; Zhuge, Y. Research on the impact of urbanization on wetland waterbird tribes in Hangzhou City. Zool. Res. 2000, 279–285. Available online: https://kns.cnki.net/kcms2/article/abstract?v=L1vQOn58HG2on1woZUwg4AJ6K28Uy_cJgYla-7PLdQjLl5FZC-NXLmZTckmFR4Mi_s3B1rGmypGJWfmBS-px7KlDdxphxmNV6wfK5IynxUgifJ3ppFu_-O9WTdyHNU3ItTLUwBi-rSUgjdw-DHRo9fd5GXs-QnMTGWmuOJa66wcOLc1_dBQr1A==&uniplatform=NZKPT&language=CHS (accessed on 16 August 2025).
- Yang, W.K.; Zhong, W.Q.; Gao, X.Y. A review of studies on avian habitat selection. Arid Zone Res. 2000, 71–78. [Google Scholar] [CrossRef]
- Wang, L.J. Research on the Relationship Between Birds Diversity and Its Habitat Characteristics in City Parks in Beijing. Master’s Thesis, Beijing Forestry University, Beijing, China, 2012. [Google Scholar]
- Yang, Y.; Wen, J.B.; Hu, D.F. A review on avian habitat research. Sci. Silvae Sin. 2011, 47, 172–180. Available online: https://kns.cnki.net/kcms2/article/abstract?v=L1vQOn58HG3CQZ0gT9K22c7IsZvRKowy7QA5sDbIQod_PxPMZOXGdKDPzwLwS_dQ_zoTXSri-_0X-T5siaxZRb0S6o_J5GgEN7BivTEFiyJAEBl4Ka8hZidn8X42A2tctVR4rHILwjv_FNBk63PMsiRaNV2OQCna4nANOtwbghqK_b3gyH__jQ==&uniplatform=NZKPT&language=CHS (accessed on 16 August 2025).
- Jiang, A.W.; Zhou, F.; Qin, Y.; Liu, N.F. 10-years of bird habitat selection studies in mainland China: A review. Acta Ecol. Sin. 2012, 32, 5918–5923. [Google Scholar] [CrossRef][Green Version]
- Huang, Q.; Swatantran, A.; Dubayah, R.; Goetz, S.J. The influence of vegetation height heterogeneity on forest and woodland bird species richness across the United States. PLoS ONE 2014, 9, e103236. [Google Scholar] [CrossRef]
- Wang, Q.; Liu, Z.C.; Liu, T.Y.; Wan, D.M.; Jiang, Y.T. Multi-dimensional exploration in the study of urban bird diversity: A review. Chin. J. Ecol. 2022, 41, 2058–2063. [Google Scholar]
- Gregory, R.D.; Gibbons, D.W.; Donald, P.F. Bird census and survey techniques. In Bird Ecology and Conservation; OUP Oxford: Oxford, UK, 2004; pp. 17–56. [Google Scholar]
- Gregory, R.D.; Van Strien, A. Wild bird indicators: Using composite population trends of birds as measures of environmental health. Ornithol. Sci. 2010, 9, 3–22. [Google Scholar] [CrossRef]
- Zhang, M.H.; Xiao, Q.Z.; Gao, Z.X. Approach on the Application of Diversity Index Formulae to Bird Community. Chin. J. Ecol. 1990, 52–57. Available online: https://kns.cnki.net/kcms2/article/abstract?v=L1vQOn58HG1DodmgERmoFuyt3kFX6V4mlkIb7o2afVCVLV126tUfiRc26ieGRNZlAAVxiL2JG30wRKWMz4N28ofeOMfuSyLPCsK2s_SVcnjKCysOLMS6P7hTSlqtmjsOs58LxICteOPiSpVbI9oxLDjQl6B0YJU1I7LVb_rA_DlxI7r62Llavg==&uniplatform=NZKPT&language=CHS (accessed on 16 August 2025).
- Deng, J.; Yan, Y.Y.; Zhang, Z.Q.; Li, C.; Yang, D.D. Influence of urbanization on bird species diversity in urban parks in Changsha, Hunan Province during the breeding period. Chin. J. Ecol. 2014, 33, 1853–1859. [Google Scholar]
- Yang, G.; Xu, J.; Wang, Y.; Ding, Y.Z.; Yuan, X.; Pei, E.L.; Ma, B.; Wang, X.M.; Wang, Z.H. The influence of vegetation structure on bird guilds in an urban park. Acta Ecol. Sin. 2015, 35, 4824–4835. [Google Scholar] [CrossRef][Green Version]
- Sui, J.L.; Zhang, Z.X.; Hu, D.F.; Wang, M.Z.; Fu, R.H. Studies on bird-feed trees at green belts of Beijing urban area. Sci. Silvae Sin. 2006, 83–89. Available online: https://kns.cnki.net/kcms2/article/abstract?v=L1vQOn58HG1hjMKNCNbTQmP0nVnH9PnfwZtdqEBTrv8ZMt8ZuvF80NtEXmspHi9zjjbyr-2VeR_rfY93aGdT_Y9ldM7adPkKW4p-2eJIedln3Earr9BYcqgOcxvGAHWRQXgnv3imedE77uBGQ3Y5lbfla1ssRjOghsAg_2ycNN4pd-qYLWz2IA==&uniplatform=NZKPT&language=CHS (accessed on 16 August 2025).[Green Version]
- Yao, Y.H.; Yan, Y.J. Application of winter fruit tree and investigation on bird diversity in Liuzhou. South. Hortic. 2014, 25, 19–21+35. [Google Scholar][Green Version]
- Paker, Y.; Yom-Tov, Y.; Alon-Mozes, T.; Barnea, A. The effect of plant richness and urban garden structure on bird species richness, diversity and community structure. Landsc. Urban Plan. 2014, 122, 186–195. [Google Scholar] [CrossRef]
- DeGRAAF, R.M.; Wentworth, J.M. Avian guild structure and habitat associations in suburban bird communities. Urban Ecol. 1986, 9, 399–412. [Google Scholar] [CrossRef]
- Liu, J.L.; Cao, J.; Li, S.J.; Pan, C.L.; Pan, C.C. Characteristics of soil macrofaunal community structure in secondary forest and forest plantations in western Qinling Mountains of Northwest China. Chin. J. Appl. Ecol. 2012, 23, 2459–2466. [Google Scholar]
- Zhang, Q.; Lan, S.S.; Huang, Q.; Chen, S.H. Urbanization effects on birds: From community to individual. Chin. J. Zool. 2013, 48, 808–816. [Google Scholar]
- Xie, S.L.; Cao, L.; Lu, F.; Ouyang, Z.Y. Adaptation of birds to urbanization. Acta Ecol. Sin. 2016, 36, 6696–6707. [Google Scholar] [CrossRef]
- Wikelski, M.; Kays, R.W.; Kasdin, N.J.; Thorup, K.; Smith, J.A.; Swenson Jr, G.W. Going wild: What a global small-animal tracking system could do for experimental biologists. J. Exp. Biol. 2007, 210, 181–186. [Google Scholar] [CrossRef] [PubMed]
- GB/T 21010-2017; Current Land Use Classification. National Standards of the People’s Republic of China: Beijing, China, 2017.
- Luo, Z.; Jiang, Z.; Tang, S. Impacts of climate change on distributions and diversity of ungulates on the Tibetan Plateau. Ecol. Appl. 2015, 25, 24–38. [Google Scholar] [CrossRef] [PubMed]
- Alagador, D.; Cerdeira, J.O.; Araújo, M.B. Climate change, species range shifts and dispersal corridors: An evaluation of spatial conservation models. Methods Ecol. Evol. 2016, 7, 853–866. [Google Scholar] [CrossRef]
- Sala, O.E.; Chapin, F.S., 3rd; Armesto, J.J.; Berlow, E.; Bloomfield, J.; Dirzo, R.; Huber-Sanwald, E.; Huenneke, L.F.; Jackson, R.B.; Kinzig, A.; et al. Global biodiversity scenarios for the year 2100. Science 2000, 287, 1770–1774. [Google Scholar] [CrossRef] [PubMed]
- Opdam, P.; Wascher, D. Climate change meets habitat fragmentation: Linking landscape and biogeographical scale levels in research and conservation. Biol. Conserv. 2003, 117, 285–297. [Google Scholar] [CrossRef]
- Brodie, J.F.; Paxxton, M.; Nagulendran, K.; Balamurugan, G.; Clements, G.R.; Reynolds, G.; Jain, A.; Hon, J. Connecting science, policy, and implementation for landscape- scale habitat connectivity. Conserv. Biol. 2015, 30, 950–961. [Google Scholar] [CrossRef]
- Sharp, R.; Tallis, H.T.; Ricketts, T.; Guerry, A.D.; Wood, S.A.; Chapin-Kramer, R.; Nelson, E.; Ennaanay, D.; Wolny, S.; Olwero, N.; et al. InVEST 3.2.0 User’s Guide; The Natural Capital Project, Stanford University, University of Minnesota, The Nature Conservancy, and World Wildlife Fund: Stanford, CA, USA, 2015. [Google Scholar] [CrossRef]
- Wang, C.X.; He, J.H.; Liu, D.; Yu, X.; Shi, Q. Impact of land use change on bird habitat connectivity: A case study in Ezhou City. Acta Ecol. Sin. 2022, 42, 4197–4208. [Google Scholar]
- Rong, Y.J.; Zhang, H.; Wang, Y.S. Assessment on land use and biodiversity in Nanjing city based on Logistic-CA-Markov and InVEST model. Res. Soil Water Conserv. 2016, 23, 82–89. [Google Scholar]
- Zhong, L.N.; Wang, J. Evaluation on effect of land consolidation on habitat quality based on InVEST model. Trans. Chin. Soc. Agric. Eng. 2017, 33, 250–255. [Google Scholar]
- Pascual-Hortal, L.; Saura, S. Comparison and development of new graph-based landscape connectivity indices: Towards the priorization of habitat patches and corridors for conservation. Landsc. Ecol. 2006, 21, 959–967. [Google Scholar] [CrossRef]
- Wang, Y.P.; Chen, S.H.; Ding, P. Flush distance: Bird tolerance to human intrusion in Hangzhou. Zool. Res. 2004, 214–220. Available online: https://kns.cnki.net/kcms2/article/abstract?v=L1vQOn58HG0PjhCgjTTh30UOYTLGnM3Wtj_fKikiChq0zZniTNZueJji1wZgNjDbsmfRbw6pzESVndVdc73layAwZegZ60_gMwXM6W28PVLmLwsa_fEK2CQpE0KZfhKcAq5Ou34Ae_GAKEqxU_fynS2zoUqMBm3novcWtIU_Akaqxk0ufy3IoA==&uniplatform=NZKPT&language=CHS (accessed on 16 August 2025).
- Shannon, C.E. A mathematical theory of communication. Bell Syst. Tech. J. 1948, 27, 379–423. [Google Scholar] [CrossRef]
- Margalef, R. Information theory in ecology. Gen. Syst. 1958, 3, 36–71. [Google Scholar]
- Pielou, E.C. The measurement of diversity in different types of biological collections. J. Theor. Biol. 1966, 13, 131–144. [Google Scholar] [CrossRef]
- Simpson, E.H. Measurement of diversity. Nature 1949, 163, 688. [Google Scholar] [CrossRef]
- He, J.H.; Wang, C.X.; Liu, D.F.; Cheng, H.; Shi, Q.Q. Evaluating the impact of land use change on habitat quality in metropolitan fringe areas from a perspective of ecological network. Resour. Environ. Yangtze Basin 2019, 28, 903–916. [Google Scholar]
- Garizábal-Carmona, J.A.; Mancera-Rodríguez, N.J. Bird species richness across a Northern Andean city: Effects of size, shape, land cover, and vegetation of urban green spaces. Urban Urban Green 2021, 64, 127243. [Google Scholar] [CrossRef]
- Guo, S.Y.; Zhaiteng, X.; Xiayuan, Y.; Cao, Y. The mechanism of urban built environment impact on avian diversity—A systematic review. Chin. Landsc. Archit. 2022, 38, 71–76. [Google Scholar]
- Raap, T.; Sun, J.C.; Pinxten, R.; Eens, M. Disruptive effects of light pollution on sleep in free-living birds: Season and/or light intensity-dependent? Behav. Process. 2017, 144, 13–19. [Google Scholar] [CrossRef]
- Mishra, I.; Knerr, R.M.; Stewart, A.A.; Stewart, A.A.; Payette, W.I.; Richter, M.M.; Ashley, N.T. Light at night disrupts diel patterns of cytokine gene expression and endocrine profiles in zebra finch (Taeniopygia guttata). Sci. Rep. 2019, 9, 15833. [Google Scholar] [CrossRef] [PubMed]
- Cabrera-Cruz, S.A.; Smolinsky, J.A.; McCarthy, K.P.; Buler, J.J. Urban areas affect flight altitudes of nocturnally migrating birds. J. Anim. Ecol. 2019, 88, 1873–1887. [Google Scholar] [CrossRef]
- Shannon, G.; McKenna, M.F.; Angeloni, L.M.; Crooks, K.R.; Fristrup, K.M.; Brown, E.; Warner, K.A.; Nelson, M.D.; White, C.; Wittemyer, G.; et al. A synthesis of two decades of research documenting the effects of noise on wildlife. Biol. Rev. 2016, 91, 982–1005. [Google Scholar] [CrossRef] [PubMed]
- Senzaki, M.; Barber, J.R.; Phillips, J.N.; Carter, N.H.; Cooper, C.B.; Ditmer, M.A.; Firstrup, K.M.; McClure, C.J.W.; Mennitt, D.J.; Ditmer, M.A.; et al. Sensory pollutants alter bird phenology and fitness across a continent. Nature 2020, 587, 605–609. [Google Scholar] [CrossRef]
- Templeton, C.N.; Zollinger, S.A.; Brumm, H. Traffic noise drowns out great tit alarm calls. Curr. Biol. 2016, 26, R1173–R1174. [Google Scholar] [CrossRef]
- Wilson, E.O.; MacArthur, R.H. The Theory of Island Biogeography; Princeton University Press: Princeton, NJ, USA, 2016. [Google Scholar]
- Sun, B.; Lu, Y.L.; Yang, Y.; Yu, M.; Yuan, J.; Yu, R.; Bullock, J.M.; Stenseth, N.C.; Li, X.; Li, J.L.; et al. Urbanization affects spatial variation and species similarity of bird diversity distribution. Sci. Adv. 2022, 49, e3061. [Google Scholar]
- Campbell, C.E.; Jones, D.N.; Awasthy, M.; Chauvenet, A.L. How do we study birds in urban settings? A systematic review. Biodivers. Conserv. 2022, 31, 1–20. [Google Scholar] [CrossRef]
- Evans, K.L.; Chamberlain, D.E.; Hatchwell, B.J.; Gregory, R.D.; Gaston, K.J. What makes an urban bird? Glob. Change Biol. 2011, 17, 32–44. [Google Scholar] [CrossRef]
- Leveau, L.M.; Bocelli, M.L.; Quesada-Acuña, S.G.; González-Lagos, C.; Tapia, P.G.; Dri, G.F.; Delgado-V, C.A.; Garitano-Zavala, A.; Campos, J.; Morelli, F.; et al. Bird diversity-environment relationships in urban parks and cemeteries of the Neotropics during breeding and non-breeding seasons. PeerJ 2022, 10, e14496. [Google Scholar] [CrossRef]
- Chamberlain, D.E.; Cannon, A.R.; Toms, M.P.; Leech, D.I.; Hatchwell, B.J.; Gaston, K.J. Avian productivity in urban landscapes: A review and meta-analysis. IBIS 2009, 151, 1–18. [Google Scholar]
- Zhang, W.Q.; Dong, L. Study of Bird Preference to Plant Habitat and Species in Beijing Urban Park. Chin. Landsc. Archit. 2015, 31, 15–19. [Google Scholar]
- Gutierrez, B.T.; Zeigler, S.L.; Lentz, E.; Sturdivant, E.J.; Plant, N.G. Integrating bayesian networks to forecast sea-level rise impacts on barrier island characteristics and habitat availability. Earth Space Sci. 2022, 9, e2022EA002286. [Google Scholar]
- Kim, J.; Chae, J.; Koo, T.H. Variation in bird diversity in relation to habitat size in the urban landscape of Seoul, South Korea. Acta Ornithol. 2007, 42, 39–44. [Google Scholar] [CrossRef][Green Version]












| Threat | Maximum Distance of Influence/km | Weight | Type of Decay over Space |
|---|---|---|---|
| Plowland | 0.7 | 0.6 | 0 |
| Unutilized land | 0.5 | 0.4 | 0 |
| Construction land | 1 | 1 | 0 |
| Railway | 0.3 | 0.4 | 1 |
| Expressway | 0.4 | 0.5 | 1 |
| Main road | 0.6 | 0.6 | 1 |
| Land-Use Type | Habitat Suitability | Construction Land | Plowland | Unutilized Land | Railway | Expressway | Main Road |
|---|---|---|---|---|---|---|---|
| Plowland | 0 | 0.5 | 0.3 | 0.2 | 0.3 | 0.4 | 0.5 |
| Forest land | 1 | 1 | 0.8 | 0.5 | 0.5 | 0.6 | 0.7 |
| Water area | 1 | 1 | 0.7 | 0.5 | 0.5 | 0.6 | 0.7 |
| Unutilized land | 0 | 0 | 0 | 0 | 0 | 0 | 0 |
| Construction land | 0 | 0 | 0 | 0 | 0 | 0 | 0 |
| No. | Parks | Area (hm2) | Water Area (hm2) | Isolation Degree 1 (km) | Isolation Degree 2 (km) | Habitat Diversity | Noise (dB) | Building Index |
|---|---|---|---|---|---|---|---|---|
| 1 | Wuhou Shrine | 16.77 | 0.37 | 36.40 | 7.00 | 10.00 | 68.00 | 120.31 |
| 2 | Guixi Ecological Park | 108.21 | 5.18 | 27.20 | 5.60 | 8.00 | 54.00 | 112.27 |
| 3 | Wangjiang Tower Park | 12.86 | 0.77 | 41.70 | 8.70 | 8.00 | 63.00 | 102.34 |
| 4 | Pumpkin Beach | 4.73 | 0.00 | 30.10 | 11.60 | 7.00 | 54.00 | 102.34 |
| 5 | Towerhill Park | 31.85 | 0.51 | 31.20 | 11.30 | 10.00 | 58.00 | 98.74 |
| 6 | Baihuatan Park | 8.63 | 0.00 | 26.70 | 5.60 | 7.00 | 67.00 | 97.34 |
| 7 | Chengdu People’s Park | 15.83 | 0.52 | 28.80 | 3.50 | 8.00 | 64.00 | 96.15 |
| 8 | Donghu Park | 27.75 | 20.68 | 27.30 | 0.50 | 9.00 | 58.00 | 86.15 |
| 9 | Huanhuaxi Park | 30.09 | 4.27 | 31.90 | 11.20 | 9.00 | 56.00 | 82.14 |
| 10 | Zhonghe Wetland Park | 105.34 | 24.58 | 31.20 | 6.70 | 8.00 | 51.00 | 76.31 |
| 11 | Yuan Shangwan Park | 12.48 | 0.00 | 23.80 | 4.20 | 5.00 | 68.00 | 63.39 |
| 12 | Xinglong Lake | 419.28 | 81.17 | 17.70 | 0.00 | 10.00 | 48.00 | 52.38 |
| 13 | Yongan Lake Wetland Park | 94.72 | 36.68 | 16.60 | 0.00 | 7.00 | 54.00 | 50.27 |
| 14 | Jiaozi Park | 19.79 | 4.25 | 31.90 | 5.60 | 6.00 | 61.00 | 49.26 |
| 15 | Jincheng Lake Park | 62.33 | 7.54 | 26.90 | 6.40 | 9.00 | 54.00 | 41.59 |
| 16 | Fenghuangshan Park | 127.55 | 0.85 | 27.90 | 3.80 | 8.00 | 56.00 | 39.49 |
| 17 | Chengdu Botanical Garden | 42.00 | 0.00 | 37.10 | 7.00 | 11.00 | 47.00 | 36.94 |
| 18 | Luxi River | 298.56 | 55.94 | 33.30 | 11.40 | 9.00 | 53.00 | 28.17 |
| 19 | Beihu Park | 83.45 | 33.45 | 33.00 | 1.80 | 7.00 | 52.00 | 25.54 |
| 20 | Chengdu Research Base of Giant Panda Breeding | 197.12 | 2.60 | 53.40 | 3.10 | 9.00 | 54.00 | 25.26 |
| 21 | Jade Wetland Park | 148.65 | 12.67 | 23.10 | 0.00 | 8.00 | 51.00 | 17.77 |
| 22 | Bailuwan Wetland Park | 179.78 | 37.32 | 33.70 | 1.80 | 9.00 | 49.00 | 14.65 |
| 23 | Baihetan Wetland Park | 82.43 | 24.02 | 25.20 | 1.60 | 9.00 | 51.00 | 11.95 |
| 24 | Qinglonghu Park | 943.66 | 123.63 | 30.10 | 1.90 | 11.00 | 49.00 | 10.26 |
| No. | Parks | Number of Species | Shannon Diversity Index | Margalef Index |
|---|---|---|---|---|
| 1 | Chengdu Botanical Garden | 234 | 4.27 | 29.63 |
| 2 | Qinglonghu Park | 220 | 4.27 | 27.86 |
| 3 | Huanhuaxi Park | 188 | 4.23 | 23.11 |
| 4 | Baihetan Wetland Park | 154 | 4.46 | 20.81 |
| 5 | Xinglong Lake | 130 | 4.07 | 17.26 |
| 6 | Bailuwan Wetland Park | 125 | 4.13 | 18.07 |
| 7 | Pumpkin Beach | 118 | 4.11 | 16.09 |
| 8 | Chengdu Research Base of Giant Panda Breeding | 96 | 3.95 | 14.84 |
| 9 | Jincheng Lake Park | 88 | 3.94 | 13.76 |
| 10 | Jade Wetland Park | 87 | 3.92 | 13.07 |
| 11 | Luxi river | 86 | 4.17 | 15.60 |
| 12 | Beihu Park | 82 | 3.89 | 12.30 |
| 13 | Donghu Park | 76 | 3.73 | 12.22 |
| 14 | Wuhou Shrine | 71 | 3.51 | 11.40 |
| 15 | Baihuatan Park | 65 | 3.73 | 11.29 |
| 16 | Zhonghe Wetland Park | 63 | 3.87 | 11.19 |
| 17 | Fenghuangshan Park | 58 | 3.76 | 11.07 |
| 18 | Yuan Shangwan Park | 55 | 3.70 | 9.79 |
| 19 | Guixi Ecological Park | 51 | 3.57 | 9.62 |
| 20 | Yongan Lake Wetland Park | 45 | 3.62 | 9.69 |
| 21 | Towerhill Park | 44 | 3.23 | 8.23 |
| 22 | Wangjiang Tower Park | 41 | 3.30 | 7.71 |
| 23 | Chengdu People’s Park | 33 | 2.95 | 6.81 |
| 24 | Jiaozi Park | 30 | 3.04 | 6.04 |
| Year | Patch Number | High-Quality Patch Area | Corridor Quantity | |
|---|---|---|---|---|
| 2 km | 6 km | |||
| 2010 | 329 | 19738.44 | 1060 | 3609 |
| 2015 | 297 | 17826.93 | 838 | 3029 |
| 2020 | 273 | 32629.59 | 702 | 2451 |
| Years | 2010 | 2015 | 2020 | |
|---|---|---|---|---|
| PC | ||||
| PC (2 km threshold) | 0.16 | 0.18 | 0.51 | |
| PC (6 km threshold) | 0.43 | 0.41 | 0.69 | |
Disclaimer/Publisher’s Note: The statements, opinions and data contained in all publications are solely those of the individual author(s) and contributor(s) and not of MDPI and/or the editor(s). MDPI and/or the editor(s) disclaim responsibility for any injury to people or property resulting from any ideas, methods, instructions or products referred to in the content. |
© 2025 by the authors. Licensee MDPI, Basel, Switzerland. This article is an open access article distributed under the terms and conditions of the Creative Commons Attribution (CC BY) license (https://creativecommons.org/licenses/by/4.0/).
Share and Cite
Liao, C.; Jiang, Y.; Yang, M.; Feng, K.; Zhang, J. Investigating the Impact of Urban Parks on Bird Habitats and Diversity Through Remote Sensing: A Case Study of Chengdu City (China). Land 2025, 14, 2086. https://doi.org/10.3390/land14102086
Liao C, Jiang Y, Yang M, Feng K, Zhang J. Investigating the Impact of Urban Parks on Bird Habitats and Diversity Through Remote Sensing: A Case Study of Chengdu City (China). Land. 2025; 14(10):2086. https://doi.org/10.3390/land14102086
Chicago/Turabian StyleLiao, Chenyang, Yumeng Jiang, Mingle Yang, Kexin Feng, and Jiazhen Zhang. 2025. "Investigating the Impact of Urban Parks on Bird Habitats and Diversity Through Remote Sensing: A Case Study of Chengdu City (China)" Land 14, no. 10: 2086. https://doi.org/10.3390/land14102086
APA StyleLiao, C., Jiang, Y., Yang, M., Feng, K., & Zhang, J. (2025). Investigating the Impact of Urban Parks on Bird Habitats and Diversity Through Remote Sensing: A Case Study of Chengdu City (China). Land, 14(10), 2086. https://doi.org/10.3390/land14102086

