Urbanization, Digital–Intelligent Integration, and Carbon Productivity: Spatiotemporal Dynamics in the Middle Reaches Urban Agglomeration of the Yellow River
Abstract
1. Introduction
2. Theoretical Basis
3. Materials and Methods
3.1. Overview of the Study Area
3.2. Research Methodology
3.2.1. Coupled Coordination Model
3.2.2. Spatial Autocorrelation Models
3.2.3. Kernel Density Estimation
3.3. Evaluation Indicator System for the Level of Digital Intelligence Integration
3.4. Measurement of Carbon Productivity
3.5. Data Sources
4. Results
4.1. Spatiotemporal Coordination Between Digitalization and Carbon Productivity
4.2. Empirical Results and Analysis
4.2.1. Influential Factors
4.2.2. Decomposition of Spatial Effects
4.2.3. Robustness Analysis
5. Discussion
5.1. Spatiotemporal Patterns and Key Insights
5.2. Drivers, Mechanisms, and Spatial Spillovers
5.3. Robustness and Limitations
5.4. Policy Implications and Future Directions
6. Conclusions
Author Contributions
Funding
Data Availability Statement
Conflicts of Interest
References
- Xiong, L.; Zhang, Q.; Yan, Y.; Jiang, S.; Su, L. Spatiotemporal Characteristics and Driving Factors of the Coupled Coordination Between Digital Intelligence Development and Carbon Productivity in Urban Agglomerations of the Middle Reaches of Yangtze River. Econ. Geogr. 2024, 10, 46–54. [Google Scholar]
- Wang, Y.; Li, X.; Zhang, S.; Liu, J.; Chen, H. Carbon Peak and Carbon Neutrality in China: Goals, Implementation Path and Prospects. China Geol. 2021, 4, 720–746. [Google Scholar] [CrossRef]
- National Development and Reform Commission (NDRC). Outline of the 14th Five-Year Plan for National Economic and Social Development and Long-Range Objectives for 2035; NDRC: Beijing, China, 2021. Available online: https://www.ndrc.gov.cn (accessed on 10 August 2025).
- Mladenov, M. COP28 in the Light of the Right to a Healthy Environment: Destructive Creation or Creative Destruction? Jurid. Trib. Rev. Comp. Int. Law 2024, 14, 481–493. [Google Scholar] [CrossRef]
- Girardet, H. Cities, People, Planet—Liveable Cities for a Sustainable World; Wiley-Academy: Chichester, UK, 2004. [Google Scholar]
- Girardet, H. Creating Regenerative Cities; Routledge: London, UK, 2014. [Google Scholar]
- Shmelev, S.E. (Ed.) Sustainable Cities Reimagined: Multidimensional Assessment and Smart Solutions; Routledge: London, UK, 2019. [Google Scholar]
- Li, Z.; Wang, J. The Dynamic Impact of Digital Economy on Carbon Emission Reduction: Evidence from City-Level Empirical Data in China. J. Clean. Prod. 2022, 351, 131570. [Google Scholar] [CrossRef]
- Wang, Y.; Li, N.; Song, J.; Li, Q. Solving the Sustainable Development Dilemma in the Yellow River Basin of China: Water–Energy–Food Linkages. J. Clean. Prod. 2025, 490, 144797. [Google Scholar] [CrossRef]
- Yu, T.; Jia, S.; Cui, X. From Efficiency to Resilience: Unraveling the Dynamic Coupling of Land Use Economic Efficiency and Urban Ecological Resilience in Yellow River Basin. Sci. Rep. 2024, 14, 16518. [Google Scholar] [CrossRef]
- Chen, Z.; Shen, S.; Cheng, Y.; Zhang, Q. Impact of New Digital Infrastructure on Carbon Productivity: A Case Study of the Yangtze River Economic Belt. Resour. Environ. Yangtze Basin 2024, 33, 1844–1859. [Google Scholar]
- Peng, W.; Cao, X. Impact of Digital Infrastructure Construction on Urban Carbon Productivity: Evidence from the “Broadband China” Initiative. Econ. Rev. J. 2024, 94–105. [Google Scholar]
- Sun, H.; Chen, T.; Wang, C.N. Spatial Impact of Digital Finance on Carbon Productivity. Geosci. Front. 2024, 15, 101674. [Google Scholar] [CrossRef]
- Song, C.; Liu, Q.; Ma, W.; Yang, D.; Song, J.; Li, B. A Comparative Study on the Impact Pathways of Technological Innovation on Carbon Productivity in the Yellow River Basin and the Yangtze River Economic Belt: Based on the Mediating Effect of Digital Finance. Resour. Sci. 2024, 450–461. [Google Scholar]
- Ahmed, E.M.; Elfaki, K.E.; Alamin, Y.M.M.; Abdel-Aziz, M.S.E.; Elmoustafa, A.M.G. Digitalization and Climate Change Spillover Effects on Saudi Digital Economy Sustainable Economic Growth. Fudan J. Hum. Soc. Sci. 2025, 14, 123–136. [Google Scholar] [CrossRef]
- Tao, M.; San Pedro, M.J.P.; Roubaud, D.; Tiwari, A.K. From Digital Clusters to Urban Environmental Sustainability: New Mechanisms and Spillover Effects. Sustain. Dev. 2025, 33, 7363–7386. [Google Scholar] [CrossRef]
- Fakhrullah, K.S.; DingDing, X.; Suplata, M. Global Technology Innovation: Comparison of New Broad-Based Index of Financial Development of Europe and Asia. Futur. Bus. J. 2025, 11, 127. [Google Scholar] [CrossRef]
- Agyekum, E.B.; Ali, E.B. Impact of Technological Innovation on Carbon Neutrality—Systematic and Bibliometric Review of Two Decades of Research. Carbon Res. 2025, 4, 30. [Google Scholar] [CrossRef]
- Feng, T.; Appolloni, A.; Chen, J. How Does Corporate Digital Transformation Affect Carbon Productivity? Evidence from Chinese Listed Companies. Environ. Dev. Sustain. 2024, 26, 31425–31445. [Google Scholar] [CrossRef]
- Feng, S.; Mao, Y.; Li, G.; Bai, J. Enterprise Digital Transformation, Biased Technological Progress and Carbon Total Factor Productivity. J. Environ. Plan. Manag. 2025, 68, 154–184. [Google Scholar] [CrossRef]
- Wang, X.; Wang, S.; Zhang, X. Heterogeneity and Influence Factors of Carbon Productivity: Evidence from Chinese Manufacturing Enterprises. J. Clean. Prod. 2023, 404, 136938. [Google Scholar] [CrossRef]
- Lu, F.; Liu, Q.; Wang, P. Spatiotemporal Characteristics of Ecological Resilience and Its Influencing Factors in the Yellow River Basin of China. Sci. Rep. 2024, 14, 16988. [Google Scholar] [CrossRef]
- Grossman, G.M.; Krueger, A.B. Economic Growth and the Environment. Q. J. Econ. 1995, 110, 353–377. [Google Scholar] [CrossRef]
- Zheng, J.; Zhang, B.; Zhu, H.; Zhao, Q. Theoretical Study on Pollution Emission Structure in Economic Development: From the Perspective of New Structural Economics. Inq. Econ. Issues 2024, 1–14. [Google Scholar]
- Xiao, Q.; Deng, Z.; Wang, J. Spatial–Temporal Pattern and Differentiation Mechanism of the Coupling Coordination Between Digital Economy and Green Development. J. Southwest Univ. 2024, 50, 167–182. [Google Scholar]
- Li, K.; Lin, B. How to Promote Energy Efficiency Through Technological Progress in China? Energy 2018, 143, 812–821. [Google Scholar] [CrossRef]
- Jiang, H.; Kong, P.; Hu, Y.-C.; Jiang, P. Forecasting China’s CO2 Emissions by Considering Interaction of Bilateral FDI Using the Improved Grey Multivariable Verhulst Model. Environ. Dev. Sustain. 2020, 23, 225–240. [Google Scholar] [CrossRef]
- Jiang, Y.; Guo, Y.; Bashir, M.F.; Shahbaz, M. Do Renewable Energy, Environmental Regulations and Green Innovation Matter for China’s Zero Carbon Transition: Evidence from Green Total Factor Productivity. J. Environ. Manag. 2024, 352, 120030. [Google Scholar] [CrossRef]
- Cardinali, P.G.; De Giovanni, P. Responsible Digitalization Through Digital Technologies and Green Practices. Corp. Soc. Responsib. Environ. Manag. 2022, 29, 984–995. [Google Scholar] [CrossRef]
- Meng, F.S.; Zhao, Y. Industrial Intelligence, Industrial Agglomeration, and Carbon Productivity. Stud. Sci. Sci. 2023, 10, 1789–1799. [Google Scholar]
- Peng, J.; Yi, M.; Fu, S.; Wang, H.; Wen, L.; Wang, T. Biased Technological Progress and Coordination of Carbon Emission Reduction and Haze Reduction. Environ. Sci. Pollut. Res. 2024, 31, 36307–36310. [Google Scholar] [CrossRef]
- Zhou, D.; Chu, J. The Carbon Emission Reduction Effect of the Digital Economy from the Perspective of Biased Technological Progress. J. Environ. Manag. 2025, 373, 123857. [Google Scholar] [CrossRef]
- Wang, L.H.; Jiang, H.; Dong, Z.Q. Will Industrial Intelligence Reshape the Geography of Companies? China Ind. Econ. 2022, 2, 137–155. [Google Scholar]
- Liu, Y.; Chen, X. Research on the Impact of Digital Intelligence Integration Development on Collaborative Governance of Pollution Reduction and Carbon Reduction in China. Res. Environ. Sci. 2023, 36, 2189–2199. [Google Scholar]
- Guo, F.; Zhang, S.; Shao, J.; Zhang, W.; Wang, J. Digital-Intelligent Integration Empowering Green and Low-Carbon Development in the Steel Industry. China Manag. Inform. 2024, 159–162. [Google Scholar]
- Hao, X.; Liang, Y.; Yang, C.; Wu, H.; Hao, Y. Can Industrial Digitalization Promote Regional Green Technology Innovation? J. Innov. Knowl. 2024, 9, 100463. [Google Scholar] [CrossRef]
- Huang, Y.; Huang, Y.; Chen, Y.; Yang, S. Spatial Evolution of Traditional Waterside Settlements South of the Yangtze River and the Distribution of Settlement Heritage: Evidence from the Nanxi River Basin. Npj Herit. Sci. 2025, 13, 62. [Google Scholar] [CrossRef]
- Mutanda, V.; Chirodzero, T.C.; Dzingirai, M. The Role of Green Leadership in Promoting Responsible Production. In Responsible Business and Sustainable Development; Routledge: London, UK, 2024; pp. 200–218. [Google Scholar]
- Balda, J.B.; Stanberry, J.; Altman, B. Leadership and the Regenerative Economy—Concepts, Cases, and Connections: Leveraging the Sustainable Development Goals to Move Toward Sustainability Leadership. New Dir. Stud. Leadersh. 2023, 2023, 121–141. [Google Scholar] [CrossRef] [PubMed]
- Zhang, J.; Shan, Y.; Jiang, S.; Xin, B.; Miao, Y.; Zhang, Y. Study on the Coordinated Development Degree of New Quality Productivity and Manufacturing Carbon Emission Efficiency in Provincial Regions of China. In Environment, Development and Sustainability; Springer: Berlin/Heidelberg, Germany, 2024. [Google Scholar] [CrossRef]
- Wen, L.; Shi, L.; Zhou, X. Coordinated Development of Bidirectional FDI, Green Innovation, and Environmental Regulation—Based on the Mediating Effect of Green Innovation. Econ. Issues 2023, 44–51. [Google Scholar] [CrossRef]
- Zhang, K.; Zhang, Y. Evolution of Regional Economic Disparities in the Yellow River Basin at Different Spatial Scales. Econ. Geogr. 2020, 40, 1–11. [Google Scholar] [CrossRef]
- Zhu, J.; Wang, H.; Zheng, P. Coupling and Coordinated Development of Circular Economy and Green Finance in Guizhou. Econ. Geogr. 2019, 19, 119–128. [Google Scholar]
- Ministry of Ecology and Environment. Air Quality Ranking of Prefecture-Level and Above Cities in 2024. Available online: https://www.mee.gov.cn (accessed on 10 April 2025).
- National Development and Reform Commission (NDRC). Outline of the Plan for Ecological Protection and High-Quality Development of the Yellow River Basin; NDRC: Beijing, China, 2021.
- National Bureau of Statistics of China. China Statistical Yearbook 2023; China Statistics Press: Beijing, China, 2023. [Google Scholar]
- Kuang, C.; Liu, J.; Li, W. Empowerment Through Digital-Intelligent Integration and Green Transformation of Manufacturing Enterprises. Contemp. Financ. Econ. 2024, 17, 114–127. [Google Scholar]
- Liu, Y.; Wang, S. The Relationship Between the Coupling Coordination of the Pension Industry and Tourism Industry and Economic Growth in the Yangtze River Economic Belt. Econ. Geogr. 2022, 42, 123–131. [Google Scholar] [CrossRef]
- LeSage, J.P.; Pace, R.K. Introduction to Spatial Econometrics; CRC Press: Boca Raton, FL, USA, 2009. [Google Scholar]
- Zhao, T.; Zhang, Z.; Liang, S. Digital Economy, Entrepreneurial Activity, and High-Quality Development: Empirical Evidence from Chinese Cities. Manag. World 2020, 36, 65–76. [Google Scholar] [CrossRef]
- Xu, J. Industrial Intelligence Empowering the Development of Low-Carbon Economy: Theoretical Mechanisms and Empirical Testing. Stat. Decis. Mak. 2024, 15, 76–81. [Google Scholar]
- Shannon, C.E. A Mathematical Theory of Communication. Bell Syst. Techn. J. 1948, 27, 379–423. [Google Scholar] [CrossRef]
- Rubin, D.B. Multiple Imputation for Nonresponse in Surveys; John Wiley & Sons, Inc.: New York, NY, USA, 1987. [Google Scholar] [CrossRef]
- Kaya, Y.; Yokobori, K. Global Environment, Energy, and Economic Development. In Proceedings of the United Nations University, Tokyo, Japan, 25–27 October 1993; United Nations University Press: Tokyo, Japan, 1997. [Google Scholar]
- GB/T 2589-2020; General Rules for Comprehensive Energy Consumption Calculation. Standards Press of China, Standardization Administration of China: Beijing, China, 2020.
- Liu, Y.; Yang, Y.; Li, H.; Zhong, K. Digital Economy Development, Industrial Structure Upgrading and Green Total Factor Productivity: Empirical Evidence from China’s Cities. Int. J. Environ. Res. Public Health 2022, 19, 2414. [Google Scholar] [CrossRef]
- Zhang, S.; Anser, M.K.; Peng, M.Y.-P.; Chen, C. Visualizing the sustainable development goals and natural resource utilization for green economic recovery after COVID-19 pandemic. Resour. Policy 2023, 80, 103182. [Google Scholar] [CrossRef]
- Li, J.; Sun, Z.; Zhou, J.; Sow, Y.; Cui, X.; Chen, H.; Shen, Q. The Impact of the Digital Economy on Carbon Emissions from Cultivated Land Use. Land 2023, 12, 665. [Google Scholar] [CrossRef]
- Wang, Q.; Li, G.; Du, M.; Zhou, X.; Liang, J. The impact of new digital infrastructure on green total factor productivity. Front. Energy Res. 2024, 12, 1396872. [Google Scholar] [CrossRef]
- Lyu, Y.; Wu, Y.; Wang, W.; Zhang, J. The Impact of COVID-19 Pandemic on Carbon Emissions: Empirical Evidence from China. Bullet. Monet. Econ. Bank. 2024, 27, 6. [Google Scholar] [CrossRef]
- Hu, X.; Wang, S.; Cao, J.; Hao, P. The Impact of Digital Infrastructure on China’s Green Total Factor Productivity: A Quasi-Natural Experiment Based on the “Broadband China” Pilot Policy. J. Inf. Econ. 2024, 2, 32–56. [Google Scholar] [CrossRef]
- Yi, J. Digital Government and Carbon Emissions: Evidence from China. Front. Environ. Sci. 2025, 13, 1470724. [Google Scholar] [CrossRef]
- Yu, K.; Li, Z. Coupling Coordination and Spatial Network Characteristics of Carbon Emission Efficiency and Urban Green Innovation in the Yellow River Basin, China. Sci. Rep. 2024, 14, 27690. [Google Scholar] [CrossRef]
- Zheng, H.; Ge, L. Carbon Emissions Reduction Effects of Sustainable Development Policy in Resource-Based Cities from the Perspective of Resource Dependence: Theory and Chinese Experience. Resour. Policy 2022, 78, 102799. [Google Scholar] [CrossRef]
- Liu, X.; Li, W.; Chang, R.; Shen, J.; Cui, J.; Jia, X. Examining the Influence of Location-Oriented Policies on Green Transition Development of Resource-Based Cities: Evidence from China. Environ. Sci. Pollut. Res. 2024, 31, 23505–23521. [Google Scholar] [CrossRef] [PubMed]
- Zhang, X.; Xie, L.; Xiao, J. Government Procurement, Digital Economy Development, and Industrial Structure Upgrading. Contemp. Financ. 2024, 19, 43–55. [Google Scholar] [CrossRef]
- Zhan, X.; Liu, W. Chinese-Style Fiscal Decentralization and Local Economic Growth Target Management: Empirical Evidence from Provincial and Municipal Government Work Reports. Manag. World 2020, 36, 23–39+77. [Google Scholar] [CrossRef]
- European Commission, Joint Research Centre; Radovanovic, N.; Stevanovic Carapina, H. Green Transition and Smart Specialisation in the Western Balkans; JRC136482; Publications Office of the European Union: Luxembourg, 2024. [Google Scholar] [CrossRef]
- Vona, F. Skills and Human Capital for the Low-Carbon Transition in Developing and Emerging Economies; Working Paper No. 019. 2023; Fondazione Eni Enrico Mattei (FEEM): Milan, Italy, 2023. [Google Scholar]
- Alka, T.A.; Raman, R.; Suresh, M. Critical Success Factors for Successful Technology Innovation Development in Sustainable Energy Enterprises. Sci. Rep. 2025, 15, 14138. [Google Scholar] [CrossRef]
- Ţigănaşu, R.; Bănică, A.; Wong, P.-H. Catalyzing Digital and Environmental Transformations by Institutions in a Diverse Socio-Economic World. World Dev. 2025, 193, 107052. [Google Scholar] [CrossRef]
- Huang, Z.; Jiang, P. The Digital Low-Carbon Path: Industrial Robots and Urban Industrial Carbon Emissions. Econ. Res. J. 2023, 49, 34–48. [Google Scholar]
- Anselin, L. Local Indicators of Spatial Association—LISA. Geogr. Anal. 1995, 27, 93–115. [Google Scholar] [CrossRef]
- Wu, H.; Hao, Y.; Ren, S.; Yang, X.; Xie, G. Does Internet Development Improve Green Total Factor Energy Efficiency? Evidence from China. Energy Policy 2021, 153, 112247. [Google Scholar] [CrossRef]
- Shen, J.; Ridwan, L.I.; Raimi, L.; Al-Faryan, M.A.S. Recent Developments in Green Hydrogen–Environmental Sustainability Nexus amidst Energy Efficiency, Green Finance, Eco-Innovation, and Digitalization in Top Hydrogen-Consuming Economies. Energy Environ. 2025, 36, 255–290. [Google Scholar] [CrossRef]
- Lu, K.; Qiu, Y.; Zhang, J.; Li, C.; Xie, J. Digital Industry Agglomeration and Inclusive Green Growth: Synergies and Path Exploration. Front. Environ. Sci. 2025, 13, 1552159. [Google Scholar] [CrossRef]
- Zhang, J.; Li, H.; Wang, X.; Chen, L. Impact of Digital Economy Industrial Agglomeration on Carbon Emissions: Spatial Evidence from Chinese Cities. Sustainability 2025, 17, 3053. [Google Scholar] [CrossRef]
- Faeni, D.P.; Oktaviani, R.F.; Riyadh, H.A.; Faeni, R.P.; Beshr, B.A.H. Green Human Resource Management (GHRM) and Corporate Social Responsibility (CSR) in Reducing Carbon Emissions for Sustainable Practices. Environ. Qual. Manag. 2025, 34, e70048. [Google Scholar] [CrossRef]
- Al-Raeei, M. The Smart Future for Sustainable Development: Artificial Intelligence Solutions for Sustainable Urbanization. Sustain. Dev. 2025, 33, 508–517. [Google Scholar] [CrossRef]
- Peráček, T.; Kaššaj, M. Legal Easements as Enablers of Sustainable Land Use and Infrastructure Development in Smart Cities. Land 2025, 14, 681. [Google Scholar] [CrossRef]
- Mao, Y.; Dai, W.; Yang, Y.; Liang, Q.; Wei, Z. Assessing the Impact of the Digital Economy on Carbon Emission Reduction: A Test of the Mediation Effect Based on Industrial Agglomeration. Sustainability 2025, 17, 7472. [Google Scholar] [CrossRef]
- Xin, C.; Fan, S.; Mbanyele, W.; Shahbaz, M. Towards inclusive green growth: Does digital economy matter? Environ. Sci. Pollut. Res. 2023, 30, 70348–70370. [Google Scholar] [CrossRef]
- Musa, M.; Rahman, T.; Deb, N.; Rahman, P. Harnessing Artificial Intelligence for Sustainable Urban Development: Advancing the Three Zeros Method through Innovation and Infrastructure. Sci. Rep. 2025, 15, 23673. [Google Scholar] [CrossRef]






| Name of Urban Cluster | Cities | Count |
|---|---|---|
| Central Plains Urban Cluster | Zhengzhou, Kaifeng, Luoyang, Nanyang, Anyang, Shangqiu, Xinxiang, Pingdingshan, Xuchang, Jiaozuo, Xinyang, Hebi, Puyang, Luohe, Sanmenxia, Zhoukou, Zhumadian, Changzhi, Jincheng | 19 |
| Central Shanxi Urban Cluster | Taiyuan, Jinzhong, Xinzhou, Yangquan, Lvliang | 5 |
| Guanzhong Plain Urban Cluster | Xi’an, Baoji, Tongchuan, Weinan, Xianyang, Yan’an, Shangluo, Tianshui, Pingliang, Qingyang, Yuncheng, Linfen | 12 |
| Hohhot–Baotou–Ordos–Yulin Urban Cluster | Hohhot, Baotou, Ordos, Yulin | 4 |
| Goal Level | First-Level Dimension | Second-Level Dimension | Indicator | Indicator Weight |
|---|---|---|---|---|
| Digital-Intelligence Integration | Digitalization | Digital Infrastructure | Internet Penetration Rate (+) | 0.008 |
| Mobile Phone Penetration Rate (+) | 0.008 | |||
| Total Volume of Postal and Telecommunications Services (+) | 0.062 | |||
| Digital Inclusive Finance Index (+) | 0.013 | |||
| Digital Application Diffusion | Number of International Internet Users (+) | 0.046 | ||
| Software Industry Employment Share (+) | 0.010 | |||
| Digital Innovation Capacity | Number of Granted Invention Patents (+) | 0.090 | ||
| Number of Patents in Strategic Emerging Industries (+) | 0.101 | |||
| Number of Employees in Strategic Emerging Industries (+) | 0.128 | |||
| Intelligentization | Intelligent Resource Input | Number of Employees in Scientific and Technical Services (+) | 0.087 | |
| Share of S&T Expenditure in Local Government Budget (+) | 0.258 | |||
| Intelligent Innovation Output | Number of Artificial Intelligence Enterprises (+) | 0.141 | ||
| AI Patent Applications (+) | 0.024 | |||
| Industrial Robot Installation Density (+) | 0.023 |
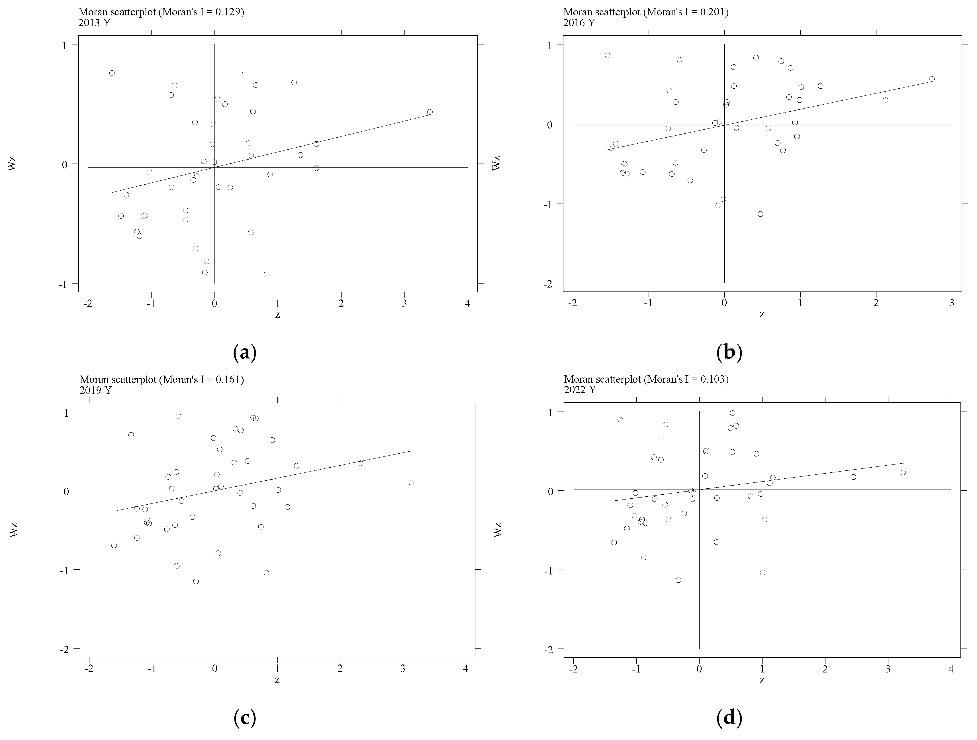
| Year | Moran’ I | z | p-Value * |
|---|---|---|---|
| 2013 | 0.124 | 1.512 | 0.065 |
| 2014 | 0.123 | 1.459 | 0.072 |
| 2015 | 0.133 | 1.577 | 0.057 |
| 2016 | 0.197 | 2.172 | 0.015 |
| 2017 | 0.182 | 2.038 | 0.021 |
| 2018 | 0.142 | 1.655 | 0.049 |
| 2019 | 0.161 | 1.858 | 0.032 |
| 2020 | 0.149 | 1.757 | 0.039 |
| 2021 | 0.122 | 1.475 | 0.070 |
| 2022 | 0.121 | 1.463 | 0.072 |
| Variable | VIF | 1/VIF |
|---|---|---|
| Labor | 2.56 | 0.3902 |
| UR | 2.51 | 0.3978 |
| UED | 2.01 | 0.4974 |
| IS | 1.71 | 0.5836 |
| Mean VIF | 2.2 |
| Test | Statistic | p Value |
|---|---|---|
| LM-error | 55.734 | 0.000 |
| Robust LM-error | 17.645 | 0.000 |
| LM-lag | 39.309 | 0.000 |
| Robost LM-lag | 1.220 | 0.269 |
| Statistic | p Value | |
|---|---|---|
| Hausman test | 22.68 | 0.007 |
| LR Test—Spatial Fixed Effects | 24.96 | 0.015 |
| LR Test—Time Fixed Effects | 1137.87 | 0.000 |
| Wald-sem | 28.08 | 0.000 |
| Wald-sar | 12.29 | 0.001 |
| LR-sem | 27.12 | 0.000 |
| LR-sar | 39.25 | 0.000 |
| Model Specification | AIC | Jarque–Bera (Normality Test, p-Value) | Breusch–Pagan (Heteroskedasticity, p-Value) | RESET Test (p-Value) | F Statistic (p-Value) |
|---|---|---|---|---|---|
| Model (1): Baseline (no spatial terms) | 1523.41 | 0.184 | 0.312 | 0.267 | 1.21 (0.281) |
| Model (2): Full SDM (spatial effects included) | 1406.75 | 0.412 | 0.216 | 0.512 | 4.73 (0.000) * |
| Model (3): Robustness check (with alternative controls) | 1501.93 | 0.231 | 0.287 | 0.351 | 1.56 (0.207) |
| (1) | (2) | (3) | |
|---|---|---|---|
| Y | Y | Y | |
| IS | 3.0999 *** | 1.5834 ** | 3.2260 *** |
| (3.24) | (2.56) | (3.41) | |
| Labor | −8.8911 *** | 13.1905 *** | −8.6194 *** |
| (−3.40) | (4.99) | (−3.33) | |
| UR | 2.8320 *** | −1.3901 ** | 2.1960 *** |
| (5.21) | (−1.99) | (3.95) | |
| UED | 0.0003 *** | 0.0003 *** | 0.0003 *** |
| (15.42) | (7.77) | (15.49) | |
| WxIS | 4.7906 *** | −9.6049 *** | 5.4283 *** |
| (3.24) | (−6.55) | (3.30) | |
| WxLabor | 5.8381 | 2.1601 | 3.1229 |
| (0.94) | (0.34) | (0.50) | |
| WxUR | 2.2688 *** | −2.3780 | −2.6791 * |
| (2.67) | (−1.63) | (−1.68) | |
| WxUED | −0.0003 *** | −0.0003 *** | −0.0002 *** |
| (−7.25) | (−4.70) | (−5.18) | |
| ρ | 0.4458 *** | 0.0807 | 0.3142 *** |
| (8.16) | (1.09) | (4.79) | |
| Year | YES | YES | YES |
| City | YES | YES | YES |
| N | 400 | 400 | 400 |
| R2 | 0.000 | 0.404 | 0.032 |
| Direct Effect | Indirect Effect | Total Effect | |
|---|---|---|---|
| IS | 3.7921 *** | 9.0227 *** | 12.8147 *** |
| (3.912) | (4.034) | (5.186) | |
| Labor | −8.6699 *** | 0.8742 | −7.7957 |
| (−3.284) | (0.101) | (−0.787) | |
| UR | 2.0882 *** | −2.7733 | −0.6851 |
| (3.673) | (−1.184) | (−0.263) | |
| UED | 0.0003 *** | −0.0002 *** | 0.0001 |
| (15.643) | (−3.448) | (1.545) | |
| Year | YES | YES | YES |
| City | YES | YES | YES |
| Direct Effect | Indirect Effect | Total Effect | |
|---|---|---|---|
| IS | 4.3569 *** | 12.7593 *** | 17.1163 *** |
| (4.511) | (3.019) | (3.931) | |
| Labor | −8.9815 *** | −21.0402 | −30.0217 ** |
| (−3.404) | (−1.520) | (−2.019) | |
| UR | 2.3684 *** | −3.4137 | −1.0452 |
| (4.192) | (−1.214) | (−0.342) | |
| UED | 0.0003 *** | −0.0002 *** | 0.0001 |
| (16.794) | (−2.800) | (0.687) |
| Direct Effect | Indirect Effect | Total Effect | |
|---|---|---|---|
| IS | 3.0123 *** | 3.6922 ** | 6.7045 *** |
| (3.341) | (2.402) | (4.251) | |
| Labor | −6.1508 *** | 7.8287 | 1.6779 |
| (−2.638) | (1.201) | (0.227) | |
| UR | 2.6463 *** | −1.8611 | 0.7853 |
| (5.399) | (−1.255) | (0.494) | |
| UED | 0.0003 *** | −0.0002 *** | 0.0001 * |
| (17.371) | (−5.559) | (1.693) | |
| EDL | 0.3302 *** | 1.0707 *** | 1.4009 *** |
| (2.901) | (5.471) | (8.460) |
Disclaimer/Publisher’s Note: The statements, opinions and data contained in all publications are solely those of the individual author(s) and contributor(s) and not of MDPI and/or the editor(s). MDPI and/or the editor(s) disclaim responsibility for any injury to people or property resulting from any ideas, methods, instructions or products referred to in the content. |
© 2025 by the authors. Licensee MDPI, Basel, Switzerland. This article is an open access article distributed under the terms and conditions of the Creative Commons Attribution (CC BY) license (https://creativecommons.org/licenses/by/4.0/).
Share and Cite
Ru, J.; Li, J.; Gan, L.; Sun, J.; Wang, S. Urbanization, Digital–Intelligent Integration, and Carbon Productivity: Spatiotemporal Dynamics in the Middle Reaches Urban Agglomeration of the Yellow River. Land 2025, 14, 2087. https://doi.org/10.3390/land14102087
Ru J, Li J, Gan L, Sun J, Wang S. Urbanization, Digital–Intelligent Integration, and Carbon Productivity: Spatiotemporal Dynamics in the Middle Reaches Urban Agglomeration of the Yellow River. Land. 2025; 14(10):2087. https://doi.org/10.3390/land14102087
Chicago/Turabian StyleRu, Jiayu, Jiahui Li, Lu Gan, Jingbing Sun, and Sai Wang. 2025. "Urbanization, Digital–Intelligent Integration, and Carbon Productivity: Spatiotemporal Dynamics in the Middle Reaches Urban Agglomeration of the Yellow River" Land 14, no. 10: 2087. https://doi.org/10.3390/land14102087
APA StyleRu, J., Li, J., Gan, L., Sun, J., & Wang, S. (2025). Urbanization, Digital–Intelligent Integration, and Carbon Productivity: Spatiotemporal Dynamics in the Middle Reaches Urban Agglomeration of the Yellow River. Land, 14(10), 2087. https://doi.org/10.3390/land14102087

