Impacts of Climate Change on Vegetation in Kenya: Future Projections and Implications for Protected Areas
Abstract
:1. Introduction
2. Materials and Methods
2.1. Study Area
2.2. Data Sets and Pre-Processing
2.3. Statistical Analysis
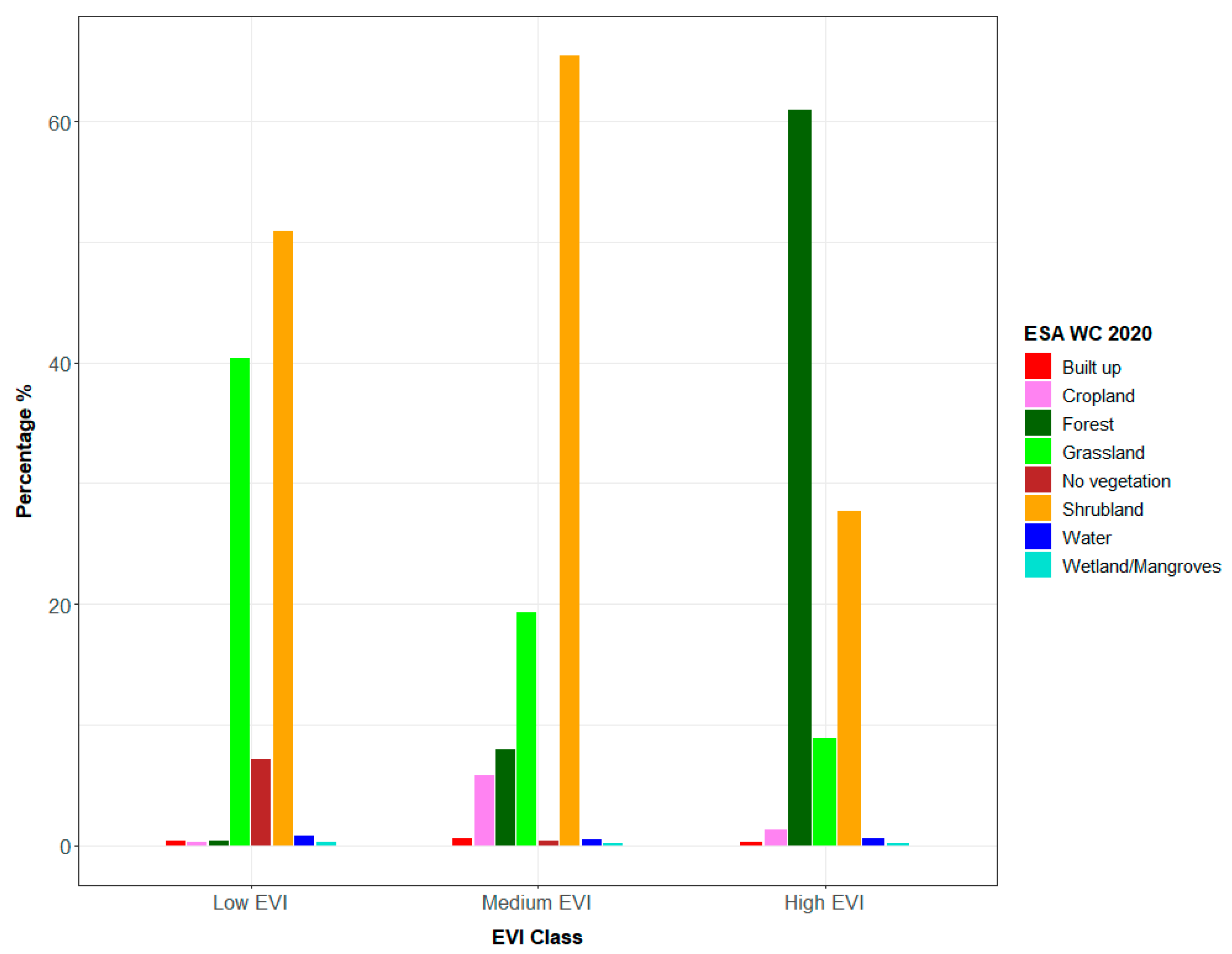
3. Results
4. Discussion
5. Conclusions
Author Contributions
Funding
Data Availability Statement
Conflicts of Interest
References
- Gang, C.; Zhou, W.; Li, J.; Chen, Y.; Mu, S.; Ren, J.; Chen, J.; Groisman, P.Y. Assessing the Spatiotemporal Variation in Distribution, Extent and NPP of Terrestrial Ecosystems in Response to Climate Change from 1911 to 2000. PLoS ONE 2013, 8, e80394. [Google Scholar] [CrossRef] [PubMed]
- Higgins, S.I.; Buitenwerf, R.; Moncrieff, G.R. Defining Functional Biomes and Monitoring Their Change Globally. Glob. Chang. Biol. 2016, 22, 3583–3593. [Google Scholar] [CrossRef]
- Bryan, E.; Ringler, C.; Okoba, B.; Roncoli, C.; Silvestri, S.; Herrero, M. Adapting Agriculture to Climate Change in Kenya: Household Strategies and Determinants. J. Environ. Manag. 2013, 114, 26–35. [Google Scholar] [CrossRef]
- Niang, I.; Ruppel, O.C.; Abdrabo, M.A.; Essel, A.; Lennard, C.; Padgham, J.; Urquhart, P. Climate Change 2014—Impacts, Adaptation and Vulnerability: Part B: Regional Aspects. In Working Group II Contribution to the IPCC Fifth Assessment Report; Cambridge University Press: Cambridge, UK, 2014; pp. 1199–1266. [Google Scholar] [CrossRef]
- Trisos, C.H.; Adelekan, I.O.; Totin, E.; Ayanlade, A.; Efitre, J.; Gemeda, A.; Kalaba, K.; Lennard, C.; Masao, C.; Mgaya, Y.; et al. Africa. In Climate Change 2022—Impacts, Adaptation and Vulnerability; Cambridge University Press: Cambridge, UK, 2022; pp. 1285–1456. [Google Scholar]
- Boko, M.; Niang, I.; Nyong, A.; Vogel, C.; Githeko, A.; Medany, M.; Osman-Elasha, B.; Tabo, R.; Yanda, P. Africa. In Climate Change 2007: Impacts, Adaptation; Parry, M.L., Canziani, O.F., Palutikof, J.P., van Der Linden, P.J., Hanson, C.E., Eds.; Cambridge University Press: Cambridge, UK, 2007; Volume 20, pp. 433–467. [Google Scholar]
- Ayugi, B.; Tan, G.; Rouyun, N.; Zeyao, D.; Ojara, M.; Mumo, L.; Babaousmail, H.; Ongoma, V. Evaluation of Meteorological Drought and Flood Scenarios over Kenya, East Africa. Atmosphere 2020, 11, 307. [Google Scholar] [CrossRef]
- Engelbrecht, C.J.; Engelbrecht, F.A. Shifts in Köppen-Geiger Climate Zones over Southern Africa in Relation to Key Global Temperature Goals. Theor. Appl. Climatol. 2016, 123, 247–261. [Google Scholar] [CrossRef]
- Hansen, A.J.; Neilson, R.P.; Dale, V.H.; Flather, C.H.; Iverson, L.R.; Currie, D.J.; Shafer, S.; Cook, R.; Bartlein, P.J. Interactions between Climate Change and Land Use Are Projected to Cause Large Shifts in Biodiversity. Bioscience 2001, 51, 765–779. [Google Scholar] [CrossRef]
- Gonzalez, P.; Tucker, C.J.; Sy, H. Tree Density and Species Decline in the African Sahel Attributable to Climate. J. Arid. Environ. 2012, 78, 55–64. [Google Scholar] [CrossRef]
- Axelsson, C.R.; Hanan, N.P. Rates of Woody Encroachment in African Savannas Reflect Water Constraints and Fire Disturbance. J. Biogeogr. 2018, 45, 1209–1218. [Google Scholar] [CrossRef]
- Stevens, N.; Lehmann, C.E.R.; Murphy, B.P.; Durigan, G. Savanna Woody Encroachment Is Widespread across Three Continents. Glob. Chang. Biol. 2017, 23, 235–244. [Google Scholar] [CrossRef] [PubMed]
- Martens, C.; Hickler, T.; Davis-Reddy, C.; Engelbrecht, F.; Higgins, S.I.; von Maltitz, G.P.; Midgley, G.F.; Pfeiffer, M.; Scheiter, S. Large Uncertainties in Future Biome Changes in Africa Call for Flexible Climate Adaptation Strategies. Glob. Chang. Biol. 2021, 27, 340–358. [Google Scholar] [CrossRef] [PubMed]
- Kimiti, D.W.; Ganguli, A.C.; Herrick, J.E.; Bailey, D.W. Evaluation of Restoration Success to Inform Future Restoration Efforts in Acacia Reficiens Invaded Rangelands in Northern Kenya. Ecol. Restor. 2020, 38, 105–113. [Google Scholar] [CrossRef]
- Buitenwerf, R.; Bond, W.J.; Stevens, N.; Trollope, W.S.W. Increased Tree Densities in South African Savannas: >50 Years of Data Suggests CO2 as a Driver. Glob. Chang. Biol. 2012, 18, 675–684. [Google Scholar] [CrossRef]
- Ratnam, J.; Bond, W.J.; Fensham, R.J.; Hoffmann, W.A.; Archibald, S.; Lehmann, C.E.R.; Anderson, M.T.; Higgins, S.I.; Sankaran, M. When Is a “Forest” a Savanna, and Why Does It Matter? Glob. Ecol. Biogeogr. 2011, 20, 653–660. [Google Scholar] [CrossRef]
- Moncrieff, G.R.; Scheiter, S.; Bond, W.J.; Higgins, S.I. Increasing Atmospheric CO2 Overrides the Historical Legacy of Multiple Stable Biome States in Africa. New Phytol. 2014, 201, 908–915. [Google Scholar] [CrossRef] [PubMed]
- Kgope, B.S.; Bond, W.J.; Midgley, G.F. Growth Responses of African Savanna Trees Implicate Atmospheric [CO2] as a Driver of Past and Current Changes in Savanna Tree Cover. Austral Ecol. 2010, 35, 451–463. [Google Scholar] [CrossRef]
- William, J.; Bond, W.J. Large Parts of the World Are Brown or Black: A Different View on the ‘Green World’ Hypothesis. J. Veg. Sci. 2005, 16, 261–266. [Google Scholar]
- Pausas, J.G.; Bond, W.J. Alternative Biome States in Terrestrial Ecosystems. Trends Plant Sci. 2020, 25, 250–263. [Google Scholar] [CrossRef] [PubMed]
- Staver, A.C.; Archibald, S.; Levin, S.A. The Global Extent and Determinants of Savanna and Forest as Alternative Biome States. Science 2011, 334, 230–232. [Google Scholar] [CrossRef]
- Scheiter, S.; Savadogo, P. Ecosystem Management Can Mitigate Vegetation Shifts Induced by Climate Change in West Africa. Ecol. Modell. 2016, 332, 19–27. [Google Scholar] [CrossRef]
- Higgins, S.I.; Scheiter, S. Atmospheric CO2 Forces Abrupt Vegetation Shifts Locally, but Not Globally. Nature 2012, 488, 209–212. [Google Scholar] [CrossRef]
- Venter, Z.S.; Cramer, M.D.; Hawkins, H.J. Drivers of Woody Plant Encroachment over Africa. Nat. Commun. 2018, 9, 2272. [Google Scholar] [CrossRef]
- Martens, C.; Scheiter, S.; Midgley, G.F.; Hickler, T. Combined Impacts of Future Climate-Driven Vegetation Changes and Socioeconomic Pressures on Protected Areas in Africa. Conserv. Biol. 2022, 36, e13968. [Google Scholar] [CrossRef] [PubMed]
- Laurance, W.F.; Carolina Useche, D.; Rendeiro, J.; Kalka, M.; Bradshaw, C.J.A.; Sloan, S.P.; Laurance, S.G.; Campbell, M.; Abernethy, K.; Alvarez, P.; et al. Averting Biodiversity Collapse in Tropical Forest Protected Areas. Nature 2012, 489, 290–293. [Google Scholar] [CrossRef] [PubMed]
- Veldhuis, M.P.; Ritchie, M.E.; Ogutu, J.O.; Morrison, T.A.; Beale, C.M.; Estes, A.B.; Mwakilema, W.; Ojwang, G.O.; Parr, C.L.; Probert, J.; et al. Cross-Boundary Human Impacts Compromise the Serengeti-Mara Ecosystem. Science 2019, 363, 1424–1428. [Google Scholar] [CrossRef] [PubMed]
- Pellikka, P.K.E.; Heikinheimo, V.; Hietanen, J.; Schäfer, E.; Siljander, M.; Heiskanen, J. Impact of Land Cover Change on Aboveground Carbon Stocks in Afromontane Landscape in Kenya. Appl. Geogr. 2018, 94, 178–189. [Google Scholar] [CrossRef]
- Abera, T.A.; Heiskanen, J.; Maeda, E.E.; Hailu, B.T.; Pellikka, P.K.E. Improved Detection of Abrupt Change in Vegetation Reveals Dominant Fractional Woody Cover Decline in Eastern Africa. Remote Sens. Environ. 2022, 271, 112897. [Google Scholar] [CrossRef]
- Gibbs, H.K.; Brown, S.; Niles, J.O.; Foley, J.A. Monitoring and Estimating Tropical Forest Carbon Stocks: Making REDD a Reality. Environ. Res. Lett. 2007, 2, 045023. [Google Scholar] [CrossRef]
- Barrett, A.B.; Duivenvoorden, S.; Salakpi, E.E.; Muthoka, J.M.; Mwangi, J.; Oliver, S.; Rowhani, P. Forecasting Vegetation Condition for Drought Early Warning Systems in Pastoral Communities in Kenya. Remote Sens. Environ. 2020, 248, 111886. [Google Scholar] [CrossRef]
- Shisanya, C.A.; Recha, C.; Anyamba, A. Rainfall Variability and Its Impact on Normalized Difference Vegetation Index in Arid and Semi-Arid Lands of Kenya. Int. J. Geosci. 2011, 2, 36–47. [Google Scholar] [CrossRef]
- Nguyen, T.T.; Grote, U.; Neubacher, F.; Rahut, D.B.; Do, M.H.; Paudel, G.P. Security Risks from Climate Change and Environmental Degradation: Implications for Sustainable Land Use Transformation in the Global South. Curr. Opin. Environ. Sustain. 2023, 63, 101322. [Google Scholar] [CrossRef]
- Yvonne, M.; Ouma, G.; Olago, D.; Opondo, M. Trends in Climate Variables (Temperature and Rainfall) and Local Perceptions of Climate Change in Lamu, Kenya. Geogr. Environ. Sustain. 2020, 13, 102–109. [Google Scholar] [CrossRef]
- Palmer, P.I.; Wainwright, C.M.; Dong, B.; Maidment, R.I.; Wheeler, K.G.; Gedney, N.; Hickman, J.E.; Madani, N.; Folwell, S.S.; Abdo, G.; et al. Drivers and Impacts of Eastern African Rainfall Variability. Nat. Rev. Earth Environ. 2023, 4, 254–270. [Google Scholar] [CrossRef]
- Nzabarinda, V.; Bao, A.; Xu, W.; Uwamahoro, S.; Udahogora, M.; Umwali, E.D.; Nyirarwasa, A.; Umuhoza, J. A Spatial and Temporal Assessment of Vegetation Greening and Precipitation Changes for Monitoring Vegetation Dynamics in Climate Zones over Africa. ISPRS Int. J. Geo-Inf. 2021, 10, 129. [Google Scholar] [CrossRef]
- Kalisa, W.; Igbawua, T.; Henchiri, M.; Ali, S.; Zhang, S.; Bai, Y.; Zhang, J. Assessment of Climate Impact on Vegetation Dynamics over East Africa from 1982 to 2015. Sci. Rep. 2019, 9, 16865. [Google Scholar] [CrossRef] [PubMed]
- Sankaran, M.; Hanan, N.P.; Scholes, R.J.; Ratnam, J.; Augustine, D.J.; Cade, B.S.; Gignoux, J.; Higgins, S.I.; Le Roux, X.; Ludwig, F.; et al. Determinants of Woody Cover in African Savannas. Nature 2005, 438, 846–849. [Google Scholar] [CrossRef] [PubMed]
- Brink, A.B.; Bodart, C.; Buchanan, G.; Clerici, M.; Donnay, F.; Eshiamwata, G.; Gregoire, J.M.; Kirui, B.K.; Lupi, A.; Palumbo, I.; et al. Kenya: A Natural Outlook: Chapter 12. Vegetation; Elsevier Inc.: Amsterdam, The Netherlands, 2013; Volume 16. [Google Scholar]
- Kogo, B.K.; Kumar, L.; Koech, R. Climate Change and Variability in Kenya: A Review of Impacts on Agriculture and Food Security. Environ. Dev. Sustain. 2021, 23, 23–43. [Google Scholar] [CrossRef]
- Nyariki, D.M.; Amwata, D.A. The Value of Pastoralism in Kenya: Application of Total Economic Value Approach. Pastoralism 2019, 9, 9. [Google Scholar] [CrossRef]
- Smith, A.M.S.; Kolden, C.A.; Tinkham, W.T.; Talhelm, A.F.; Marshall, J.D.; Hudak, A.T.; Boschetti, L.; Falkowski, M.J.; Greenberg, J.A.; Anderson, J.W.; et al. Remote Sensing the Vulnerability of Vegetation in Natural Terrestrial Ecosystems. Remote Sens. Environ. 2014, 154, 322–337. [Google Scholar] [CrossRef]
- Houborg, R.; Fisher, J.B.; Skidmore, A.K. Advances in Remote Sensing of Vegetation Function and Traits. Int. J. Appl. Earth Obs. Geoinf. 2015, 43, 1–6. [Google Scholar] [CrossRef]
- Pettorelli, N.; Laurance, W.F.; O’Brien, T.G.; Wegmann, M.; Nagendra, H.; Turner, W. Satellite Remote Sensing for Applied Ecologists: Opportunities and Challenges. J. Appl. Ecol. 2014, 51, 839–848. [Google Scholar] [CrossRef]
- Zeng, Y.; Hao, D.; Huete, A.; Dechant, B.; Berry, J.; Chen, J.M.; Joiner, J.; Frankenberg, C.; Bond-Lamberty, B.; Ryu, Y.; et al. Optical Vegetation Indices for Monitoring Terrestrial Ecosystems Globally. Nat. Rev. Earth Environ. 2022, 3, 477–493. [Google Scholar] [CrossRef]
- Huete, A.; Didan, K.; Miura, T.; Rodriguez, E.P.; Gao, X.; Ferreira, L.G. Overview of the Radiometric and Biophysical Performance of the MODIS Vegetation Indices. Remote Sens. Environ. 2002, 83, 195–213. [Google Scholar] [CrossRef]
- Sepúlveda, M.; Bown, H.E.; Miranda, M.D.; Fernández, B. Impact of Rainfall Frequency and Intensity on Inter- and Intra-Annual Satellite-Derived EVI Vegetation Productivity of an Acacia Caven Shrubland Community in Central Chile. Plant Ecol. 2018, 219, 1209–1223. [Google Scholar] [CrossRef]
- Rahman, A.F.; Sims, D.A.; Cordova, V.D.; El-Masri, B.Z. Potential of MODIS EVI and Surface Temperature for Directly Estimating Per-Pixel Ecosystem C Fluxes. Geophys. Res. Lett. 2005, 32, 1–4. [Google Scholar] [CrossRef]
- Kirui, O.K.; Mirzabaev, A.; von Braun, J. Assessment of Land Degradation ‘on the Ground’ and from ‘Above’. SN Appl. Sci. 2021, 3, 318. [Google Scholar] [CrossRef]
- Ayugi, B.O.; Wang, W.; Chepkemoi, D. Analysis of Spatial and Temporal Patterns of Rainfall Variations over Kenya. Environ. Earth Sci. 2016, 6, 69–83. [Google Scholar]
- Abera, T.A.; Heiskanen, J.; Pellikka, P.K.E.; Maeda, E.E. Impact of Rainfall Extremes on Energy Exchange and Surface Temperature Anomalies across Biomes in the Horn of Africa. Agric. For. Meteorol. 2020, 280, 107779. [Google Scholar] [CrossRef]
- Abera, T.A.; Heiskanen, J.; Pellikka, P.K.E.; Adhikari, H.; Maeda, E.E. Climatic Impacts of Bushland to Cropland Conversion in Eastern Africa. Sci. Total Environ. 2020, 717, 137255. [Google Scholar] [CrossRef]
- Dinerstein, E.; Olson, D.; Joshi, A.; Vynne, C.; Burgess, N.D.; Wikramanayake, E.; Hahn, N.; Palminteri, S.; Hedao, P.; Noss, R.; et al. An Ecoregion-Based Approach to Protecting Half the Terrestrial Realm. Bioscience 2017, 67, 534–545. [Google Scholar] [CrossRef]
- Venter, Z.S.; Scott, S.L.; Desmet, P.G.; Hoffman, M.T. Application of Landsat-Derived Vegetation Trends over South Africa: Potential for Monitoring Land Degradation and Restoration. Ecol. Indic. 2020, 113, 106206. [Google Scholar] [CrossRef]
- Matsushita, B.; Yang, W.; Chen, J.; Onda, Y.; Qiu, G. Sensitivity of the Enhanced Vegetation Index (EVI) and Normalized Difference Vegetation Index (NDVI) to Topographic Effects: A Case Study in High-Density Cypress Forest. Sensors 2007, 7, 2636–2651. [Google Scholar] [CrossRef]
- Didan, K. MODIS/Terra Vegetation Indices 16-Day L3 Global 1 km SIN Grid V061. 2021, Distributed by NASA EOSDIS Land Processes DAAC. Available online: https://lpdaac.usgs.gov/products/mod13a2v061/ (accessed on 1 April 2022). [CrossRef]
- Qu, C.; Hao, X.; Qu, J.J. Monitoring Extreme Agricultural Drought over the Horn of Africa (HOA) Using Remote Sensing Measurements. Remote Sens. 2019, 11, 902. [Google Scholar] [CrossRef]
- Hill, M.J.; Guerschman, J.P. The MODIS Global Vegetation Fractional Cover Product 2001–2018: Characteristics of Vegetation Fractional Cover in Grasslands and Savanna Woodlands. Remote Sens. 2020, 12, 406. [Google Scholar] [CrossRef]
- Reed, D.N.; Anderson, T.M.; Dempewolf, J.; Metzger, K.; Serneels, S. The Spatial Distribution of Vegetation Types in the Serengeti Ecosystem: The Influence of Rainfall and Topographic Relief on Vegetation Patch Characteristics. J. Biogeogr. 2009, 36, 770–782. [Google Scholar] [CrossRef]
- Bernardi, R.E.; Staal, A.; Xu, C.; Scheffer, M.; Holmgren, M. Livestock Herbivory Shapes Fire Regimes and Vegetation Structure Across the Global Tropics. Ecosystems 2019, 22, 1457–1465. [Google Scholar] [CrossRef]
- Prince, S.D.; Goward, S.N. Global Primary Production: A Remote Sensing Approach. J. Biogeogr. 1995, 22, 815–835. [Google Scholar] [CrossRef]
- Seddon, A.W.R.; Macias-Fauria, M.; Long, P.R.; Benz, D.; Willis, K.J. Sensitivity of Global Terrestrial Ecosystems to Climate Variability. Nature 2016, 531, 229–232. [Google Scholar] [CrossRef] [PubMed]
- Esper, J.; Schneider, L.; Smerdon, J.E.; Schöne, B.R.; Büntgen, U. Signals and Memory in Tree-Ring Width and Density Data. Dendrochronologia 2015, 35, 62–70. [Google Scholar] [CrossRef]
- Allen, C.D.; Macalady, A.K.; Chenchouni, H.; Bachelet, D.; McDowell, N.; Vennetier, M.; Kitzberger, T.; Rigling, A.; Breshears, D.D.; Hogg, E.H.; et al. A Global Overview of Drought and Heat-Induced Tree Mortality Reveals Emerging Climate Change Risks for Forests. For. Ecol. Manag. 2010, 259, 660–684. [Google Scholar] [CrossRef]
- Kusch, E.; Davy, R.; Seddon, A.W.R. Vegetation-Memory Effects and Their Association with Vegetation Resilience in Global Drylands. J. Ecol. 2022, 110, 1561–1574. [Google Scholar] [CrossRef]
- De Keersmaecker, W.; Lhermitte, S.; Tits, L.; Honnay, O.; Somers, B.; Coppin, P. A Model Quantifying Global Vegetation Resistance and Resilience to Short-Term Climate Anomalies and Their Relationship with Vegetation Cover. Glob. Ecol. Biogeogr. 2015, 24, 539–548. [Google Scholar] [CrossRef]
- Amatulli, G.; Domisch, S.; Tuanmu, M.N.; Parmentier, B.; Ranipeta, A.; Malczyk, J.; Jetz, W. Data Descriptor: A Suite of Global, Cross-Scale Topographic Variables for Environmental and Biodiversity Modeling. Sci. Data 2018, 5, 180040. [Google Scholar] [CrossRef] [PubMed]
- Danielson, J.J.; Gesch, D.B. Global Multi-Resolution Terrain Elevation Data 2010 (GMTED 2010). U.S. Geol. Surv. Open-File Rep. 2011, 2011, 26. [Google Scholar]
- Riley, S.J.; DeGloria, S.D.; Elliot, R. A Terrain Ruggedness Index That Quantifies Topographic Heterogeneity. Intermt. J. Sci. 1999, 5, 23–27. [Google Scholar]
- Gilbert, M.; Nicolas, G.; Cinardi, G.; Van Boeckel, T.P.; Vanwambeke, S.O.; Wint, G.R.W.; Robinson, T.P. Global Distribution Data for Cattle, Buffaloes, Horses, Sheep, Goats, Pigs, Chickens and Ducks in 2010. Sci. Data 2018, 5, 180227. [Google Scholar] [CrossRef]
- Kusch, E.; Davy, R. KrigR-a Tool for Downloading and Statistically Downscaling Climate Reanalysis Data. Environ. Res. Lett. 2022, 17, 024005. [Google Scholar] [CrossRef]
- Muñoz-Sabater, J.; Dutra, E.; Agustí-Panareda, A.; Albergel, C.; Arduini, G.; Balsamo, G.; Boussetta, S.; Choulga, M.; Harrigan, S.; Hersbach, H.; et al. ERA5-Land: A State-of-the-Art Global Reanalysis Dataset for Land Applications. Earth Syst. Sci. Data 2021, 13, 4349–4383. [Google Scholar] [CrossRef]
- Hersbach, H.; Bell, B.; Berrisford, P.; Hirahara, S.; Horányi, A.; Muñoz-Sabater, J.; Nicolas, J.; Peubey, C.; Radu, R.; Schepers, D.; et al. The ERA5 Global Reanalysis. Q. J. R. Meteorol. Soc. 2020, 146, 1999–2049. [Google Scholar] [CrossRef]
- Tang, W.; Qin, J.; Yang, K.; Zhu, F.; Zhou, X. Does ERA5 Outperform Satellite Products in Estimating Atmospheric Downward Longwave Radiation at the Surface? Atmos. Res. 2021, 252, 105453. [Google Scholar] [CrossRef]
- Davy, R.; Kusch, E. Reconciling High Resolution Climate Datasets Using KrigR. Environ. Res. Lett. 2021, 16, 124040. [Google Scholar] [CrossRef]
- Dai, Y.; Shangguan, W.; Duan, Q.; Liu, B.; Fu, S.; Niu, G. Development of a China Dataset of Soil Hydraulic Parameters Using Pedotransfer Functions for Land Surface Modeling. J. Hydrometeorol. 2013, 14, 869–887. [Google Scholar] [CrossRef]
- O’Neill, B.C.; Tebaldi, C.; Van Vuuren, D.P.; Eyring, V.; Friedlingstein, P.; Hurtt, G.; Knutti, R.; Kriegler, E.; Lamarque, J.F.; Lowe, J.; et al. The Scenario Model Intercomparison Project (ScenarioMIP) for CMIP6. Geosci. Model Dev. 2016, 9, 3461–3482. [Google Scholar] [CrossRef]
- UNEP-WCMC Protected Area Profile for Kenya from the World Database on Protected Areas. May 2022. Available online: https://www.protectedplanet.net/en (accessed on 5 May 2022).
- Zanaga, D.; Van De Kerchove, R.; De Keersmaecker, W.; Souverijns, N.; Brockmann, C.; Quast, R.; Wevers, J.; Grosu, A.; Paccini, A.; Vergnaud, S.; et al. ESA WorldCover 10 m 2020 v100 (Versione v100). Zenodo 2021. Available online: https://zenodo.org/records/5571936 (accessed on 3 August 2023). [CrossRef]
- Lyon, B. Seasonal Drought in the Greater Horn of Africa and Its Recent Increase during the March-May Long Rains. J. Clim. 2014, 27, 7953–7975. [Google Scholar] [CrossRef]
- Anadón, J.D.; Sala, O.E.; Maestre, F.T. Climate Change Will Increase Savannas at the Expense of Forests and Treeless Vegetation in Tropical and Subtropical Americas. J. Ecol. 2014, 102, 1363–1373. [Google Scholar] [CrossRef]
- Haile, G.G.; Tang, Q.; Hosseini-Moghari, S.M.; Liu, X.; Gebremicael, T.G.; Leng, G.; Kebede, A.; Xu, X.; Yun, X. Projected Impacts of Climate Change on Drought Patterns over East Africa. Earth’s Futur. 2020, 8, e2020EF001502. [Google Scholar] [CrossRef]
- Tan, G.; Ayugi, B.; Ngoma, H.; Ongoma, V. Projections of Future Meteorological Drought Events under Representative Concentration Pathways (RCPs) of CMIP5 over Kenya, East Africa. Atmos. Res. 2020, 246, 105112. [Google Scholar] [CrossRef]
- Coetzee, B.W.; Tincani, L.; Wodu, Z.; Mwasi, S.M. Overgrazing and Bush Encroachment by Tarchonanthus Camphoratus in a Semi-arid Savanna. Afr. J. Ecol. 2008, 46, 449–451. [Google Scholar] [CrossRef]
- Kioko, J.; Kiringe, J.W.; Seno, S.O. Impacts of Livestock Grazing on a Savanna Grassland in Kenya. J. Arid Land 2012, 4, 29–35. [Google Scholar] [CrossRef]
- Arnhold, S.; Otieno, D.; Onyango, J.; Koellner, T.; Huwe, B.; Tenhunen, J. Soil Properties along a Gradient from Hillslopes to the Savanna Plains in the Lambwe Valley, Kenya. Soil Tillage Res. 2015, 154, 75–83. [Google Scholar] [CrossRef]
- Tongway, D.J..; Ludwig, J.A. Restoring Disturbed Landscapes: Putting Principles into Practice; Island Press: Washington, DC, USA, 2011. [Google Scholar]
- Jetz, W.; Fine, P.V.A. Global Gradients in Vertebrate Diversity Predicted by Historical Area-Productivity Dynamics and Contemporary Environment. PLoS Biol. 2012, 10, e1001292. [Google Scholar] [CrossRef]
- Sala, O.E.; van Vuuren, D.; Pereira, H.; Lodge, D.; Alder, J.; Cumming, G.S.; Dobson, A.; Wolters, V.; Xenopoulos, M. Ecosystems and Human Well-Being: Scenarios. In Biodiversity across Scenarios; Island press: Washington, DC, USA, 2005; pp. 375–408. [Google Scholar]
- Gámez-Virués, S.; Perović, D.J.; Gossner, M.M.; Börschig, C.; Blüthgen, N.; De Jong, H.; Simons, N.K.; Klein, A.M.; Krauss, J.; Maier, G.; et al. Landscape Simplification Filters Species Traits and Drives Biotic Homogenization. Nat. Commun. 2015, 6, 8568. [Google Scholar] [CrossRef] [PubMed]
- Lecoq, L.; Ernoult, A.; Mony, C. Past Landscape Structure Drives the Functional Assemblages of Plants and Birds. Sci. Rep. 2021, 11, 3443. [Google Scholar] [CrossRef]
- Kiboi, M.N.; Ngetich, F.K.; Mucheru-Muna, M.W.; Diels, J.; Mugendi, D.N. Soil Nutrients and Crop Yield Response to Conservation-Effective Management Practices in the Sub-Humid Highlands Agro-Ecologies of Kenya. Heliyon 2021, 7, e07156. [Google Scholar] [CrossRef] [PubMed]
- Bond, W.J.; Midgley, G.F. Carbon Dioxide and the Uneasy Interactions of Trees and Savannah Grasses. Philos. Trans. R. Soc. B Biol. Sci. 2012, 367, 601–612. [Google Scholar] [CrossRef]
- Gerland, P.; Raftery, A.E.; Ševčíková, H.; Li, N.; Gu, D.; Spoorenberg, T.; Alkema, L.; Fosdick, B.K.; Chunn, J.; Lalic, N.; et al. World Population Stabilization Unlikely This Century. Science 2014, 346, 234–237. [Google Scholar] [CrossRef] [PubMed]
- Hansen, M.C. High-Resolution Global Maps of 21st-Century Forest Cover Change. Science 2013, 850, 850–854. [Google Scholar] [CrossRef] [PubMed]
- Lambin, E.F.; Meyfroidt, P. Global Land Use Change, Economic Globalization, and the Looming Land Scarcity. Proc. Natl. Acad. Sci. USA 2011, 108, 3465–3472. [Google Scholar] [CrossRef]
- Mayaux, P.; Pekel, J.F.; Desclée, B.; Donnay, F.; Lupi, A.; Achard, F.; Clerici, M.; Bodart, C.; Brink, A.; Nasi, R.; et al. State and Evolution of the African Rainforests between 1990 and 2010. Philos. Trans. R. Soc. B Biol. Sci. 2013, 368, 20120300. [Google Scholar] [CrossRef]
- Brandt, M.; Rasmussen, K.; Peñuelas, J.; Tian, F.; Schurgers, G.; Verger, A.; Mertz, O.; Palmer, J.R.B.; Fensholt, R. Human Population Growth Offsets Climate-Driven Increase in Woody Vegetation in Sub-Saharan Africa. Nat. Ecol. Evol. 2017, 1, 4–9. [Google Scholar] [CrossRef] [PubMed]
- Kenya National Bureau of Statistics Urban Population, Households, Density by County. Available online: https://www.knbs.or.ke/ (accessed on 3 August 2023).
- Archer, S.R.; Andersen, E.M.; Predick, K.I.; Schwinning, S.; Steidl, R.J.; Woods, S.R. Woody Plant Encroachment: Causes and Consequences. In Rangeland Systems; Briske, D., Ed.; Springer Series on Environmental Management; Springer: Cham, Switzerland, 2017; pp. 25–84. [Google Scholar] [CrossRef]
- Latino, L.R.; Pica-Ciamarra, U.; Wisser, D. Africa: The Livestock Revolution Urbanizes. Glob. Food Sec. 2020, 26, 100399. [Google Scholar] [CrossRef] [PubMed]




| Variable | Type | Code | Dataset/Source | Original Resolution | Time |
|---|---|---|---|---|---|
| Enhanced Vegetation Index | Historical | EVI | MOD13A2v061 | 1 × 1 km | 2000–2005 and 2015–2020 |
| Terrain Ruggedness Index | Historical | TRI | DEM - GMTED10 | 1 × 1 km | 2010 |
| 2 m air temperature | Historical | T | ERA5-Land dataset from Copernicus Climate Data Store (CDS -ECMWF) | 9 × 9 km | 2000–2005 and 2015–2020 |
| Volumetric soil water layer 1 | Historical | SM | ERA5-Land dataset from Copernicus Climate Data Store (CDS -ECMWF) | 9 × 9 km | 2000–2005 and 2015–2020 |
| Livestock Density | Historical | Livestock Density | Gridded Livestock of the World (GLW)–FAO | 10 × 10 km | 2010 |
| 2 m air temperature | Projection | T | CMIP6 dataset from Copernicus Climate Data Store (CDS -ECMWF) | 9 × 9 km | 2045–2050 and 2095–2100 |
| Volumetric soil water layer 1 | Projection | SM | CMIP6 dataset from Copernicus Climate Data Store (CDS -ECMWF) | 9 × 9 km | 2045–2050 and 2095–2100 |
| Variable | β | SE | 95% CI | p | |
|---|---|---|---|---|---|
| Lower | Upper | ||||
| (Intercept) | 1.64401 | 0.0105804 | 1.62328 | 1.664751 | <0.001 |
| T | −0.0052 | 3.468 × 10−5 | −0.0052 | −0.005093 | <0.001 |
| SM | 0.59195 | 0.0013796 | 0.58924 | 0.594652 | <0.001 |
| TRI | 0.00016 | 9.176 × 10−7 | 0.00016 | 0.00016 | <0.001 |
| Livestock | 3.2 × 10−8 | 9.058 × 10−9 | 1.4 × 10−8 | 4.93 × 10−8 | <0.001 |
| SSP | Year | % EVI Increases | % EVI Decreases | ||
|---|---|---|---|---|---|
| Inc | Inc > 0.1 | Dec | Dec > 0.1 | ||
| SSP 2–4.5 | 2050 | 42% | 1.2% | 58% | 10.2% |
| 2100 | 50% | 2.0% | 50% | 8.8% | |
| SSP 5–8.5 | 2050 | 53% | 1.4% | 47% | 8.7% |
| 2100 | 67% | 5.5% | 33% | 6.6% | |
| SSP | Year | % Low EVI | % Medium EVI | % High EVI |
|---|---|---|---|---|
| Past | 2000 | 56% | 39% | 5% |
| Current | 2020 | 49% | 45% | 6% |
| SSP 2–4.5 | 2050 | 58% | 41% | 1% |
| 2100 | 53% | 44% | 3% | |
| SSP 5–8.5 | 2050 | 47% | 52% | 1% |
| 2100 | 32% | 65% | 3% |
| SSP | Year | PA | SEMI | |||||
|---|---|---|---|---|---|---|---|---|
| % Low | % Medium | % High | % Low | % Medium | % High | |||
| Past | 2000 | 37.66 | 46.72 | 15.62 | 70.86 | 28.17 | 0.97 | |
| Current | 2020 | 29.28 | 53.13 | 17.59 | 67.94 | 31.14 | 0.92 | |
| SSP 2–4.5 | 2050 | 39.89 | 54.71 | 5.40 | 60.48 | 39.52 | 0.00 | |
| 2100 | 32.96 | 56.06 | 10.98 | 49.30 | 50.62 | 0.08 | ||
| SSP 5–8.5 | 2050 | 24.13 | 70.90 | 4.97 | 38.32 | 61.68 | 0.01 | |
| 2100 | 12.10 | 78.51 | 9.38 | 24.95 | 75.00 | 0.06 | ||
Disclaimer/Publisher’s Note: The statements, opinions and data contained in all publications are solely those of the individual author(s) and contributor(s) and not of MDPI and/or the editor(s). MDPI and/or the editor(s) disclaim responsibility for any injury to people or property resulting from any ideas, methods, instructions or products referred to in the content. |
© 2023 by the authors. Licensee MDPI, Basel, Switzerland. This article is an open access article distributed under the terms and conditions of the Creative Commons Attribution (CC BY) license (https://creativecommons.org/licenses/by/4.0/).
Share and Cite
Parracciani, C.; Buitenwerf, R.; Svenning, J.-C. Impacts of Climate Change on Vegetation in Kenya: Future Projections and Implications for Protected Areas. Land 2023, 12, 2052. https://doi.org/10.3390/land12112052
Parracciani C, Buitenwerf R, Svenning J-C. Impacts of Climate Change on Vegetation in Kenya: Future Projections and Implications for Protected Areas. Land. 2023; 12(11):2052. https://doi.org/10.3390/land12112052
Chicago/Turabian StyleParracciani, Cecilia, Robert Buitenwerf, and Jens-Christian Svenning. 2023. "Impacts of Climate Change on Vegetation in Kenya: Future Projections and Implications for Protected Areas" Land 12, no. 11: 2052. https://doi.org/10.3390/land12112052
APA StyleParracciani, C., Buitenwerf, R., & Svenning, J.-C. (2023). Impacts of Climate Change on Vegetation in Kenya: Future Projections and Implications for Protected Areas. Land, 12(11), 2052. https://doi.org/10.3390/land12112052

