Nonlinear Responses of Vegetation and Soil Properties to Rock Desertification Gradients in Qingzhen, China
Abstract
1. Introduction
2. Materials and Methods
2.1. Study Area
2.2. Data Sources and Research Methods
2.2.1. Identification and Spatial Classification of Rock Desertification Intensity
2.2.2. Plot Layout and Sample Collection
Timing of Field Investigation and Its Representativeness
2.2.3. Laboratory Analysis and Index Determination
2.2.4. Data Processing and Analysis
2.2.5. Statistical Analysis and Mapping
3. Results
3.1. Spatial Distribution of Rock Desertification Intensity in Qingzhen City
3.2. Nonlinear Relationship Between Rock Desertification and Plant Community Characteristics
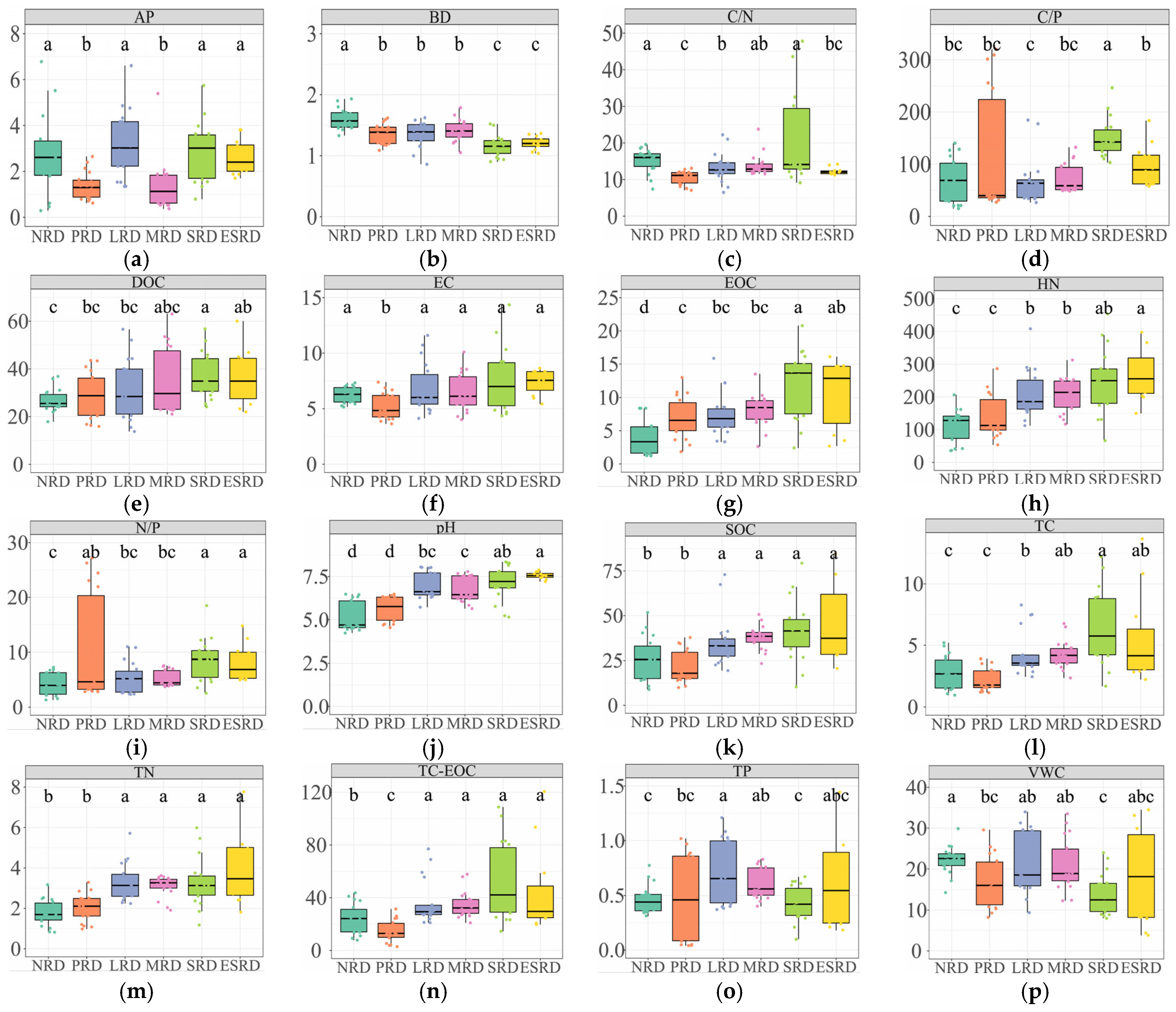
3.3. Nonlinear Relationship Between Rock Desertification and Soil Physicochemical Properties
4. Discussion
5. Conclusions
Author Contributions
Funding
Data Availability Statement
Conflicts of Interest
References
- Wang, S.J. Concept deduction and its connotation of karst rocky desertification. Carsologica Sin. 2002, 21, 101–105. [Google Scholar]
- Dang, H.; Lu, Y.; Wang, X.; Sun, G.; Fu, B. Land degradation neutrality in mountainous region: Dynamics, driving factors, and management implications. Appl. Geogr. 2025, 181, 103691. [Google Scholar] [CrossRef]
- Sheng, M.; Xiong, K.; Wang, L.; Li, X.; Li, R.; Tian, X. Response of soil physical and chemical properties to Rocky desertification succession in South China Karst. Carbonates Evaporites 2018, 33, 15–28. [Google Scholar] [CrossRef]
- Liu, Y.; Wang, Q.; Wang, L.; Sheng, M. Functional traits of plant functional groups in karst rocky desertification ecosystem: Insights for the adaptability of plants to the degraded environment. Glob. Ecol. Conserv. 2025, 62, e03721. [Google Scholar] [CrossRef]
- Fang, L.; Shijie, W.; Yuansheng, L.; Tengbing, H.E.; Haibo, L.; Jian, L. Changes of soil quality in the process of karst rocky desertification and evaluation of impact on ecological environment. Acta Ecol. Sin. 2005, 25, 639–644. [Google Scholar]
- Wang, S.; Li, Y.; Li, R. Karst Rocky Desertification: Formation Background, Evolution and Comprehensive Taming. Quat. Sci. 2003, 23, 657–666. [Google Scholar]
- Sheng, M.; Xiong, K.; Cui, G.; Liu, Y. Plant diversity and soil physical-chemical properties in karst rocky desertification ecosystem of Guizhou, China. Acta Ecol. Sin. 2015, 35, 434–448. [Google Scholar] [CrossRef]
- Zheng, W.; Wu, Q.; Rao, C.; Chen, X.; Wang, E.; Liang, X.; Yan, W. Characteristics and interactions of soil bacteria, phytocommunity and soil properties in rocky desertification ecosystems of Southwest China. Catena 2023, 220, 106731. [Google Scholar] [CrossRef]
- Wei, X.; Li, S.; Luo, H.; Nie, L.; Li, H.; He, Q. Changes and correlation of soil and vegetation in process of rock desertification in northern Guangdong Province. Sci. Geogr. Sin. 2008, 28, 662–666. [Google Scholar]
- He, X.; Wang, L.; Ke, B.; Yue, Y.; Wang, K.; Cao, J.; Xiong, K. Progress on ecological conservation and restoration for China Karst. Acta Ecol. Sin. 2019, 39, 6577–6585. [Google Scholar] [CrossRef]
- Shen, J.; Zhang, Z.; Wang, Z. The effects of rocky desertification degree on bryophyte diversity and soil chemical properties of crusts. Acta Ecol. Sin. 2018, 38, 65–76. [Google Scholar] [CrossRef]
- Zhang, J.; Chen, H.; Fu, Z.; Wang, K. Effects of vegetation restoration on soil properties along an elevation gradient in the karst region of southwest China. Agric. Ecosyst. Environ. 2021, 320, 107572. [Google Scholar] [CrossRef]
- Li, Y.Q.; Deng, X.W.; Yi, C.Y.; Deng, D.H.; Huang, Z.H.; Xiang, W.H.; Fang, X.; Jing, Y.R. Plant and soil nutrient characteristics in the karst shrub ecosystem of southwest Hunan, China. Ying Yong Sheng Tai Xue Bao J. Appl. Ecol. 2016, 27, 1015–1023. [Google Scholar]
- Wu, J.; Sheng, M.; Xiao, H.; Guo, C.; Wang, L. Fine root architecture of adaptive plants and its correlation with nutrient stoichiometric characteristics of fine root and rhizosphere soils in karst rocky desertification environments, SW China. Acta Ecol. Sin. 2022, 42, 677–687. [Google Scholar] [CrossRef]
- Zhang, Y.; Xu, X.; Li, Z.; Xu, C.; Luo, W. Improvements in soil quality with vegetation succession in subtropical China karst. Sci. Total Environ. 2021, 775, 145876. [Google Scholar] [CrossRef]
- Wang, M.; Chen, H.; Zhang, W.; Wang, K. Influencing factors on soil nutrients at different scales in a karst area. Catena 2019, 175, 411–420. [Google Scholar] [CrossRef]
- Zhong, F.; Xu, X.; Li, Z.; Zeng, X.; Yi, R.; Luo, W.; Zhang, Y.; Xu, C. Relationships between lithology, topography, soil, and vegetation, and their implications for karst vegetation restoration. Catena 2022, 209, 105831. [Google Scholar] [CrossRef]
- He, X.; Sheng, M.; Wang, L.; Zhang, S.; Luo, N. Effects on soil organic carbon accumulation and mineralization of long-term vegetation restoration in Southwest China karst. Ecol. Indic. 2022, 145, 109622. [Google Scholar] [CrossRef]
- Zheng, W.; Guo, X.; Zhou, P.; Tang, L.; Lai, J.; Dai, Y.; Yan, W.; Wu, J. Vegetation restoration enhancing soil carbon sequestration in karst rocky desertification ecosystems: A meta-analysis. J. Environ. Manag. 2024, 370, 122530. [Google Scholar] [CrossRef] [PubMed]
- Hu, T.; Xiong, K.; Yu, Y.; Wang, J.; Wu, Y. Ecological stoichiometry and homeostasis characteristics of plant-litter-soil system with vegetation restoration of the karst desertification control. Front. Plant Sci. 2023, 14, 1224691. [Google Scholar] [CrossRef] [PubMed]
- Zhou, Z.; Huang, L. An analysis on relation of rock desertification to stratum and lithology in karst region—A case study at Qingzhen City of Guizhou Plateau. Bull. Soil Water Conserv. 2003, 23, 19–22. [Google Scholar]
- Jiang, Z.; Lian, Y.; Qin, X. Rocky desertification in Southwest China: Impacts, causes, and restoration. Earth-Sci. Rev. 2014, 132, 1–12. [Google Scholar] [CrossRef]
- Yuan, D. World correlation of karst ecosystem: Objectives and implementation plan. Adv. Earth Sci. 2001, 16, 461–466. [Google Scholar]
- Chi, Y.; Song, S.; Xiong, K. Effects of different grassland use patterns on soil bacterial communities in the karst desertification areas. Front. Microbiol. 2023, 14, 1208971. [Google Scholar] [CrossRef]
- Gao, L.; Wang, W.; Liao, X.; Tan, X.; Yue, J.; Zhang, W.; Wu, J.; Willison, J.; Tian, Q.; Liu, Y. Soil nutrients, enzyme activities, and bacterial communities in varied plant communities in karst rocky desertification regions in Wushan County, Southwest China. Front. Microbiol. 2023, 14, 1180562. [Google Scholar] [CrossRef]
- Long, J.; Jiang, X.; Deng, Q.; Liu, F. Characteristics of soil rocky desertification in the karst region of Guizhou province. Acta Pedol. Sin. 2005, 42, 427. [Google Scholar]
- Song, T.; Peng, W.; Du, H.; Wang, K.; Zeng, F. Occurrence, spatial-temporal dynamics and regulation strategies of karst rocky desertification in southwest China. Acta Ecol. Sin. 2014, 34, 5328–5341. [Google Scholar] [CrossRef]
- Su, W. Soil erosive deterioration and its control in Karst mountainous regions of Guizhou province. Carsol Sin. 2001, 3, 51–57. [Google Scholar]
- Su, W.; Yang, H.; Li, Q.; Guo, Y.; Chen, Z. Rocky land desertification and its controlling measurements in the karst mountainous region, Southwest of China. Chin. J. Soil Sci. 2006, 37, 447–451. [Google Scholar]
- Wang, D. Changes of vegetation features of rocky desertification process in karst area of Guizhou. J. Nanjing For. Univ. 2003, 27, 26. [Google Scholar]
- Wei, L.; Jin, L. Research on zoning of ecological restoration in territorial space based on ecological security pattern: A case study of Qingzhen city in Guizhou province. Environ. Pollut. Control 2022, 44, 966–971. [Google Scholar]
- Luo, S.; Hu, J.; Zhang, Y. Analysis of Rocky Desertification in Central Guizhou, China, Using Landsat Satellite Data. In Proceedings of the International Conference on Computer Information Systems and Industrial Applications, Fukuoka, Japan, 11–13 September 2015; pp. 165–168. [Google Scholar]
- Yang, Q.; Yang, G.B.; Dai, L.; Zhao, Q.S.; Luo, Y.R. Spatial correlation analysis of rocky desertification and soil types in karst area: A case study of Guizhou Province. Carsologica Sin. 2019, 38, 80–87. [Google Scholar]
- Du, X.L.; Wang, S.J.; Rong, L.; Liu, N. Effects of different soil types on the foliar δ13C values of common local plant species in karst rocky desertification area in Central Guizhou Province. Environ. Sci. 2014, 35, 3587–3594. [Google Scholar]
- SL 190-2007; Standards for Classification and Gradation of Soil Erosion. Ministry of Water Resources of the People’s Republic of China, China Water Resources and Hydropower Press: Beijing, China, 2008.
- SL 419-2007; Test Specification of Soil and Water Conservation. Ministry of Water Resources of the People’s Republic of China, China Water Resources and Hydropower Press: Beijing, China, 2008.
- Perkins, L.B.; Blank, R.R.; Ferguson, S.D.; Johnson, D.W.; Lindemann, W.C.; Rau, B.M. Quick start guide to soil methods for ecologists. Perspect. Plant Ecol. Evol. Syst. 2013, 15, 237–244. [Google Scholar] [CrossRef]
- NY/T 1377-2007; Determination of pH in Soil. Ministry of Agriculture of the People’s Republic of China, China Agriculture Press: Beijing, China, 2007.
- HJ 802-2016; Soil Quality—Determination of Conductivity—Electrode Method. Ministry of Environmental Protection of the People’s Republic of China, China Environmental Science Press: Beijing, China, 2016.
- Li, Z.; Xia, B.H.; Han, M.; Chen, C.K. Determination of organic carbon in geological samples by potassium dichromate volumetric method. Chin. J. Inorg. Anal. Chem. 2024, 14, 330–336. [Google Scholar]
- Kanagaraj, A.; Kaliappan, S.B.; Shanmugam, T.; Alagirisamy, B.; Ramalingam, K. Quantification techniques of soil organic carbon: An appraisal. Anal. Sci. 2025, 41, 759–776. [Google Scholar] [CrossRef]
- Liu, C.X. Determination of organic carbon in saline alkali soil by potassium dichromate volumetric method. Chem. Eng. 2023, 37, 33–37. [Google Scholar]
- Koorneef, G.J.; de Goede, R.G.M.; Pulleman, M.M.; van Leeuwen, A.G.; Barré, P.; Baudin, F.; Comans, R.N.J. Quantifying organic carbon in particulate and mineral-associated fractions of calcareous soils—A method comparison. Geoderma 2023, 436, 116558. [Google Scholar] [CrossRef]
- Bradstreet, R.B. Kjeldahl method for organic nitrogen. Anal. Chem. 1954, 26, 185–187. [Google Scholar] [CrossRef]
- LY/T 1228-2015; Determination of Nitrogen in Forest Soils. State Forestry Administration of the People’s Republic of China, Standards Press of China: Beijing, China, 2015.
- Murphy, J.; Riley, J.P. A modified single solution method for the determination of phosphate in natural waters. Anal. Chim. Acta 1962, 27, 31–36. [Google Scholar] [CrossRef]
- Olsen, S.R.; Cole, C.V.; Watanabe, F.S.; Dean, L.A. Estimation of Available Phosphorus in Soils by Extraction with Sodium Bicarbonate; U.S. Department of Agriculture Circular No. 939; U.S. Department of Agriculture: Washington, DC, USA, 1954.
- Liu, J.; Ni, J. Comparison of general allometric equations of biomass estimation for major tree species types in China. Quat. Sci. 2021, 41, 1169–1180. [Google Scholar]
- Xie, Z. Manual of Biomass Models for Common Shrubs in China; Science Press: Beijing, China, 2018. [Google Scholar]
- Huston, M. A general hypothesis of species diversity. Am. Nat. 1979, 113, 81–101. [Google Scholar] [CrossRef]
- Connell, J. Diversity in tropical rain forests and coral reefs. Science 1978, 199, 1302–1310. [Google Scholar] [CrossRef]
- Mao, Z.; Zhu, J. Effects of disturbances on species composition and diversity of plant communities. Acta Ecol. Sin. 2006, 26, 2695–2701. [Google Scholar]
- Song, T.; Peng, W.; Zeng, F.; Wang, K.; Ouyang, Z. Vegetation succession rule and regeneration strategies in disturbed karst area, northwest Guangxi. J. Mt. Sci. 2008, 26, 597–604. [Google Scholar]
- Zhang, J.; Huang, Y. Biodiversity and stability mechanisms: Understanding and future research. Acta Ecol. Sin. 2016, 36, 3859–3870. [Google Scholar] [CrossRef]
- Du, Z. Effects of freeze-thaw action on soil physicochemical and biological properties in the alpine grasslands. Ecol. Environ. Sci. 2020, 29, 1054–1061. [Google Scholar]
- Huang, J.; Wei, X.; Wang, X.; Zhou, H.; Li, H. Effect of vegetation degradation on soil organic matte and nutrient in process of rocky desertification in typical karst area of Northern Guangdong. Soil Fertil. China 2014, 1, 15–18. [Google Scholar]
- Li, E.-X.; Jiang, Z.-C.; Cao, J.-H.; Jiang, G.-H.; Deng, Y. The comparison of properties of karst soil and karst erosion ratio under different successional stages of karst vegetation in Nongla, Guangxi. Acta Ecol. Sin. 2004, 24, 1131–1139. [Google Scholar]
- Schlesinger, W.H.; Pilmanis, A.M. Plant-soil interactions in deserts. Biogeochemistry 1998, 42, 169–187. [Google Scholar] [CrossRef]
- Connell, J.H.; Slatyer, R.O. Mechanisms of succession in natural communities and their role in community stability and organization. Am. Nat. 1977, 111, 1119–1144. [Google Scholar] [CrossRef]
- Wang, L.; Sheng, M.; Du, J.; Wen, P. Distribution characteristics of soil organic carbon and its influence factors in the karst rocky desertification ecosystem of Southwest China. Shengtai Xuebao 2017, 37, 1358–1365. [Google Scholar][Green Version]
- Wang, X. Relationship among soil organic carbon and small environment and lithology in the rocky desertification process in different karst landforms. J. Soil Water Conserv. 2020, 34, 295–303. [Google Scholar]
- Guo, K.; Liu, C.-C.; Dong, M. Ecological adaptation of plants and control of rocky-desertification on karst region of Southwest China. Chin. J. Plant Ecol. 2011, 35, 991–999. [Google Scholar] [CrossRef]
- Rasse, D.P.; Rumpel, C.; Dignac, M.-F. Is soil carbon mostly root carbon? Mechanisms for a specific stabilisation. Plant Soil 2005, 269, 341–356. [Google Scholar] [CrossRef]
- Qi, D.; Wieneke, X.; Tao, J.; Zhou, X.; Desilva, U. Soil pH Is the Primary Factor Correlating with Soil Microbiome in Karst Rocky Desertification Regions in the Wushan County, Chongqing, China. Front. Microbiol. 2018, 9, 1027. [Google Scholar] [CrossRef]
- Wei, X.; Xu, X.; Lei, L.; Zhou, H.; Li, Z. The effect of rocky desertification on the soils organic carbon storage in Karst peak-cluster: A case study in Yanbei town, Yingde city, Guangdong province. Carsologica Sin. 2013, 32, 371. [Google Scholar]
- Wu, M.; Liu, S.; Ye, Y.; Zhang, W.; Wang, K.; Chen, H. Spatial heterogeneity and storage assessment method of surface soil organic carbon in high bulk-rock ratio slopes of Karst Regions. Chin. J. Eco-Agric. 2015, 23, 676–685. [Google Scholar]
- Wang, K.; Wang, C.; Fu, B.; Huang, J.; Wei, F.; Leng, X.; Feng, X.; Li, Z.; Jiang, W. Divergent driving mechanisms of community temporal stability in China’s drylands. Environ. Sci. Ecotechnol. 2024, 20, 100404. [Google Scholar] [CrossRef]





| Vegetation Coverage (%) | Slope (°) | |||||
|---|---|---|---|---|---|---|
| <5 | 5~8 | 8~15 | 15~25 | 25~35 | >35 | |
| >75 | NRD | NRD | NRD | PRD | LRD | MRD |
| 60~75 | NRD | NRD | PRD | LRD | MRD | SRD |
| 45~60 | NRD | PRD | LRD | MRD | SRD | ESRD |
| 30~45 | PRD | LRD | MRD | SRD | ESRD | ESRD |
| <30 | LRD | MRD | SRD | ESRD | ESRD | ESRD |
Disclaimer/Publisher’s Note: The statements, opinions and data contained in all publications are solely those of the individual author(s) and contributor(s) and not of MDPI and/or the editor(s). MDPI and/or the editor(s) disclaim responsibility for any injury to people or property resulting from any ideas, methods, instructions or products referred to in the content. |
© 2026 by the authors. Licensee MDPI, Basel, Switzerland. This article is an open access article distributed under the terms and conditions of the Creative Commons Attribution (CC BY) license.
Share and Cite
Lu, Y.; Wang, Y.; Chen, Y.; Song, N.; Wang, Q.; Liu, M.; Guan, X. Nonlinear Responses of Vegetation and Soil Properties to Rock Desertification Gradients in Qingzhen, China. Land 2026, 15, 499. https://doi.org/10.3390/land15030499
Lu Y, Wang Y, Chen Y, Song N, Wang Q, Liu M, Guan X. Nonlinear Responses of Vegetation and Soil Properties to Rock Desertification Gradients in Qingzhen, China. Land. 2026; 15(3):499. https://doi.org/10.3390/land15030499
Chicago/Turabian StyleLu, Yufeng, Yi Wang, Yanjun Chen, Ni Song, Qiuming Wang, Meng Liu, and Xiao Guan. 2026. "Nonlinear Responses of Vegetation and Soil Properties to Rock Desertification Gradients in Qingzhen, China" Land 15, no. 3: 499. https://doi.org/10.3390/land15030499
APA StyleLu, Y., Wang, Y., Chen, Y., Song, N., Wang, Q., Liu, M., & Guan, X. (2026). Nonlinear Responses of Vegetation and Soil Properties to Rock Desertification Gradients in Qingzhen, China. Land, 15(3), 499. https://doi.org/10.3390/land15030499

