Towards Smarter Urban Green Space Allocation: Investigating Scale-Dependent Impacts on Multiple Ecosystem Services
Abstract
1. Introduction
2. Materials and Methods
2.1. Study Area
2.2. Data Processing
2.3. Ecosystem Service Measurement
| ESs Type | Description | Importance Within the Study Area | References |
|---|---|---|---|
| Climate Regulation (CR) | Green spaces reduce local temperatures and mitigate extreme heat events through evapotranspiration, shade, and reflection of long-wave radiation. | The built-up areas surrounding Taihu Lake experience elevated summer temperatures, exacerbated by industrial heat emissions that worsen the regional thermal environment. The plan proposes the creation of an ecological barrier around the lake to enhance carbon sequestration and mitigate heat island effects. | [38,50] |
| Stormwater Regulation (SR) | Retain and store rainfall runoff through vegetation, soil, and terrain to reduce peak flood flows and delay peak onset times. | Climate change has intensified the uneven distribution of rainfall both temporally and spatially, while rapid urbanization has led to a decline in surface permeability. The plan emphasizes the importance of utilizing the composite system of polders, river networks, and lakes to strengthen flood retention capacities. | [39,51] |
| Water Conservation (WC) | Green spaces promote rainwater infiltration, replenish groundwater, and maintain base flow and drinking water sources. | Taihu Lake serves as a vital water source for cities such as Shanghai and Suzhou city, with upstream areas like the Yili Mountain designated as key conservation zones for water sources. | [52,53,54] |
| Water Purification (WP) | Improve water quality by filtering, adsorbing, and decomposing pollutants through vegetation, soil microorganisms, and substrate. | To address issues like non-point source pollution and eutrophication, the plan outlines measures for developing lakeside wetlands and fostering regional collaboration in managing water systems. It also mandates the construction of an ecological interception system. | [20,53] |
| Habitat Quality (HQ) | Green spaces provide food, breeding grounds, and shelter for local flora and fauna, maintaining urban biodiversity. | Habitat fragmentation disrupts species migration and environmental pollution contributes to the decline of sensitive species populations. The plan calls for the protection of Taihu Lake’s critical ecological spaces to preserve regional biodiversity. | [53,55] |
| Outdoor recreation (OR) | Offering natural landscapes and ecological spaces addresses residents’ needs for physical and mental well-being, as well as the preservation of cultural heritage. | Intensive development has reduced public green spaces, and natural recreational resources are unevenly distributed. In response, the plan adopts an “Ecology+” approach to foster a green economy. | [56,57,58] |
2.4. ESBs Identification
2.5. Measurement of ES Comprehensive Benefits
2.5.1. Correlation Analysis and Selection of Typical ES Pairs
2.5.2. Comprehensive Indicator Measurement
- (1)
- MESLI
- (2)
- Coupling coordination degree
- (3)
- Trade-off Strength
2.6. Redundancy Analysis
3. Results
3.1. Classification of Ecosystem Service Bundles
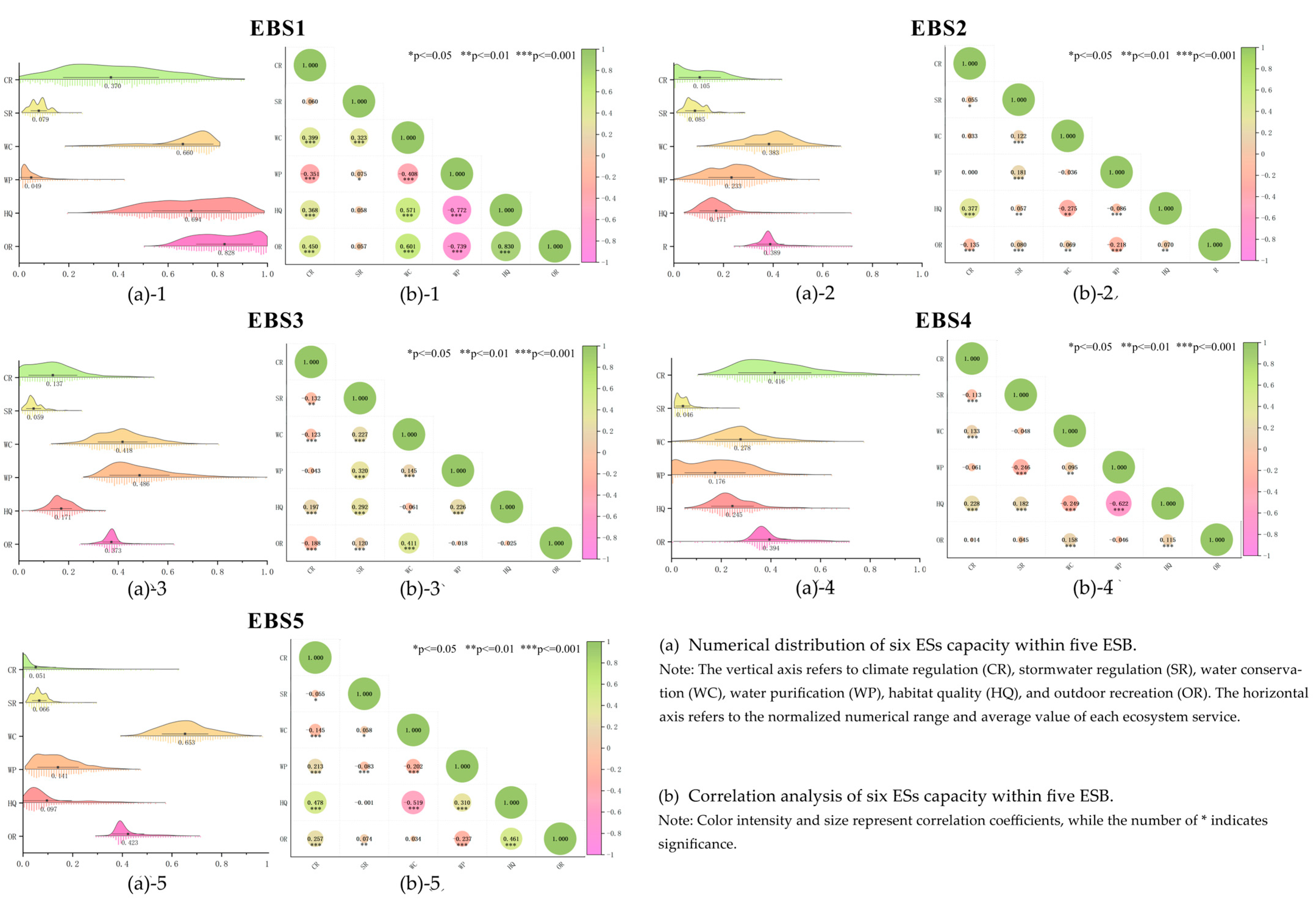
3.2. Identification of ES Values and Related Relationships
3.3. Comprehensive Impact of UGS Scale Characteristics on ESs
4. Discussion
4.1. Spatial Differentiation and Synergistic–Trade-Off Mechanisms of ESBs
4.2. Differentiated Driving Mechanisms of UGS Scale Characteristics
4.3. Smart Hierarchical Design of UGS Management Strategies
4.4. Research Limitations and Future Prospects
5. Conclusions
Supplementary Materials
Author Contributions
Funding
Data Availability Statement
Acknowledgments
Conflicts of Interest
Abbreviations
| UGS | Urban green spaces |
| ESBs | Ecosystem service bundles |
| ESs | Ecosystem services |
| SOM | Self-organizing map |
| RDA | Redundancy analysis |
| CR | Climate regulation |
| SR | Stormwater regulation |
| WC | Water conservation |
| WP | Water purification |
| HQ | Habitat quality |
| OR | Outdoor recreation |
| GR | Green ratio |
| TGV | Tridimensional green volume |
| LPI | Largest patch index |
| MPI | Mean patch index |
| PACV | Patch area coefficient of variation |
| MESLI | Multiple ecosystem services landscape index |
| D | Coupling coordination degree |
| RMSE | Root mean square error |
References
- United Nations. Department of Economic and Social Affairs, Population Division. In World Urbanization Prospects: The 2018 Revision; United Nations: New York, NY, USA, 2018. [Google Scholar]
- Haas, J.; Ban, Y. Urban Land Cover and Ecosystem Service Changes Based on Sentinel-2A MSI and Landsat TM Data. IEEE J. Sel. Top. Appl. Earth Obs. Remote Sens. 2018, 11, 485–497. [Google Scholar] [CrossRef]
- Liu, R.; Dong, X.; Wang, X.; Zhang, P.; Liu, M.; Zhang, Y. Study on the Relationship among the Urbanization Process, Ecosystem Services and Human Well-Being in an Arid Region in the Context of Carbon Flow: Taking the Manas River Basin as an Example. Ecol. Indic. 2021, 132, 108248. [Google Scholar] [CrossRef]
- Yang, Y.; Zheng, H.; Kong, L.; Huang, B.; Xu, W.; Ouyang, Z. Mapping Ecosystem Services Bundles to Detect High- and Low-Value Ecosystem Services Areas for Land Use Management. J. Clean. Prod. 2019, 225, 11–17. [Google Scholar] [CrossRef]
- Luo, C.; Li, X. Assessment of Ecosystem Service Supply, Demand, and Balance of Urban Green Spaces in a Typical Mountainous City: A Case Study on Chongqing, China. Int. J. Environ. Res. Public Health 2021, 18, 11002. [Google Scholar] [CrossRef]
- Costanza, R.; de Groot, R.; Braat, L.; Kubiszewski, I.; Fioramonti, L.; Sutton, P.; Farber, S.; Grasso, M. Twenty Years of Ecosystem Services: How Far Have We Come and How Far Do We Still Need to Go? Ecosyst. Serv. 2017, 28, 1–16. [Google Scholar] [CrossRef]
- Costanza, R.; Arge, R.; Groot, R.; Farberk, S.; Grasso, M.; Hannon, B.; Limburg, K.; Naeem, S.; Neill, R.; Paruelo, J.; et al. The Value of the World’s Ecosystem Services and Natural Capital. Nature 1997, 387, 253–260. [Google Scholar] [CrossRef]
- Millennium Ecosystem Assessment. (Ed.) Ecosystems and Human Well-Being: Synthesis; The Millennium Ecosystem Assessment series; Island Press: Washington, DC, USA, 2005; ISBN 978-1-59726-040-4. [Google Scholar]
- Peng, L.L.H.; Jiang, Z.; Yang, X.; He, Y.; Xu, T.; Chen, S.S. Cooling Effects of Block-Scale Facade Greening and Their Relationship with Urban Form. Build. Environ. 2020, 169, 106552. [Google Scholar] [CrossRef]
- Wang, J.; Zhou, W.; Mcphearson, T. General Power Law Function Suggests Optimal Size Thresholds for Adaptive Cooling by Green Space in Cities. npj Urban Sustain. 2025, 5, 35. [Google Scholar] [CrossRef]
- Yang, C.; He, X.; Wang, R.; Yan, F.; Yu, L.; Bu, K.; Yang, J.; Chang, L.; Zhang, S. The Effect of Urban Green Spaces on the Urban Thermal Environment and Its Seasonal Variations. Forests 2017, 8, 153. [Google Scholar] [CrossRef]
- Derkzen, M.L.; van Teeffelen, A.J.A.; Verburg, P.H. Quantifying Urban Ecosystem Services Based on High-Resolution Data of Urban Green Space: An Assessment for Rotterdam, the Netherlands. J. Appl. Ecol. 2015, 52, 1020–1032. [Google Scholar] [CrossRef]
- Cheng, X.; Van Damme, S.; Li, L.; Uyttenhove, P. Cultural Ecosystem Services in an Urban Park: Understanding Bundles, Trade-Offs, and Synergies. Landsc. Ecol. 2022, 37, 1693–1705. [Google Scholar] [CrossRef]
- Riechers, M.; Barkmann, J.; Tscharntke, T. Diverging Perceptions by Social Groups on Cultural Ecosystem Services Provided by Urban Green. Landsc. Urban Plan. 2018, 175, 161–168. [Google Scholar] [CrossRef]
- Liu, S.; Wang, Z.; Kumilamba, G.; Yu, L. Optimizing Green Space Configuration for Mitigating Land Surface Temperature: A Case Study of Karst Mountainous Cities. Sustain. Cities Soc. 2025, 125, 106345. [Google Scholar] [CrossRef]
- Wang, M.; Song, H.; Zhu, W.; Wang, Y. The Cooling Effects of Landscape Configurations of Green–Blue Spaces in Urban Waterfront Community. Atmosphere 2023, 14, 833. [Google Scholar] [CrossRef]
- Ren, Y.; Zhou, M.; Zhu, A.; Shi, S.; Zhu, H.; Chen, Y.; Li, S.; Fan, T. Evolution, Reconfiguration and Low-Carbon Performance of Green Space Pattern under Diverse Urban Development Scenarios: A Machine Learning-Based Simulation Approach. Ecol. Indic. 2024, 169, 112945. [Google Scholar] [CrossRef]
- Baro, F.; Gomez-Baggethun, E.; Haase, D. Ecosystem Service Bundles along the Urban-Rural Gradient: Insights for Landscape Planning and Management. Ecosyst. Serv. 2017, 24, 147–159. [Google Scholar] [CrossRef]
- Li, K.; Hou, Y.; Andersen, P.S.; Xin, R.; Rong, Y.; Skov-Petersen, H. An Ecological Perspective for Understanding Regional Integration Based on Ecosystem Service Budgets, Bundles, and Flows: A Case Study of the Jinan Metropolitan Area in China. J. Environ. Manag. 2022, 305, 114371. [Google Scholar] [CrossRef]
- Wang, C.; Wang, S.; Qi, B.; Jiang, C.; Sun, W.; Cao, Y.; Li, Y. Trade-Offs, Synergies, and Driving Factors of Ecosystem Services in the Urban-Rural Fringe of Beijing at Multiple Scales. Land 2025, 14, 1009. [Google Scholar] [CrossRef]
- Korkou, M.; Tarigan, A.K.M.; Hanslin, H.M. Integrated Assessment of Urban Green Infrastructure Multifunctionality: Insights from Stavanger. Landsc. Urban Plan. 2025, 254, 105257. [Google Scholar] [CrossRef]
- Liu, Z.; Liu, Z.; Zhou, Y.; Huang, Q. Distinguishing the Impacts of Rapid Urbanization on Ecosystem Service Trade-Offs and Synergies: A Case Study of Shenzhen, China. Remote Sens. 2022, 14, 4604. [Google Scholar] [CrossRef]
- Zhou, S.; Qu, Y.; Wang, Y.; Wu, Z.; Shi, Y. Ecosystem Service Bundles under SSP-RCP and Local Scenarios: A Pathway to Comprehensive Spatial Planning for Sustainability. Resour. Environ. Sustain. 2025, 20, 100211. [Google Scholar] [CrossRef]
- Chen, L.; Ma, Y. A Framework for Assessing Trade-Offs and Synergies in Green Space System Services Based on Ecosystem Services Bundles. Forests 2023, 14, 1614. [Google Scholar] [CrossRef]
- Kulczyk, S.; Matczak, P.; Zwierzchowska, I.; Litwinski, M.; Maczka, K.; Gerlee, A.; Derek, M. Ecosystem Services-Based Planning and Management of Multifamily Residential Areas: Bridging Practitioners’ Approaches and Residents’ Preferences. Econ. Environ. 2024, 91, 818. [Google Scholar] [CrossRef]
- Kuang, W.; Yang, T.; Liu, A.; Zhang, C.; Lu, D.; Chi, W. An EcoCity Model for Regulating Urban Land Cover Structure and Thermal Environment: Taking Beijing as an Example. Sci. China Earth Sci. 2017, 60, 1098–1109. [Google Scholar] [CrossRef]
- Hao, Y.; Lü, Y.; Dang, H.; Lü, D.; Du, C.; Wang, Y.; Wang, L.; Wang, X.; Li, X.; Fu, B. Optimizing Zonal Management Framework Suitable for Mountain Ecosystems by Linking Landscape, Ecosystem Service Capacities and Bundles Nested. J. Environ. Manag. 2025, 389, 125998. [Google Scholar] [CrossRef]
- Cao, Y.; Li, Y.; Shen, S.; Wang, W.; Peng, X.; Chen, J.; Liao, J.; Lv, X.; Liu, Y.; Ma, L.; et al. Mapping Urban Green Equity and Analysing Its Impacted Mechanisms: A Novel Approach. Sustain. Cities Soc. 2024, 101, 105071. [Google Scholar] [CrossRef]
- Wang, Y.; Xu, Z.; Yu, S.; Xia, P.; Zhang, Z.; Liu, X.; Wang, Y.; Peng, J. Exploring Watershed Ecological Risk Bundles Based on Ecosystem Services: A Case Study of Shanxi Province, China. Environ. Res. 2024, 245, 118040. [Google Scholar] [CrossRef]
- Hou, Y.; Liu, Y.; Wu, Z.; Zeng, H. Construction of Regional Multi-Scenario Spatially Balanced Ecological Security Pattern Based on Self-Organizing Feature Map: A Case Study of Guangzhou, China. Ecol. Inform. 2024, 82, 102690. [Google Scholar] [CrossRef]
- Gao, Y.; Fu, D.; Huang, H.; Jiang, J.; Liu, Q.; Zhu, L.; Ding, G. Spatio-Temporal Evolution and Scenario-Based Optimization of Urban Ecosystem Services Supply and Demand: A Block-Scale Study in Xiamen, China. Ecol. Indic. 2025, 172, 113289. [Google Scholar] [CrossRef]
- Wang, X.; You, L.; Wang, L. Spatiotemporal Coupling Characteristics between Urban Land Development Intensity and Population Density from a Building-Space Perspective: A Case Study of the Yangtze River Delta Urban Agglomeration. Land 2025, 14, 1459. [Google Scholar] [CrossRef]
- CJJ/T85-2017; Urban Green Space Classification Standards of China. Ministry of Housing and Urban-Rural Development: Beijing, China, 2017.
- Li, Z.; He, W.; Cheng, M.; Hu, J.; An, X.; Huang, Y.; Yang, G.; Zhang, H. SinoLC-1: The First 1-Meter Resolution National-Scale Land-Cover Map of China Created with the Deep Learning Framework and Open-Access Data (User Guide V2.4). Earth Syst. Sci. Data Discuss. 2023, 15, 4749–4780. [Google Scholar] [CrossRef]
- Lang, N.; Jetz, W.; Schindler, K.; Wegner, J.D. A High-Resolution Canopy Height Model of the Earth. Nat. Ecol. Evol. 2023, 7, 1778–1789. [Google Scholar] [CrossRef] [PubMed]
- Jiang, L.P.; Qin, Z.H.; Xie, W. Program Splits Window Algorithm to Retrieve Land Surface Temperature for MODIS Data Using IDL. Geomat. Spat. Inf. Technol. 2006, 29, 114–117. [Google Scholar]
- Mao, K.; Qin, Z.; Shi, J. A Practical Split-Window Algorithm for Retrieving Land Surface Temperature from MODIS Data. Int. J. Remote Sens. 2005, 26, 3181. [Google Scholar] [CrossRef]
- Shen, N.; Feng, F.; Xu, C.; Li, X.; Chiriacò, M.V.; Lafortezza, R. Drone-Based Assessment of Urban Green Space Structure and Cooling Capacity. Urban For. Urban Green. 2025, 112, 128953. [Google Scholar] [CrossRef]
- Cronshey, R. Urban Hydrology for Small Watersheds; USA Dept. of Agriculture, Soil Conservation Service, Engineering Division: Washington, DC, USA, 1986. [Google Scholar]
- Liu, W.; Tian, H.; Xu, X.; Yang, G. Evaluation of Water Supply Function in the Economic Belt of the Northern Slope of the Tianshan Mountains Based on the InVEST Model. Clim. Serv. 2024, 36, 100519. [Google Scholar] [CrossRef]
- He, S.; Qian, H.; Liu, Y.; Zhao, X.; Su, F.; Ma, H.; Guan, Z.; Zhang, T. Water Conservation Assessment and Its Influencing Factors Identification Using the InVEST and Random Forest Model in the Northern Piedmont of the Qinling Mountains. J. Hydrol. Reg. Stud. 2025, 57, 102194. [Google Scholar] [CrossRef]
- Li, Z.; Tao, Y.; Ou, W.; Song, Q. Supply and Demand Relationship and Multi-Scenario Assessment of Water Ecological Services Related Water Quantity and Quality in Taihu Lake Basin. Acta Ecol. Sin. 2022, 43, 2088–2100. [Google Scholar] [CrossRef]
- Shan, P.; Wang, Y.; Wu, B.; Chen, H.; Zhang, Q.; Yang, L.; Jiang, Y.; Dong, Z. Assessing the Impacts of Multi-Scenario Climate and Land Use Change on Water-Related Ecosystem Services: The Case of the Yangtze River Economic Belt (2000–2030). Sustain. Futures 2025, 10, 100854. [Google Scholar] [CrossRef]
- Wang, H.; Yuan, W.; Ma, Y.; Bai, X.; Huang, L.; Cheng, S.; Yang, H.; Guo, W. Spatiotemporal Dislocation of Ecosystem Supply and Demand Services from Habitat Quality under Different Development Scenarios. Ecol. Indic. 2023, 157, 111230. [Google Scholar] [CrossRef]
- Liu, T.; Yu, G.; Yan, S.; Xu, J.; Xue, L.; Song, G.; Wang, Q. Unraveling the Impact of Urban Landscape Pattern Changes on Habitat Quality: A Case Study of Jinan City in the Lower Yellow River Basin, China. Ecol. Indic. 2025, 177, 113735. [Google Scholar] [CrossRef]
- The Natural Capital Project. Available online: https://naturalcapitalproject.stanford.edu/software/invest (accessed on 23 April 2025).
- Hamel, P.; Guerry, A.D.; Polasky, S.; Han, B.; Douglass, J.A.; Hamann, M.; Janke, B.; Kuiper, J.J.; Levrel, H.; Liu, H.; et al. Mapping the Benefits of Nature in Cities with the InVEST Software. npj Urban Sustain. 2021, 1, 25. [Google Scholar] [CrossRef]
- Li, J.; Guo, X.; You, J.; He, Z.; Yang, Z.; Wang, L. Perception and Drivers of Cultural Ecosystem Services in Waterfront Green Spaces: Insights from Social Media Text Analysis. Anthropocene 2025, 50, 100477. [Google Scholar] [CrossRef]
- Syrbe, R.-U.; Neumann, I.; Grunewald, K.; Brzoska, P.; Louda, J.; Kochan, B.; Macháč, J.; Dubová, L.; Meyer, P.; Brabec, J.; et al. The Value of Urban Nature in Terms of Providing Ecosystem Services Related to Health and Well-Being: An Empirical Comparative Pilot Study of Cities in Germany and the Czech Republic. Land 2021, 10, 341. [Google Scholar] [CrossRef]
- Lan, H.; Zhang, Y.; Yang, Y.; Zhao, X.; Yu, T.; Li, X.; Wang, B.; Xie, Y. Analyzing Inequities in Vegetation Cooling Services along the Urban-Rural Gradient Using the LAI-Integrated InVEST Urban Cooling Model. Urban For. Urban Green. 2025, 104, 128665. [Google Scholar] [CrossRef]
- Song, H.; Wang, M. Integrating Ecosystem Services: A New Indicator for Evaluating Net Carbon Sink Efficiency of Urban Green Spaces and Its Influencing Factors. Ecol. Indic. 2025, 178, 113901. [Google Scholar] [CrossRef]
- Li, M.; Liang, D.; Xia, J.; Song, J.; Cheng, D.; Wu, J.; Cao, Y.; Sun, H.; Li, Q. Evaluation of Water Conservation Function of Danjiang River Basin in Qinling Mountains, China Based on InVEST Model. J. Environ. Manag. 2021, 286, 112212. [Google Scholar] [CrossRef]
- Song, H.; Wang, M. Influencing Mechanisms of Ecosystem Services on Net Carbon Sink Efficiency and Spatial Differentiation Thereof: A Case Study of the Shanghai Metropolitan Area. Landsc. Archit. 2025, 32, 49–56. [Google Scholar] [CrossRef]
- Zhang, L.; Hickel, K.; Dawes, W.R.; Chiew, F.H.S.; Western, A.W.; Briggs, P.R. A Rational Function Approach for Estimating Mean Annual Evapotranspiration. Water Resour. Res. 2004, 40, 89–97. [Google Scholar] [CrossRef]
- Shi, Y.; Shi, D.; Zhou, L.; Fang, R. Identification of Ecosystem Services Supply and Demand Areas and Simulation of Ecosystem Service Flows in Shanghai. Ecol. Indic. 2020, 115, 106418. [Google Scholar] [CrossRef]
- Baró, F.; Palomo, I.; Zulian, G.; Vizcaino, P.; Haase, D.; Gómez-Baggethun, E. Mapping Ecosystem Service Capacity, Flow and Demand for Landscape and Urban Planning: A Case Study in the Barcelona Metropolitan Region. Land Use Policy 2016, 57, 405–417. [Google Scholar] [CrossRef]
- Bing, Z.; Qiu, Y.; Huang, H.; Chen, T.; Zhong, W.; Jiang, H. Spatial Distribution of Cultural Ecosystem Services Demand and Supply in Urban and Suburban Areas: A Case Study from Shanghai, China. Ecol. Indic. 2021, 127, 107720. [Google Scholar] [CrossRef]
- Fang, X.; Ma, Q.; Wu, L.; Liu, X. Distributional Environmental Justice of Residential Walking Space: The Lens of Urban Ecosystem Services Supply and Demand. J. Environ. Manag. 2023, 329, 117050. [Google Scholar] [CrossRef]
- Kohonen, T. Self-Organized Formation of Topologically Correct Feature Maps. Biol. Cybern. 1982, 43, 59–69. [Google Scholar] [CrossRef]
- Miljković, D. Brief Review of Self-Organizing Maps. In Proceedings of the 2017 40th International Convention on Information and Communication Technology, Electronics and Microelectronics (MIPRO), Opatija, Croatia, 22–26 May 2017; pp. 1061–1066. [Google Scholar]
- Rodríguez-Loinaz, G.; Alday, J.G.; Onaindia, M. Multiple Ecosystem Services Landscape Index: A Tool for Multifunctional Landscapes Conservation. J. Environ. Manag. 2015, 147, 152–163. [Google Scholar] [CrossRef]
- Shen, J.; Li, S.; Liang, Z.; Liu, L.; Li, D.; Wu, S. Exploring the Heterogeneity and Nonlinearity of Trade-Offs and Synergies among Ecosystem Services Bundles in the Beijing-Tianjin-Hebei Urban Agglomeration. Ecosyst. Serv. 2020, 43, 101103. [Google Scholar] [CrossRef]
- Li, Y.; Li, Y.; Zhou, Y.; Shi, Y.; Zhu, X. Investigation of a Coupling Model of Coordination between Urbanization and the Environment. J. Environ. Manag. 2012, 98, 127–133. [Google Scholar] [CrossRef] [PubMed]
- Wu, J.; Li, W.; Du, H.; Wan, Y.; Yang, S.; Xiao, Y. Nonlinear Responses of Coupled Socioecological Systems to Land Use and Climate Changes in the Yangtze River Basin. Sci. Rep. 2025, 15, 6940. [Google Scholar] [CrossRef] [PubMed]
- Wang, S.; Kong, W.; Ren, L.; Zhi, D.; Dai, B. Research on Misuses and Modification of Coupling Coordination Degree Model in China. J. Nat. Resour. 2021, 36, 793–810. [Google Scholar] [CrossRef]
- D’Amato, A.W.; Bradford, J.B.; Fraver, S.; Palik, B.J. Forest Management for Mitigation and Adaptation to Climate Change: Insights from Long-Term Silviculture Experiments. For. Ecol. Manag. 2011, 262, 803–816. [Google Scholar] [CrossRef]
- Capblancq, T.; Forester, B.R. Redundancy Analysis: A Swiss Army Knife for Landscape Genomics. Methods Ecol. Evol. 2021, 12, 2298–2309. [Google Scholar] [CrossRef]
- van den Wollenberg, A.L. Redundancy Analysis an Alternative for Canonical Correlation Analysis. Psychometrika 1977, 42, 207–219. [Google Scholar] [CrossRef]
- Casalegno, S.; Anderson, K.; Cox, D.T.C.; Hancock, S.; Gaston, K.J. Ecological Connectivity in the Three-Dimensional Urban Green Volume Using Waveform Airborne Lidar. Sci. Rep. 2017, 7, 45571. [Google Scholar] [CrossRef]
- Duan, W.; Jin, A.; Liu, X.; Li, H. Seasonal Variations and Spatial Mechanisms of 2D and 3D Green Indices in the Central Urban Area. Ecol. Indic. 2025, 178, 113828. [Google Scholar] [CrossRef]
- Li, L.; Kross, A.; Ziter, C.D.; Eicker, U. Analyzing Spatial Patterns of Urban Green Infrastructure for Urban Cooling and Social Equity. Urban For. Urban Green. 2025, 112, 128983. [Google Scholar] [CrossRef]
- Li, Z.; Wu, X.; Wu, J.; Liu, H. The Influence of Urban Landscape Ecology on Emotional Well-Being: A Case Study of Downtown Beijing. Land 2025, 14, 519. [Google Scholar] [CrossRef]
- Wang, X.; Guan, C. Assessing Green Space Exposure in High Density Urban Areas: A Deficiency-Sufficiency Framework for Shanghai. Ecol. Indic. 2025, 175, 113494. [Google Scholar] [CrossRef]
- Li, X.; Jiang, J.; Cifuentes-Faura, J. Coordinated Development and Sustainability of the Agriculture, Climate and Society System in China: Based on the PLE Analysis Framework. Land 2023, 12, 617. [Google Scholar] [CrossRef]
- Lin, H.; Yun, H. Spatiotemporal Dynamics of Ecosystem Services Driven by Human Modification over the Past Seven Decades: A Case Study of Sihu Agricultural Watershed, China. Land 2023, 12, 577. [Google Scholar] [CrossRef]
- Chen, Y.; Ge, Y.; Yang, G.; Wu, Z.; Du, Y.; Mao, F.; Liu, S.; Xu, R.; Qu, Z.; Xu, B.; et al. Inequalities of Urban Green Space Area and Ecosystem Services along Urban Center-Edge Gradients. Landsc. Urban Plan. 2022, 217, 104266. [Google Scholar] [CrossRef]
- Wang, X.-J. Analysis of Problems in Urban Green Space System Planning in China. J. For. Res. 2009, 20, 79–82. [Google Scholar] [CrossRef]
- Huang, Y.-Y.; Ma, T.-J. Using Edible Plant and Lightweight Expanded Clay Aggregate (LECA) to Strengthen the Thermal Performance of Extensive Green Roofs in Subtropical Urban Areas. Energies 2019, 12, 424. [Google Scholar] [CrossRef]
- Sheng, Q.; Ji, Y.; Jia, C.; Jiang, L.; Li, C.; Huang, Z.; Ma, C.; Zhang, X.; Chen, H.; Wang, T.; et al. Differential Effects of Cooling and Humidification in Urban Green Spaces and Thresholds of Vegetation Community Structure Parameters: A Case Study of the Yangtze River Delta Region. Cities 2025, 159, 105765. [Google Scholar] [CrossRef]
- Yang, B.; Ma, D.; Wang, X.; Dong, W.; He, S.; Zhou, Y.; Dong, D.; Shi, Y.; Wang, Y.; Zeng, S.; et al. From Benefit to Burden: Assessing the Full Range of Health Impacts in Urban Green Spaces Using a Threshold Model. J. Environ. Manag. 2025, 375, 124408. [Google Scholar] [CrossRef] [PubMed]
- Zheng, Y.; Hamm, N.A.S.; Lin, T.; Liu, J.; Zhou, T.; Ren, X.; Bai, X.; Geng, H.; Zhang, J.; Jia, Z.; et al. Quantitative Threshold Effects Identification of Urban Green Exposure on Multidimensional Human Health—A Case Study in Xiamen City, China. Urban For. Urban Green. 2025, 107, 128808. [Google Scholar] [CrossRef]
- Wang, G.; Salman, M.; Zhang, K. Exploring the Dynamic Spatial Spillover and Nonlinear Threshold Effect of Urbanization on Urban Green Development Efficiency in China. Ecol. Indic. 2025, 175, 113570. [Google Scholar] [CrossRef]
- Chun-Ping, L.; Wen-Bin, G.; Xiu-Zhen, F.; Ting-Ning, Z.; Jian-Gang, C.; Bao-Ping, S. Assessment of Landscape Ecology of Agricultural Protection Forest System at Beizang Town, Daxing County, Beijing. J. For. Res. 2003, 14, 135–140. [Google Scholar] [CrossRef]
- Sun, Q.; Zheng, B.; Liu, T.; Zhu, L.; Hao, X.; Han, Z. The Optimal Spacing Interval between Principal Shelterbelts of the Farm-Shelter Forest Network. Environ. Sci. Pollut. Res. 2022, 29, 12680–12693. [Google Scholar] [CrossRef] [PubMed]
- Xu, L.; You, H.; Li, D.; Yu, K. Urban Green Spaces, Their Spatial Pattern, and Ecosystem Service Value: The Case of Beijing. Habitat Int. 2016, 56, 84–95. [Google Scholar] [CrossRef]
- Sheng, S.; Wang, Y. Configuration Characteristics of Green-Blue Spaces for Efficient Cooling in Urban Environments. Sustain. Cities Soc. 2024, 100, 105040. [Google Scholar] [CrossRef]
- Lu, Y.; Qin, F. Improvements in the InVEST Water Purification Model for Detecting Spatio-Temporal Changesintotal Nitrogen and Total Phosphorus Discharges in the Huai River Watershed, China. J. Environ. Manag. 2024, 366, 121918. [Google Scholar] [CrossRef] [PubMed]
- Yu, K.; Duan, T.W.; Li, D.; Peng, J.F. Landscape Accessibility as a Measurement of the Function of Urban Green System. City Plan. Rev. 1999, 23, 11–43. [Google Scholar]




| Type | Format | Period | Data sources |
|---|---|---|---|
| Administrative boundaries | Vector | 2020 | National Catalog Service For Geographic Information https://www.webmap.cn (accessed on 1 October 2024). |
| Remote Sensing Imagery | Raster (1 km × 1 km) | August 2020 | MODIS MOD021KM dataset (LAADS DAAC https://ladsweb.modaps.eosdis.nasa.gov/ (accessed on 1 October 2024)) |
| Land cover data | Raster (1 m × 1 m) | 2020 | SinoLC1 Dataset [34] |
| Digital Elevation Model (DEM) | Raster (30 m × 30 m) | 2020 | ALOS PALSAR dataset (United States Geological Survey, https://glovis.usgs.gov/ (accessed on 1 October 2024)) |
| UGS data | Vector | 2020 | Open Street Map https://www.openstreetmap.org/ (accessed on 1 October 2024), supplemented by manual interpretation based on remote sensing imagery. |
| Building and Road network | Vector | 2020 | Open Street Map https://www.openstreetmap.org/ (accessed on 1 October 2024) |
| Mean annual precipitation (PRE) | Raster (1 km × 1 km) | 2020 | National Tibetan Plateau/Third Pole Environment Data Center http://data.tpdc.ac.cn (accessed on 1 October 2024) |
| Mean annual evapotranspiration (ET) | Raster (1 km × 1 km) | 2020 | National Tibetan Plateau/Third Pole Environment Data Center http://data.tpdc.ac.cn (accessed on 1 October 2024) |
| Soil attribute data | Raster (1 km × 1 km) | 2020 | National Tibetan Plateau/Third Pole Environment Data Center http://data.tpdc.ac.cn (accessed on 1 October 2024); HYSOGs250m dataset (ORNL DAAC https://daac.ornl.gov/ (accessed on 1 October 2024)) |
| Vegetation canopy height data | Raster (10 m × 10 m) | 2020 | The ETH Global Canopy Height 2020 product [35] |
| Scale Characteristic Indicators | Calculation Formula |
|---|---|
| Green Ratio (GR) | where Agi is the green space area within unit i; Ai is the area of unit i. |
| Tridimensional Green Volume (TGV) | where CH is the canopy height of the grid cell; Rx, Ry are the resolutions of the grid cell, with data of 10 m; Vi is the total three-dimensional green volume of unit i. |
| Largest Patch Index (LPI) | where aij is the area of green space patch j in unit i; max(aij) is the maximum area of green space patch j in unit i; Ai is the total area of unit i. |
| Mean Patch Index (MPI) | where aij is the area of green space patch j in unit i; n is the number of green space patches in unit i; Ai is the total area of unit i. |
| Patch Area Coefficient of Variation (PACV) | where aij is the area of green space patch j in unit i; n is the number of green space patches in unit i; Ai is the average area of green space patches in unit i. |
| Scale Characteristics Indicators | GR | TGV | LPI | MPI | PACV | |
|---|---|---|---|---|---|---|
| ESB1 | Explains % | 49.7 | 1 | 0.5 | 0.7 | <0.1 |
| Contribution % | 95.7 | 2 | 0.9 | 1.4 | <0.1 | |
| P | 0.002 | 0.002 | 0.012 | 0.002 | 0.354 | |
| ESB2 | Explains % | 14.3 | 0.2 | 0.8 | 0.1 | 3.3 |
| Contribution % | 76.2 | 1.3 | 4.5 | 0.6 | 17.3 | |
| P | 0.002 | 0.25 | 0.016 | 0.532 | 0.002 | |
| ESB3 | Explains % | 13.1 | 8.1 | 2.3 | <0.1 | 1.1 |
| Contribution % | 53.3 | 32.9 | 9.4 | 0.1 | 4.3 | |
| P | 0.002 | 0.002 | 0.006 | 0.944 | 0.144 | |
| ESB4 | Explains % | 21 | 1 | 1.4 | <0.1 | 2.7 |
| Contribution % | 80.1 | 3.9 | 5.3 | 0.4 | 10.3 | |
| P | 0.002 | 0.056 | 0.032 | 0.684 | 0.006 | |
| ESB5 | Explains % | 45.5 | 0.7 | 1.9 | 0.4 | 4.9 |
| Contribution % | 85.1 | 1.4 | 3.6 | 0.7 | 9.2 | |
| P | 0.002 | 0.002 | 0.002 | 0.006 | 0.002 | |
Disclaimer/Publisher’s Note: The statements, opinions and data contained in all publications are solely those of the individual author(s) and contributor(s) and not of MDPI and/or the editor(s). MDPI and/or the editor(s) disclaim responsibility for any injury to people or property resulting from any ideas, methods, instructions or products referred to in the content. |
© 2025 by the authors. Licensee MDPI, Basel, Switzerland. This article is an open access article distributed under the terms and conditions of the Creative Commons Attribution (CC BY) license (https://creativecommons.org/licenses/by/4.0/).
Share and Cite
Song, H.; Guo, Y.; Wang, M. Towards Smarter Urban Green Space Allocation: Investigating Scale-Dependent Impacts on Multiple Ecosystem Services. Land 2025, 14, 1853. https://doi.org/10.3390/land14091853
Song H, Guo Y, Wang M. Towards Smarter Urban Green Space Allocation: Investigating Scale-Dependent Impacts on Multiple Ecosystem Services. Land. 2025; 14(9):1853. https://doi.org/10.3390/land14091853
Chicago/Turabian StyleSong, Haoyang, Yixin Guo, and Min Wang. 2025. "Towards Smarter Urban Green Space Allocation: Investigating Scale-Dependent Impacts on Multiple Ecosystem Services" Land 14, no. 9: 1853. https://doi.org/10.3390/land14091853
APA StyleSong, H., Guo, Y., & Wang, M. (2025). Towards Smarter Urban Green Space Allocation: Investigating Scale-Dependent Impacts on Multiple Ecosystem Services. Land, 14(9), 1853. https://doi.org/10.3390/land14091853

