Spatial–Temporal Characteristics and Influencing Factors of Carbon Emission Performance: A Comparative Analysis Between Provincial and Prefectural Levels from Global and Local Perspectives
Abstract
1. Introduction
2. Materials and Methods
2.1. Research Methodology
2.1.1. CEP Measurement
2.1.2. Spatial Autocorrelation Model
2.1.3. Static Spatial Durbin Model (SDM) and Dynamic Spatial Durbin Model (DSDM)
2.1.4. Spatiotemporal Geographically Weighted Regression (GTWR)
2.2. Variable Definition
2.3. Study Area and Data Sources
3. Results
3.1. Comparative Analysis of Spatial–Temporal Characteristics of CEP
3.1.1. Comparative Analysis of CEP at Two Levels
3.1.2. Comparative Spatial Autocorrelation of CEP at Two Levels
3.2. Comparative Analysis of SDM and DSDM Regression Results
3.2.1. Selection of Model
3.2.2. Regression Results of SDM and DSDM
3.3. Comparative Analysis of GTWR Results
3.3.1. Performance of GTWR Results
3.3.2. Regression Coefficients of GTWR Model
4. Discussion
4.1. Difference in CEP at Two Levels
4.2. Difference in CEP’s Influencing Factors at Two Levels
4.3. Policy Implications
5. Conclusions
- (1)
- From 2003 to 2020, CEP exhibited a steady upward trend at both levels, with the average CEP at the provincial level consistently higher than that at the prefectural level. Higher CEP values were found in Northeast and Central China, while North and Northwest China exhibited relatively lower CEP. Moran’s I indices of CEP at both levels were positive, and the prefectural-level Moran’s I was higher than the provincial-level Moran’s I. Provincial-level Local Moran’s I identified 1–2 L–L clusters during 2003–2020, while the prefectural-level Local Moran’s I revealed 14–23 H–H(26–25 L–L) clusters during 2003–2020, demonstrating significantly richer spatial patterns at prefectural level.
- (2)
- The contributions of influencing factors to CEP vary significantly between provinces and prefectural cities. The spatial interaction term (W×CEP) also shows a positive impact on CEP, passing the 5% significance level test in all cases. From a global perspective based on the DSDM, the terms are ranked as CEP_lag > P_built > W×CEP > lnFVC, whereas at the prefectural level, the ranking is CEP_lag > rho > W×CEP > P_built. Notably, socioeconomic factors such as GDP2 and GDP3 are more statistically significant at the prefectural level.
- (3)
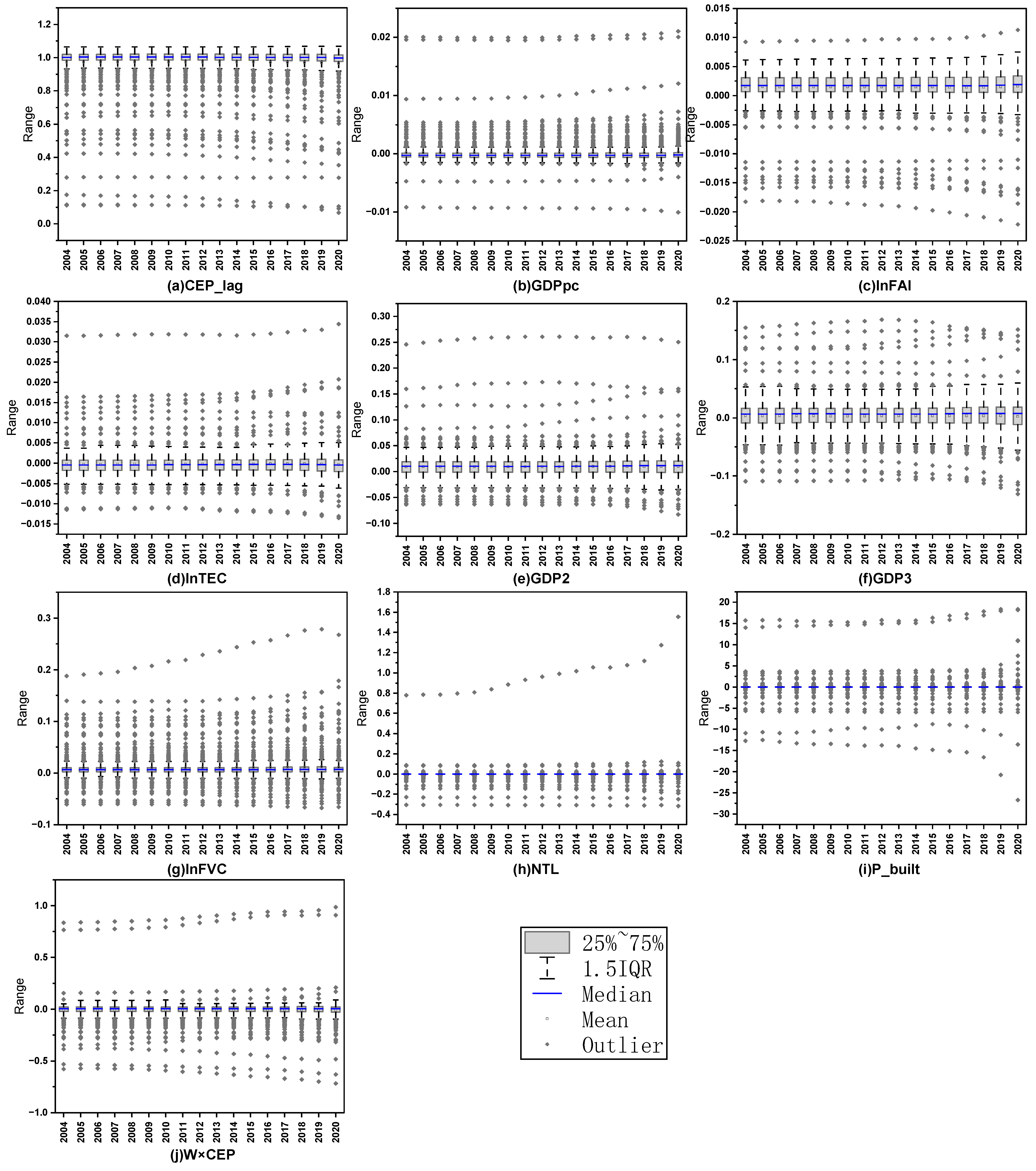
- The local regression results demonstrate substantial spatiotemporal heterogeneity in the factors influencing CEP across both provincial and prefectural levels. The distributions of GDPpc, lnFAI, lnTEC, and P_built exhibit increasingly anomalous outliers and extreme values over time, with NTL and P_built displaying particularly pronounced fluctuations. The GTWR coefficients for CEP_lag, lnFVC, and W×CEP show the most marked scale-dependent variations, with significant differences observed between provincial and prefectural levels. Furthermore, land-use variables (P_built and NTL) manifest irregular spatial patterns, indicating their non-stationary impacts on CEP across space and time.
Author Contributions
Funding
Data Availability Statement
Acknowledgments
Conflicts of Interest
References
- Joseph, V.R.; Mustaffa, N.K. Carbon emissions management in construction operations: A systematic review. Eng. Constr. Archit. Manag. 2023, 30, 1271–1299. [Google Scholar] [CrossRef]
- Miao, X.; Feng, E.H.; Siu, Y.L.; Li, S.S.; Wong, C.W.Y. Can China’s carbon intensity constraint policies improve carbon emission performance? Evidence from regional carbon emissions. J. Environ. Manag. 2023, 348, 119268. [Google Scholar] [CrossRef]
- Lu, H.Y.; Meng, H.L.; Lu, C.Z.; Shang, D.; Wang, D.; Jin, H. The mechanism for selecting low carbon urban experimentation cases in the literature and its impact on carbon emission performance. J. Clean. Prod. 2023, 420, 138191. [Google Scholar] [CrossRef]
- Li, W.; Ji, Z.; Dong, F. Spatio-temporal evolution relationships between provincial CO2 emissions and driving factors using geographically and temporally weighted regression model. Sustain. Cities Soc. 2022, 81, 103836. [Google Scholar] [CrossRef]
- Shan, Y.; Guan, Y.; Hang, Y.; Zheng, H.; Li, Y.; Guan, D.; Li, J.; Zhou, Y.; Li, L.; Hubacek, K. City-level emission peak and drivers in China. Sci. Bull. 2022, 67, 1910–1920. [Google Scholar] [CrossRef]
- Yang, J.; Feng, X.; Li, Y.; He, C.; Wang, S.; Li, F. How Does Urban Scale Influence Carbon Emissions? Land 2024, 13, 1254. [Google Scholar] [CrossRef]
- Gao, Z.; Xia, E.; Lin, S.; Xu, J.; Tao, C.; Yu, C. Carbon emission efficiency and regional synergistic peaking strategies in Beijing-Tianjin-Hebei region. Carbon Neutrality 2024, 3, 19. [Google Scholar] [CrossRef]
- Li, J.; Cheng, Z. Study on total-factor carbon emission efficiency of China’s manufacturing industry when considering technology heterogeneity. J. Clean. Prod. 2020, 260, 121021. [Google Scholar] [CrossRef]
- Wang, S.; Wang, H.; Zhang, L.; Dang, J. Provincial Carbon Emissions Efficiency and Its Influencing Factors in China. Sustainability 2019, 11, 2355. [Google Scholar] [CrossRef]
- Zhou, Z.; Liu, C.; Zeng, X.; Jiang, Y.; Liu, W. Carbon emission performance evaluation and allocation in Chinese cities. J. Clean. Prod. 2018, 172, 1254–1272. [Google Scholar] [CrossRef]
- Zhou, A.; Li, J. Impact of policy combinations on carbon emission performance: Evidence from China. Clean Technol. Environ. Policy 2024, 26, 3069–3088. [Google Scholar] [CrossRef]
- Zhao, Z.Y.; Zhao, Y.H.; Shi, X.P.; Zheng, L.; Fan, S.A.; Zuo, S.M. Green innovation and carbon emission performance: The role of digital economy. Energy Policy 2024, 195, 114344. [Google Scholar] [CrossRef]
- Zhao, M.; Sun, T.; Feng, Q. A study on evaluation and influencing factors of carbon emission performance in China’s new energy vehicle enterprises. Environ. Sci. Pollut. Res. Int. 2021, 28, 57334–57347. [Google Scholar] [CrossRef] [PubMed]
- Xiao, Y.; Ma, D.; Zhang, F.; Zhao, N.; Wang, L.; Guo, Z.; Zhang, J.; An, B.; Xiao, Y. Spatiotemporal differentiation of carbon emission efficiency and influencing factors: From the perspective of 136 countries. Sci. Total Environ. 2023, 879, 163032. [Google Scholar] [CrossRef]
- Li, S.; Diao, H.; Wang, L.; Li, L. A complete total-factor CO2 emissions efficiency measure and “2030•60 CO2 emissions targets” for Shandong Province, China. J. Clean. Prod. 2022, 360, 132230. [Google Scholar] [CrossRef]
- He, J.; Yang, J. Spatial–Temporal Characteristics and Influencing Factors of Land-Use Carbon Emissions: An Empirical Analysis Based on the GTWR Model. Land 2023, 12, 1506. [Google Scholar] [CrossRef]
- Gao, Z.; Li, S.; Cao, X.; Li, Y. Carbon Emission Intensity Characteristics and Spatial Spillover Effects in Counties in Northeast China: Based on a Spatial Econometric Model. Land 2022, 11, 753. [Google Scholar] [CrossRef]
- Wang, S.; Fang, C.; Guan, X.; Pang, B.; Ma, H. Urbanisation, energy consumption, and carbon dioxide emissions in China: A panel data analysis of China’s provinces. Appl. Energy 2014, 136, 738–749. [Google Scholar] [CrossRef]
- Zheng, Y.; Sun, X.; Zhang, C.; Wang, D.; Mao, J. Can Emission Trading Scheme Improve Carbon Emission Performance? Evidence From China. Front. Energy Res. 2021, 9, 759572. [Google Scholar] [CrossRef]
- Ma, R.; Zhang, Z.; Lin, B. Evaluating the synergistic effect of digitalization and industrialization on total factor carbon emission performance. J. Environ. Manag. 2023, 348, 119281. [Google Scholar] [CrossRef]
- Feng, X.H.; Lin, X.L.; Li, Y.; Yang, J.Y.; Yu, E.; Lei, K.G. Spatial association network of carbon emission performance: Formation mechanism and structural characteristics. Socio-Econ. Plan. Sci. 2024, 91, 101792. [Google Scholar] [CrossRef]
- Zhang, X.; Zhou, J.; Wu, R.; Wang, S. Spatial network analysis and driving forces of urban carbon emission performance: Insights from Guangdong Province. Sci. Total Environ. 2024, 951, 175538. [Google Scholar] [CrossRef]
- Wang, S.; Wang, Z.; Fang, C. Evolutionary characteristics and driving factors of carbon emission performance at the city level in China. Sci. China Earth Sci. 2022, 65, 1292–1307. [Google Scholar] [CrossRef]
- Li, Y.; Hou, W.; Zhu, W.; Li, F.; Liang, L. Provincial carbon emission performance analysis in China based on a Malmquist data envelopment analysis approach with fixed-sum undesirable outputs. Ann. Oper. Res. 2021, 304, 233–261. [Google Scholar] [CrossRef]
- Zhao, Z.; Ren, J.; Liu, Z. How Does Urbanization Affect Carbon Emission Performance? Evidence from 282 Cities in China. Sustainability 2023, 15, 15498. [Google Scholar] [CrossRef]
- Dong, G.L.; Huang, Y.; Zhang, Y.L.; Zhao, D.Q.; Wang, W.J.; Liao, C.P. Drivers of carbon intensity decline during the new economic normal: A multilevel decomposition of the Guangdong case. J. Clean. Prod. 2024, 437, 140631. [Google Scholar] [CrossRef]
- Lv, Y.; Liu, J.; Cheng, J.; Andreoni, V. The persistent and transient total factor carbon emission performance and its economic determinants: Evidence from China’s province-level panel data. J. Clean. Prod. 2021, 316, 128198. [Google Scholar] [CrossRef]
- Guo, Y.; Li, X.; Li, S. Green Technology Innovation and Carbon Emission Performance of the Middle Reaches of the Yangtze River Urban Agglomeration: Mechanism and Spatio-Temporal Evolution. Energies 2024, 17, 5274. [Google Scholar] [CrossRef]
- Meng, Q.G.; Chen, X.L.; Wang, H.; Shen, W.F.; Duan, P.X.; Liu, X.Y. Spatiotemporal evolution and driving factors of the synergistic effects of pollution control and carbon reduction in China. Ecol. Indic. 2025, 170, 113103. [Google Scholar] [CrossRef]
- Li, L.; Li, J.; Peng, L.; Wang, X.; Sun, S. Spatiotemporal evolution and influencing factors of land-use emissions in the Guangdong-Hong Kong-Macao Greater Bay Area using integrated nighttime light datasets. Sci. Total Environ. 2023, 893, 164723. [Google Scholar] [CrossRef]
- Zhao, Z.; Yuan, T.; Shi, X.; Zhao, L. Heterogeneity in the relationship between carbon emission performance and urbanization: Evidence from China. Mitig. Adapt. Strateg. Glob. Change 2020, 25, 1363–1380. [Google Scholar] [CrossRef] [PubMed]
- Liu, D.; Liu, W.; He, Y. How Does the Intensive Use of Urban Construction Land Improve Carbon Emission Efficiency?—Evidence from the Panel Data of 30 Provinces in China. Land 2024, 13, 2133. [Google Scholar] [CrossRef]
- Xu, Y.; Liu, Z.; Walker, T.R.; Adams, M.; Dong, H. Spatio-temporal patterns and spillover effects of synergy on carbon dioxide emission and pollution reductions in the Yangtze River Delta region in China. Sustain. Cities Soc. 2024, 107, 105419. [Google Scholar] [CrossRef]
- Wang, S.; Gao, S.; Huang, Y.; Shi, C. Spatiotemporal evolution of urban carbon emission performance in China and prediction of future trends. J. Geogr. Sci. 2020, 30, 757–774. [Google Scholar] [CrossRef]
- Zhang, W.; Liu, X.; Zhao, S.; Tang, T. Does green finance agglomeration improve carbon emission performance in China? A perspective of spatial spillover. Appl. Energy 2024, 358, 122561. [Google Scholar] [CrossRef]
- Qiao, W.; Xie, Y.; Liu, J.; Huang, X. The Impacts of Urbanization on Carbon Emission Performance: New Evidence from the Yangtze River Delta Urban Agglomeration, China. Land 2024, 14, 12. [Google Scholar] [CrossRef]
- Wen, H.; Yu, H.; Nghiem, X.-H. Impact of urban sprawl on carbon emission efficiency: Evidence from China. Urban Clim. 2024, 55, 101986. [Google Scholar] [CrossRef]
- Li, S.; Sun, Z.L.; Wen, R.B.; Yang, H.; Li, J.J.; Chen, T.T.; Zheng, Y.S.; Zhu, N. Spatiotemporal patterns and the influence mechanism of urban landscape pattern on carbon emission performance: Evidence from Chinese cities. Sustain. Cities Soc. 2025, 118, 106042. [Google Scholar] [CrossRef]
- Meng, Q.; Li, B.; Zheng, Y.; Zhu, H.; Xiong, Z.; Li, Y.; Li, Q. Multi-Scenario Prediction Analysis of Carbon Peak Based on STIRPAT Model-Take South-to-North Water Diversion Central Route Provinces and Cities as an Example. Land 2023, 12, 2035. [Google Scholar] [CrossRef]
- Jiang, P.; Gong, X.; Yang, Y.; Tang, K.; Zhao, Y.; Liu, S.; Liu, L. Research on spatial and temporal differences of carbon emissions and influencing factors in eight economic regions of China based on LMDI model. Sci. Rep. 2023, 13, 7965. [Google Scholar] [CrossRef]
- Wu, G.; Cui, S.; Wang, Z. The role of renewable energy investment and energy resource endowment in the evolution of carbon emission efficiency: Spatial effect and the mediating effect. Environ. Sci. Pollut. Res. Int. 2023, 30, 84563–84582. [Google Scholar] [CrossRef] [PubMed]
- Wang, B.; Zhang, C.H. Toward transition and upgrading: Carbon emission performance and its influencing factors in China’s energy-intensive industries. Environ. Dev. Sustain. 2025, 1–29. [Google Scholar] [CrossRef]
- Liang, X.; Min, F.; Xiao, Y.; Yao, J. Temporal-spatial characteristics of energy-based carbon dioxide emissions and driving factors during 2004–2019, China. Energy 2022, 261, 124965. [Google Scholar] [CrossRef]
- Wang, Y.; Chen, W.; Kang, Y.; Li, W.; Guo, F. Spatial correlation of factors affecting CO2 emission at provincial level in China: A geographically weighted regression approach. J. Clean. Prod. 2018, 184, 929–937. [Google Scholar] [CrossRef]
- He, Y.L.; Zhang, X.H.; Pu, N.; Wu, C.Y.; Tang, W. Spatiotemporal pattern and driving factors of atmospheric CO2 concentrations based on satellite remote sensing from 2001 to 2022 in central Yunnan plateau. Ecol. Indic. 2025, 173, 113371. [Google Scholar] [CrossRef]
- Gao, S.; Sun, D.Q.; Wang, S.J. Do development zones increase carbon emission performance of China’s cities? Sci. Total Environ. 2023, 863, 160784. [Google Scholar] [CrossRef] [PubMed]
- Liu, Q.; Wu, S.; Lei, Y.; Li, S.; Li, L. Exploring spatial characteristics of city-level CO2 emissions in China and their influencing factors from global and local perspectives. Sci. Total Environ. 2021, 754, 142206. [Google Scholar] [CrossRef]
- Zhu, K.; Tu, M.; Li, Y. Did Polycentric and Compact Structure Reduce Carbon Emissions? A Spatial Panel Data Analysis of 286 Chinese Cities from 2002 to 2019. Land 2022, 11, 185. [Google Scholar] [CrossRef]
- Ma, Y.; Zhang, Z.; Yang, Y. Calculation of carbon emission efficiency in China and analysis of influencing factors. Environ. Sci. Pollut. Res. 2023, 30, 111208–111220. [Google Scholar] [CrossRef]
- Jiang, F.; Chen, B.; Li, P.; Jiang, J.; Zhang, Q.; Wang, J.; Deng, J. Spatio-temporal evolution and influencing factors of synergizing the reduction of pollution and carbon emissions—Utilizing multi-source remote sensing data and GTWR model. Environ. Res. 2023, 229, 115775. [Google Scholar] [CrossRef]
- Xu, Q.Y.; Yao, L.; Shi, K.F.; Zhou, W.; Tang, X.G. Spatiotemporal analysis of the impact of green finance on carbon dioxide emissions based on panel data of cities in China. Int. J. Digit. Earth 2025, 18, 2457969. [Google Scholar] [CrossRef]
- Xiang, W.M.; Liu, T.; Gan, L. Spatiotemporal heterogeneity of the influence of industrial linkage on building carbon emission. J. Build. Eng. 2025, 100, 111772. [Google Scholar] [CrossRef]
- Wang, Z.P.; Li, K.M. Can green finance exorcize the resource curse in China’s resource-based cities? A geographically and temporally weighted regression (GTWR) analysis. J. Environ. Manag. 2025, 375, 124184. [Google Scholar] [CrossRef]
- Abudureheman, M.; Yiming, A. The impact of energy-saving R&D on urban carbon emission performance: Evidence from 218 prefecture-level cities in China. Front. Environ. Sci. 2024, 12, 1385363. [Google Scholar] [CrossRef]
- You, X.J.; Chen, Z.Q. Interaction and mediation effects of economic growth and innovation performance on carbon emissions: Insights from 282 Chinese cities. Sci. Total Environ. 2022, 831, 154910. [Google Scholar] [CrossRef] [PubMed]
- Song, M.; Gao, Y.; Zhang, L.; Dong, F.; Zhao, X.; Wu, J. Spatiotemporal evolution and driving factors of carbon emission efficiency of resource-based cities in the Yellow River Basin of China. Environ. Sci. Pollut. Res. 2023, 30, 96795–96807. [Google Scholar] [CrossRef]
- Li, J.; Zhou, Y.P.; Chen, H.Y. Measurement, influencing factors and prediction on carbon emission performance of countries along the Belt and Road. Clean Technol. Environ. Policy 2024, 26, 821–838. [Google Scholar] [CrossRef]
- Wang, X.; Yu, H.; Wu, Y.; Zhou, C.; Li, Y.; Lai, X.; He, J. Spatio-Temporal Dynamics of Carbon Emissions and Their Influencing Factors at the County Scale: A Case Study of Zhejiang Province, China. Land 2024, 13, 381. [Google Scholar] [CrossRef]
- Liu, Q.; Song, J.; Dai, T.; Shi, A.; Xu, J.; Wang, E. Spatio-temporal dynamic evolution of carbon emission intensity and the effectiveness of carbon emission reduction at county level based on nighttime light data. J. Clean. Prod. 2022, 362, 132301. [Google Scholar] [CrossRef]
- Shi, K.; Yu, B.; Zhou, Y.; Chen, Y.; Yang, C.; Chen, Z.; Wu, J. Spatiotemporal variations of CO2 emissions and their impact factors in China: A comparative analysis between the provincial and prefectural levels. Appl. Energy 2019, 233–234, 170–181. [Google Scholar] [CrossRef]
- Dai, B.-t.; Zhi, D.-d.; Ren, L.; Kong, W.; Wang, S.-j. Research on misuses and modification of coupling coordination degree model in China. J. Nat. Resour. 2021, 36, 793–810. [Google Scholar] [CrossRef]
- Jianmin, Z.; Yang, Y.; Jingyuan, H.; Xiaoxuan, K. Can urbanization improve carbon performance? Front. Environ. Sci. 2024, 12, 1431324. [Google Scholar] [CrossRef]
- Zhang, H.; Geng, C.; Wei, J. Coordinated development between green finance and environmental performance in China: The spatial-temporal difference and driving factors. J. Clean. Prod. 2022, 346, 131150. [Google Scholar] [CrossRef]
- Espoir, D.K.; Sunge, R. CO2 emissions and economic development in Africa: Evidence from a dynamic spatial panel model. J. Env. Manag. 2021, 300, 113617. [Google Scholar] [CrossRef]
- Chen, X.; He, Q.; Ye, T.; Liang, Y.; Li, Y. Decoding spatiotemporal dynamics in atmospheric CO2 in Chinese cities: Insights from satellite remote sensing and geographically and temporally weighted regression analysis. Sci. Total Environ. 2024, 908, 167917. [Google Scholar] [CrossRef]








| Variable Symbol | Provincial Level | Prefectural Level | ||||||||
|---|---|---|---|---|---|---|---|---|---|---|
| Quantity | Mean | Minimum | Maximum | Standard Deviation | Quantity | Mean | Minimum | Maximum | Standard Deviation | |
| CEP | 558 | 0.259 | 0.000 | 0.697 | 0.102 | 5997 | 0.174 | 0.000 | 1.000 | 0.080 |
| GDPpc | 558 | 3.942 | 0.391 | 17.509 | 2.982 | 5997 | 3.714 | 0.069 | 31.974 | 3.323 |
| lnFAI | 558 | 3.810 | 2.127 | 4.742 | 0.520 | 5997 | 15.406 | 4.949 | 18.992 | 1.409 |
| lnGGI | 558 | 2.737 | 0.847 | 3.929 | 0.553 | 5997 | 11.112 | 5.041 | 16.028 | 1.632 |
| lnTEC | 558 | 5.891 | 4.376 | 6.621 | 0.414 | 5997 | 11.091 | 5.749 | 13.601 | 1.055 |
| GDP2 | 558 | 0.424 | 0.160 | 0.620 | 0.084 | 5997 | 0.453 | 0.000 | 0.910 | 0.122 |
| GDP3 | 558 | 0.464 | 0.298 | 0.837 | 0.092 | 5997 | 0.396 | 0.000 | 0.839 | 0.100 |
| lnFVC | 558 | 1.879 | 1.252 | 1.989 | 0.156 | 5997 | 4.345 | 1.596 | 4.596 | 0.449 |
| NTL | 558 | 0.974 | 0.001 | 17.104 | 2.262 | 5997 | 0.702 | 0.000 | 20.472 | 1.677 |
| P_build | 558 | 0.061 | 0.000 | 0.325 | 0.078 | 5997 | 0.059 | 0.000 | 0.441 | 0.072 |
| Unit | Test Type | Statistical Value | Unit | Test Type | Statistical Value |
|---|---|---|---|---|---|
| Provincial | LM-spatial error | 63.936 *** | Prefectural | LM-spatial error | 229.24 *** |
| Robust-LM-spatial error | 42.395 *** | Robust-LM-spatial error | 107.18 *** | ||
| LM-spatial lag | 23.005 *** | LM-spatial lag | 167.2 *** | ||
| Robust-LM-spatial lag | 1.4638 | Robust-LM-spatial lag | 45.136 *** | ||
| Hausman | 103.92 *** | Hausman | 686.9 *** | ||
| Wald-spatial error | 1.143 | Wald-spatial error | 41.93 *** | ||
| Wald-spatial lag | 10.593 ** | Wald-spatial lag | 63.84 *** |
| Variable | Provincial Level | Prefectural Level | ||||||
|---|---|---|---|---|---|---|---|---|
| SDM | DSDM | SDM | DSDM | |||||
| CEP | Std. Error | CEP | Std. Error | CEP | Std. Error | CEP | Std. Error | |
| CEP_lag | 0.8145 *** | 0.029 | 0.8698 *** | 0.006 | ||||
| GDPpc | 0.003 ** | 0.001 | −0.0009 | 0.001 | 0.0001 | 0.000 | 0 | 0.000 |
| lnFAI | −0.0194 ** | 0.007 | −0.0057 | 0.005 | 0.0002 | 0.000 | 0.0008 ** | 0.000 |
| lnTEC | −0.0176 | 0.012 | −0.0108 | 0.010 | 0.0008 | 0.001 | 0.0025 *** | 0.001 |
| GDP2 | −0.1306 ** | 0.055 | 0.0231 | 0.034 | 0.0136 ** | 0.005 | 0.031 *** | 0.005 |
| GDP3 | −0.0894 | 0.066 | 0.004 | 0.043 | 0.0058 | 0.006 | 0.0202 *** | 0.005 |
| lnFVC | −0.3452 *** | 0.049 | −0.1506 *** | 0.041 | 0.003 | 0.003 | −0.0025 | 0.003 |
| NTL | −0.0009 | 0.001 | 0.0012 | 0.001 | −0.0008 ** | 0.000 | 0.0005 | 0.000 |
| P_built | −0.4843 *** | 0.118 | −0.3022 ** | 0.099 | 0.0254 | 0.021 | −0.0592 ** | 0.021 |
| W×CEP | 1.1305 *** | 0.055 | 0.1678 ** | 0.052 | 1.0834 *** | 0.009 | 0.0831 *** | 0.010 |
| rho | −0.7295 *** | 0.059 | −0.0664 | 0.062 | −1.0594 *** | 0.015 | 0.1283 *** | 0.020 |
| R2 | 0.974 | 0.988 | 0.963 | 0.985 | ||||
| AIC | −966 | −1407 | 2839 | −3567 | ||||
| BIC | −924 | −1360 | 2906 | −3494 | ||||
| Variable | Provincial Level | Prefectural Level | ||||
|---|---|---|---|---|---|---|
| OLS | GWR | GTWR | OLS | GWR | GTWR | |
| adjusted R2 | 0.974 | 0.987 | 0.986 | 0.981 | 0.983 | 0.983 |
| AIC | −2847 | −3269 | −3244 | −35055 | −35862 | −35875 |
| Scale | Provincial Level | Prefectural Level | ||||||||
|---|---|---|---|---|---|---|---|---|---|---|
| Variable | Minimum Value | 1/4 Quantile | Median | 3/4 Quantile | Maximum Value | Minimum Value | 1/4 Quantile | Median | 3/4 Quantile | Maximum Value |
| Intercept | −1.5150 | −0.3752 | 0.0598 | 0.2092 | 3.1965 | −1.1005 | −0.0779 | −0.0528 | −0.0318 | 0.5291 |
| CEP_lag | 0.1157 | 0.4241 | 0.6134 | 0.7654 | 1.0173 | 0.0669 | 0.9836 | 1.0024 | 1.0203 | 1.0690 |
| GDPpc | −0.0460 | −0.0014 | 0.0012 | 0.0105 | 0.0309 | −0.0101 | −0.0006 | −0.0003 | 0.0001 | 0.0211 |
| lnFAI | −0.0377 | −0.0076 | 0.0025 | 0.0198 | 0.2700 | −0.0222 | 0.0006 | 0.0018 | 0.0031 | 0.0113 |
| lnTEC | −0.3798 | −0.0601 | −0.0343 | −0.0198 | 0.1300 | −0.0135 | −0.0018 | −0.0004 | 0.0008 | 0.0344 |
| GDP2 | −0.5380 | −0.1279 | −0.0052 | 0.1428 | 1.0808 | −0.0831 | −0.0013 | 0.0103 | 0.0193 | 0.2609 |
| GDP3 | −0.5312 | −0.0376 | 0.0832 | 0.1994 | 1.2186 | −0.1309 | −0.0096 | 0.0067 | 0.0167 | 0.1686 |
| lnFVC | −1.4613 | −0.0462 | 0.1557 | 0.3004 | 0.7783 | −0.0677 | 0.0022 | 0.0063 | 0.0110 | 0.2781 |
| NTL | −3.9850 | −0.0272 | −0.0024 | 0.0074 | 1.2340 | −0.3156 | −0.0022 | −0.0003 | 0.0003 | 1.5540 |
| P_built | −628.2600 | −0.3580 | −0.0744 | 0.1304 | 3.6737 | −26.6760 | −0.0113 | 0.0025 | 0.0452 | 18.4060 |
| W×CEP | −0.4765 | −0.0848 | 0.0539 | 0.2800 | 2.0557 | −0.7158 | −0.0220 | 0.0047 | 0.0231 | 0.9830 |
Disclaimer/Publisher’s Note: The statements, opinions and data contained in all publications are solely those of the individual author(s) and contributor(s) and not of MDPI and/or the editor(s). MDPI and/or the editor(s) disclaim responsibility for any injury to people or property resulting from any ideas, methods, instructions or products referred to in the content. |
© 2025 by the authors. Licensee MDPI, Basel, Switzerland. This article is an open access article distributed under the terms and conditions of the Creative Commons Attribution (CC BY) license (https://creativecommons.org/licenses/by/4.0/).
Share and Cite
Zhang, Y.-X.; Zhang, Y.-S. Spatial–Temporal Characteristics and Influencing Factors of Carbon Emission Performance: A Comparative Analysis Between Provincial and Prefectural Levels from Global and Local Perspectives. Land 2025, 14, 1146. https://doi.org/10.3390/land14061146
Zhang Y-X, Zhang Y-S. Spatial–Temporal Characteristics and Influencing Factors of Carbon Emission Performance: A Comparative Analysis Between Provincial and Prefectural Levels from Global and Local Perspectives. Land. 2025; 14(6):1146. https://doi.org/10.3390/land14061146
Chicago/Turabian StyleZhang, Yi-Xin, and Yi-Shan Zhang. 2025. "Spatial–Temporal Characteristics and Influencing Factors of Carbon Emission Performance: A Comparative Analysis Between Provincial and Prefectural Levels from Global and Local Perspectives" Land 14, no. 6: 1146. https://doi.org/10.3390/land14061146
APA StyleZhang, Y.-X., & Zhang, Y.-S. (2025). Spatial–Temporal Characteristics and Influencing Factors of Carbon Emission Performance: A Comparative Analysis Between Provincial and Prefectural Levels from Global and Local Perspectives. Land, 14(6), 1146. https://doi.org/10.3390/land14061146
