Assessing Service Accessibility and Optimizing the Spatial Layout of Elderly Canteens: A Case Study of Nanjing, China
Abstract
1. Introduction
2. Literature Review
2.1. The Dilemma of Elderly Canteen Services: The Conflict Between “Market” and “Society”
2.2. Research on the Spatial Layout of Elderly Care Services
2.3. From Diagnosis to Optimization: The Evolution of Spatial Analysis Methods
3. Materials and Methods
3.1. Study Area
3.2. Policy and Market Context
3.3. Research Data
3.4. Research Methods
3.4.1. Lorenz Curve and Gini Coefficient: Macro Diagnosis of Supply–Demand Equity
3.4.2. G2SFCA: Micro-Level Accessibility Assessment
- Walking Mode: Existing research shows that the habitual walking speed of seniors (ranging from 4.54–4.79 km/h) is generally lower than that of average adults [56]. This study adopted the average value of 4.67 km/h to represent the average speed of seniors in normal health under favorable walking conditions. We introduced Tobler’s hiking function to correct for the impact of terrain slope on walking speed.
- Micromobility Mode: Considering the diversity of vehicle types (e.g., electric bikes, tricycles), this study set the average riding speed at 17.5 km/h. This was based on China’s national road safety regulations regarding the maximum design speed for electric bikes, combined with general urban road operating conditions. This speed represents an ideal state of travel on compliant and unobstructed micromobility lanes. An exponential decay penalty model was introduced to correct for slope.
- Bus and Car Modes: No slope correction was applied to these modes. The average speed for bus was set at 22.5 km/h. For car, speeds were assigned according to the road hierarchy—80 km/h for highways, 60 km/h for primary roads, 40 km/h for secondary roads, and 20 km/h for local roads.
- The model calculation involved the following two steps:
3.4.3. Three-Dimensional Supply–Demand and Accessibility Classification: Identifying Potential Optimization Areas
- Demand Dimension: This is measured by the number of seniors aged 65 and above within a grid cell. A value higher than the city-wide average is classified as “high demand,” and vice versa for “low demand.”
- Supply Dimension: This is measured by the number of existing elderly canteens within a grid cell. A value higher than the city-wide average is classified as “high supply,” and vice versa for “low supply.”
- Accessibility Dimension: This is measured by the accessibility index under the micromobility mode, as calculated in this study. A value higher than the city-wide average is classified as “high accessibility,” and vice versa for “low accessibility.”
3.4.4. XGBoost Model: Screening for High-Potential Candidate Sites
4. Results
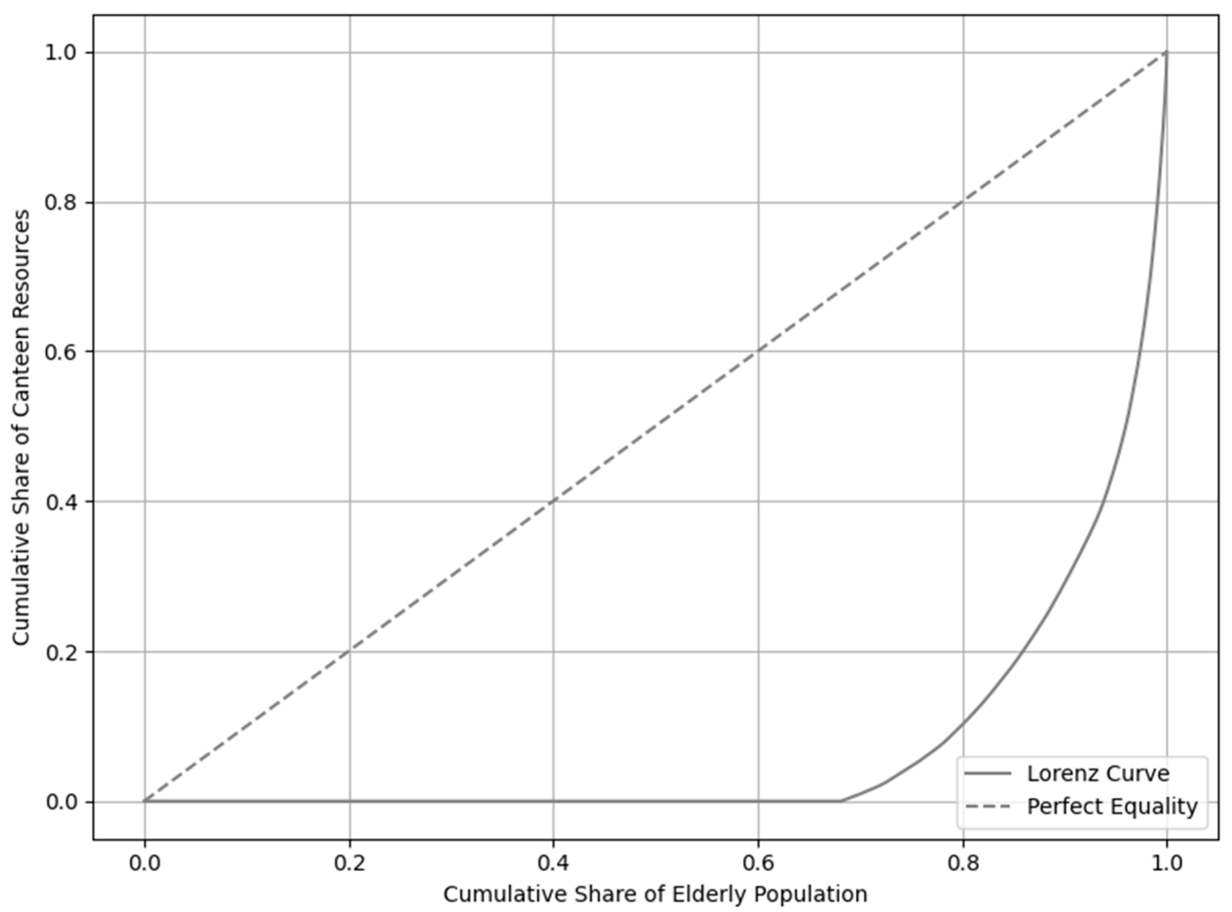
4.1. Spatial Imbalance and Resource Inequity: Diagnosing the Supply–Demand Conflict
4.2. False Equity and Service Deprivation: A Multi-Dimensional Analysis of Spatial Accessibility
4.3. Facility Layout Optimization
4.3.1. Identification of Potential Optimization Areas
4.3.2. Results of the Site Selection Optimization
5. Discussion and Conclusions
5.1. Key Findings and Theoretical Contributions
5.2. Policy Implications
5.3. Limitations and Future Research
5.4. Conclusions
Author Contributions
Funding
Data Availability Statement
Acknowledgments
Conflicts of Interest
References
- United Nations Department for Economic and Social Affairs. World Population Prospects 2024: Summary of Results; United Nations: New York, NY, USA, 2024; ISBN 978-92-1-003169-1. [Google Scholar]
- Central People’s Government of the People’s Republic of China China’s Economy Is Running Steadily with Progress. Available online: https://www.gov.cn/lianbo/bumen/202501/content_6999754.htm (accessed on 24 May 2025).
- Wiles, J.L.; Leibing, A.; Guberman, N.; Reeve, J.; Allen, R.E.S. The Meaning of “Aging in Place” to Older People. Gerontologist 2012, 52, 357–366. [Google Scholar] [CrossRef] [PubMed]
- Beijing Municipal Committee on Aging Notice on the Issuance of the “14th Five-Year Plan for the Development of Aging Services in Beijing”. Available online: https://www.beijing.gov.cn/zhengce/gfxwj/sj/202111/t20211126_2545746.html (accessed on 28 June 2025).
- Shanghai Municipal People’s Government Notice on the Issuance of the “11th Five-Year Development Plan for Civil Affairs in Shanghai”. Available online: https://www.shanghai.gov.cn/nw16920/20200820/0001-16920_10052.html (accessed on 28 June 2025).
- Yan, S. Unmet Community Care Needs and the Well-Being of Older Adults in China. Innov. Aging 2024, 8, 6. [Google Scholar] [CrossRef]
- Juckett, L.A.; Hariharan, G.; Dodonova, D.C.; Klaus, J.; Rowe, M.; Burak, E.; Mason, B.; Bunck, L. Implementing a Community-Based Initiative to Improve Nutritional Intake Among Home-Delivered Meal Recipients. Nutrients 2022, 14, 944. [Google Scholar] [CrossRef]
- Fleury, S.; Tronchon, P.; Rota, J.; Meunier, C.; Mardiros, O.; Van Wymelbeke-Delannoy, V.; Sulmont-Rossé, C. The Nutritional Issue of Older People Receiving Home-Delivered Meals: A Systematic Review. Front. Nutr. 2021, 8, 629580. [Google Scholar] [CrossRef]
- Middleton, G.; Patterson, K.A.; Muir-Cochrane, E.; Velardo, S.; McCorry, F.; Coveney, J. The Health and Well-Being Impacts of Community Shared Meal Programs for Older Populations: A Scoping Review. Innov. Aging 2022, 6, igac068. [Google Scholar] [CrossRef] [PubMed]
- Wang, X.; Liu, M.; Li, Y.; Guo, C.; Yeh, C.H. Community Canteen Services for the Rural Elderly: Determining Impacts on General Mental Health, Nutritional Status, Satisfaction with Life, and Social Capital. BMC Public Health 2020, 20, 230. [Google Scholar] [CrossRef]
- Lloyd, J.L.; Wellman, N.S. Older Americans Act Nutrition Programs: A Community-Based Nutrition Program Helping Older Adults Remain at Home. J. Nutr. Gerontol. Geriatr. 2015, 34, 90–109. [Google Scholar] [CrossRef]
- Selvamani, Y.; Arokiasamy, P.; Chaudhary, M. Association between Food Insecurity and Quality of Life Among Older Adults (60+) in Six Low and Middle-Income Countries. Arch. Gerontol. Geriatr. 2023, 114, 105079. [Google Scholar] [CrossRef]
- Ren, Y.; Lai, Y.; Shen, L.; Liu, Y. Towards an Elderly-Friendly Society: How Much Has the Elderly’s Well-Being Been Taken into Account in the Provision of Urban Public Services? J. Urban Manag. 2025, 14, 896–912. [Google Scholar] [CrossRef]
- Walton, K.; Charlton, K.E.; Manning, F.; McMahon, A.T.; Galea, S.; Evans, K. The Nutritional Status and Energy and Protein Intakes of MOW Clients and the Need for Further Targeted Strategies to Enhance intakes. Appetite 2015, 95, 528–532. [Google Scholar] [CrossRef]
- Cheng, T.; Liu, C.; Yang, H.; Wang, N.; Liu, Y. From Service Capacity to Spatial Equity: Exploring a Multi-Stage Decision-Making Approach for Optimizing Elderly-Care Facility Distribution in the City Centre of Tianjin, China. Sustain. Cities Soc. 2022, 85, 104076. [Google Scholar] [CrossRef]
- Feng, H.; Tang, X.; Zou, C. Optimizing the Layout of Service Facilities for Older People Based on POI Data and Machine Learning: Guangzhou City as an Example. Land 2024, 13, 700. [Google Scholar] [CrossRef]
- Juckett, L.A.; Nikahd, M.; Hyer, J.M.; Klaus, J.N.; Rowe, M.L.; Bunck, L.E.; Hariharan, G. Preliminary Evaluation of Home-Delivered Meals for Reducing Frailty in Older Adults at Risk for Mal-Nutrition. J. Nutr. Health Aging 2024, 28, 100283. [Google Scholar] [CrossRef] [PubMed]
- Seo, S.; Kim, O.Y.; Ahn, J. Healthy Eating Exploratory Program for the Elderly: Low Salt Intake in Congregate Meal Service. J. Nutr. Health Aging 2016, 20, 316–324. [Google Scholar] [CrossRef]
- Marnfeldt, K.; Estenson, L.; Rowan, J.; Wilber, K. Caregiving and COVID-19: Perspectives from a Care Coach. Innov. Aging 2021, 5, 930. [Google Scholar] [CrossRef]
- Kvæl, L.A.H. Ageing in Place or Stuck in Place: A Critical Qualitative Study on Older Adults’ Independence Across Six Municipalities in Norway. Soc. Sci. Med. 2025, 375, 118098. [Google Scholar] [CrossRef]
- Zou, X.; Zhou, Y.; Lu, Y. Addressing ‘Difficulty in Dining’ Among Older Adults: Optimizing Community Senior Dining Halls from External and Internal Built Environments. Humanit. Soc. Sci. Commun. 2024, 11, 1361. [Google Scholar] [CrossRef]
- Jian, I.Y.; Chan, E.H.; Xu, Y.; Owusu, E.K. Inclusive Public Open Space for All: Spatial Justice with Health Considerations. Habitat. Int. 2021, 118, 102457. [Google Scholar] [CrossRef]
- Ning, W.; Yang, Y.; Lu, M.; Han, X. Equity in Walking Access to Community Home Care Facility Resources for Elderly with Different Mobility: A Case Study of Lianhu District, Xi’an. PLoS ONE 2022, 17, e0277310. [Google Scholar] [CrossRef]
- Rémillard-Boilard, S.; Buffel, T.; Phillipson, C. Developing Age-Friendly Cities and Communities: Eleven Case Studies from around the World. Int. J. Environ. Res. Public Health 2020, 18, 133. [Google Scholar] [CrossRef]
- Świąder, M.; Aslanoğlu, R.; Chrobak, G.J.; Ivan, L.; Perek-Białas, J.M.; Dikken, J.; van Hoof, J.; Kazak, J.K. Shaping Age-Friendly Cities and Communities: A Geospatial Approach to the Assessment of Four Cities in Europe. Cities 2025, 166, 106247. [Google Scholar] [CrossRef]
- Zheng, T.; Ma, X.; Cheng, X. Spatial Pattern and Influencing Factors of Urban Elderly Meal Assistance Facilities: A Case Study from Beijing, China, Based on Multi-Source Data. J. Asian Archit. Build. Eng. 2025, 2536778. [Google Scholar] [CrossRef]
- Wang, F.; Zhou, H.; Lv, C.; Song, X. Analysis of Distribution Equilibrium and Influencing Factors for Older Adult Meal Service Facilities in Mainland China. Front. Public Health 2025, 13, 1578827. [Google Scholar] [CrossRef] [PubMed]
- Zhang, F.; Li, D.; Ahrentzen, S.; Zhang, J. Assessing Spatial Disparities of Accessibility to Community-Based Service Resources for Chinese Older Adults Based on Travel Behavior: A City-Wide Study of Nanjing, China. Habitat. Int. 2019, 88, 101984. [Google Scholar] [CrossRef]
- Li, M.; Peng, P.; Zhu, H.; Ao, Y.; Zhou, Z. Exploring the Equitable Spatial Planning on the Accessibility of Institutional Elderly Care in Megacity: A Study Based on Chengdu, China. Sustain. Cities Soc. 2024, 117, 105998. [Google Scholar] [CrossRef]
- Zhou, S.; Shen, X.; Jiang, W. Spatial Accessibility and Supply–Demand Analysis of Elderly Dining Services in Beijing. Prof. Geogr. 2016, 68, 674–685. [Google Scholar] [CrossRef]
- Dai, G.; Li, R.; Ma, S. Research on the Equity of Health Resource Allocation in TCM Hospitals in China Based on the Gini Coefficient and Agglomeration Degree: 2009–2018. Int. J. Equity Health 2022, 21, 145. [Google Scholar] [CrossRef]
- Wang, C.; Geng, X. Assessing the Spatial Equity of the Aged Care Institutions Based on the Improved Potential Model: A Case Study in Shanghai, China. Front. Public Health 2024, 12, 1428424. [Google Scholar] [CrossRef]
- Liu, L.; Lyu, H.; Zhao, Y.; Zhou, D. An Improved Two-Step Floating Catchment Area (2SFCA) Method for Measuring Spatial Accessibility to Elderly Care Facilities in Xi’an, China. Int. J. Environ. Res. Public Health 2022, 19, 11465. [Google Scholar] [CrossRef]
- Shao, Y.; Luo, W. Supply-Demand Adjusted Two-Steps Floating Catchment Area (SDA-2SFCA) Model for Measuring Spatial Access to Health Care. Soc. Sci. Med. 2022, 296, 114727. [Google Scholar] [CrossRef]
- Beaumont, J.R. Location-Allocation Problems in a Plane a Review of Some Models. Socio-Econ. Plan. Sci. 1981, 15, 217–229. [Google Scholar] [CrossRef]
- Zhou, X.; Cao, K. Spatial Multi-Objective Optimization of Institutional Elderly-Care Facilities: A Case Study in Shanghai. Int. J. Appl. Earth Obs. Geoinf. 2023, 122, 103436. [Google Scholar] [CrossRef]
- Dorosan, M.; Dailisan, D.; Valenzuela, J.F.; Monterola, C. Use of Machine Learning in Understanding Transport Dynamics of Land Use and Public Transportation in a Developing City. Cities 2024, 144, 104587. [Google Scholar] [CrossRef]
- Cao, J.; Tao, T. Using Machine-Learning Models to Understand Nonlinear Relationships between Land Use and Travel. Transp. Res. Part D Transp. Environ. 2023, 123, 103930. [Google Scholar] [CrossRef]
- Liu, B.; Deng, Y.; Li, M.; Yang, J.; Liu, T. Classification Schemes and Identification Methods for Urban Functional Zone: A Review of Recent Papers. Appl. Sci. 2021, 11, 9968. [Google Scholar] [CrossRef]
- Tu, X.; Fu, C.; Huang, A.; Chen, H.; Ding, X. DBSCAN Spatial Clustering Analysis of Urban “Production–Living–Ecological” Space Based on POI Data: A Case Study of Central Urban Wuhan, China. Int. J. Environ. Res. Public Health 2022, 19, 5153. [Google Scholar] [CrossRef]
- Jun, M.-J. A Comparison of a Gradient Boosting Decision Tree, Random Forests, and Artificial Neural Networks to Model Urban Land Use Changes: The Case of the Seoul Metropolitan Area. Int. J. Geogr. Inf. Sci. 2021, 35, 2149–2167. [Google Scholar] [CrossRef]
- Sun, Y.; Zhu, D.; Li, Y.; Wang, R.; Ma, R. Spatial Modelling the Location Choice of Large-Scale Solar Photovoltaic Power Plants: Application of Interpretable Machine Learning Techniques and the National Inventory. Energy Convers. Manag. 2023, 289, 117198. [Google Scholar] [CrossRef]
- Nanjing Municipal Statistics Bureau Statistical Communiqué on the 2023 National Economic and Social Development of Nanjing. Available online: https://tjj.nanjing.gov.cn/bmfw/njsj/202405/t20240511_4663449.html (accessed on 21 August 2025).
- Nanjing Civil Affairs Bureau “2023 Nanjing Elderly Population Information and Aging-Related Development Report” Released. Available online: https://mzj.nanjing.gov.cn/njsmzj/mzdt/202406/t20240613_4690010.html (accessed on 10 June 2025).
- Nanjing Civil Affairs Bureau Notice on the Implementation Plan for the Nanjing “Ningxiang Meal Assistance” Enhancement Action. Available online: https://www.nanjing.gov.cn/xxgkn/zfgb/202409/t20240927_4775291.html (accessed on 11 October 2025).
- Fotheringham, A.S.; Wong, D.W.S. The Modifiable Areal Unit Problem in Multivariate Statistical Analysis. Environ. Plan. A 1991, 23, 1025–1044. [Google Scholar] [CrossRef]
- Zhou, X.; Yeh, A.G.O. Understanding the Modifiable Areal Unit Problem and Identifying Appropriate Spatial Unit in Jobs–Housing Balance and Employment Self-Containment Using Big Data. Transportation 2021, 48, 1267–1283. [Google Scholar] [CrossRef]
- Chen, Z.; Huang, B. Achieving Urban Vibrancy Through Effective City Planning: A Spatial and Temporal Perspective. Cities 2024, 152, 105230. [Google Scholar] [CrossRef]
- Wang, S.; He, J.; Ma, R.; Cheng, Z.; Ding, H. A Comprehensive Vector Dataset of Bus Networks Across China for the Year 2024. Sci. Data 2025, 12, 524. [Google Scholar] [CrossRef]
- Delbosc, A.; Currie, G. Using Lorenz Curves to Assess Public Transport Equity. J. Transp. Geogr. 2011, 19, 1252–1259. [Google Scholar] [CrossRef]
- Gu, M.; Li, S.; Zheng, G. Optimizing Spatial Accessibility and Equity of Hierarchical Older Adult Care Facilities Using a Multi-Modal Two-Step Floating Catchment Area Method: A Case Study of Lin’an District, Hangzhou. Front. Public Health 2025, 13, 1559463. [Google Scholar] [CrossRef]
- Sun, H.; Jing, P.; Liu, Y.; Wang, D.; Wang, B.; Xu, M. The Causal Effect of Private Transport on Life Satisfaction among Older Adults and the Mediation Effect of Social Participation in China. Cities 2024, 148, 104865. [Google Scholar] [CrossRef]
- Zhang, Y.; Li, C.; Ding, C.; Zhao, C.; Huang, J. The Built Environment and the Frequency of Cycling Trips by Urban Elderly: Insights from Zhongshan, China. J. Asian Archit. Build. Eng. 2016, 15, 511–518. [Google Scholar] [CrossRef]
- Ministry of Commerce and Other 8 Departments Notice on Strengthening Efforts to Promote the Expansion and Upgrading of the Construction of Urban 15-Minute Convenient Living Circles. Available online: https://www.gov.cn/lianbo/bumen/202509/content_7041324.htm (accessed on 13 October 2025).
- GB 55011-2021; Code for Urban Road Traffic Engineering Projects. Ministry of Housing and Urban-Rural Development: Beijing, China, 2021. Available online: https://www.chinesestandard.net/PDF/English.aspx/GB55011-2021 (accessed on 22 May 2025).
- Kawai, H.; Obuchi, S.; Hirayama, R.; Watanabe, Y.; Hirano, H.; Fujiwara, Y.; Ihara, K.; Kim, H.; Kobayashi, Y.; Mochimaru, M.; et al. Intra-Day Variation in Daily Outdoor Walking Speed Among Community-Dwelling Older Adults. BMC Geriatr. 2021, 21, 417. [Google Scholar] [CrossRef]
- Chen, T.; Guestrin, C. XGBoost: A Scalable Tree Boosting System. In Proceedings of the 22nd ACM SIGKDD International Conference on Knowledge Discovery and Data Mining; Association for Computing Machinery, New York, NY, USA, 13 August 2016; pp. 785–794. [Google Scholar]
- Lundberg, S.M.; Lee, S.-I. A Unified Approach to Interpreting Model Predictions. In Proceedings of the Advances in Neural Information Processing Systems, Long Beach, CA, USA, 4–9 December 2017; Curran Associates, Inc.: La Jolla, CA, USA, 2017; Volume 30, p. 10. [Google Scholar]
- Feng, J.; Yang, Z. Nanjing shi chengshi laonianren chuxing xingwei de yingxiang yinsu [Factors influencing travel behavior of urban elderly people in Nanjing]. Dili Kexue Jinzhan [Prog. Geogr.] 2015, 34, 1598–1608. (In Chinese) [Google Scholar]
- Hao, M.; Wang, X.; Hou, S.; Zhang, Q.; Xue, T. The Elderly Acceptance of Autonomous Vehicle Services in Beijing, China. Int. Rev. Spat. Plan. Sustain. Dev. 2023, 11, 64–84. [Google Scholar] [CrossRef]
- Tsai, W.-C.; Chen, X. Understanding the Key Factors of Older Adults’ Continuance Intention in Congregate Meal Halls. Foods 2021, 10, 2638. [Google Scholar] [CrossRef] [PubMed]
- Song, H.; Ji, K.; Sun, T. Subsidy Policy Selection of Elderly Care Service Projects under Uncertain Actual Demand: A Real Options Analysis Based on China’s Experience. BMC Geriatr. 2022, 22, 49. [Google Scholar] [CrossRef] [PubMed]









| Data Name | Data Source | Quantity |
|---|---|---|
| Elderly Canteens | Nanjing Civil Affairs Bureau, A Map, Baidu Maps | 1218 |
| Population Aged 65 and Over | 2020 China Population Census by County | 1646 grid cells |
| Urban Road Network | OpenStreetMap | N/A |
| Urban Bus Routes | A Map | N/A |
| Digital Elevation Model (DEM) | Geospatial Data Cloud | N/A |
| Restaurants | A Map | 11,910 |
| Government Agencies and Social Organizations | A Map | 9030 |
| Administrative District | Area of Priority Zones (km2) | Recommended Restaurants | Recommended Institutional Canteens | Total Recommended Sites |
|---|---|---|---|---|
| Liuhe | 230.65 | 1 | 11 | 12 |
| Pukou | 111.59 | 0 | 5 | 5 |
| Jiangning | 1005.942 | 56 | 76 | 132 |
| Yuhuatai | 0 | 0 | 0 | 0 |
| Jianye | 0 | 0 | 0 | 0 |
| Gulou | 0 | 0 | 0 | 0 |
| Qinhuai | 0 | 0 | 0 | 0 |
| Xuanwu | 0 | 0 | 0 | 0 |
| Qixia | 0 | 0 | 0 | 0 |
| Lishui | 63.34 | 0 | 0 | 0 |
| Gaochun | 422.09 | 2 | 10 | 12 |
| Total | 1833.61 | 59 | 102 | 161 |
Disclaimer/Publisher’s Note: The statements, opinions and data contained in all publications are solely those of the individual author(s) and contributor(s) and not of MDPI and/or the editor(s). MDPI and/or the editor(s) disclaim responsibility for any injury to people or property resulting from any ideas, methods, instructions or products referred to in the content. |
© 2025 by the authors. Licensee MDPI, Basel, Switzerland. This article is an open access article distributed under the terms and conditions of the Creative Commons Attribution (CC BY) license (https://creativecommons.org/licenses/by/4.0/).
Share and Cite
Wei, X.; Yuan, X.; Xie, Y. Assessing Service Accessibility and Optimizing the Spatial Layout of Elderly Canteens: A Case Study of Nanjing, China. Land 2025, 14, 2272. https://doi.org/10.3390/land14112272
Wei X, Yuan X, Xie Y. Assessing Service Accessibility and Optimizing the Spatial Layout of Elderly Canteens: A Case Study of Nanjing, China. Land. 2025; 14(11):2272. https://doi.org/10.3390/land14112272
Chicago/Turabian StyleWei, Xiaoli, Xu Yuan, and Yong Xie. 2025. "Assessing Service Accessibility and Optimizing the Spatial Layout of Elderly Canteens: A Case Study of Nanjing, China" Land 14, no. 11: 2272. https://doi.org/10.3390/land14112272
APA StyleWei, X., Yuan, X., & Xie, Y. (2025). Assessing Service Accessibility and Optimizing the Spatial Layout of Elderly Canteens: A Case Study of Nanjing, China. Land, 14(11), 2272. https://doi.org/10.3390/land14112272

