Spatio-Temporal Dynamics of Land Use and Land Cover Change in the Agricultural Plains of Cul-de-Sac, Maribahoux, and Léogâne (1997–2024): An Analysis Using Remote Sensing and Landscape Metrics
Abstract
1. Introduction
2. Materials and Methods
2.1. Study Area

2.2. Data Selection and Acquisition
2.3. Preprocessing of Landsat Images
2.4. Supervised Classification of Landsat Images
2.5. Subdivision of Study Areas
2.6. Highlighting the Dynamics of Change
3. Results
3.1. Validation of Supervised Classifications and Land Cover Mapping
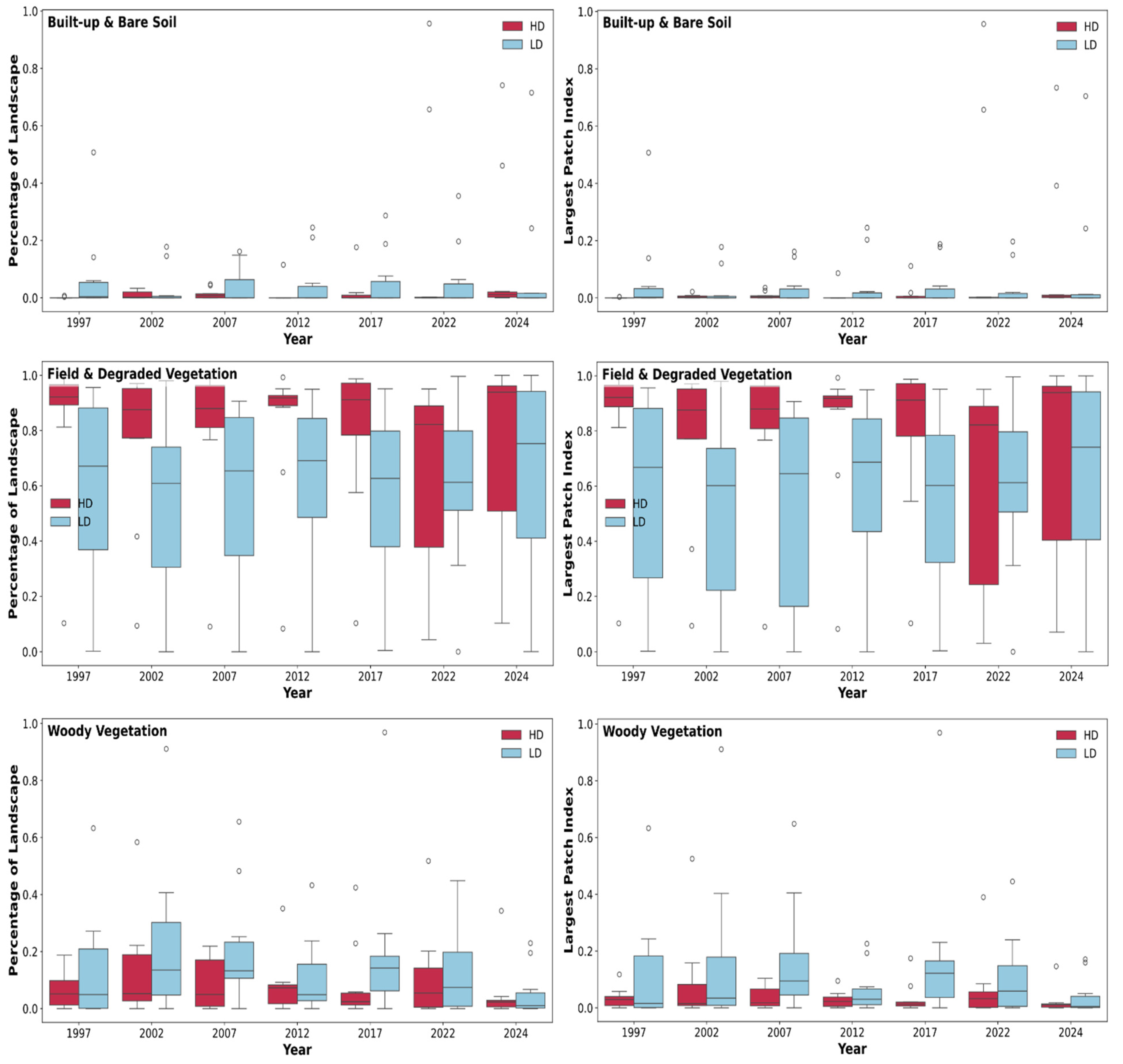
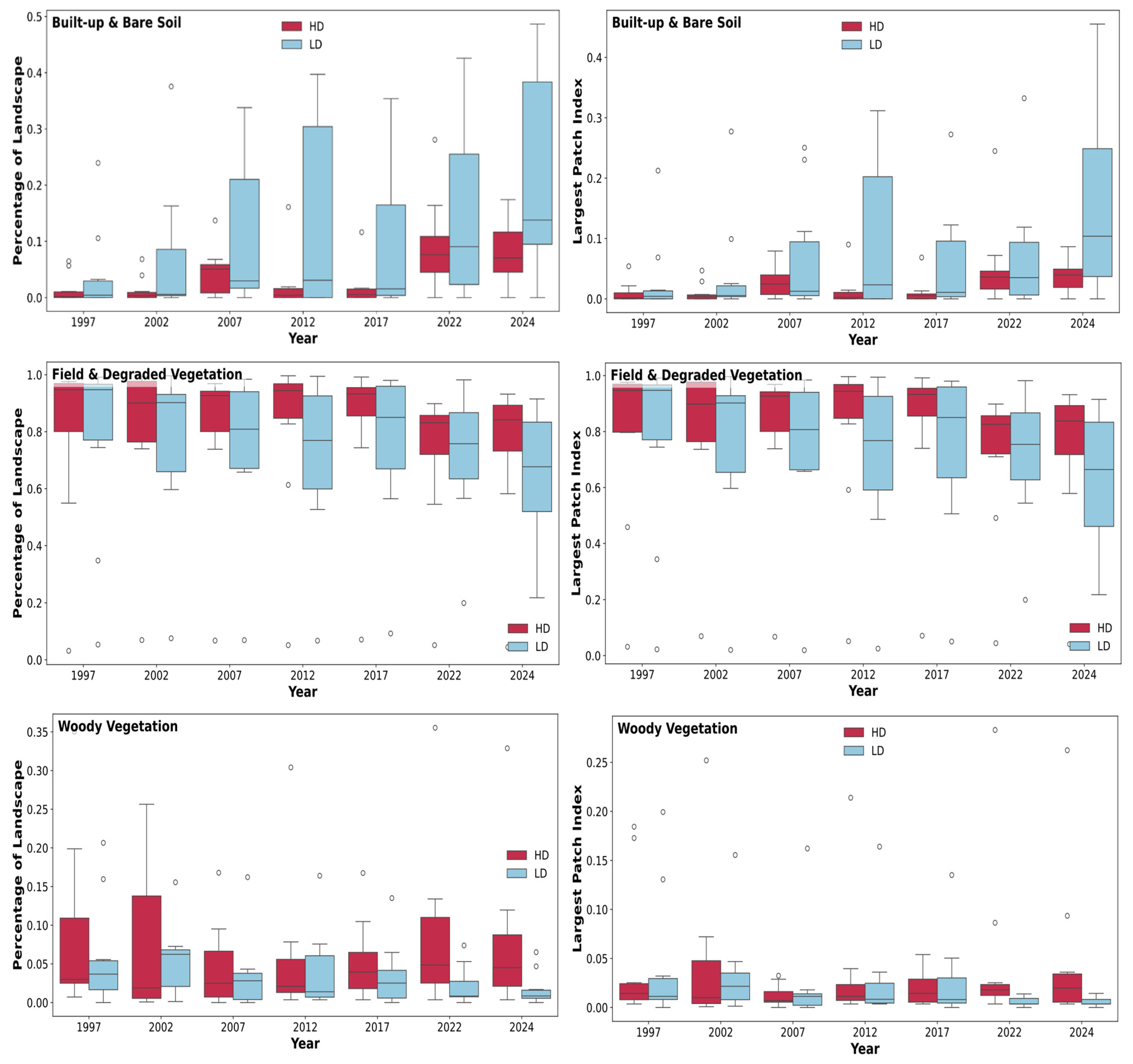
3.2. Landscape Configuration and Composition at the Landscape Scale
3.3. Landscape Configuration and Composition Based on the Demographic Gradient
4. Discussion
4.1. Methodological Approach
4.2. Urbanization: A Threat to the Preservation of Agricultural Land in Haiti’s Plains
4.3. Implications for the Planning and Development of Agricultural Plains
5. Conclusions
Author Contributions
Funding
Data Availability Statement
Acknowledgments
Conflicts of Interest
References
- World Bank. Agriculture for Development. In World Development Report; World Bank: Washington, DC, USA, 2008. [Google Scholar]
- Food and Agriculture Organization of the United Nations (FAO). Building a Common Vision for Sustainable Food and Agriculture: Principles and Approaches; Food and Agriculture Organization of the United Nations (FAO): Rome, Italy, 2014. [Google Scholar]
- Food and Agriculture Organization of the United Nations (FAO). Employment Indicators 2000–2022. October 2024 Update; FAOSTAT Analytical Brief, No. 92; FAO: Rome, Italy, 2024; pp. 2–6. [Google Scholar]
- World Bank. Agriculture, Forestry, and Fishing, Value Added (% of GDP)|Data. Available online: https://data.worldbank.org/indicator/NV.AGR.TOTL.ZS (accessed on 31 May 2025).
- United Nations Department of Economic and Social Affairs Population Division. World Population Prospects 2024: Summary of Results (UN DESA/POP/2024/TR/NO. 9); United Nations Department of Economic and Social Affairs Population Division: New York, NY, USA, 2024. [Google Scholar]
- Augusseau, X.; Bourgoin, J.; David, D.; Degenne, P.; Lagabrielle, E.; Lestrelin, G.; Lo Seen, D. Spatial–Temporal Models and Simulations as “Boundary Objects”: The Case of Urban Sprawl on Réunion Island. Chapter 9. In Éditions Quæ; OpenEdition: Marseille, France, 2018; ISBN 9782759230297. [Google Scholar]
- Salomon, W.; Sikuzani, Y.U.; Kouakou, A.T.M.; Kaleba, S.C.; Barthelemy, J.P.; Bogaert, J. Characterization of Land-Use Dynamics in the Urban and Peri-Urban Areas of Cap-Haïtien (Haiti) from 1986 to 2017. Tropicultura 2020, 38, 1–17. [Google Scholar] [CrossRef]
- D’Amour, C.B.; Reitsma, F.; Baiocchi, G.; Barthel, S.; Güneralp, B.; Erb, K.H.; Haberl, H.; Creutzig, F.; Seto, K.C. Future urban land expansion and implications for global croplands. Proc. Natl. Acad. Sci. USA 2016, 114, 8939–8944. [Google Scholar] [CrossRef]
- United Nations. World Urbanization Prospects: The 2014 Revision, (ST/ESA/SER.A/366); United Nations: New York, NY, USA, 2015. [Google Scholar]
- Mohamed Soilihi, T.; Gremillet, D.; Karam, A. Land-Use Conflicts and Land-Use Planning in the French Overseas Territories. Information Report N° 616 (2016–2017); Le Sénat: Paris, France, 2017. [Google Scholar]
- Institut Haïtien de Statistique et d’Informatique. IHSI Total Population, Population Aged 18 and over, Households and Densities Estimated in 2015; Institut Haïtien de Statistique et d’Informatique (IHSI): Port-au-Prince, Haiti, 2015. [Google Scholar]
- Lozano-Gracia, N.; Lozano, M.G. Haitian Cities: Actions for Today with an Eye on Tomorrow; The World Bank: Washington, DC, USA, 2017. [Google Scholar]
- Ministère de l’Agriculture, des Ressources Naturelles et du Développent Rural. Haiti National Agricultural Investment Plan. Available online: https://faolex.fao.org/docs/pdf/hai146377.pdf (accessed on 30 May 2025).
- Bogaert, J.; Halleux, J.-M. Peri-Urban territories. In Development, Challenges and Perspectives in the Global Sout; Presses Agronomiques de Gembloux: Gembloux, Belgium, 2015. [Google Scholar]
- Seto, K.C.; Fragkias, M.; Güneralp, B.; Reilly, M.K. A Meta-analysis of global urban land expansion. PLoS ONE 2011, 6, e23777. [Google Scholar] [CrossRef]
- Angel, S. Urban Expansion: Theory, evidence and practice. Build. Cities 2023, 4, 124–138. [Google Scholar] [CrossRef]
- Yu, D.; Wang, D.; Li, W.; Liu, S.; Zhu, Y.; Wu, W.; Zhou, Y. Decreased landscape ecological security of peri-urban cultivated land following rapid urbanization: An impediment to sustainable agriculture. Sustainability 2018, 10, 394. [Google Scholar] [CrossRef]
- Chen, Y.; Wen, Q.; Zhang, H. The impact of the fragmentation of the cultivated land on “non-Grain” Usage. Arch. Agron. Soil. Sci. 2025, 71, 1–22. [Google Scholar] [CrossRef]
- Salomon, W.; Sikuzani, Y.U.; Sambieni, K.R.; Kouakou, A.T.M.; Barima, Y.S.S.; Théodat, J.M.; Bogaert, J. Land cover dynamics along the urban–rural gradient of the Port-au-Prince agglomeration (Republic of Haiti) from 1986 to 2021. Land 2022, 11, 355. [Google Scholar] [CrossRef]
- United States International Development Agency; United States Department of Agriculture; Natural Resources Conservation Service; Haiti Ministry of Agriculture. Soil Survey of Cul de Sac, Haiti; Natural Resources Conservation Service: Washington, DC, USA, 2014.
- Ministère de L’agriculture des Ressources Naturelles et du Développement Rural(MARNDR). Diagnosis of Production Systems for Reviving Agricultural Extension in the Project Communes of RESEPAG II and PTTA: Borgne, Bahon, Saint-Raphaël, Grison-Garde (Nord), Ferrier (Bas Maribahoux), Ouanaminthe (Haut Maribahoux), Mont-Organisé and Carice; Ministère de L’agriculture des Ressources Naturelles et du Développement Rural (MARNDR): Port-au-Prince, Haïti, 2015. [Google Scholar]
- Guerrier, N. Study of Population Vulnerability in the Léogâne plain (Haiti) to Flood Risk. Master’s Thesis, Arlon Campus Environnement, Gembloux Agro-Bio Tech, University of Liège, Liège, Belgium, 2015. [Google Scholar]
- WorldPop (www.worldpop.org–School of Geography and Environmental Science, University of Southampton; Department of Geography and Geosciences, University of Louisville; Department of Geography, University of Namur) and Center for International Earth Science Information Network (CIESIN), Columbia University (2018). Global High-Resolution Population Denominators Project–Funded by the Bill and Melinda Gates Foundation (OPP1134076). Available online: https://hub.worldpop.org/geodata/summary?id=46640 (accessed on 20 January 2025).
- Noi Phan, T.; Kuch, V.; Lehnert, L.W. Land cover classification using Google Earth Engine and Random Forest classifier-the role of image composition. Remote Sens. 2020, 12, 2411. [Google Scholar] [CrossRef]
- Sayler, K.; Zanter, K. Landsat 4–7 Level 2 Science Product (L2SP) Guide; Version 4.0; U.S. Geological Survey (USGS): Reston, VA, USA, 2021.
- Padró, J.C.; Pons, X.; Aragonés, D.; Díaz-Delgado, R.; García, D.; Bustamante, J.; Pesquer, L.; Domingo-Marimon, C.; González-Guerrero, Ò.; Cristóbal, J.; et al. Radiometric correction of simultaneously acquired Landsat-7/Landsat-8 and Sentinel-2A imagery using pseudoinvariant areas (PIA): Contributing to the Landsat time series legacy. Remote Sens. 2017, 9, 1319. [Google Scholar] [CrossRef]
- Biaou, S.; Houeto, F.; Gouwakinnou, G.; Sorotori, S.; Biaou, H.; Awessou, B.; Tovihessi, S.; Tete, R. Spatio-temporal dynamics of land-use in the Ouénou-Bénou classified forest, Northern Benin. In Proceedings of the Conférence OSFACO: Satellite Images for Sustainable Land Management in Africa, Cotonou, Bénin, 19 July 2019. [Google Scholar]
- Imam, E. Remote Sensing and GIS Module: Colour Composite Images and Visual Image Interpretation; University Grand Commission (UGC), MHRD, Govt of India: New Delhi, India, 2019. [Google Scholar]
- Balandi, J.B.; To Hulu, J.P.P.M.; Sambieni, K.R.; Sikuzani, Y.U.; Bastin, J.F.; Musavandalo, C.M.; Nguba, T.B.; Molo, J.E.L.; Selemani, T.M.; Mweru, J.P.M.; et al. Urban Sprawl and Changes in Landscape Patterns: The Case of Kisangani City and Its Periphery (DR Congo). Land 2023, 12, 2066. [Google Scholar] [CrossRef]
- Imorou, I.T.; Arouna, O.; Zakari, S.; Djaouga, M.; Thomas, O.; Kinmadon, G. Des Images Satellites Pour La Gestion Durable Des Territoires En Afrique. In Proceedings of the la Conférence OSFACO, Cotonou, Bénin, 13–15 March 2019; pp. 1–25. [Google Scholar]
- Del Río, S.; López, V.; Benítez, J.M.; Herrera, F. On the Use of MapReduce for Imbalanced Big Data Using Random Forest. Inf. Sci. 2014, 285, 112–137. [Google Scholar] [CrossRef]
- Gaudin, Y.; Padilla Pérez, R.; Soloaga, I. New Methods to Define and Measure Rurality in Latin America and Their Impact on Public Policies: The Cases of Mexico and Panama; International Fund for Agricultural Development: Rome, Italy, 2024. [Google Scholar]
- McGarigal, K.; Cushman, S.A. Comparative Evaluation of Experimental Approaches to the Study of Habitat Fragmentation Effects. Ecol. Appl. 2002, 12, 335–345. [Google Scholar] [CrossRef]
- Bogaert, J.; Zhou, L.; Tucker, C.J.; Myneni, R.B.; Ceulemans, R. Evidence for a Persistent and Extensive Greening Trend in Eurasia Inferred from Satellite Vegetation Index Data. J. Geophys. Res. Atmos. 2002, 107, ACL 4-1. [Google Scholar] [CrossRef]
- Balandi, J.B.; To Hulu, J.P.P.M.; Sambieni, K.R.; Sikuzani, Y.U.; Bastin, J.F.; Musavandalo, C.M.; Nguba, T.B.; Jesuka, R.; Sodalo, C.; Pika, L.M.; et al. Anthropogenic effects on green infrastructure spatial patterns in Kisangani city and its urban–rural gradient. Land 2024, 13, 1794. [Google Scholar] [CrossRef]
- Useni Sikuzani, Y.; Cabala Kaleba, S.; Halleux, J.-M.; Bogaert, J.; Munyemba Kankumbi, F. Characterization of urban spatial growth in Lubumbashi city (Haut-Katanga, DR Congo) between 1989 and 2014. Agri-Overseas 2018, 36, 99–108. [Google Scholar]
- Muteya, H.K.; Nghonda, D.D.N.; Malaisse, F.; Waselin, S.; Sambiéni, K.R.; Kaleba, S.C.; Kankumbi, F.M.; Bastin, J.F.; Bogaert, J.; Sikuzani, Y.U. Quantification and Simulation of Landscape Anthropization around the Mining Agglomerations of Southeastern Katanga (DR Congo) between 1979 and 2090. Land 2022, 11, 850. [Google Scholar] [CrossRef]
- Potapov, P.V.; Turubanova, S.A.; Hansen, M.C.; Adusei, B.; Broich, M.; Altstatt, A.; Mane, L.; Justice, C.O. Quantifying Forest Cover Loss in Democratic Republic of the Congo, 2000–2010, with Landsat ETM+ Data. Remote Sens. Environ. 2012, 122, 106–116. [Google Scholar] [CrossRef]
- Lu, D.; Weng, Q. A Survey of Image Classification Methods and Techniques for Improving Classification Performance. Int. J. Remote Sens. 2007, 28, 823–870. [Google Scholar] [CrossRef]
- Wulder, M.A.; Loveland, T.R.; Roy, D.P.; Crawford, C.J.; Masek, J.G.; Woodcock, C.E.; Allen, R.G.; Anderson, M.C.; Belward, A.S.; Cohen, W.B.; et al. Current Status of Landsat Program, Science, and Applications. Remote Sens. Environ. 2019, 225, 127–147. [Google Scholar] [CrossRef]
- Lu, D.; Weng, Q. Urban Classification Using Full Spectral Information of Landsat ETM+ Imagery in Marion County, Indiana. Photogramm. Eng. Remote Sens. 2005, 71, 1275–1284. [Google Scholar] [CrossRef]
- Schneider, A.; Friedl, M.A.; Potere, D. Mapping Global Urban Areas Using MODIS 500-m Data: New Methods and Datasets Based on ‘Urban Ecoregions’. Remote Sens. Environ. 2010, 114, 1733–1746. [Google Scholar] [CrossRef]
- Roy, D.P.; Kovalskyy, V.; Zhang, H.K.; Vermote, E.F.; Yan, L.; Kumar, S.S.; Egorov, A. Characterization of Landsat-7 to Landsat-8 Reflective Wavelength and Normalized Difference Vegetation Index Continuity. Remote Sens. Environ. 2016, 185, 57–70. [Google Scholar] [CrossRef]
- Gorelick, N.; Hancher, M.; Dixon, M.; Ilyushchenko, S.; Thau, D.; Moore, R. Google Earth Engine: Planetary-Scale Geospatial Analysis for Everyone. Remote Sens. Environ. 2017, 202, 18–27. [Google Scholar] [CrossRef]
- Belgiu, M.; Drăgu, L. Random Forest in Remote Sensing: A Review of Applications and Future Directions. ISPRS J. Photogramm. Remote Sens. 2016, 114, 24–31. [Google Scholar] [CrossRef]
- Olofsson, P.; Foody, G.M.; Herold, M.; Stehman, S.V.; Woodcock, C.E.; Wulder, M.A. Good Practices for Estimating Area and Assessing Accuracy of Land Change. Remote Sens. Environ. 2014, 148, 42–57. [Google Scholar] [CrossRef]
- Bogaert, J.; Mahamane, A. Ecologie du paysage: Cibler la configuration et l’echelle Spatiale. Ann. Des Sci. Agron. 2005, 7. [Google Scholar] [CrossRef]
- Bamba, I.; Mama, A.; R Neuba, D.F.; Koffi, K.J.; Traoré, D.; Visser, M.; Sinsin, B.; Lejoly, J.; Bogaert, J. Influence Des Actions Anthropiques Sur La Dynamique Spatio-Temporelle de L\’occupation Du Sol Dans La Province Du Bas-Congo (R.D. Congo). Sci. Nat. 2008, 5, 49–60. [Google Scholar] [CrossRef]
- Riitters, K.H.; O’Neill, R.V.; Hunsaker, C.T.; Wickham, J.D.; Yankee, D.H.; Timmins, S.P.; Jones, K.B.; Jackson, B.L. A Factor Analysis of Landscape Pattern and Structure Metrics. Landsc. Ecol. 1995, 10, 23–39. [Google Scholar] [CrossRef]
- Sang, L.; Zhang, C.; Yang, J.; Zhu, D.; Yun, W. Simulation of Land Use Spatial Pattern of Towns and Villages Based on CA–Markov Model. Math. Comput. Model. 2011, 54, 938–943. [Google Scholar] [CrossRef]
- Azadi, H.; Ho, P.; Hasfiati, L. Agricultural Land Conversion Drivers: A Comparison between Less Developed, Developing and Developed Countries. Land Degrad. Dev. 2011, 22, 596–604. [Google Scholar] [CrossRef]
- Fazal, S. Urban Expansion and Loss of Agricultural Land—A GIS Based Study of Saharanpur City, India. Environ. Urban. 2000, 12, 133–149. [Google Scholar] [CrossRef]
- Romero-Padilla, A.; Hernández-Juárez, M.; Espinosa Herrera, J.M. Pérdida de Superficie Agrícola en los Distritos de Riego Del Estado de México y Patrones de Crecimiento Urbano. Investig. Geográficas 2024, 115, e60863. [Google Scholar] [CrossRef]
- Théodat, J.M. L’eau dans l’État, l’État nan dlo: Dilution des Responsabilités Publiques et Crise Urbaine dans l’Aire Métropolitaine de Port-Au-Prince (Water and State: Dilution of Political Responsibilities and Urban Crisis in Metropolitan Port-Au-Prince). Bull. Assoc. Geogr. Fr. 2010, 87, 336–350. [Google Scholar] [CrossRef]
- Exantus, J.M.; Beaune, D.; Cézilly, F. The Relevance of Urban Agroforestry and Urban Remnant Forest for Avian Diversity in a Densely-Populated Developing Country: The Case of Port-Au-Prince, Haiti. Urban For. Urban Green. 2021, 63, 127217. [Google Scholar] [CrossRef]
- Poulard, J.C. Save Our Plains Destroyed by Concrete/Spatial Planning, an Imperative for Survival. Available online: https://diezakbemol.wordpress.com/tag/plaine-du-cul-de-sac-haiti/ (accessed on 31 May 2025).
- Jean, M. Haïti-Environnement: The Cul-de-Sac plain, an Agricultural Area also Affected by Unregulated Construction. Available online: https://www.alterpresse.org/spip.php?article28251 (accessed on 31 May 2025).
- Shi, K.; Chen, Y.; Yu, B.; Xu, T.; Li, L.; Huang, C.; Liu, R.; Chen, Z.; Wu, J. Urban Expansion and Agricultural Land Loss in China: A Multiscale Perspective. Sustainability 2016, 8, 790. [Google Scholar] [CrossRef]
- Kabanyegeye, H.; Useni Sikuzani, Y.; Masharabu, T.; Sambieni, K.R.; Havyarimana, F.; Bogaert, J. Thirty-Three Years of Spatial Dynamics of Land Use in the City of Bujumbura, Republic of Burundi. Afr. Sci. 2021, 18, 203–215. [Google Scholar]
- Celiné, S. Ten Years After the Earthquake: Concrete Replaces Sugarcane in Léogâne. AyiboPost. 2020. Available online: https://ayibopost.com/10-ans-apres-le-seisme-le-beton-remplace-la-canne-a-sucre-a-leogane/ (accessed on 31 May 2025).
- Useni Sikuzani, Y.; Boisson, S.; Cabala Kaleba, S.; Nkuku Khonde, C.; Malaisse, F.; Halleux, J.-M.; Bogaert, J.; Munyemba Kankumbi, F. Land-Use Dynamics Around Mining Sites Along the Urban–Rural Gradient of Lubumbashi City, DR Congo. Biotechnol. Agron. Soc. Environ. 2020, 24, 14–27. [Google Scholar] [CrossRef]
- Pham, V.C.; Pham, T.T.H.; Tong, T.H.A.; Nguyen, T.T.H.; Pham, N.H. The Conversion of Agricultural Land in the Peri-Urban Areas of Hanoi (Vietnam): Patterns in Space and Time. J. Land. Use Sci. 2015, 10, 224–242. [Google Scholar] [CrossRef]
- Time, A.; Garrido, M.; Acevedo, E. Water Relations and Growth Response to Drought Stress of Prosopis Tamarugo Phil. A Review. J. Soil. Sci. Plant Nutr. 2018, 18, 329–343. [Google Scholar] [CrossRef]
- Chapman, D.; Le Roux, J.J.; Linnamagi, M.; Pasiecznik, N. EPPO Prosopis Juliflora (Sw.) DC. EPPO Bull. 2019, 49, 290–297. [Google Scholar] [CrossRef]
- Food and Agriculture Organization of the United Nations (FAO). The State of the World’s Land and Water Resources for Food and Agriculture (SOLAW)—Managing Systems at Risk; Food and Agriculture Organization of the United Nations: Rome, Italy; Earthscan: London, UK, 2011. [Google Scholar]
- OECD. The Governance of Land Use in OECD Countries: Policy Analysis and Recommendations, OECD Regional Development Studies; OECD Publishing: Paris, France, 2017; ISBN 9789264268593. [Google Scholar]
- Caron, P.; Ferrero y de Loma-Osorio, G.; Nabarro, D.; Hainzelin, E.; Guillou, M.; Andersen, I.; Arnold, T.; Astralaga, M.; Beukeboom, M.; Bickersteth, S.; et al. Food Systems for Sustainable Development: Proposals for a Profound Four-Part Transformation. Agron. Sustain. Dev. 2018, 38, 1–12. [Google Scholar] [CrossRef] [PubMed]
- ONU-Habitat. Initiative de Développement Urbain (URDI). for the Canaan Area, Port-Au-Prince. Urban Development Strategic Framework. Available online: https://unhabitat.org/sites/default/files/2020/09/82.urdi_fr_cadre_strategique_de_developpement_urbain_-_port-au-prince_2016.pdf (accessed on 31 May 2025).
- Agronomes & Vétérinaires Sans Frontières (AVSF). Haïti: Agroforestry Systems to Produce and Protect. Available online: https://www.avsf.org/haiti-des-systemes-agroforestiers-pour-produire-et-proteger/ (accessed on 31 May 2025).
- Dorner, V.; Rochegude, A. Land Tenure in Haiti: Land Ownership Between Legal Complexities and Informal Improvisations Since Independence; Technical Committee “Land Tenure and Development”, French Development Agency (AFD) & Ministry for Europe and Foreign Affairs (MEAE): Paris, France, 2020. [Google Scholar]
- Programme de Développement Local en Haïti (PDLH); Centre d’Étude et de Coopération Internationale (CECI); Centre de Recherche et de Consultation en Gestion (CRC-SOGEMA); École Nationale d’Administration Publique (ÉNAP); Société de Coopération pour le Développement International (SOCODEVI). Capitalization of Support Strategies for Local Eelected Oficials and Municipal Administration Staff to Enable Local Governance; Québec, QC, Canada, 2012; Available online: https://ceci-ressources.nyc3.cdn.digitaloceanspaces.com/uploads/Import/fr-rapport-pdlh-capitalisation-juin2012haiti_2024-03-06-162811_fotc.pdf?utm_ (accessed on 31 May 2025).





| Land-Use/Land-Cover Class | Description | Representative Photographs |
|---|---|---|
| Field and degraded vegetation | This class includes cultivated fields, fallow lands, agroforestry systems, and areas used for livestock grazing. | ![]() |
| Woody vegetation | This class encompasses the Campeche forest and shrub savannas, mainly composed of Prosopis juliflora and other woody species. | ![]() |
| Built-up and bare soil | This class includes residential areas, roads, and bare soil surfaces. | ![]() |
| Water | This class includes rivers and other surface water features. | ![]() |
| Cul-de-Sac Plain | |||||||
|---|---|---|---|---|---|---|---|
| Built-up & bare soil | 1997 | 2002 | 2007 | 2012 | 2017 | 2022 | 2024 |
| PA | 98.56 | 100 | 99.24 | 100 | 99.01 | 100 | 100 |
| CA | 95.13 | 98.36 | 97.05 | 100 | 99.01 | 94.64 | 99.23 |
| Woody vegetation | 1997 | 2002 | 2007 | 2012 | 2017 | 2022 | 2024 |
| PA | 96.84 | 98.11 | 96.36 | 93.84 | 97.05 | 91.66 | 98.33 |
| CA | 100 | 100 | 98.14 | 100 | 100 | 95.65 | 89.39 |
| Field & degraded vegetation | 1997 | 2002 | 2007 | 2012 | 2017 | 2022 | 2024 |
| PA | 95.07 | 97.72 | 96.21 | 100 | 99.02 | 93.69 | 94.07 |
| CA | 96.42 | 99.23 | 96.94 | 94.69 | 97.14 | 94.54 | 99.21 |
| Water | 1997 | 2002 | 2007 | 2012 | 2017 | 2022 | 2024 |
| PA | 100 | 100 | 93.75 | 80.66 | 100 | 85.71 | 100 |
| CA | 100 | 100 | 100 | 100 | 100 | 100 | 100 |
| OA | 96.90 | 98.95 | 97.32 | 97.90 | 98.58 | 95.04 | 99.36 |
| Maribahoux Plain | |||||||
| Built-up & bare soil | 1997 | 2002 | 2007 | 2012 | 2017 | 2022 | 2024 |
| PA | 98.87 | 98.29 | 98.96 | 98.00 | 100 | 96.25 | 93.83 |
| CA | 98.87 | 100 | 100 | 100 | 100 | 100 | 97.44 |
| Woody vegetation | 1997 | 2002 | 2007 | 2012 | 2017 | 2022 | 2024 |
| PA | 100 | 91.30 | 96.05 | 98.57 | 89.55 | 100 | 96.23 |
| CA | 95.94 | 91.30 | 100 | 98.57 | 96.77 | 100 | 96.23 |
| Field & degraded vegetation | 1997 | 2002 | 2007 | 2012 | 2017 | 2022 | 2024 |
| PA | 97.65 | 91.08 | 100 | 99.02 | 97.64 | 98.85 | 96.30 |
| CA | 97.65 | 88.46 | 95.86 | 97.14 | 92.22 | 96.62 | 93.69 |
| Water | 1997 | 2002 | 2007 | 2012 | 2017 | 2022 | 2024 |
| PA | 97.19 | 98.86 | 99.05 | 100 | 100 | 100 | 100 |
| CA | 100 | 100 | 100 | 100 | 100 | 97.77 | 100 |
| OA | 98.23 | 94.54 | 98.73 | 98.87 | 96.69 | 98.49 | 95.72 |
| Léogâne plain | |||||||
| Built-up & bare soil | 1997 | 2002 | 2007 | 2012 | 2017 | 2022 | 2024 |
| PA | 100 | 98.64 | 100 | 99.08 | 100 | 98.82 | 100 |
| CA | 98.77 | 100 | 100 | 100 | 100 | 100 | 100 |
| Woody vegetation | 1997 | 2002 | 2007 | 2012 | 2017 | 2022 | 2024 |
| PA | 90.90 | 100 | 92.30 | 100 | 92.30 | 100 | 100 |
| CA | 100 | 98.11 | 100 | 100 | 100 | 96.96 | 100 |
| Field & degraded vegetation | 1997 | 2002 | 2007 | 2012 | 2017 | 2022 | 2024 |
| PA | 100 | 98.88 | 100 | 100 | 100 | 98.78 | 100 |
| CA | 94.31 | 97.80 | 97.53 | 98.86 | 99.21 | 96.42 | 99.06 |
| Water | 1997 | 2002 | 2007 | 2012 | 2017 | 2022 | 2024 |
| PA | 90.90 | 80.00 | 100 | 100 | 100 | 84.61 | 87.50 |
| CA | 100 | 100 | 100 | 100 | 100 | 100 | 100 |
| OA | 97.38 | 98.64 | 98.96 | 99.56 | 99.59 | 98.11 | 99.60 |
Disclaimer/Publisher’s Note: The statements, opinions and data contained in all publications are solely those of the individual author(s) and contributor(s) and not of MDPI and/or the editor(s). MDPI and/or the editor(s) disclaim responsibility for any injury to people or property resulting from any ideas, methods, instructions or products referred to in the content. |
© 2025 by the authors. Licensee MDPI, Basel, Switzerland. This article is an open access article distributed under the terms and conditions of the Creative Commons Attribution (CC BY) license (https://creativecommons.org/licenses/by/4.0/).
Share and Cite
Jesuka, R.; Balandi, J.B.; Salomon, W.; Sikuzani, Y.U.; Muteya, H.K.; Kabanyegeye, H.; Mukubu Pika, L.; Mukenza, M.M.; Sambieni, K.R.; Oscar, W.; et al. Spatio-Temporal Dynamics of Land Use and Land Cover Change in the Agricultural Plains of Cul-de-Sac, Maribahoux, and Léogâne (1997–2024): An Analysis Using Remote Sensing and Landscape Metrics. Land 2025, 14, 2230. https://doi.org/10.3390/land14112230
Jesuka R, Balandi JB, Salomon W, Sikuzani YU, Muteya HK, Kabanyegeye H, Mukubu Pika L, Mukenza MM, Sambieni KR, Oscar W, et al. Spatio-Temporal Dynamics of Land Use and Land Cover Change in the Agricultural Plains of Cul-de-Sac, Maribahoux, and Léogâne (1997–2024): An Analysis Using Remote Sensing and Landscape Metrics. Land. 2025; 14(11):2230. https://doi.org/10.3390/land14112230
Chicago/Turabian StyleJesuka, Roselande, Julien Bwazani Balandi, Waselin Salomon, Yannick Useni Sikuzani, Héritier Khoji Muteya, Henri Kabanyegeye, Léa Mukubu Pika, Médard Mpanda Mukenza, Kouagou Raoul Sambieni, Walguen Oscar, and et al. 2025. "Spatio-Temporal Dynamics of Land Use and Land Cover Change in the Agricultural Plains of Cul-de-Sac, Maribahoux, and Léogâne (1997–2024): An Analysis Using Remote Sensing and Landscape Metrics" Land 14, no. 11: 2230. https://doi.org/10.3390/land14112230
APA StyleJesuka, R., Balandi, J. B., Salomon, W., Sikuzani, Y. U., Muteya, H. K., Kabanyegeye, H., Mukubu Pika, L., Mukenza, M. M., Sambieni, K. R., Oscar, W., Jean-François, B., Théodat, J. M., & Bogaert, J. (2025). Spatio-Temporal Dynamics of Land Use and Land Cover Change in the Agricultural Plains of Cul-de-Sac, Maribahoux, and Léogâne (1997–2024): An Analysis Using Remote Sensing and Landscape Metrics. Land, 14(11), 2230. https://doi.org/10.3390/land14112230





