Spatial Inequalities and the Sensitivity of Social Vulnerability in Ecuador
Abstract
1. Introduction
- Which households and regions exhibit the highest levels of social vulnerability in Ecuador at the provincial and urban levels?
- How do urban and provincial vulnerability levels compare?
- How sensitive is the SoVI to variations in aggregation and weighting methods?
2. Literature Review
Measurement of Social Vulnerability
3. Data and Methodology
3.1. Case Study: Ecuador
3.2. Data and Variables
3.3. Aggregation Methods
- and represent the vulnerability scores for province i and city i, respectively.
- is the weight assigned to dimension j in province/city i.
- is the deprivation value of dimension j in province/city i.
4. Results
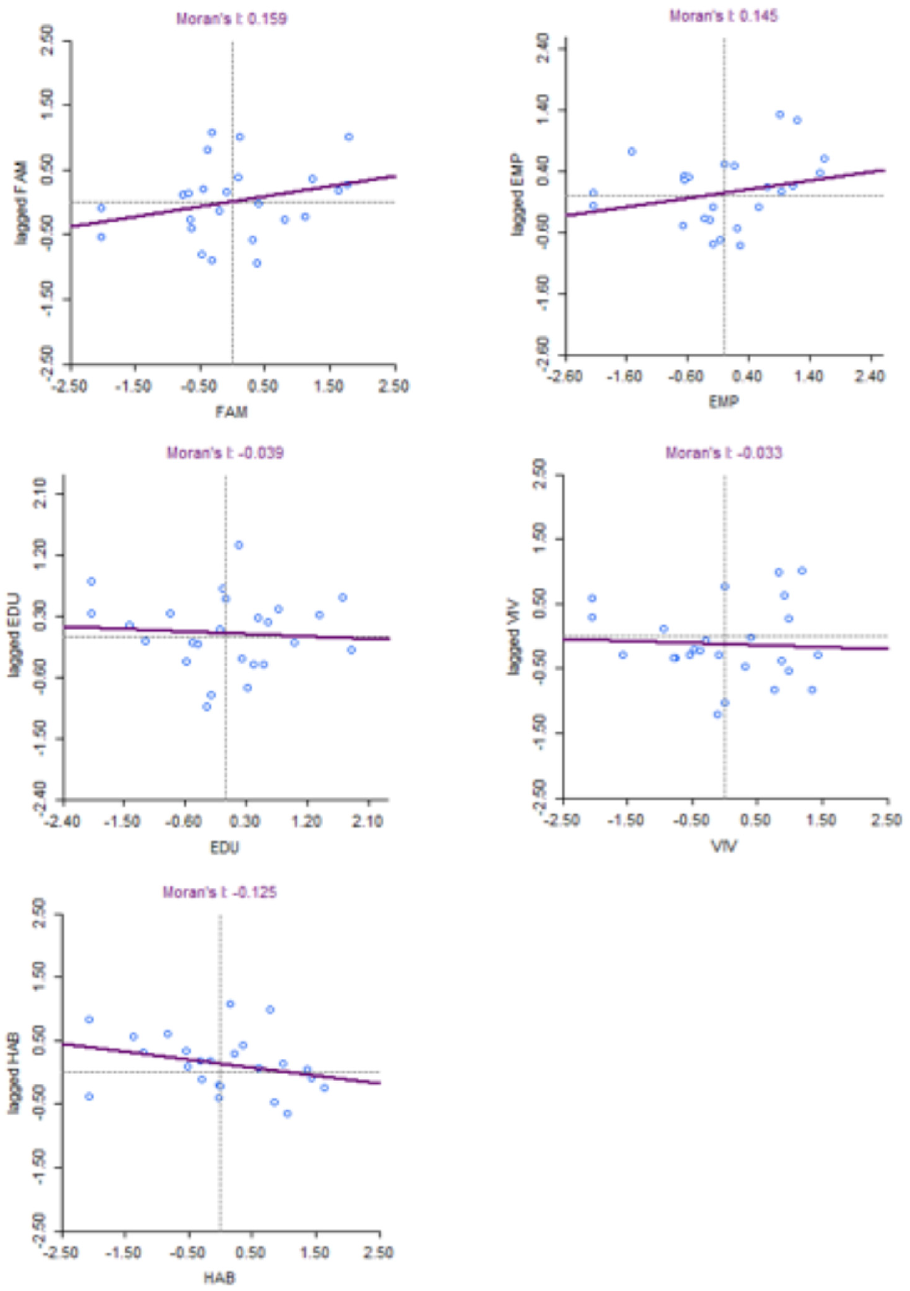
4.1. Sensitive of the Measurement of the Social Vulnerability Index
4.2. Conglomerates of Vulnerability in the Dimensions Considered
5. Conclusions
Author Contributions
Funding
Institutional Review Board Statement
Informed Consent Statement
Data Availability Statement
Conflicts of Interest
References
- Li, H.; Zhao, X.Y.; Wang, W.J.; Li, W. Inherent vulnerability of rural society in Gannan Plateau, China and its influencing factors. Sci. Geogr. Sin. 2020, 40, 804–813. [Google Scholar]
- World Economic Forum. The Global Risks Report 2022. Available online: https://www.weforum.org/publications/global-risks-report-2022/ (accessed on 11 January 2024).
- Li, H.; Wang, W. Knowledge domain and emerging trends of social vulnerability research: A bibliometric analysis (1991–2021). Int. J. Environ. Res. Public Health 2022, 19, 8342. [Google Scholar] [CrossRef]
- Alwang, J.; Siegel, P.B.; Jorgensen, S.L. Vulnerability: A View from Different Disciplines; Report No. 23304; World Bank: Washington, DC, USA, 2001. [Google Scholar]
- Cardona, O.D. Indicators of Disaster Risk and Risk Management: Program for Latin America and the Caribbean: Summary Report; Inter-American Development Bank: Washington, DC, USA, 2005. [Google Scholar]
- Fatemi, F.; Ardalan, A.; Aguirre, B.; Mansouri, N.; Mohammadfam, I. Social vulnerability indicators in disasters: Findings from a systematic review. Int. J. Disaster Risk Reduct. 2017, 22, 219–227. [Google Scholar] [CrossRef]
- Cutter, S.L. The vulnerability of science and the science of vulnerability. Ann. Assoc. Am. Geogr. 2003, 93, 1–12. [Google Scholar] [CrossRef]
- Wisner, B.; Blaikie, P.; Cannon, T.; Davis, I. At Risk: Natural Hazards, People’s Vulnerability and Disasters, 2nd ed.; Routledge: London, UK, 2014. [Google Scholar]
- Chen, W.; Cutter, S.L.; Emrich, C.T.; Shi, P. Measuring social vulnerability to natural hazards in the Yangtze River Delta region, China. Int. J. Disaster Risk Sci. 2013, 4, 169–181. [Google Scholar] [CrossRef]
- Cutter, S.L.; Finch, C. Temporal and spatial changes in social vulnerability to natural hazards. Proc. Natl. Acad. Sci. USA 2008, 105, 2301–2306. [Google Scholar] [CrossRef] [PubMed]
- Cutter, S.L. Vulnerability to environmental hazards. Prog. Hum. Geogr. 1996, 20, 529–539. [Google Scholar] [CrossRef]
- Bankoff, G.; Frerks, G.; Hilhorst, T. Vulnerability: Disasters, Development and People; Earthscan: London, UK, 2004. [Google Scholar]
- Kuhlicke, C.; Scolobig, A.; Tapsell, S.; Steinführer, A.; De Marchi, B. Contextualizing social vulnerability: Findings from case studies across Europe. Nat. Hazards 2011, 58, 789–810. [Google Scholar] [CrossRef]
- Huang, X.J.; Wang, C.; Hu, K.L. Multi-scale assessment of social vulnerability to rapid urban expansion in urban fringe: A case study of Xi’an. Acta Geogr. Sin. 2018, 73, 1002–1017. [Google Scholar]
- Walsh-Dilley, M. Resilience compromised: Producing vulnerability to climate and market among quinoa producers in Southwestern Bolivia. Glob. Environ. Change 2020, 65, 102165. [Google Scholar] [CrossRef]
- Spielman, S.E.; Tuccillo, J.; Folch, D.C.; Schweikert, A.; Davies, R.; Wood, N.; Tate, E. Evaluating social vulnerability indicators: Criteria and their application to the Social Vulnerability Index. Nat. Hazards 2020, 100, 417–436. [Google Scholar] [CrossRef]
- Cannon, T. Vulnerability analysis, livelihoods and disasters. In RISK21—Coping with Risks Due to Natural Hazards in the 21st Century; Ammann, W.J., Dannenmann, S., Vulliet, L., Eds.; CRC Press: London, UK, 2006; pp. 51–60. [Google Scholar]
- Frazier, T.G.; Thompson, C.M.; Dezzani, R.J. A framework for the development of the SERV model: A Spatially Explicit Resilience-Vulnerability model. Appl. Geogr. 2014, 51, 158–172. [Google Scholar] [CrossRef]
- Huang, X.; Wang, B.; Liu, M.; Guo, Y.; Li, Y. Characteristics of urban extreme heat and assessment of social vulnerability in China. Geogr. Res. 2020, 39, 1534–1547. [Google Scholar]
- Rahman, N.; Ansary, M.A.; Islam, I. GIS-based mapping of vulnerability to earthquake and fire hazard in Dhaka city, Bangladesh. Int. J. Disaster Risk Reduct. 2015, 13, 291–300. [Google Scholar] [CrossRef]
- Shukla, R.; Sachdeva, K.; Joshi, P.K. An indicator-based approach to assess village-level social and biophysical vulnerability of agriculture communities in Uttarakhand, India. J. Mt. Sci. 2016, 13, 2260–2271. [Google Scholar] [CrossRef]
- Abid, M.; Schilling, J.; Scheffran, J.; Zulfiqar, F. Climate change vulnerability, adaptation and risk perceptions at farm level in Punjab, Pakistan. Sci. Total Environ. 2016, 547, 447–460. [Google Scholar] [CrossRef] [PubMed]
- Campos, M.; Velázquez, A.; McCall, M. Adaptation strategies to climatic variability: A case study of small-scale farmers in rural Mexico. Land Use Policy 2014, 38, 533–540. [Google Scholar] [CrossRef]
- Cutter, S.L.; Morath, D.P. The evolution of the Social Vulnerability Index. In Measuring Vulnerability to Natural Hazards: Towards Disaster Resilient Societies; Birkmann, J., Ed.; United Nations University Press: New York, NY, USA, 2014. [Google Scholar]
- He, Y.B.; Huang, X.J.; Zhai, L.X.; Yan, Q.; Yang, X. Assessment and influencing factors of social vulnerability to rapid urbanization in urban fringe: A case study of Xi’an. Acta Geogr. Sin. 2016, 71, 1315–1328. [Google Scholar]
- Tate, E.; Cutter, S.L.; Berry, M. Integrated multihazard mapping. Environ. Plan. B Plan. Des. 2010, 37, 646–663. [Google Scholar] [CrossRef]
- Dolan, G.; Messen, D. Social vulnerability: An emergency managers’ planning tool. J. Emerg. Manag. 2012, 10, 161–169. [Google Scholar] [CrossRef]
- Rabiei-Dastjerdi, H.; Brereton, F.; O’Neill, E. Towards designing a comprehensive composite index for social vulnerability to natural hazards in the big data era: Potential challenges and partial solutions. Nat. Hazards 2025, 121, 3885–3913. [Google Scholar] [CrossRef]
- Zhao, Y.; Paul, R.; Reid, S.; Coimbra Vieira, C.; Wolfe, C.; Zhang, Y.; Chunara, R. Constructing social vulnerability indexes with increased data and machine learning highlight the importance of wealth across global contexts. Soc. Indic. Res. 2024, 175, 639–657. [Google Scholar] [CrossRef]
- Dwyer, A.; Zoppou, C.; Nielsen, O.; Day, S.; Roberts, S. Quantifying Social Vulnerability: A Methodology for Identifying Those at Risk to Natural Hazards; Geoscience Australia: Canberra, Australia, 2004.
- Johnson, D.; Blackett, P.; Allison, A.E.; Broadbent, A.M. Measuring social vulnerability to climate change at the coast: Embracing complexity and context for more accurate and equitable analysis. Water 2023, 15, 3408. [Google Scholar] [CrossRef]
- Tapsell, S.M.; Penning-Rowsell, E.C.; Tunstall, S.M.; Wilson, T.L. Vulnerability to flooding: Health and social dimensions. Philos. Trans. R. Soc. A Math. Phys. Eng. Sci. 2002, 360, 1511–1525. [Google Scholar] [CrossRef] [PubMed]
- Sayers, P.; Penning-Rowsell, E.C.; Horritt, M. Flood vulnerability, risk, and social disadvantage: Current and future patterns in the UK. Reg. Environ. Change 2018, 18, 339–352. [Google Scholar] [CrossRef]
- Lapiedra, O.; Morales, N.; Yang, L.H.; Fernández-Bellon, D.; Michaelides, S.N.; Giery, S.T.; Losos, J.B. Predator-driven behavioural shifts in a common lizard shape resource-flow from marine to terrestrial ecosystems. Ecol. Lett. 2024, 27, e14335. [Google Scholar] [CrossRef]
- Chien, L.C.; Marquez, E.R.; Smith, S.; Tu, T.; Haboush-Deloye, A. Exploring the role of the social vulnerability index in understanding COVID-19 immunization rates. PLoS ONE 2024, 19, e0302934. [Google Scholar] [CrossRef]
- Jezzini, Y.; Assaad, R.H. Mitigating the social challenges of green infrastructure: A Social Vulnerability Index. In Proceedings of the Construction Research Congress 2024, Des Moines, IA, USA, 20–23 May 2024; pp. 1181–1190. [Google Scholar]
- Shorbaji, K.; Welch, B.; Kilic, A. Evaluating the association between social vulnerability and outcomes of heart transplantation in the United States. J. Surg. Res. 2024, 303, 189–198. [Google Scholar] [CrossRef]
- Hernández-Rodríguez, V.M.; Escalona-Maurice, M.J.; León-Merino, A.; Pimentel-Aguilar, S.; Ibarrola-Rivas, M.J. Developing a Social Vulnerability Index (SVI) for risk mapping. Agro Prod. 2024, 17, 51–61. [Google Scholar] [CrossRef]
- Weichselgartner, J. About the capacity to be wounded: The need to link disaster mitigation and sustainable development. In Extreme Naturereignisse–Folgen, Vorsorge, Werkzeuge; DKKV: Bonn, Germany, 2002; pp. 150–158. [Google Scholar]
- Haas, J.; Karagiorgos, K.; Pettersson, A.; de Goër de Herve, M.; Gustavsson, J.; Koivisto, J.; Nyberg, L. Social Sårbarhet för Klimatrelaterade Hot: Delstudie 2: Generella och Hotspecifika Index för Social Sårbarhet i Sverige; Myndigheten för Samhällsskydd och Beredskap (MSB): Karlstad, Sweden, 2022. [Google Scholar]
- Karagiorgos, K.; Nyberg, L.; Kavallaris, N.; Koivisto, J.; Grahn, T.; Björkholm, R.; Fuchs, S. Unveiling the Complexity of Social Vulnerability: An Analysis of the Social Vulnerability Index in Sweden (SVIS). In Proceedings of the EGU General Assembly 2024, Vienna, Austria, 14–19 April 2024. EGU24-18357. [Google Scholar]
- Bove, J.-B.; De Angeli, S.; Massucchielli, L.; Miozzo, D. Leveraging multi-sector needs assessments to assess dynamic social vulnerability: A methodological exploration. In Proceedings of the EGU General Assembly 2024, Vienna, Austria, 14–19 April 2024. EGU24-10678. [Google Scholar] [CrossRef]
- Felsenstein, D.; Lichter, M. Social and economic vulnerability of coastal communities to sea-level rise and extreme flooding. Nat. Hazards 2014, 71, 463–491. [Google Scholar] [CrossRef]
- Fekete, A. Validation of a social vulnerability index in context to river-floods in Germany. Nat. Hazards Earth Syst. Sci. 2009, 9, 393–403. [Google Scholar] [CrossRef]
- Siagian, T.H.; Purhadi, P.; Suhartono, S.; Ritonga, H. Social vulnerability to natural hazards in Indonesia: Driving factors and policy implications. Nat. Hazards 2014, 70, 1603–1617. [Google Scholar] [CrossRef]
- Tierney, K. Social inequality, hazards, and disasters. In On Risk and Disaster: Lessons from Hurricane Katrina; Daniels, R.J., Kettl, D.F., Kunreuther, H., Eds.; University of Pennsylvania Press: Philadelphia, PA, USA, 2006; pp. 109–128. [Google Scholar]
- Painter, M.A.; Shah, S.H.; Damestoit, G.C.; Khalid, F.; Prudencio, W.; Chisty, M.A.; Wilhelmi, O. A systematic scoping review of the Social Vulnerability Index as applied to natural hazards. Nat. Hazards 2024, 120, 7265–7356. [Google Scholar] [CrossRef]
- Bucherie, A.; Hultquist, C.; Adamo, S.; Neely, C.; Ayala, F.; Bazo, J.; Kruczkiewicz, A. A comparison of social vulnerability indices specific to flooding in Ecuador: Principal component analysis (PCA) and expert knowledge. Int. J. Disaster Risk Reduct. 2022, 73, 102897. [Google Scholar] [CrossRef]
- Camacho, A.P.; Ilijama, M.V.; Aroca, G.B.; Betancourt, E.G. Percepción de vulnerabilidad social a la variabilidad climática de la población de la microcuenca del río Chazo Juan, Ecuador. Rev. Geogr. Venez. 2021, 62, 146–160. [Google Scholar]
- Sorensen, C.J.; Borbor-Cordova, M.J.; Calvello-Hynes, E.; Diaz, A.; Lemery, J.; Stewart-Ibarra, A.M. Climate variability, vulnerability, and natural disasters: A case study of Zika virus in Manabí, Ecuador following the 2016 earthquake. GeoHealth 2017, 1, 298–304. [Google Scholar] [CrossRef]
- Valencia-Salvador, J.A.; Sepúlveda-Murillo, F.H.; Flores-Sánchez, M.A.; Builes, N.M.S. Spatial distribution of social inequality in the Metropolitan District of Quito, Ecuador. Soc. Indic. Res. 2022, 163, 753–769. [Google Scholar] [CrossRef]
- Arias-Muñoz, P.; Jácome, G.; Vilela, P. Analysis of vulnerability to climate change in small cities using livelihood approach: A case study of Cotacachi, Ecuador. Acta Geogr. Univ. Comen. 2022, 66, 63–79. [Google Scholar]
- Fekete, A.; Hufschmidt, G.; Kruse, S. Benefits and challenges of resilience and vulnerability for disaster risk management. Int. J. Disaster Risk Sci. 2014, 5, 3–20. [Google Scholar] [CrossRef]
- Hufschmidt, G. A comparative analysis of several vulnerability concepts. Nat. Hazards 2011, 58, 621–643. [Google Scholar] [CrossRef]
- Kim, B.J.; Jeong, S.; Chung, J.B. Research trends in vulnerability studies from 2000 to 2019: Findings from a bibliometric analysis. Int. J. Disaster Risk Reduct. 2021, 56, 102141. [Google Scholar] [CrossRef]
- Adger, W.N. Vulnerability. Glob. Environ. Change 2006, 16, 268–281. [Google Scholar] [CrossRef]
- Cutter, S.L.; Boruff, B.J.; Shirley, W.L. Social vulnerability to environmental hazards. In Hazards, Vulnerability and Environmental Justice; Routledge: London, UK, 2012; pp. 143–160. [Google Scholar]
- Llorente-Marrón, M.; Díaz-Fernández, M.; Méndez-Rodríguez, P.; González Arias, R. Social vulnerability, gender and disasters. The case of Haiti in 2010. Sustainability 2020, 12, 3574. [Google Scholar] [CrossRef]
- Enarson, E.; Meyreles, L. International perspectives on gender and disaster: Differences and possibilities. Int. J. Sociol. Soc. Policy 2004, 24, 49–93. [Google Scholar] [CrossRef]
- Neumayer, E.; Plümper, T. The Gendered Nature of Natural Disasters: The Impact of Catastrophic Events on the Gender Gap in Life Expectancy, 1981–2002. Ann. Assoc. Am. Geogr. 2007, 97, 551–566. [Google Scholar] [CrossRef]
- Horton, R. GBD 2010: Understanding disease, injury, and risk. Lancet 2012, 9859, 2053–2054. [Google Scholar] [CrossRef] [PubMed]
- Faedi Duramy, B. Gender and Violence in Haiti: Women’s Path from Victims to Agents; Rutgers University Press: New Brunswick, NJ, USA, 2014; ISBN 978-0-8135-6316-9. [Google Scholar]
- Hamidazada, M.; Cruz, A.M.; Yokomatsu, M. Vulnerability Factors of Afghan Rural Women to Disasters. Int. J. Disaster Risk Sci. 2019, 10, 573–590. [Google Scholar] [CrossRef]
- Pachauri, S. Household electricity access a trivial contributor to CO2 emissions growth in India. Nat. Clim. Change 2014, 4, 1073–1076. [Google Scholar] [CrossRef]
- World Health Organization. Environmental Health in Emergencies and Disasters: A Practical Guide; WHO: Geneva, Switzerland, 2010. [Google Scholar]
- White, G.F. Natural Hazards, Local, National, Global; Oxford University Press: New York, NY, USA, 1974. [Google Scholar]
- Messner, F.; Meyer, V. Flood damage, vulnerability and risk perception—Challenges for flood damage research. In Flood Risk Management: Hazards, Vulnerability and Mitigation Measures; Schanze, J., Zeman, E., Marsalek, J., Eds.; Springer: Dordrecht, The Netherlands, 2006; pp. 149–167. [Google Scholar]
- Merz, B.; Thieken, A.H.; Gocht, M. Flood risk mapping at the local scale: Concepts and challenges. In Flood Risk Management in Europe; Begum, S., Stive, M.J.F., Hall, J.W., Eds.; Springer: Dordrecht, The Netherlands, 2007; pp. 231–251. [Google Scholar]
- Cardona, O.D. The need for rethinking the concepts of vulnerability and risk from a holistic perspective: A necessary review and criticism for effective risk management. In Mapping Vulnerability: Disasters, Development and People; Bankoff, G., Frerks, G., Hilhorst, D., Eds.; Routledge: London, UK, 2013; pp. 37–51. [Google Scholar]
- Heintze, H.J.; Kirch, L.; Küppers, B.; Mann, H.; Mischo, F.; Mucke, P.; Weller, D. World Risk Report 2018; Alliance Development Works: Berlin, Germany, 2018. [Google Scholar]
- Otto, I.M.; Reckien, D.; Reyer, C.P.; Marcus, R.; Le Masson, V.; Jones, L.; Serdeczny, O. Social vulnerability to climate change: A review of concepts and evidence. Reg. Environ. Change 2017, 17, 1651–1662. [Google Scholar] [CrossRef]
- Roy, S.; Majumder, S.; Bose, A.; Chowdhury, I.R. Mapping the vulnerable: A framework for analyzing urban social vulnerability and its societal impact. Soc. Impacts 2024, 3, 100049. [Google Scholar] [CrossRef]
- Turesson, K.; Pettersson, A.; de Herve, M.D.G.; Gustavsson, J.; Haas, J.; Koivisto, J.; Nyberg, L. The human dimension of vulnerability: A scoping review of the Nordic literature on factors for social vulnerability to climate risks. Int. J. Disaster Risk Reduct. 2024, 100, 104190. [Google Scholar]
- Bolin, R.; Stanford, L. Shelter, housing and recovery: A comparison of US disasters. Disasters 1991, 15, 24–34. [Google Scholar] [CrossRef]
- Morrow, B.H. Identifying and mapping community vulnerability. Disasters 1999, 23, 1–18. [Google Scholar] [CrossRef] [PubMed]
- Collins, T.W.; Bolin, B. Situating hazard vulnerability: People’s negotiations with wildfire environments in the US Southwest. Environ. Manag. 2009, 44, 441–455. [Google Scholar] [CrossRef] [PubMed]
- Adger, W.N.; Dessai, S.; Goulden, M.; Hulme, M.; Lorenzoni, I.; Nelson, D.R.; Wreford, A. Are there social limits to adaptation to climate change? Clim. Change 2009, 93, 335–354. [Google Scholar] [CrossRef]
- Reckien, D. What is in an index? Construction method, data metric, and weighting scheme determine the outcome of composite social vulnerability indices in New York City. Reg. Environ. Change 2018, 18, 1439–1451. [Google Scholar] [CrossRef] [PubMed]
- Lagelouze, T.; Hidalgo, J.; Aranda, M.; Dumas, G. Comparison and theoretical conceptualization analysis of statistical methods used to develop heat vulnerability indices in urban areas. Eur. J. Geogr. 2024, 15, 154–176. [Google Scholar] [CrossRef]
- Anderson, L.; Holm, R.; Black, C.; Biddle, D.J.; Chiu, W.; Bhatnagar, A.; Smith, T.R. An Environmental Vulnerability Index framework supporting targeted public health interventions at the census tracts level. MedRxiv 2024, 1–76. [Google Scholar] [CrossRef]
- Andrew, M.K.; Mitnitski, A.B.; Rockwood, K. Social vulnerability, frailty and mortality in elderly people. PLoS ONE 2008, 3, e2232. [Google Scholar] [CrossRef]
- Cutter, S.L.; Mitchell, J.T.; Scott, M.S. Revealing the vulnerability of people and places: A case study of Georgetown County, South Carolina. In Hazards, Vulnerability and Environmental Justice; Routledge: London, UK, 2012; pp. 111–142. [Google Scholar]
- Lane, P.R. The real effects of European monetary union. J. Econ. Perspect. 2006, 20, 47–66. [Google Scholar] [CrossRef]
- World Bank. Joint Statement from the World Bank Group and the International Monetary Fund Regarding a Call to Action on the Debt of IDA Countries; World Bank Group: Washington, DC, USA, 2020; Available online: https://www.worldbank.org/en/news/statement/2020/03/25/joint-statement-from-the-world-bank-group-and-the-international-monetary-fund-regarding-a-call-to-action-on-the-debt-of-ida-countries (accessed on 27 March 2024).
- Gachet, I.; Grijalva, D.F.; Ponce, P.A.; Rodríguez, D. Vertical and horizontal inequality in Ecuador: The lack of sustainability. Soc. Indic. Res. 2019, 145, 861–900. [Google Scholar] [CrossRef]
- INEC. Encuesta Nacional de Empleo, Desempleo y Subempleo (ENEMDU 2016); Instituto Nacional de Estadística y Censos: Quito, Ecuador, 2016; Available online: https://www.ecuadorencifras.gob.ec/enemdu-2016/ (accessed on 27 March 2024).
- Ligon, E.A. Measuring Risk by Looking at Changes in Inequality: Vulnerability in Ecuador; University of California: Oakland, CA, USA, 2010. [Google Scholar]
- Ledesma, Y.; Cobos, Á.R. The vulnerability of the Metropolitan District of Quito, Ecuador. UTCiencia 2017, 4, 37–49. [Google Scholar]
- Alexandrino, K.; Viteri, F.; Rybarczyk, Y.; Andino, J.E.G.; Zalakeviciute, R. Biomonitoring of metal levels in urban areas with different vehicular traffic intensity by using Araucaria heterophylla needles. Ecol. Indic. 2020, 117, 106701. [Google Scholar] [CrossRef]
- Decancq, K.; Lugo, M.A.; Thank, W.; Alkire, S.; Atkinson, T.; Cherchye, L.; Rogge, N. Weights in Multidimensional Indices of Well-Being: An Overview. 2010. Available online: http://ssrn.com/abstract=1571124 (accessed on 27 March 2024).
- Pinar, M. Multidimensional well-being and inequality across the European regions with alternative interactions between the well-being dimensions. Soc. Indic. Res. 2019, 144, 31–72. [Google Scholar] [CrossRef]
- Bowen, H.; Sleuwaegen, L.K.; Moesen, W. A Composite Index of the Creative Economy with Application to Regional Best Practices. 2008. Available online: https://www.researchgate.net/publication/23646745 (accessed on 27 March 2024).
- Garrido, R.; Gallo, M.T. La geografía del talento en la ciudad de Madrid. Papeles Econ. Esp. 2017, 153, 127–148. [Google Scholar]
- Alvarado-López, J.; Correa-Quezada, R.; Tituaña-Castillo, M. Migración interna y urbanización sin eficiencia en países en desarrollo: Evidencia para Ecuador. Papeles Poblac. 2018, 23, 94. [Google Scholar]
- Haining, R.P. Spatial Data Analysis: Theory and Practice; Cambridge University Press: Cambridge, UK, 2003. [Google Scholar]
- Anselin, L. What is special about spatial data? Alternative perspectives on spatial data analysis. In Spatial Statistics, Past, Present and Future; Griffith, D.A., Ed.; Institute of Mathematical Geography (IMAGE): Ann Arbor, MI, USA, 1989; pp. 66–77. [Google Scholar]
- Anselin, L. Spatial Data Analysis with GIS: An Introduction to Application in the Social Sciences; National Center for Geographic Information and Analysis, University of California: Santa Barbara, CA, USA, 1992; pp. 10–92. [Google Scholar]





| Dimension | Indicator | Urban Zone | Rural Zone | National |
|---|---|---|---|---|
| Family Structure | Ethnic group | 0.098 | 0.318 | 0.187 |
| People older than 65 years | 0.081 | 0.085 | 0.083 | |
| People under 14 years of age | 0.269 | 0.331 | 0.295 | |
| Employment | Unemployment rate | 0.061 | 0.021 | 0.044 |
| Economic dependence | 0.012 | 0.037 | 0.022 | |
| Education | Absence of basic education and high school | 0.032 | 0.039 | 0.035 |
| Incomplete educational attainment | 0.341 | 0.598 | 0.434 | |
| Housing | Overcrowding | 0.744 | 0.784 | 0.760 |
| Housing deficit | 0.387 | 0.652 | 0.488 | |
| No excreta sanitation | 0.170 | 0.271 | 0.209 | |
| Inadequate basic services | 0.742 | 0.857 | 0.789 | |
| Healthy Habit and Environment | No garbage collection | 0.033 | 0.377 | 0.164 |
| Environmental pollution | 0.012 | 0.004 | 0.009 | |
| Insecurity in public spaces | 0.074 | 0.044 | 0.062 | |
| Low trust in public judicial institutions | 0.029 | 0.017 | 0.024 |
Disclaimer/Publisher’s Note: The statements, opinions and data contained in all publications are solely those of the individual author(s) and contributor(s) and not of MDPI and/or the editor(s). MDPI and/or the editor(s) disclaim responsibility for any injury to people or property resulting from any ideas, methods, instructions or products referred to in the content. |
© 2025 by the authors. Licensee MDPI, Basel, Switzerland. This article is an open access article distributed under the terms and conditions of the Creative Commons Attribution (CC BY) license (https://creativecommons.org/licenses/by/4.0/).
Share and Cite
Torres-Díaz, V.; del Río-Rama, M.d.l.C.; Álvarez-García, J.; Venegas-Martínez, F. Spatial Inequalities and the Sensitivity of Social Vulnerability in Ecuador. Land 2025, 14, 2110. https://doi.org/10.3390/land14112110
Torres-Díaz V, del Río-Rama MdlC, Álvarez-García J, Venegas-Martínez F. Spatial Inequalities and the Sensitivity of Social Vulnerability in Ecuador. Land. 2025; 14(11):2110. https://doi.org/10.3390/land14112110
Chicago/Turabian StyleTorres-Díaz, Viviana, María de la Cruz del Río-Rama, José Álvarez-García, and Francisco Venegas-Martínez. 2025. "Spatial Inequalities and the Sensitivity of Social Vulnerability in Ecuador" Land 14, no. 11: 2110. https://doi.org/10.3390/land14112110
APA StyleTorres-Díaz, V., del Río-Rama, M. d. l. C., Álvarez-García, J., & Venegas-Martínez, F. (2025). Spatial Inequalities and the Sensitivity of Social Vulnerability in Ecuador. Land, 14(11), 2110. https://doi.org/10.3390/land14112110

